Optimizing Annealing Temperature Control for Enhanced Magnetic Properties in Fe-Si-B Amorphous Flake Powder Cores
Abstract
:1. Introduction
2. Experimental Sections
2.1. Materials
2.2. Fabrication
2.3. Characterization
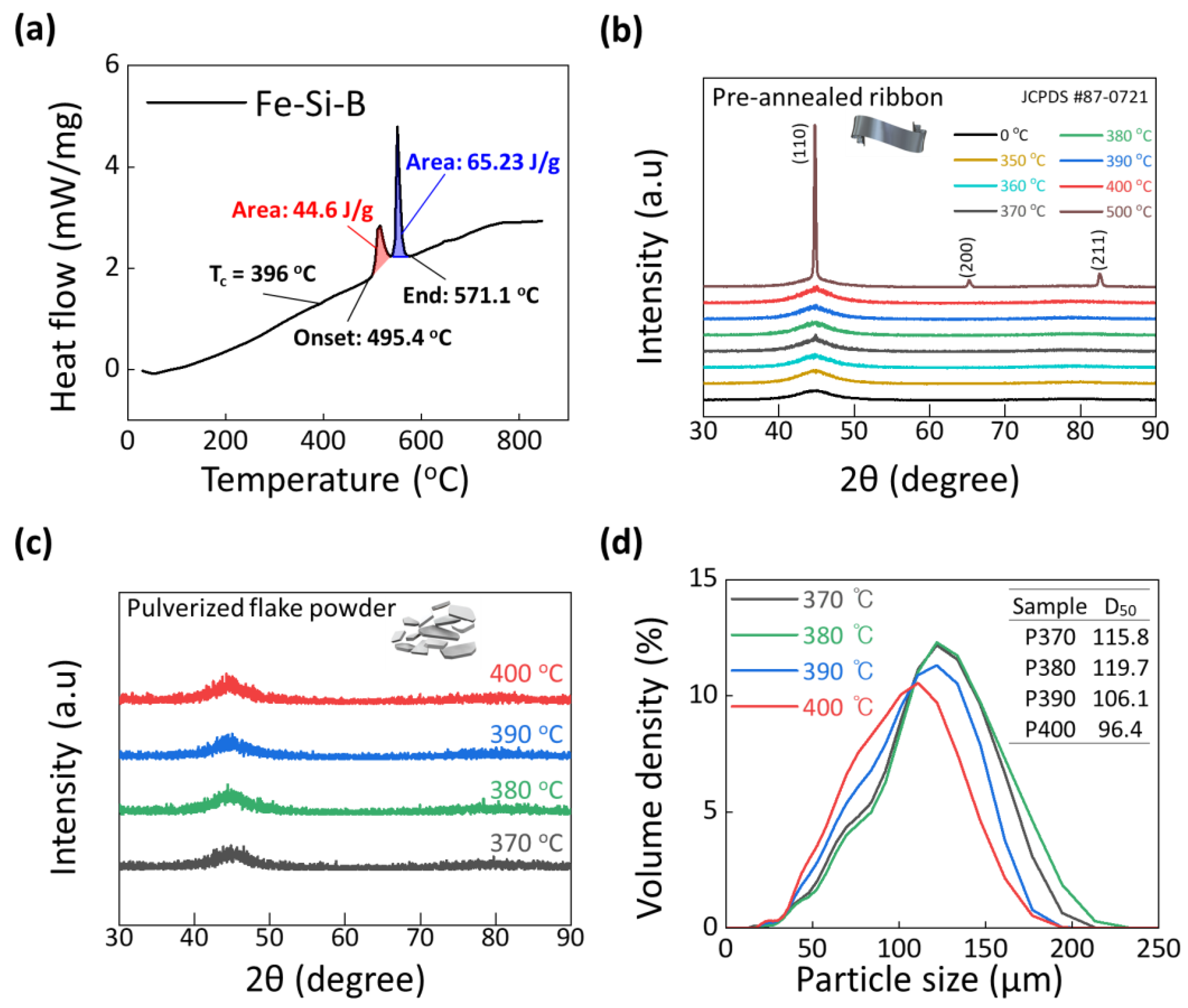
3. Results and Discussion
4. Conclusions
Author Contributions
Funding
Data Availability Statement
Conflicts of Interest
References
- Hsiang, H.-I. Progress in materials and processes of multilayer power inductors. J. Mater. Sci. Mater. Electron. 2020, 31, 16089–16110. [Google Scholar] [CrossRef]
- Zhou, B.; Dong, Y.; Chi, Q.; Zhang, Y.; Chang, L.; Gong, M.; Huang, J.; Pan, Y.; Wang, X. Fe-based amorphous soft magnetic composites with SiO2 insulation coatings: A study on coatings thickness, microstructure and magnetic properties. Ceram. Int. 2020, 46, 13449–13459. [Google Scholar] [CrossRef]
- Woo, H.J.; Ahn, J.H.; Kim, C.P.; Choi, D.H.; Kim, S.; Lee, B.W. Effect of the particle size classification of FeSiCrB amorphous soft magnetic composites to improve magnetic properties of power inductors. J. Non-Cryst. Solids. 2022, 577, 121309. [Google Scholar] [CrossRef]
- Chen, Y.; Zhang, L.; Sun, H.; Chen, F.; Zhang, P.; Qu, X.; Fan, E. Enhanced magnetic properties of iron-based soft magnetic composites with phosphate-polyimide insulating layer. J. Alloys Compd. 2020, 813, 152205. [Google Scholar] [CrossRef]
- Thorsson, L.; Unosson, M.; Pérez-Prado, M.T.; Jin, X.; Tiberto, P.; Barrera, G.; Adam, B.; Neuber, N.; Ghavimi, A.; Frey, M. Selective laser melting of a Fe-Si-Cr-BC-based complex-shaped amorphous soft-magnetic electric motor rotor with record dimensions. Mater. Des. 2022, 215, 110483. [Google Scholar] [CrossRef]
- Krings, A.; Cossale, M.; Tenconi, A.; Soulard, J.; Cavagnino, A.; Boglietti, A. Characteristics comparison and selection guide for magnetic materials used in electrical machines. In Proceedings of the 2015 IEEE International Electric Machines & Drives Conference (IEMDC), Coeur d’Alene, ID, USA, 10–13 May 2015; pp. 1152–1157. [Google Scholar]
- Leary, A.M.; Ohodnicki, P.R.; McHenry, M.E. Soft magnetic materials in high-frequency, high-power conversion applications. JOM 2012, 64, 772–781. [Google Scholar] [CrossRef]
- Inoue, A. Stabilization of metallic supercooled liquid and bulk amorphous alloys. Acta Mater. 2000, 48, 279–306. [Google Scholar] [CrossRef]
- Azuma, D.; Ito, N.; Ohta, M. Recent progress in Fe-based amorphous and nanocrystalline soft magnetic materials. J. Magn. Magn. Mater. 2020, 501, 166373. [Google Scholar] [CrossRef]
- Alvarez, K.L.; Baghbaderani, H.; Martín, J.; Burgos, N.; Ipatov, M.; Pavlovic, Z.; McCloskey, P.; Masood, A.; Gonzalez, J. Novel Fe-based amorphous and nanocrystalline powder cores for high-frequency power conversion. J. Magn. Magn. Mater. 2020, 501, 166457. [Google Scholar] [CrossRef]
- Manchón-Gordón, A.F.; Ipus, J.J.; Blázquez, J.S.; Conde, C.F.; Conde, A.; Svec Sr, P. Study of the kinetics and products of the devitrification process of mechanically amorphized Fe70Zr30 alloy. J. Alloys Compd. 2020, 825, 154021. [Google Scholar] [CrossRef]
- Manchón-Gordón, A.F.; Svec, P.; Ipus, J.J.; Kowalczyk, M.; Blázquez, J.S.; Conde, C.F.; Conde, A.; Svec, P.; Kulik, T. Devitrification of mechanically alloyed Fe-Nb system: Mössbauer study of the intermetallic phases. Metall. Mater. Trans. A 2020, 51, 1395–1401. [Google Scholar] [CrossRef]
- Metglas®, Inc. Available online: https://metglas.com/magnetic-materials/ (accessed on 6 December 2023).
- Şimşek, T. Investigation of the structural and magnetic properties of Fe70Ti10B20 (at.%) alloys by mechanical alloying. J. Boron 2019, 4, 85–91. [Google Scholar]
- Saji, S.; Abe, S.; Matsumoto, K. Formation Process of Amorphous Phase during Mechanical Alloying for Al-6 and 12 AT% Ti Mixed Powders. In Materials Science Forum; Trans Tech Publications Ltd.: Stafa-Zurich, Switzerland, 1992; pp. 367–374. [Google Scholar]
- Enayati, M.; Mohamed, F. Application of mechanical alloying/milling for synthesis of nanocrystalline and amorphous materials. Int. Mater. Rev. 2014, 59, 394–416. [Google Scholar] [CrossRef]
- Li, G.; Shi, G.; Miao, H.; Liu, D.; Li, Z.; Wang, M.; Wang, L. Effects of the Gas-Atomization Pressure and Annealing Temperature on the Microstructure and Performance of FeSiBCuNb Nanocrystalline Soft Magnetic Composites. Materials 2023, 16, 1284. [Google Scholar] [CrossRef] [PubMed]
- Zdrodowska, K.; Kwarciak, P.; Jędryka, J.; Szota, M.; Nabiałek, M. Thin-layered amorphous Fe73Co5Y3B19 strip produced by the melt-spinning method. Inżynieria Mater. 2013, 34, 401–404. [Google Scholar]
- Lawley, A. Fundamentals of Particulate Metallurgy. In Advances in Metal Processing; Springer: Boston, MA, USA, 1981; pp. 91–109. [Google Scholar]
- Luborsky, F.E. Magnetic properties of amorphous alloys. J. Magn. Magn. Mater. 1978, 7, 143–149. [Google Scholar] [CrossRef]
- Herzer, G. Modern soft magnets: Amorphous and nanocrystalline materials. Acta Mater. 2013, 61, 718–734. [Google Scholar] [CrossRef]
- Liu, X.; Wang, T.; Wang, Q.; Song, X.; Liang, Y.; Feng, S.; Yang, F.; Chen, X.; Kong, J. Shear band evolution related with thermal annealing revealing ductile-brittle transition of Zr35Ti30Be27. 5Cu7. 5 metallic glass under complex stress state. Intermetallics 2022, 140, 107378. [Google Scholar] [CrossRef]
- Suzuki, K.; Ito, N.; Saranu, S.; Herr, U.; Michels, A.; Garitaonandia, J. Magnetic domains and annealing-induced magnetic anisotropy in nanocrystalline soft magnetic materials. J. Appl. Phys. 2008, 103, 07E730. [Google Scholar] [CrossRef]
- Basova, T.V.; Jushina, I.V.; Ray, A.K. Influence of post-deposition annealing under magnetic field on the structure of phthalocyanine thin films. J. Mater. Sci. Mater. Electron. 2015, 26, 4716–4721. [Google Scholar] [CrossRef]
- Guo, X.; Liu, L.; Yao, B. Structural Characterization and Properties of Fe-N SMCS Prepared by Reaction Between Fe and BN During Ball Milling. J. Jilin Univ. Sci. Ed. 2008, 46, 535–538. [Google Scholar]
- Nowosielski, R.; Wysłocki, J.; Wnuk, I.; Gramatyka, P. Nanocrystalline soft magnetic composite cores. J. Mater. Process. Technol. 2006, 175, 324–329. [Google Scholar] [CrossRef]
- Yang, Y.; Wang, Y.; Wu, S.; Liu, C.; Chen, L. Core loss analysis of soft magnetic composites considering the inter-particle eddy current loss. AIP Adv. 2021, 11, 015140. [Google Scholar] [CrossRef]
- Lisjak, D.; Mertelj, A. Anisotropic magnetic nanoparticles: A review of their properties, syntheses and potential applications. Prog. Mater. Sci. 2018, 95, 286–328. [Google Scholar] [CrossRef]
- Manchón-Gordón, A.F.; Ipus, J.; Moreno-Ramírez, L.M.; Blázquez, J.; Conde, C.; Franco, V.; Conde, A. Correction of the shape effect on magnetic entropy change in ball milled Fe70Zr30 alloys. J. Alloys Compd. 2018, 765, 437–443. [Google Scholar] [CrossRef]
- Ma, R.; Chang, L.; Ye, S.; Xie, H.; Xiao, Q.; Zhang, L.; Si, J.; Yu, P. Magnetic properties of soft magnetic composites fabricated from amorphous Fe73Si11B11C3Cr2 powder by hot pressing under a low pressure. Powder Technol. 2023, 426, 118639. [Google Scholar] [CrossRef]
- Egami, T. Structural relaxation in amorphous alloys-compositional short range ordering. Mater. Res. Bull. 1978, 13, 557–562. [Google Scholar] [CrossRef]
- Strečková, M.; Füzer, J.; Kobera, L.; Brus, J.; Fáberová, M.; Bureš, R.; Kollár, P.; Lauda, M.; Medvecký, Ĺ.; Girman, V. A comprehensive study of soft magnetic materials based on FeSi spheres and polymeric resin modified by silica nanorods. Mater. Chem. Phys. 2014, 147, 649–660. [Google Scholar] [CrossRef]
- Ding, W.; Jiang, L.; Li, B.; Chen, G.; Tian, S.; Wu, G. Microstructure and magnetic properties of soft magnetic composites with silicate glass insulation layers. J. Supercond. Nov. Magn. 2014, 27, 239–245. [Google Scholar] [CrossRef]
- Zhang, Z.; Xu, W.; Guo, T.; Jiang, Y.; Yan, M. Effect of processing parameters on the magnetic properties and microstructures of molybdenum permalloy compacts made by powder metallurgy. J. Alloys Compd. 2014, 594, 153–157. [Google Scholar] [CrossRef]
- Ramamurty, U.; Lee, M.; Basu, J.; Li, Y. Embrittlement of a bulk metallic glass due to low-temperature annealing. Scripta Mater. 2002, 47, 107–111. [Google Scholar] [CrossRef]
- Kumar, G.; Rector, D.; Conner, R.; Schroers, J. Embrittlement of Zr-based bulk metallic glasses. Acta Mater. 2009, 57, 3572–3583. [Google Scholar] [CrossRef]
- Suryanarayana, C. Mechanical alloying and milling. Prog. Mater Sci. 2001, 46, 1–184. [Google Scholar] [CrossRef]
- Suryanarayana, C. Does a disordered γ-TiAl phase exist in mechanically alloyed TiAl powders? Intermetallics 1995, 3, 153–160. [Google Scholar] [CrossRef]
- Manchón-Gordón, A.F.; López-Martín, R.; Vidal-Crespo, A.; Ipus, J.J.; Blázquez, J.S.; Conde, C.F.; Conde, A. Distribution of transition temperatures in magnetic transformations: Sources, effects and procedures to extract information from experimental data. Metals 2020, 10, 226. [Google Scholar] [CrossRef]
- Huang, B.; Perez, R.; Crawford, P.; Sharif, A.; Nutt, S.; Lavernia, E. Mechanically induced crystallization of metglas Fe78B13Si9 during cryogenic high energy ball milling. Nanostruct. Mater. 1995, 5, 545–553. [Google Scholar] [CrossRef]
- Manchón-Gordón, A.; Blázquez, J.; Kowalczyk, M.; Ipus, J.; Kulik, T.; Conde, C. Effect of thermal treatments below devitrification temperature on the magnetic and magnetocaloric properties in mechanically alloyed Fe70Zr30 powders. J. Non-Cryst. Solids. 2023, 609, 122267. [Google Scholar] [CrossRef]
- Walter, J.; Bacon, F.; Luborsky, F. An Auger analysis of the embrittlement of the amorphous alloy Ni40Fe40P14B6. Mater. Sci. Eng. 1976, 24, 239–245. [Google Scholar] [CrossRef]
- Ghaemi, M.; Jafary-Zadeh, M.; Khoo, K.H.; Gao, H. Chemical affinity can govern notch-tip brittle-to-ductile transition in metallic glasses. Extrem. Mech. Lett. 2022, 52, 101651. [Google Scholar] [CrossRef]
- Chen, Y.; Pillay, P. An Improved formula for lamination core loss calculations in machines operating with high frequency and high flux density excitation. In Proceedings of the Conference Record of the 2002 IEEE Industry Applications Conference: 37th IAS Annual Meeting (Cat. No. 02CH37344), Pittsburgh, PA, USA, 13–18 October 2002; pp. 759–766. [Google Scholar]
- Yaghtin, M.; Taghvaei, A.H.; Hashemi, B.; Janghorban, K. Effect of heat treatment on magnetic properties of iron-based soft magnetic composites with Al2O3 insulation coating produced by sol–gel method. J. Alloys Compd. 2013, 581, 293–297. [Google Scholar] [CrossRef]
- Cao, P.; Liu, Y.; Li, J.; Du, J.; Wang, R.; Zhou, T. Enhanced magnetic properties of hot-pressed Fe-based nanocrystalline powder cores with low-melted glass-modified insulating. IEEE Trans. Magn. 2021, 57, 2800407. [Google Scholar] [CrossRef]
- Xie, D.-Z.; Lin, K.-H.; Lin, S.-T. Effects of processed parameters on the magnetic performance of a powder magnetic core. J. Magn. Magn. Mater. 2014, 353, 34–40. [Google Scholar] [CrossRef]
- Yang, B.; Li, X.; Guo, R.; Yu, R. Oxidation fabrication and enhanced soft magnetic properties for core-shell FeCo/CoFe2O4 micron-nano composites. Mater. Des. 2017, 121, 272–279. [Google Scholar] [CrossRef]
- Perigo, E.A.; Weidenfeller, B.; Kollár, P.; Füzer, J. Past, present, and future of soft magnetic composites. Appl. Phys. Rev. 2018, 5, 031301. [Google Scholar] [CrossRef]







| Sample | Density (g/cm3) | Relative Density (%) | Flux Density (T) | Hc (Oe) | Permeability | Pc (kW/m3) | Pc (kW/m3) | DC Bias (%) |
|---|---|---|---|---|---|---|---|---|
| f = 1 MHz | 100 kHz/ 100 mT | 1 MHz/ 20 mT | 100 Oe | |||||
| P370 | 5.3310 | 74.25 | 0.138 | 0.6497 | 48.45 | 1630 | 2288 | 73.04 |
| P380 | 5.3330 | 74.28 | 0.110 | 0.6886 | 39.67 | 1604 | 1424 | 78.21 |
| P390 | 5.2635 | 73.31 | 0.104 | 0.7640 | 36.68 | 1470 | 1225 | 78.24 |
| P400 | 5.6103 | 78.14 | 0.102 | 0.9676 | 35.46 | 1876 | 1091 | 74.61 |
| Sample | Density (g/cm3) | Relative Density (%) | Flux Density (T) | Hc (Oe) | Permeability | Pc (kW/m3) | Pc (kW/m3) | DC Bias (%) |
|---|---|---|---|---|---|---|---|---|
| f = 1 MHz | 100 kHz/ 100 mT | 1 MHz/ 20 mT | 100 Oe | |||||
| C400 | 5.5057 | 76.68 | 0.098 | 2.4291 | 32.01 | 6016 | 2139 | 77.16 |
| C425 | 5.6103 | 78.14 | 0.102 | 0.9676 | 35.46 | 1876 | 1091 | 74.61 |
| C450 | 5.3250 | 74.16 | 0.102 | 0.9337 | 35.63 | 1693 | 1123 | 73.81 |
| C475 | 5.1699 | 72.00 | 0.086 | 2.1426 | 27.91 | 5401 | 1966 | 79.63 |
| C500 | 5.1392 | 71.58 | 0.049 | 2.5346 | 17.54 | – | 2453 | 92.84 |
Disclaimer/Publisher’s Note: The statements, opinions and data contained in all publications are solely those of the individual author(s) and contributor(s) and not of MDPI and/or the editor(s). MDPI and/or the editor(s) disclaim responsibility for any injury to people or property resulting from any ideas, methods, instructions or products referred to in the content. |
© 2023 by the authors. Licensee MDPI, Basel, Switzerland. This article is an open access article distributed under the terms and conditions of the Creative Commons Attribution (CC BY) license (https://creativecommons.org/licenses/by/4.0/).
Share and Cite
Kim, H.-R.; Lee, D.; Yang, S.; Kwon, Y.-T.; Kim, J.; Kim, Y.; Jeong, J.-W. Optimizing Annealing Temperature Control for Enhanced Magnetic Properties in Fe-Si-B Amorphous Flake Powder Cores. Metals 2023, 13, 2016. https://doi.org/10.3390/met13122016
Kim H-R, Lee D, Yang S, Kwon Y-T, Kim J, Kim Y, Jeong J-W. Optimizing Annealing Temperature Control for Enhanced Magnetic Properties in Fe-Si-B Amorphous Flake Powder Cores. Metals. 2023; 13(12):2016. https://doi.org/10.3390/met13122016
Chicago/Turabian StyleKim, Hea-Ran, Dongsup Lee, Sangsun Yang, Young-Tae Kwon, Jongryoul Kim, Yunseok Kim, and Jae-Won Jeong. 2023. "Optimizing Annealing Temperature Control for Enhanced Magnetic Properties in Fe-Si-B Amorphous Flake Powder Cores" Metals 13, no. 12: 2016. https://doi.org/10.3390/met13122016
APA StyleKim, H.-R., Lee, D., Yang, S., Kwon, Y.-T., Kim, J., Kim, Y., & Jeong, J.-W. (2023). Optimizing Annealing Temperature Control for Enhanced Magnetic Properties in Fe-Si-B Amorphous Flake Powder Cores. Metals, 13(12), 2016. https://doi.org/10.3390/met13122016

