Study on Corrosion Resistance and Hydrogen Permeation Behavior in Inter-Critically Reheated Coarse-Grained Heat-Affected Zone of X80 Pipeline Steel
Abstract
:1. Introduction
2. Material and Experiment
2.1. Materials and Welding Thermal Simulation
2.2. Microstructure Observations
2.3. Electrochemical Tests
2.4. Hydrogen Permeation Test
3. Results
3.1. Microstructure and Micro-Hardness
3.1.1. Effect of the Secondary Peak Temperatures
3.1.2. Effect of the Cooling Rates
3.2. Electrochemical Characteristics
3.2.1. Effect of the Secondary Peak Temperatures
Open Circuit Potential (OCP)
Potentiodynamic Polarization Curves
Electrochemical Impedance Spectroscopy (EIS)
3.2.2. Effect of the Cooling Rates
Open Circuit Potential (OCP)
Potentiodynamic Polarization Curves
Electrochemical Impedance Spectroscopy (EIS)
3.3. Hydrogen Permeation Behaviors
3.3.1. Effect of the Secondary Peak Temperatures
3.3.2. Effect of the Cooling Rates
4. Discussion
4.1. Microstructure Evolution
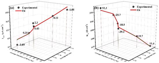
4.2. Effect of M/A Constituents on Corrosion Behavior
4.3. Effect of M/A Constituents on Hydrogen Permeation Behaviors
5. Conclusions
- (1)
- The fraction, average size and distribution of M/A constituents in ICCGHAZs depend highly on the secondary peak temperature and cooling rates, while their microstructure style and prior austenite grain size are dependent on the first peak temperature. In addition, lower cooling rates (t8/5 = 3 s) and a secondary peak temperature (Tp2 = 800 °C) far away from Ac1 and Ac3 are beneficial to the formation of the “necklace-like” M/A constituents.
- (2)
- The differences in corrosion resistance and hydrogen permeation behavior of CGHAZ and ICCGHAZs are mainly caused by the variation in the M/A constituents’ characteristics, which can result in the increase in the micro-galvanic effect and the number of hydrogen trapping sites.
- (3)
- With the increase in the fraction and average size M/A constituents, the corrosion resistance and hydrogen permeability of ICCGHAZs gradually decrease. In addition, the fraction of M/A constituents has more influence on corrosion resistance and hydrogen permeation behaviors than their average size.
Author Contributions
Funding
Institutional Review Board Statement
Informed Consent Statement
Data Availability Statement
Conflicts of Interest
References
- Zhang, Y.; Xiao, J.; Liu, W.; Zhao, A. Effect of welding peak temperature on microstructure and impact toughness of heat-affected zone of Q690 high strength bridge steel. Materials 2021, 14, 2981. [Google Scholar] [CrossRef] [PubMed]
- Arora, K.S.; Pandu, S.R.; Shajan, N.; Pathak, P.; Shome, M. Microstructure and impact toughness of reheated coarse grain heat affected zones of API X65 and API X80 linepipe steels. Int. J. Press. Vessel. Pip. 2018, 163, 36–44. [Google Scholar] [CrossRef]
- Mohammadijoo, M.; Valloton, J.; Collins, L.; Henein, H.; Ivey, D.G. Characterization of martensite-austenite constituents and micro-hardness in intercritical reheated and coarse-grained heat affected zones of API X70 HSLA steel. Mater. Charact. 2018, 142, 321–331. [Google Scholar] [CrossRef]
- Wang, X.; Wang, Z.; Xie, Z.Y.; Ma, X.; Subramanian, S.; Shang, C.; Li, X.; Wang, J. Combined effect of M/A constituent and grain boundary on the impact toughness of CGHAZ and ICCGHAZ of E550 grade offshore engineering steel. Math. Biosci. Eng. 2019, 16, 7494–7509. [Google Scholar] [CrossRef] [PubMed]
- Qi, X.; Di, H.; Wang, X.; Liu, Z.; Misra, R.; Huan, P.; Gao, Y. Effect of secondary peak temperature on microstructure and toughness in ICCGHAZ of laser-arc hybrid welded X100 pipeline steel joints. J. Mater. Res. Technol. 2020, 9, 7838–7849. [Google Scholar] [CrossRef]
- Luo, X.; Chen, X.; Wang, T.; Pan, S.; Wang, Z. Effect of morphologies of martensite–austenite constituents on impact toughness in intercritically reheated coarse-grained heat-affected zone of HSLA steel. Mater. Sci. Eng. A 2018, 710, 192–199. [Google Scholar] [CrossRef]
- Tomków, J.; Landowski, M.; Fydrych, D.; Rogalski, G. Underwater wet welding of S1300 ultra-high strength steel. Mar. Struct. 2022, 81, 103120. [Google Scholar] [CrossRef]
- Du, X.; Dai, X.; Li, Z.; Du, X.; Shi, H.; Wu, J.; Lou, H.; Feng, X.; Zhao, L.; Li, Z. Corrosion analysis and anti-corrosion measures of oil casing of sulfur content gas wells: A case study of Daniudi gas field in the Ordos Basin. Energy Rep. 2021, 7, 1280–1292. [Google Scholar] [CrossRef]
- Wang, Z.; Xie, F.; Wang, D.; Liu, J. Effect of applied potential on stress corrosion cracking behavior of X80 steel in alkaline soil simulated solution with sulfate-reducing bacteria. Eng. Fail. Anal. 2021, 121, 105109. [Google Scholar] [CrossRef]
- Bordbar, S.; Alizadeh, M.; Hashemi, S.H. Effects of microstructure alteration on corrosion behavior of welded joint in API X70 pipeline steel. Mater. Des. 2013, 45, 597–604. [Google Scholar] [CrossRef]
- Shi, C.; Zhang, Y.; Liu, P.; Xie, Y. Effects of second thermal cycles on microstructure and CO2 corrosion behavior of X80 pipeline steel. Int. J. Electrochem. Sci. 2018, 13, 2412–2429. [Google Scholar] [CrossRef]
- Wang, X.; Yang, Y.; Chen, Y.; Wang, H.; Wei, K. Corrosion behavior of X100 pipeline steel and its heat-affected zones in simulated alkaline soil solution. Int. J. Electrochem. Sci. 2019, 14, 9181–9192. [Google Scholar] [CrossRef]
- Yang, Y.; Shi, X.; Sun, M.; Zeng, W. Corrosion behavior of X100 pipeline steel and its heat-affected zones in simulated acidic soil solution. Int. J. Electrochem. Sci. 2020, 15, 10994–11007. [Google Scholar] [CrossRef]
- Shamir, M.; Junaid, M.; Khan, F.N.; Taimoor, A.A.; Baig, M.N. A comparative study of electrochemical corrosion behavior in Laser and TIG welded Ti–5Al–2.5Sn alloy. J. Mater. Res. Technol. 2019, 8, 87–98. [Google Scholar] [CrossRef]
- Zhao, Z.P.; Xu, P.F.; Cheng, H.X.; Lu, X.Y.; Miao, J.; Chen, Y.; Yang, L. Investigation of influence of microstructure on FH32 steel corrosion properties using gleeble simulation of heat-affected zone and electrochemical methods. Int. J. Electrochem. Sci. 2019, 14, 9948–9959. [Google Scholar] [CrossRef]
- Zhao, W.; Zou, Y.; Matsuda, K.; Zou, Z. Corrosion behavior of reheated CGHAZ of X80 pipeline steel in H2S-containing environments. Mater. Des. 2016, 99, 44–56. [Google Scholar] [CrossRef]
- Bell, A.M.; Von Der Au, M.; Regnery, J.; Schmid, M.; Meermann, B.; Reifferscheid, G.; Ternes, T.; Buchinger, S. Does galvanic cathodic protection by aluminum anodes impact marine organisms? Environ. Earth Sci. 2020, 32, 157. [Google Scholar] [CrossRef]
- Li, X.; Ma, X.; Zhang, J.; Akiyama, E.; Wang, Y.; Song, X. Review of hydrogen embrittlement in metals: Hydrogen diffusion, hydrogen characterization, hydrogen embrittlement mechanism and prevention. Acta Met. Sin. Engl. 2020, 33, 759–773. [Google Scholar] [CrossRef]
- Ramirez, M.F.G.; Hernández, J.W.C.; Ladino, D.H.; Masoumi, M.; Goldenstein, H. Effects of different cooling rates on the microstructure, crystallographic features, and hydrogen induced cracking of API X80 pipeline steel. J. Mater. Res. Technol. 2021, 14, 1848–1861. [Google Scholar] [CrossRef]
- Zhao, W.; Zhang, T.; Zhao, Y.; Sun, J.; Wang, Y. Hydrogen permeation and embrittlement susceptibility of X80 welded joint under high-pressure coal gas environment. Corros. Sci. 2016, 111, 84–97. [Google Scholar] [CrossRef]
- Castens, M.; Hoja, S.; Surm, H.; Hoffmann, F.; Fechte-Heinen, R.; Steinbacher, M. Hydrogen Absorption during Case Hardening of Steels EN20MnCr5 (SAE5120) and EN18CrNiMo7-6 (SAE4820). Metals 2022, 12, 6. [Google Scholar] [CrossRef]
- Xue, H.; Cheng, Y. Hydrogen permeation and electrochemical corrosion behavior of the X80 pipeline steel weld. J. Mater. Eng. Perform. 2012, 22, 170–175. [Google Scholar] [CrossRef]
- Liu, M.; Rivera-Díaz-del-Castillo, P.E.J.; Barraza-Fierro, J.I.; Castaneda, H.; Srivastava, A. Microstructural influence on hydrogen permeation and trapping in steels. Mater. Des. 2019, 167, 107605. [Google Scholar] [CrossRef]
- Zhao, W.; Du, T.; Li, X.; Sun, H.; Li, B.; Yuan, S. Effects of multiple welding thermal cycles on hydrogen permeation parameters of X80 steel. Corros. Sci. 2021, 192, 109797. [Google Scholar] [CrossRef]
- Deng, Q.; Zhao, W.; Jiang, W.; Zhang, T.; Li, T.; Zhao, Y. Hydrogen embrittlement susceptibility and safety control of reheated CGHAZ in X80 welded pipeline. J. Mater. Eng. Perform. 2018, 27, 1654–1663. [Google Scholar] [CrossRef]
- Wang, L.; Liu, Z.; Cui, Z.; Du, C.; Wang, X.; Li, X. In situ corrosion characterization of simulated weld heat affected zone on API X80 pipeline steel. Corros. Sci. 2014, 85, 401–410. [Google Scholar] [CrossRef]
- Huang, F.; Liu, J.; Deng, Z.; Cheng, J.; Lu, Z.; Li, X. Effect of microstructure and inclusions on hydrogen induced cracking susceptibility and hydrogen trapping efficiency of X120 pipeline steel. Mater. Sci. Eng. A 2010, 527, 6997–7001. [Google Scholar] [CrossRef]
- Wang, D.; Xie, F.; Wu, M.; Sun, D.; Li, X.; Ju, J. The effect of sulfate-reducing bacteria on hydrogen permeation of X80 steel under cathodic protection potential. Int. J. Hydrogen Energy 2017, 42, 27206–27213. [Google Scholar] [CrossRef]
- Haq, A.J.; Muzaka, K.; Dunne, D.P.; Calka, A.; Pereloma, E.V. Effect of microstructure and composition on hydrogen permeation in X70 pipeline steels. Int. J. Hydrogen Energy 2013, 38, 2544–2556. [Google Scholar] [CrossRef] [Green Version]
- Han, Y.; Jing, H.; Xu, L. Welding heat input effect on the hydrogen permeation in the X80 steel welded joints. Mater. Chem. Phys. 2012, 132, 216–222. [Google Scholar] [CrossRef]
- Wang, S.; Luu, W.; Ho, K.; Wu, J. Hydrogen permeation in a submerged arc weldment of TMCP steel. Mater. Chem. Phys. 2003, 77, 447–454. [Google Scholar] [CrossRef]
- Xing, Y.; Yang, Z.; Yao, X.; Wang, X.; Lu, M.; Zhang, L.; Qiao, L. Comparative study on hydrogen induced cracking sensitivity of two commercial API 5L X80 steels. Int. J. Press. Vessel. Pip. 2022, 196, 104620. [Google Scholar] [CrossRef]
- McCafferty, E. Validation of corrosion rates measured by the Tafel extrapolation method. Corros. Sci. 2005, 47, 3202–3215. [Google Scholar] [CrossRef]
- Lin, J.; Chen, F.; Liu, F.; Xu, D.; Gao, J.; Tang, X. Hydrogen permeation behavior and hydrogen-induced defects in 316L stainless steels manufactured by additive manufacturing. Mater. Chem. Phys. 2020, 250, 123038. [Google Scholar] [CrossRef]
- Li, X.; Fan, Y.; Ma, X.; Subramanian, S.V.; Shang, C. Influence of Martensite–Austenite constituents formed at different intercritical temperatures on toughness. Mater. Des. 2015, 67, 457–463. [Google Scholar] [CrossRef]
- Li, X.; Shang, C.; Ma, X.; Subramanian, S.V.; Misra, R.D.K.; Sun, J. Structure and crystallography of martensite–austenite constituent in the intercritically reheated coarse-grained heat affected zone of a high strength pipeline steel. Mater. Charact. 2018, 138, 107–112. [Google Scholar] [CrossRef]
- Li, X.; Ma, X.; Subramanian, S.V.; Shang, C.; Misra, R.D.K. Influence of prior austenite grain size on martensite–austenite constituent and toughness in the heat affected zone of 700MPa high strength linepipe steel. Mater. Sci. Eng. A 2014, 616, 141–147. [Google Scholar] [CrossRef]
- Li, X.; Shang, C.; Ma, X.; Gault, B.; Subramanian, S.; Sun, J.; Misra, R. Elemental distribution in the martensite–austenite constituent in intercritically reheated coarse-grained heat-affected zone of a high-strength pipeline steel. Scr. Mater. 2017, 139, 67–70. [Google Scholar] [CrossRef]
- Zhou, P.; Li, W.; Zhao, H.; Jin, X. Role of microstructure on electrochemical hydrogen permeation properties in advanced high strength steels. Int. J. Hydrogen Energy 2018, 43, 10905–10914. [Google Scholar] [CrossRef]
- Izadi, H.; Tavakoli, M.; Moayed, M.H. Effect of thermomechanical processing on hydrogen permeation in API X70 pipeline steel. Mater. Chem. Phys. 2018, 220, 360–365. [Google Scholar] [CrossRef]























| C | Si | Mn | Cr | Ni | Cu | Al | Ti | Mo | V | W | Pb | Sb | Zr | Nb | Fe |
|---|---|---|---|---|---|---|---|---|---|---|---|---|---|---|---|
| 0.037 | 0.20 | 1.76 | 0.27 | 0.11 | 0.078 | 0.034 | 0.01 | 0.15 | 0.0033 | 0.033 | 0.0066 | 0.0021 | 0.013 | 0.07 | Balance |
| No. | Name | Heating Rate (°C/s) | Holding Time at Peak (s) | First Thermal Cycle | Secondary Thermal Cycle | ||
|---|---|---|---|---|---|---|---|
| Tp1 (°C) | t8/5 (s) | Tp2 (°C) | t8/5 (s) | ||||
| 1 | CGHAZ | 160 | 1 | 1350 | 13.4 | - | - |
| 2 | ICCGHAZ-1 | 160 | 1 | 1350 | 13.4 | 740 | 13.4 |
| 3 | ICCGHAZ-2 | 160 | 1 | 1350 | 13.4 | 800 | 13.4 |
| 4 | ICCGHAZ-3 | 160 | 1 | 1350 | 13.4 | 840 | 13.4 |
| 5 | ICCGHAZ-4 | 160 | 1 | 1350 | 3 | 800 | 3 |
| 6 | ICCGHAZ-5 | 160 | 1 | 1350 | 60 | 800 | 60 |
| Sample | CGHAZ | ICCGHAZ-1 | ICCGHAZ-2 | ICCGHAZ-3 |
|---|---|---|---|---|
| J∞ (10−11 mol·cm−2·s−1) | 9.39 | 9.01 | 8.28 | 8.56 |
| Deff (10−6 cm2·s−1) | 3.56 | 3.02 | 2.39 | 2.58 |
| C0 (10−6 mol·cm−3) | 2.64 | 2.97 | 3.46 | 3.32 |
| Nt (1019 cm−3) | 1.85 | 2.47 | 3.65 | 3.24 |
| Sample | ICCGHAZ-2 | ICCGHAZ-4 | ICCGHAZ-5 |
|---|---|---|---|
| J∞ (10−11 mol·cm−2·s−1) | 8.28 | 7.90 | 8.75 |
| Deff (10−6 cm2·s−1) | 2.39 | 2.07 | 2.77 |
| C0 (10−6 mol·cm−3) | 3.46 | 3.82 | 3.16 |
| Nt (1019 cm−3) | 3.65 | 4.66 | 2.87 |
Publisher’s Note: MDPI stays neutral with regard to jurisdictional claims in published maps and institutional affiliations. |
© 2022 by the authors. Licensee MDPI, Basel, Switzerland. This article is an open access article distributed under the terms and conditions of the Creative Commons Attribution (CC BY) license (https://creativecommons.org/licenses/by/4.0/).
Share and Cite
Chen, K.; Zhao, W.; Xiao, G.; Guo, N.; Zhang, H. Study on Corrosion Resistance and Hydrogen Permeation Behavior in Inter-Critically Reheated Coarse-Grained Heat-Affected Zone of X80 Pipeline Steel. Metals 2022, 12, 1203. https://doi.org/10.3390/met12071203
Chen K, Zhao W, Xiao G, Guo N, Zhang H. Study on Corrosion Resistance and Hydrogen Permeation Behavior in Inter-Critically Reheated Coarse-Grained Heat-Affected Zone of X80 Pipeline Steel. Metals. 2022; 12(7):1203. https://doi.org/10.3390/met12071203
Chicago/Turabian StyleChen, Kai, Wei Zhao, Guangchun Xiao, Ning Guo, and Hui Zhang. 2022. "Study on Corrosion Resistance and Hydrogen Permeation Behavior in Inter-Critically Reheated Coarse-Grained Heat-Affected Zone of X80 Pipeline Steel" Metals 12, no. 7: 1203. https://doi.org/10.3390/met12071203
APA StyleChen, K., Zhao, W., Xiao, G., Guo, N., & Zhang, H. (2022). Study on Corrosion Resistance and Hydrogen Permeation Behavior in Inter-Critically Reheated Coarse-Grained Heat-Affected Zone of X80 Pipeline Steel. Metals, 12(7), 1203. https://doi.org/10.3390/met12071203

