Study of the Influence of the Thermal Capacity of the Lining of Acid Melting Furnaces on Their Efficiency
Abstract
1. Introduction
2. The Problem
3. Materials and Methods
- We determined the chemical composition of the quartzite, taking the presence of concomitant impurities into account;
- The raw quartzite portion was heated to a temperature of 800 °C, given an exposure of 1 h and cooled to room temperature, then subjected to subsequent heating with exposure at each test point to remove the card and determine the parameters of the crystal lattice at uniform temperatures suitable for sintering and operating melting;
- The next batch of raw quartzite was heated to a temperature of 200 °C, given an exposure of 1 h and cooled to room temperature. We then performed the same heating mode as in Step 2;
- We investigated the change in the heat capacity of the quartzite using different moisture removal technologies (as in Steps 2 and 3), followed by heating corresponding to the sintering temperatures of the lining and several melting cycles.
- Between 200 and 800 °C, the approximate temperature for removing free moisture;
- 600 °C, intensive phase conversion with heat release, applied during operation [49];
- 1550–1600 °C, melting mode, for carburizing, alloying and modifying operations;
- 1450–1470 °C, first alloy discharge;
- 1025 °C, temperature of the released lining layer after the first discharge (at this time the second portion of the alloy is drained);
- 800–900 °C, the temperature of the lining after discharging all the metal, when fresh metal filling is loaded.
4. Results and Discussion
5. Conclusions
Author Contributions
Funding
Institutional Review Board Statement
Informed Consent Statement
Data Availability Statement
Conflicts of Interest
References
- Chisamera, M.; Stan, S. Enhanced Quality in Electric Melt Grey Cast Irons Iulian Riposan. ISIJ Int. 2017, 53, 1683–1695. [Google Scholar]
- Gandhewar, V.R.; Bansod, S.V.; Borade, A.B. Induction furnace—A reviewInt. J. Eng. Technol.2011; Volume 3, pp. 277–284.
- Luzgin, V.I.; Petrov, A.Y.; Fatkullin, S.M.; Koptyakov, A.S.; Bolotin, K.E.; Shvydkiy, E.L. Energy-Efficient Induction Furnaces for the Production of Synthetic Cast Iron. Proc. Xii Congr. Foundry Work. Russ. 2015, 1, 343–349. [Google Scholar]
- Kulkarni, U.; Wali, U. Power Efficiency Tracking of Induction Furnaces. In Proceedings of the 2020 IEEE International Conference on Electronics, Computing and Communication Technologies, Bangalore, India, 2–4 July 2020; pp. 1–4. [Google Scholar]
- Kukartsev, V.V.; Antamoshkin, O.A. Combined Method of Decision-Making on Reproduction of Fixed Production Assets. Probl. Mech. Eng. Autom. 2011, 2, 56–60. [Google Scholar]
- Onigbajumo, A.; Seidu Saliu, O.; Akinlabi, O.; Newton, I. Melting Time Prediction Model for Induction Furnace Melting Using Specific Thermal Consumption from Material Charge Approach. J. Miner. Mater. Charact. Eng. 2021, 9, 61–74. [Google Scholar]
- Futas, P.; Pribulova, A.; Petrik, J.; Pokusova, M.; Junakova, A. The Study of Synthetic Cast Iron Quality Made from Steel Scrap. In Proceedings of the 18th International Multidisciplinary Scientific GeoConference SGEM 2018, Albena, Bulgaria, 20 June 2018. [Google Scholar]
- Shumikhin, V.S.; Luzan, P.P.; Zelnis, M.V. Synthetic Cast Iron; Naukova dumka: Kiev, Ukraine, 1971. [Google Scholar]
- Edalati, K.; Akhlaghi, F.; NiliAhmadabadi, M. Influence of SiC and FeSi Addition on the Characteristics of Gray Cast Iron Melts Poured at Different Temperatures. Mater. Proc. Technol. 2005, 160, 183–187. [Google Scholar] [CrossRef]
- Golubtsov, V.A. About the Situation in the Domestic Foundry Production. Foundry Prod. 2011, 1, 2–3. [Google Scholar]
- Kukartsev, V.A.; Trunova, A.I.; Kukartsev, A.V. Thermal Analysis of Quartzite Used to Line a Crucible-Equipped Industrial-Frequency Induction Furnace. Refract. Ind. Ceram. 2014, 55, 220–222. [Google Scholar] [CrossRef]
- Kaibicheva, M.N. Properties of Quartzite Masses Used for Lining Induction Furnaces of Large Capacity. Refractories 1971, 4, 31–33. [Google Scholar]
- Kaibicheva, M.N. Lining of Induction Furnaces in Germany and Other Capitalist Countries. Refractories 1970, 3, 52. [Google Scholar] [CrossRef]
- Sassa, V.S. Lining of Induction Melting Furnaces and Mixers; Energoatomizdat: Moscow, Russia, 1983. [Google Scholar]
- Ananiev, Y.S.; Ananyeva, L.G.; Dolgov, I.V.; Korobeinikov, A.F.; Korovkin, M.V. Search, Evaluation and Enrichment of Quartz Raw Materials for High Technologies. Bull. Tomsk Poly-Tech. Univ. 2001, 304, 123–130. [Google Scholar]
- Sokolov, D.Y.; Baranov, A.N. Silicon—The Main Element of the Development of Solar Energy. Actual Probl. Humanit. Nat. Sci. 2016, 1, 21–22. [Google Scholar]
- Naumova, O.V.; Mavzovin, V.M.; Chesnokov, B.P. Obtaining Silicon for Solar Cells from Mineral Raw Materials. Tech. Regul. Transp. Constr. 2020, 43, 320–332. [Google Scholar]
- Nepomnyashchikh, A.I.; Krasin, B.A.; Vasilyeva, I.E.; Eliseev, I.A.; Eremin, V.P.; Fe-doseenko, V.A.; Sinitskiy, V.V. Silicon for Solar Energy. Bull. Tomsk. Polytech. Univ. Geo-Resour. Eng. 2000, 303, 176–190. [Google Scholar]
- Zavertkin, A.S. Development of Lining from Karelian Quartzites for Crucible Induction Furnaces. Refract. Ceram. 2009, 50, 400–405. [Google Scholar] [CrossRef]
- Shishkin, G.A.; Marchenko, A.A.; Ivanov, N.A. Investigations of the Properties and Possibilities of Using Quartzite of the 0–20 Mm Fraction of the Cheremshansky Deposit. Bull. Irkutsk State Tech. Univ. 2012, 64, 78–85. [Google Scholar]
- Nelub, V.; Gantimurov, A.; Borodulin, A. Economic Analysis of Data Protection in Systems with Complex Architecture Using Neural Network Methods. Econ. Ann. 2020, 185, 178–188. [Google Scholar] [CrossRef]
- Strelkov, K.K. Technology of Refractories; Metallurgy: Moscow, Russia, 1978. [Google Scholar]
- Turchaninov, V.S. Interaction of Refractories with Metals and Slags; VIO: Lenindrad, Russia, 1978. [Google Scholar]
- Kukartsev, V.A. Application of Pervouralsky Quartzite in Acid Lining for Induction Cast Iron Furnaces. Foundry Russ. 2012, 1, 35–37. [Google Scholar]
- Platonov, B.P.; Akimenko, A.D.; Bogutskaya, S.M. Induction Furnaces for Melting Cast Iron; Energy: Moscow, Russia, 1976. [Google Scholar]
- Kukartsev, V.A.; Kukartsev, V.V.; Kukartsev, A.B. Influence of thermal treatment of quartzite on the stability of the lining of industrial frequency induction crucible furnaces. New Refract. 2018, 5, 28–33. [Google Scholar]
- Kassie, A.; Assfaw, B. Achamyeleh. Minimization of Casting Defects IOSR. J. Eng. 2013, 3, 31–38. [Google Scholar]
- Zuno-Silva, J.; Bedolla-Jacuinde, A.; Martínez-Vázquez, J.M.; Pérez-Perez, A.; Quintero-Azuara, T. Laboratory scale study of uncommon degradation SiO2 refractories used on induction furnaces. Nova scientia. 2014, 6, 113–134. [Google Scholar] [CrossRef]
- Fenner, C.N. The Various Forms of Silica and Their Mutual Relations. Was. Acad. Sei 1912, 1, 471–480. [Google Scholar]
- Wahl, F.M.; Grim, R.E.; Graf, R.B. Phase Transformations in Silica as Examined by Continuous X-ray Diffraction. Uniaersitl Illinois. Urbana Illinois. Am. Mineral. 1961, 46, 196–208. [Google Scholar]
- Thompson, A.B. Heat Capacities and Inversions in Tridymite, Cristobalite, and Tridymite-Cristobalite Mixed Phases. Am. Mineral. 1979, 64, 1013–1026. [Google Scholar]
- Kukartsev, V.A.; Kukartsev, V.V.; Kukartsev, A.V. Effect of the Temperature Treatment of Quartzite on the Lining Resistance of Commercial-Frequency Induction Crucible Furnaces. Refract. Ind. Ceram. 2018, 59, 252–256. [Google Scholar] [CrossRef]
- Denice, D.; Arya, A.; Kumar, M.; Vinod, G. First-principles study of electronic, cohesive and elastic properties of silica polymorphs. Mater. Today Commun. 2022, 31, 103607. [Google Scholar] [CrossRef]
- Palmer, D.C.; Finger, L.W. Pressure-induced phase transition in cristobalite: An X-ray powder diffraction study to 4.4 GPa. Am. Mineral. 1994, 79, 1–8. [Google Scholar]
- Ringdalen, E. Changes in Quartz during Heating and the Possible Effects on Si Production. JOM 2015, 67, 484–492. [Google Scholar] [CrossRef]
- Pryanishnikov, V.P. System of Silica; Publishing House of Literature on Construction: Leningrad, Russia, 1971. [Google Scholar]
- Novakovicґ, R.; Radicґ, S.M.; Risticґ, M.M. Kinetics and Mechanism of Quartz-Tridymite Transformation. Interceram 1986, 35, 29–30. [Google Scholar]
- Sanmoy, M. Kinetics of Quartz Transformation. Indian Ceram. Soc. 2014, 1, 25–38. [Google Scholar]
- Shchiptsov, V.V.; Perepelitsyn, V.A.; Grishenkov, E.E.; Enenko, V.P.; Zavertkin, A.S. Pervoural’skii and Karel’skii Quartzites for The Lining of Crucible-Type Induction Furnaces. Refract. Ind. Ceram. 2003, 44, 67–74. [Google Scholar] [CrossRef]
- Florke, O.W. Quartz, cristobalite and tridymite. Silikattechnik. 1961, 12, 304–305. [Google Scholar]
- Nikiforova, E.M.; Eromasov, R.G.; Simonova, N.S.; Vasilyeva, M.N.; Taskin, V.Y. Phase Transformations in the Siliceous Rocks-Mineralizer System. Mod. Probl. Sci. Educ. 2012, 1, 218–219. [Google Scholar]
- Zhang, H.; Guo, S.; Wu, J.; Wu, D.; Wei, K.; Ma, W. Effect of Quartz Crystal Structure Transformations on the Removal of Iron Impurities. Hydrometallurgy 2021, 204, 105715. [Google Scholar] [CrossRef]
- Swainson, I.P.; Dove, M.T.; Palmer, D.C. Infrared and Raman spectroscopy studies of the α–β phase transition in cristobalite. Phys. Chem. Miner. 2003, 30, 353–365. [Google Scholar] [CrossRef]
- Zavertkin, A.S. Effect of Quartzite Heat Treatment on Induction Furnace Lining Failure Mechanism. Refract. Ind. Ceram. 2019, 60, 67–70. [Google Scholar] [CrossRef]
- Slovikovskii, V.V.; Gulyaeva, A.V. Effective linings for Kivcet furnaces. Refract. Ind. Ceram. 2014, 54, 350–352. [Google Scholar] [CrossRef]
- He, J.; Jusnes, K.F.; Tangstad, M. Phase Transformation in Quartz at Elevated Temperatures. Metadata Show Full Item Rec. Collect. Inst. Mater. 2021, 1, 691–699. [Google Scholar]
- Vettegren, V.I.; Mamaliev, R.I.; Sobolev, G.A. Blurred Phase Transition in a Quartz Surface Layer under Temperature Change. Solid State Phys. 2013, 55, 1987–1992. [Google Scholar] [CrossRef]
- Kukartsev, V.A.; Abkarian, A.K.; Kukartsev, A.V. Investigation of the Influence of the drying Temperature on the Change in the Interplane Distances of the Crystal Lattice and the Properties of Pervouralsky Quartzite Used in the Compositions of the Lining Masses Of Induction Furnaces by X-ray Methods. Refract. Tech. Ceram. 2014, 2, 16–23. [Google Scholar]
- Kukartsev, V.A.; Trunova., A.I.; Kukartsev., A.V. Thermal Analysis of Quartzite Used for Lining of an Industrial Frequency Induction Crucible Furnace. New Refract. 2014, 1, 33–35. [Google Scholar]
- Topor, N. Thermal Analysis of Minerals and Inorganic Compounds; Moscow State University: Moscow, Russia, 1987. [Google Scholar]
- Li, W.; Xu, C.; Xie, A.; Chen, K.; Yang, Y.; Liu, L.; Zhu, S. Microstructure Study of Phase Transformation of Quartz in Potassium Silicate Glass at 900 °C and 1000 °C. Crystals 2021, 11, 1481. [Google Scholar] [CrossRef]








—cooling up to 1470 °C,
—heating up to 1025 °C,
—cooling up to 870 °C,
—cooling up to 1550 °C,
—drainage at 1470 °C,
—heating up to 1470 °C,
—heating up to 1550 °C,
—drainage at 1550 °C.
—cooling up to 1470 °C,
—heating up to 1025 °C,
—cooling up to 870 °C,
—cooling up to 1550 °C,
—drainage at 1470 °C,
—heating up to 1470 °C,
—heating up to 1550 °C,
—drainage at 1550 °C.
—cooling up to 1470 °C,
—heating up to 1025 °C,
—cooling up to 870 °C,
—cooling up to 1550 °C,
—drainage at 1470 °C,
—heating up to 1470 °C,
—heating up to 1550 °C,
—drainage at 1550 °C.
—cooling up to 1470 °C,
—heating up to 1025 °C,
—cooling up to 870 °C,
—cooling up to 1550 °C,
—drainage at 1470 °C,
—heating up to 1470 °C,
—heating up to 1550 °C,
—drainage at 1550 °C.
—cooling up to 1550 °C,
—drainage at 1470 °C,
—cooling up to 1470 °C,
—cooling up to 870 °C,
—heating up to 1025 °C,
—heating up to 1550 °C,
—heating up to 1470 °C.
—cooling up to 1550 °C,
—drainage at 1470 °C,
—cooling up to 1470 °C,
—cooling up to 870 °C,
—heating up to 1025 °C,
—heating up to 1550 °C,
—heating up to 1470 °C.
—cooling up to 1550 °C,
—drainage at 1470 °C,
—cooling up to 1470 °C,
—cooling up to 870 °C,
—heating up to 1025 °C,
—heating up to 1550 °C,
—heating up to 1470 °C.
—cooling up to 1550 °C,
—drainage at 1470 °C,
—cooling up to 1470 °C,
—cooling up to 870 °C,
—heating up to 1025 °C,
—heating up to 1550 °C,
—heating up to 1470 °C.
—cooling up to 1470 °C,
—drainage at 1025 °C,
—heating up to 1025 °C,
—cooling up to 1025 °C,
—cooling at 1550 °C,
—heating up to 1470 °C,
—heating up to 1550 °C.
—cooling up to 1470 °C,
—drainage at 1025 °C,
—heating up to 1025 °C,
—cooling up to 1025 °C,
—cooling at 1550 °C,
—heating up to 1470 °C,
—heating up to 1550 °C.
—drainage at 800 °C,
—cooling up to 1470 °C,
—drainage at 1025 °C,
—heating up to 1025 °C,
—cooling up to 1025 °C,
—cooling at 1550 °C,
—heating up to 1470 °C,
—heating up to 1550 °C.
—drainage at 800 °C,
—cooling up to 1470 °C,
—drainage at 1025 °C,
—heating up to 1025 °C,
—cooling up to 1025 °C,
—cooling at 1550 °C,
—heating up to 1470 °C,
—heating up to 1550 °C.
—Quartzite treated at a temperature of 800 °C;
—quartzite treated at a temperature of 200 °C.
—Quartzite treated at a temperature of 800 °C;
—quartzite treated at a temperature of 200 °C.
| Chemical Composition of PKMVI-3B Quartzite | Content (%) | |||||||||
|---|---|---|---|---|---|---|---|---|---|---|
| SiO2 | Al2O3 | CaO | MgO | TiO2 | Fe2O3 | P2O5 | MnO | Na2O | K2O | |
| According to TU | 97.5 | 1.1 | - | - | - | 0.6 | - | - | - | - |
| Spectrometry of material dried at 200 °C | 96.54 | 0.982 | 0.189 | 0.025 | 0.205 | 0.93 | 0.014 | 0.031 | 0.105 | 0.374 |
| Indicators | No. | |||||||||
|---|---|---|---|---|---|---|---|---|---|---|
| 00-012-0708 | 01-071-0911 | 00-005-0490 | 01-083-2187 | 01-070-7344 | 02-002-0278 | 01-011-0695 | 01-085-0621 | 01-071-0032 | 00-018-1170 | |
| a (Å) | 4.994 | 5 | 4.913 | 4.965 | 4.915 | 7.12 | 4.971 | 7.16 | 18.494 | 18.504 |
| b (Å) | 5.438 | 5.49 | 5.405 | 5.424 | 5.406 | - | - | - | 4.991 | 5.006 |
| Mol. weight (g/mol) | 60.08 | 52.87 | 60.08 | 60.08 | 60.08 | 60.08 | 60.08 | 60.08 | 60.08 | 60.08 |
| Volume (Å3) | 117.45 | 118.86 | 112.98 | 115.79 | 113.09 | 360.94 | 170.95 | 367.06 | 2110.15 | 2215.08 |
| Dx (g/cm3) | 2.548 | 2.216 | 2.649 | 2.58 | 2.647 | 2.211 | 2.335 | 2.174 | 2.270 | 2.254 |
| c (Å) | - | - | - | - | - | - | - | - | 26.832 | 23.845 |
| Lattice Parameter | Temperature (°C) | ||||||
|---|---|---|---|---|---|---|---|
| 25/30 Dry | 200 | 600 | 870 | 1000 | 1470 | 1550 | |
| davg (Å) | 2.814/ | 2.8340/ | 2.7913/ | 2.9277/ | 2.9796/ | 3.0384/ | 3.2619/ |
| 2.7574 | 2.9012 | 3.0066 | 3.0545 | 3.1048 | 3.156 | 3.2156 | |
| Vavg (Å3) | 119.1/ | 116.55/ | 117.47/ | 125.86/ | 124.06/ | 124.04/ | 143.65/ |
| 114.83 | 115.41 | 647.47 | 1653.02 | 1722.83 | 1742.69 | 1606.96 | |
| Davg (g/cm3) | 2.5971/ | 2.552/ | 2.333/ | 2.292/ | 2.291/ | 2.229/ | 2.227/ |
| 2.601 | 2.592 | 2.502 | 2.2685 | 2.266 | 2.265 | 2.258 | |
| Mavg (g/mol) | 60.08/ | 60.08/ | 55.16/ | 53.91/ | 53.66/ | 53.66/ | 54.41/ |
| 60.08 | 60.08 | 60.08 | 58.38 | 58.63 | 58.79 | 58.79 | |
| Phase composition | Quartzite | Quartzite | Quartzite/ tridymite quartzite | Quartzite cristobalite/ tridymite quartzite | Quartzite cristobalite/ tridymite quartzite | Quartzite cristobalite/ tridymite quartzite | Quartzite cristobalite/ tridymite cristobalite Quartzite |
| Specific Heat (ΔCp) | Temperature (°C) | |||||||||||||||||
|---|---|---|---|---|---|---|---|---|---|---|---|---|---|---|---|---|---|---|
| 1550 | 1470 | 1025 | 870 | 1025 | 1470 | 1550 | 1470 | 1025 | 870 | 1025 | 1470 | 1550 | 1470 | 1025 | 870 | 1025 | 1470 | |
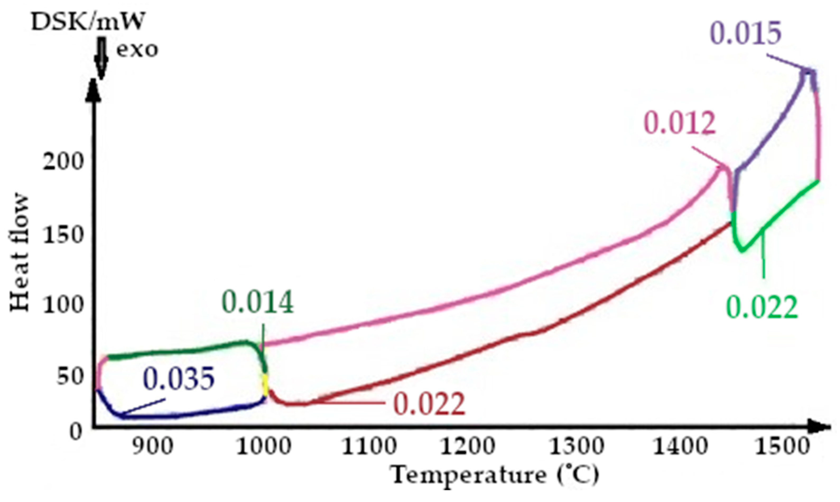
| Quartzite No. 1 (J/K) | 0.018 | 0.014 | 0.015 | 0.024 | 0.023 | 0.03 | 0.007 | 0.002 | 0.010 | 0.015 | 0.040 | 0.019 | 0.015 | 0.012 | 0.035 | 0.020 | 0.022 | 0.022 |
| Quartzite No. 2 (J/K) | 0.009 | 0.017 | 0.037 | 0.035 | 0.037 | 0.033 | 0.018 | 0.009 | 0.024 | 0.044 | 0.050 | 0.031 | 0.022 | 0.014 | 0.020 | 0.045 | 0.025 | 0.029 |
| Enthalpy | Temperature (°C) | |||||||||||||||||
|---|---|---|---|---|---|---|---|---|---|---|---|---|---|---|---|---|---|---|
| Cooling | Heating | Cooling | Heating | Cooling | Heating | |||||||||||||
| 1550–1470 | 1470–1025 | 1025–870 | 870–1025 | 1025–1470 | 1470–1550 | 1550–1470 | 1470–1025 | 1025–870 | 870–1025 | 1025–1470 | 1470–1550 | 1550–1470 | 1470–1025 | 1025–870 | 870–1025 | 1025–1470 | 1470–1550 | |
| Quartzite No. 1 (mJ/g) | 2263 | 1117 | 61 | −57 | −333 | −1406 | 2235 | 763 | 234 | −171 | −369 | −1322 | 2187 | 1781 | 473 | −364 | −435 | −1256 |
| Quartzite No. 2 (mJ/g) | 1947 | 1680 | 75 | −122 | −228 | −1402 | 446 | 604 | 57 | −43 | −322 | −2462 | 1749 | 1459 | 56 | −116 | −190 | −2733 |
Disclaimer/Publisher’s Note: The statements, opinions and data contained in all publications are solely those of the individual author(s) and contributor(s) and not of MDPI and/or the editor(s). MDPI and/or the editor(s) disclaim responsibility for any injury to people or property resulting from any ideas, methods, instructions or products referred to in the content. |
© 2023 by the authors. Licensee MDPI, Basel, Switzerland. This article is an open access article distributed under the terms and conditions of the Creative Commons Attribution (CC BY) license (https://creativecommons.org/licenses/by/4.0/).
Share and Cite
Kukartsev, V.A.; Kukartsev, V.V.; Tynchenko, V.S.; Kurashkin, S.O.; Sergienko, R.B.; Tynchenko, S.V.; Panfilov, I.A.; Eremeeva, S.V.; Panfilova, T.A. Study of the Influence of the Thermal Capacity of the Lining of Acid Melting Furnaces on Their Efficiency. Metals 2023, 13, 337. https://doi.org/10.3390/met13020337
Kukartsev VA, Kukartsev VV, Tynchenko VS, Kurashkin SO, Sergienko RB, Tynchenko SV, Panfilov IA, Eremeeva SV, Panfilova TA. Study of the Influence of the Thermal Capacity of the Lining of Acid Melting Furnaces on Their Efficiency. Metals. 2023; 13(2):337. https://doi.org/10.3390/met13020337
Chicago/Turabian StyleKukartsev, Viktor Alekseevich, Vladislav Viktorovich Kukartsev, Vadim Sergeevich Tynchenko, Sergei Olegovich Kurashkin, Roman Borisovich Sergienko, Sergei Vasilievich Tynchenko, Ilya Alexandrovich Panfilov, Svetlana Vitalievna Eremeeva, and Tatyana Aleksandrovna Panfilova. 2023. "Study of the Influence of the Thermal Capacity of the Lining of Acid Melting Furnaces on Their Efficiency" Metals 13, no. 2: 337. https://doi.org/10.3390/met13020337
APA StyleKukartsev, V. A., Kukartsev, V. V., Tynchenko, V. S., Kurashkin, S. O., Sergienko, R. B., Tynchenko, S. V., Panfilov, I. A., Eremeeva, S. V., & Panfilova, T. A. (2023). Study of the Influence of the Thermal Capacity of the Lining of Acid Melting Furnaces on Their Efficiency. Metals, 13(2), 337. https://doi.org/10.3390/met13020337

