Accurate Detection of Cd2+ and Pb2+ Concentrations in Soils by Stripping Voltammetry Peak Areas under the Mutual Interference of Multiple Heavy Metals
Abstract
1. Introduction
2. Materials and Methods
2.1. Reagents and Apparatus
2.2. Preparation of the Bi/GCE
2.3. SWASV Measurement
2.4. Establishment of Experimental Datasets
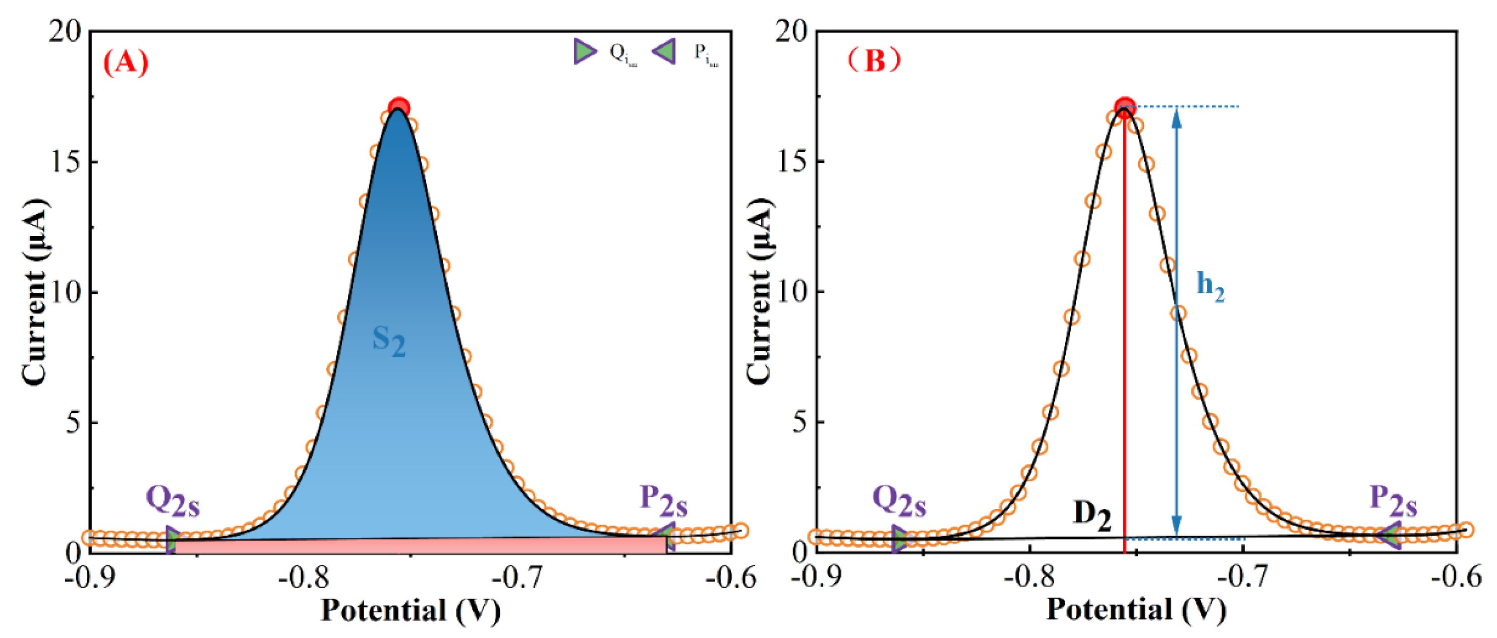
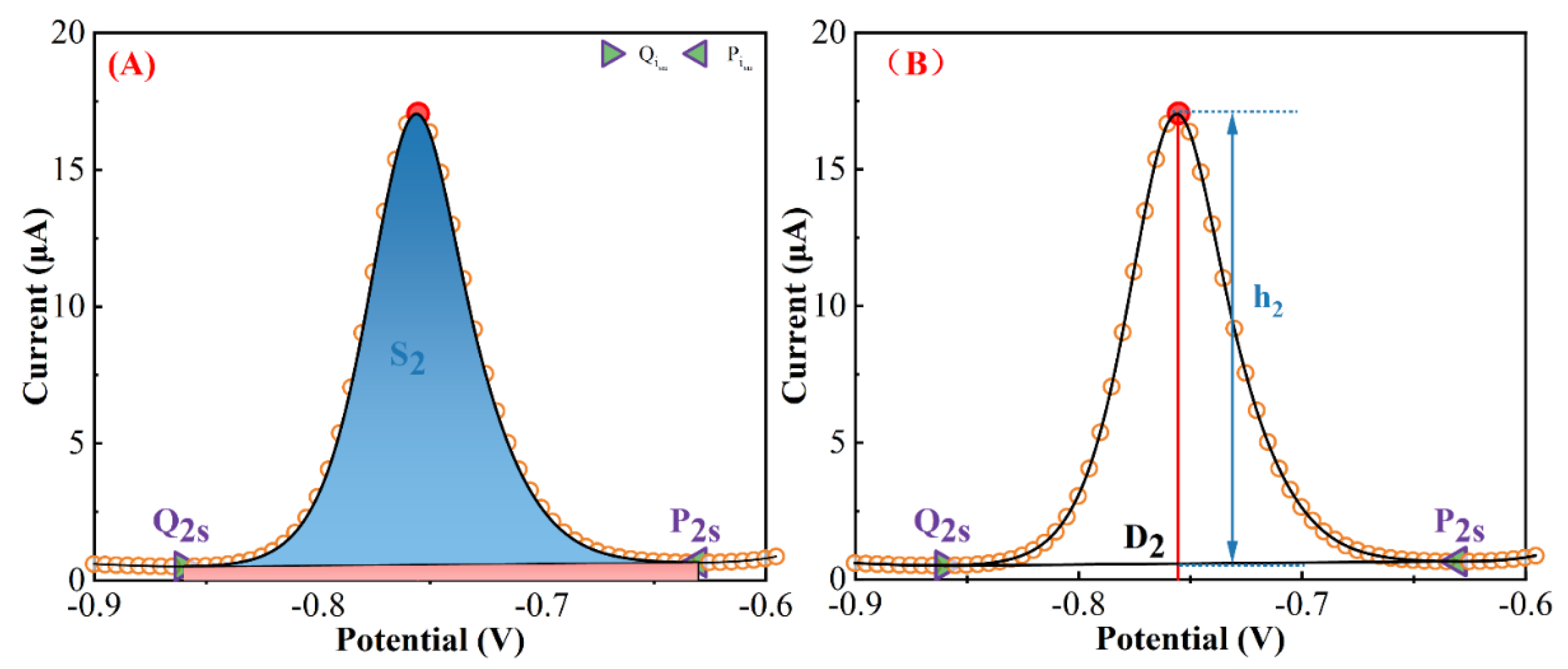
2.5. Development of Peak Height and Peak Area Acquisition Algorithms
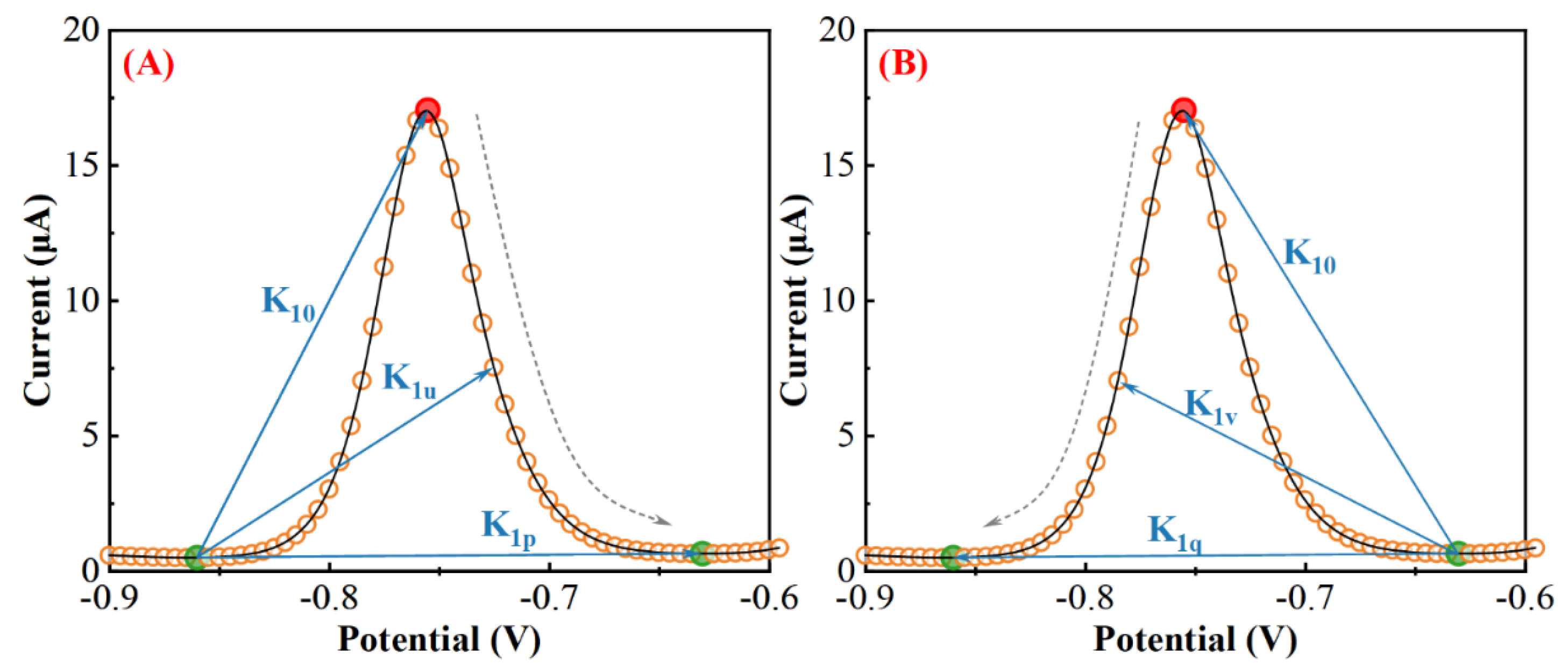
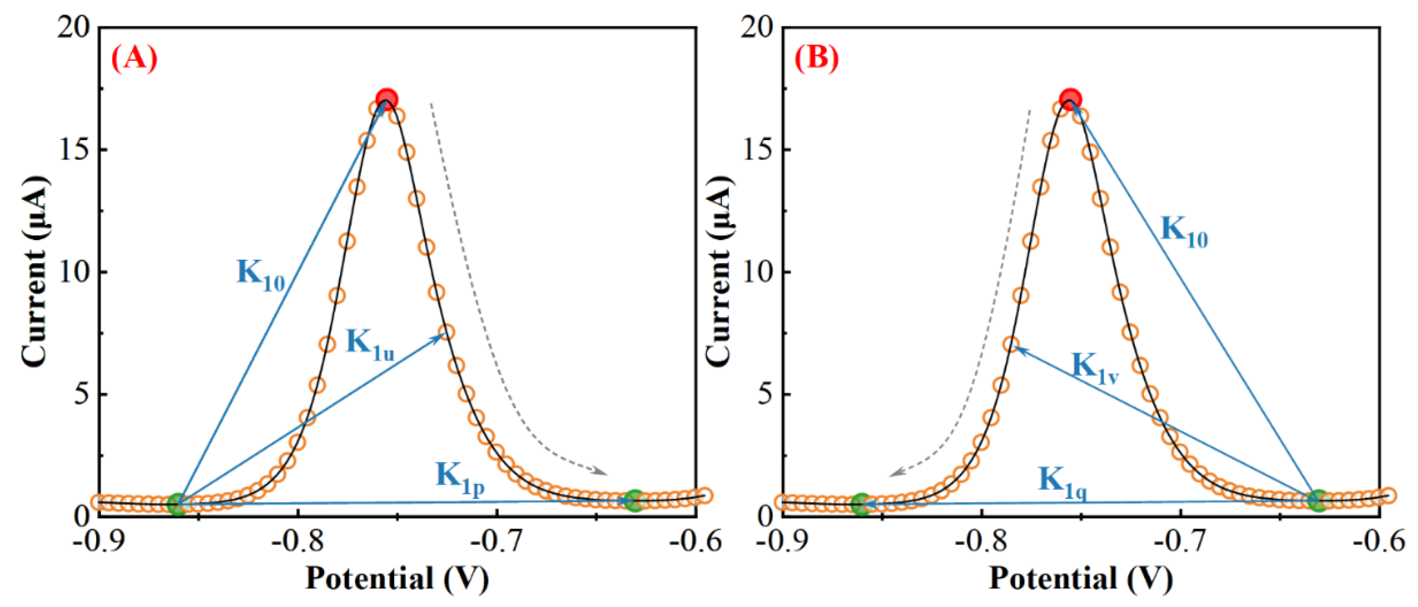
2.5.1. Segmentation of SWASV Curves
2.5.2. Calculation of Valid Data Segments
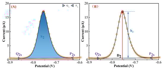
2.5.3. Acquirement of Peak Heights and Peak Areas
2.6. Detection Models
2.7. Evaluation Parameters of Data and Model Performance
2.8. Preparation of Real Soil Extracts
3. Results and Discussion
3.1. Analysis of SWASV Signals and Input Variables
3.1.1. Analysis of Interactive Interference of Multiple HMIs by SWASV Signals
3.1.2. Comparison of Peak Heights and Peak Areas of Multiple HMIs Acquired by Different Methods
3.2. Detection of Cd2+ and Pb2+ Concentrations by Peak Heights
3.2.1. PLSR Models Established Using Peak Heights
3.2.2. SVR Models Established Using Peak Heights
3.3. Detection of Cd2+ and Pb2+ Concentrations by Peak Areas
3.3.1. PLSR Models Established Using Peak Areas
3.3.2. SVR Models Established Using Peak Areas
3.4. Comparison and Analysis of Different Detection Models
3.5. Application of Aalgo-SVR for Detecting Cd2+ and Pb2+ Concentrations in Soil Extract Solution
3.6. Limitations and Prospects
4. Conclusions
Supplementary Materials
Author Contributions
Funding
Data Availability Statement
Acknowledgments
Conflicts of Interest
References
- Singh, N.; Gupta, V.K.; Kumar, A.; Sharma, B. Synergistic Effects of Heavy Metals and Pesticides in Living Systems. Front. Chem. 2017, 5, 70. [Google Scholar] [CrossRef] [PubMed]
- Pande, A.; Mun, B.; Methela, N.J.; Rahim, W.; Lee, D.; Lee, G.; Hong, J.K.; Hussain, A.; Loake, G.; Yun, B. Heavy metal toxicity in plants and the potential NO-releasing novel techniques as the impending mitigation alternatives. Front. Plant Sci. 2022, 13, 1019647. [Google Scholar] [CrossRef]
- Wang, L.; Zeraatpisheh, M.; Wei, Z.; Xu, M. Heavy metal pollution and risk assessment of farmland soil around abandoned domestic waste dump in Kaifeng City. Front. Environ. Sci. 2022, 10, 1440. [Google Scholar] [CrossRef]
- Liao, J.; Song, Y.; Wang, R.; Zeng, Y.; Si, H.; Ge, C.; Lin, S. A synergistic promotion strategy for selective trapping and sensing of lead(II) by oxygen-vacancy and surface modulation of MnO2 nanoflowers. Sens. Actuators B Chem. 2021, 345, 130384. [Google Scholar] [CrossRef]
- Liu, N.; Zhao, G.; Liu, G. Accurate SWASV detection of Cd(II) under the interference of Pb(II) by coupling support vector regression and feature stripping currents. J. Electroanal. Chem. 2021, 889, 115227. [Google Scholar] [CrossRef]
- Liu, N.; Zhao, G.; Ye, W.; Wang, J.; Liu, G. VUV-H2O2 photolysis as a pretreatment method for improving the SWASV detection accuracies of Cd2+ and Pb2+ in soil extracts. J. Environ. Chem. Eng. 2022, 10, 107813. [Google Scholar] [CrossRef]
- Liu, N.; Ye, W.; Zhao, G.; Liu, G. Release of free-state ions from fulvic acid-heavy metal complexes via VUV/H2O2 photolysis: Photodegradation of fulvic acids and recovery of Cd2+ and Pb2+ stripping voltammetry currents. Environ. Pollut. 2022, 315, 120420. [Google Scholar] [CrossRef]
- Wang, Y.; Wu, X.; Sun, J.; Wang, C.; Zhu, G.; Bai, L.; Jiang, Z.; Zhang, W. Stripping voltammetric determination of cadmium and lead ions based on a bismuth oxide surface-decorated nanoporous bismuth electrode. Electrochem. Commun. 2022, 136, 107233. [Google Scholar] [CrossRef]
- Meng, Z.H.; Zheng, Y.F.; Xiao, H.F. Distribution and Ecological Risk Assessment of Heavy Metal Elements in Soil. Adv. Mater. Res. 2011, 183–185, 82–87. [Google Scholar] [CrossRef]
- Liu, R.; Xu, Y.; Zhang, J.; Wang, W.; Elwardany, R.M. Effects of heavy metal pollution on farmland soils and crops: A case study of the Xiaoqinling Gold Belt, China. China Geol. 2020, 3, 402–410. [Google Scholar] [CrossRef]
- Zhang, Q.; Wen, H.; Peng, D.; Fu, Q.; Huang, X. Interesting interference evidences of electrochemical detection of Zn(II), Cd(II) and Pb(II) on three different morphologies of MnO2 nanocrystals. J. Electroanal. Chem. 2015, 739, 89–96. [Google Scholar] [CrossRef]
- Zhao, G.; Liu, G. Interference Effects of Cu(II) and Pb(II) on the Stripping Voltammetric Detection of Cd(II): Improvement in the Detection Precision and Interference Correction. J. Electrochem. Soc. 2018, 165, H488–H495. [Google Scholar] [CrossRef]
- Jiang, T.; Guo, Z.; Ma, M.; Fang, L.; Yang, M.; Li, S.; Liu, J.; Zhao, N.; Huang, X.; Liu, W. Electrochemical laser induced breakdown spectroscopy for enhanced detection of Cd(II) without interference in rice on layer-by-layer assembly of graphene oxides. Electrochim. Acta 2016, 216, 188–195. [Google Scholar] [CrossRef]
- Tibbetts, D.F.; Davis, J.; Compton, R.G. Sonoelectroanalytical detection of lead at a bare copper electrode. Fresenius’ J. Anal. Chem. 2000, 368. [Google Scholar] [CrossRef] [PubMed]
- Jiang, M.; Ma, M.; Lin, C.; Yang, M.; Fang, L.; Liu, J.; Zhao, N.; Huang, X. Uniform manganese-loaded titanium dioxide nanotube arrays for accurate detection of trace Cd2+ in water, soil and tea: Enhanced stability and sensitivity. Chem. Eng. J. 2020, 400, 125972. [Google Scholar] [CrossRef]
- Xiao, L.; Wang, B.; Ji, L.; Wang, F.; Yuan, Q.; Hu, G.; Dong, A.; Gan, W. An efficient electrochemical sensor based on three-dimensionally interconnected mesoporous graphene framework for simultaneous determination of Cd(II) and Pb(II). Electrochim. Acta 2016, 222, 1371–1377. [Google Scholar] [CrossRef]
- Hwang, G.; Han, W.; Park, J.; Kang, S. Determination of trace metals by anodic stripping voltammetry using a bismuth-modified carbon nanotube electrode. Talanta 2008, 76, 301–308. [Google Scholar] [CrossRef]
- Liu, N.; Ye, W.; Liu, G.; Zhao, G. Improving the accuracy of stripping voltammetry detection of Cd2+ and Pb2+ in the presence of Cu2+ and Zn2+ by machine learning: Understanding and inhibiting the interactive interference among multiple heavy metals. Anal. Chim. Acta 2022, 1213, 339956. [Google Scholar] [CrossRef]
- Liu, N. Sensitive Stripping Voltammetric Determination of Pb(II) in Soil Using a Bi/single-walled Carbon Nanotubes-Nafion/ionic Liquid Nanocomposite Modified Screen-Printed Electrode. Int. J. Electrochem. Sci. 2020, 15, 7868–7882. [Google Scholar] [CrossRef]
- Malakootian, M.; Hamzeh, S.; Mahmoudi-Moghaddam, H. A new electrochemical sensor for simultaneous determination of Cd(II) and Pb(II) using FeNi3/CuS/BiOCl: RSM optimization. Microchem. J. 2020, 158, 105194. [Google Scholar] [CrossRef]
- Sawan, S.; Maalouf, R.; Errachid, A.; Jaffrezic-Renault, N. Metal and metal oxide nanoparticles in the voltammetric detection of heavy metals: A review. TrAC Trends Anal. Chem. 2020, 131, 116014. [Google Scholar] [CrossRef]
- Lin, W.; Zhai, W.; Yan, Y.; Liu, Y. Highly sensitive Pb2+ sensor based on rod-like poly-tyrosine/Bi modified glassy carbon electrode combined with electrodeposition to eliminate Cu2+ interference. Microchem. J. 2021, 160, 105664. [Google Scholar] [CrossRef]
- Zhou, J.; Pan, K.; Qu, G.; Ji, W.; Ning, P.; Tang, H.; Xie, R. rGO/MWCNTs-COOH 3D hybrid network as a high-performance electrochemical sensing platform of screen-printed carbon electrodes with an ultra-wide detection range of Cd(II) and Pb(II). Chem. Eng. J. 2022, 449, 137853. [Google Scholar] [CrossRef]
- Zhao, G.; Wang, H.; Liu, G.; Wang, Z. Optimization of Stripping Voltammetric Sensor by a Back Propagation Artificial Neural Network for the Accurate Determination of Pb(II) in the Presence of Cd(II). Sensors 2016, 16, 1540. [Google Scholar] [CrossRef]
- Liu, N.; Zhao, G.; Liu, G. Coupling Square Wave Anodic Stripping Voltammetry with Support Vector Regression to Detect the Concentration of Lead in Soil under the Interference of Copper Accurately. Sensors 2020, 20, 6792. [Google Scholar] [CrossRef] [PubMed]
- Zhao, G.; Liu, G. A Portable Electrochemical System for the On-Site Detection of Heavy Metals in Farmland Soil Based on Electrochemical Sensors. IEEE Sens. J. 2018, 18, 5645–5655. [Google Scholar] [CrossRef]
- Gich, M.; Fernández-Sánchez, C.; Cotet, L.C.; Niu, P.; Roig, A. Facile synthesis of porous bismuth–carbon nanocomposites for the sensitive detection of heavy metals. J. Mater. Chem. A 2013, 1, 11410. [Google Scholar] [CrossRef]
- Xu, C.; Liu, J.; Bi, Y.; Ma, C.; Bai, J.; Hu, Z.; Zhou, M. Biomass derived worm-like nitrogen-doped-carbon framework for trace determination of toxic heavy metal lead(II). Anal. Chim. Acta 2020, 1116, 16–26. [Google Scholar] [CrossRef] [PubMed]
- Liuzhu, Z.; Sekar, S.; Chen, J.; Lee, S.; Kim, D.Y.; Manikandan, R. A polyrutin/AgNPs coated GCE for simultaneous anodic stripping voltammetric determination of Pb(II) and Cd(II) ions in environmental samples. Colloids Surf. A Physicochem. Eng. Asp. 2022, 648, 129082. [Google Scholar] [CrossRef]
- Li, X.; Fan, P.; Li, Z.; Chen, G.; Qiu, H.; Hou, G. Soil Classification Based on Deep Learning Algorithm and Visible Near-Infrared Spectroscopy. J. Spectrosc. 2021, 2021, 1508267. [Google Scholar] [CrossRef]
- Ferreira, R.D.A.; Teixeira, G.; Peternelli, L.A. Kennard-stone method outperforms the random sampling in the selection of calibration samples in snps and nir data. Ciência Rural 2022, 52. [Google Scholar] [CrossRef]
- He, Z.; Song, S.; Shen, K.; Zhang, X. Performance enhancement-based active learning sample selection method. J. Chemometr. 2022, 36, e3386. [Google Scholar] [CrossRef]
- Wang, S.F.; Han, P.; Cui, G.L.; Wang, D.; Liu, S.S.; Zhao, Y. The nir detection research of soluble solid content in watermelon based on spxy algorithm. Spectrosc. Spect. Anal. 2019, 39, 738–742. [Google Scholar] [CrossRef]
- Geladi, P.; Kowalski, B.R. Partial least-squares regression: A tutorial. Anal. Chim. Acta 1986, 185, 1–17. [Google Scholar] [CrossRef]
- Herrero, A.; Ortiz, M.C. Modelling the background current with partial least squares regression and transference of the calibration models in the simultaneous determination of Tl and Pb by stripping voltammetry. Talanta 1998, 46, 129–138. [Google Scholar] [CrossRef]
- Huang, Q.T.; Zhou, L.Q.; Shi, Z.; Li, Z.Y.; Gu, Q. Analysis of Lead in Soil with Partial Least Square Regression (PLS) Method and Field Portable X-ray Fluorescence (FPXRF) Analyzer. Spectrosc. Spect. Anal. 2009, 29, 1434–1438. [Google Scholar] [CrossRef]
- Chen, F.; Chen, C.; Chen, C.; Yan, Z.; Gao, R.; Han, H.; Li, W.; Lv, X. Application of PLSR in rapid detection of glucose in sheep serum. Optik 2020, 224, 165734. [Google Scholar] [CrossRef]
- Yazir, S.M.; Dhas, J.E.R.; Darwins, A.K.; Lewise, K.A.S.; Gupta, M.S. Modelling of weld residual stress parameters by SVR approach. Mater. Today Proc. 2022, 64, 338–344. [Google Scholar] [CrossRef]
- Liang, H.; Zou, J.; Li, Z.; Khan, M.J.; Lu, Y. Dynamic evaluation of drilling leakage risk based on fuzzy theory and PSO-SVR algorithm. Future Gener. Comput. Syst. 2019, 95, 454–466. [Google Scholar] [CrossRef]
- Han, J.; Kamber, M.; Pei, J. 2—Getting to Know Your Data. In Data Mining, 3rd ed.; Han, J., Kamber, M., Pei, J., Eds.; Morgan Kaufmann: Boston, MA, USA, 2012; pp. 39–82. [Google Scholar]
- Metcalf, L.; Casey, W. Chapter 2—Metrics, Similarity, and Sets. In Cybersecurity and Applied Mathematics; Metcalf, L., Casey, W., Eds.; Syngress: Boston, MA, USA, 2016; pp. 3–22. [Google Scholar]
- Ning, L.; Guo, Z.; Gang, L. Research advances of influencing factors and weakening methods to determine Pb2+ and Cd2+ in soils by anodic stripping voltammetry. Trans. Chin. Soc. Agric. Eng. 2021, 37, 232–243. [Google Scholar] [CrossRef]











| Target Ions (Concentration: μg/L) | Interference Ions (Concentration: μg/L) | Inputs | Models | RMSE (μg/L) | R2 | Reference |
|---|---|---|---|---|---|---|
| Cd2+ (1–35) | Cu2+ (1–35), Pb2+ (1–35) | Peak currents 1 | SVR | 0.9299 | 0.995 | [12] |
| Cd2+ (1–35) | Pb2+ (0–150) | Peak currents | PLS | 5.3207 | 0.746 | [5] |
| SVR | 4.2277 | 0.867 | ||||
| Cd2+ (2–35) | Cu2+ (0–350), Zn2+ (0–175), Pb2+ (5–175) | Peak currents | PLS | 11.281 | 0.361 | [18] |
| SVR | 4.655 | 0.832 | ||||
| Cd2+ (2–35) | Cu2+ (0–350), Zn2+ (0–175), Pb2+ (5–175) | Peak areas 2 | SVR | 2.9906 | 0.9204 | This work |
| Pb2+ (1–110) | Cd2+ (0–110) | Peak currents | BP-ANN | 1.69 | 0.998 | [24] |
| Pb2+ (1–45) | Cu2+ (0–25) | Peak currents | SVR | 1.1204 | 0.994 | [25] |
| Pb2+ (5–175) | Cu2+ (0–350), Zn2+ (0–175), Cd2+ (2–35) | Peak currents | PLS | 25.234 | 0.811 | [18] |
| SVR | 25.119 | 0.811 | ||||
| Pb2+ (5–175) | Cu2+ (0–350), Zn2+ (0–175), Cd2+ (2–35) | Peak areas | SVR | 13.1574 | 0.9756 | This work |
| Soil Extracts | Cd2+ Detection (μg/L) | Pb2+ Detection (μg/L) | ||
|---|---|---|---|---|
| Aalgo-SVR | ICP-MS | Aalgo-SVR | ICP-MS | |
| Sample No. 1 | 1.0067 | 1.1007 | 18.5140 | 18.6985 |
| Sample No. 2 | 1.0698 | 1.1011 | 17.2347 | 17.7078 |
Disclaimer/Publisher’s Note: The statements, opinions and data contained in all publications are solely those of the individual author(s) and contributor(s) and not of MDPI and/or the editor(s). MDPI and/or the editor(s) disclaim responsibility for any injury to people or property resulting from any ideas, methods, instructions or products referred to in the content. |
© 2023 by the authors. Licensee MDPI, Basel, Switzerland. This article is an open access article distributed under the terms and conditions of the Creative Commons Attribution (CC BY) license (https://creativecommons.org/licenses/by/4.0/).
Share and Cite
Ye, W.; Liu, N.; Zhao, G.; Liu, G. Accurate Detection of Cd2+ and Pb2+ Concentrations in Soils by Stripping Voltammetry Peak Areas under the Mutual Interference of Multiple Heavy Metals. Metals 2023, 13, 270. https://doi.org/10.3390/met13020270
Ye W, Liu N, Zhao G, Liu G. Accurate Detection of Cd2+ and Pb2+ Concentrations in Soils by Stripping Voltammetry Peak Areas under the Mutual Interference of Multiple Heavy Metals. Metals. 2023; 13(2):270. https://doi.org/10.3390/met13020270
Chicago/Turabian StyleYe, Wenshuai, Ning Liu, Guo Zhao, and Gang Liu. 2023. "Accurate Detection of Cd2+ and Pb2+ Concentrations in Soils by Stripping Voltammetry Peak Areas under the Mutual Interference of Multiple Heavy Metals" Metals 13, no. 2: 270. https://doi.org/10.3390/met13020270
APA StyleYe, W., Liu, N., Zhao, G., & Liu, G. (2023). Accurate Detection of Cd2+ and Pb2+ Concentrations in Soils by Stripping Voltammetry Peak Areas under the Mutual Interference of Multiple Heavy Metals. Metals, 13(2), 270. https://doi.org/10.3390/met13020270

