Micromorphology, Microstructure, and Wear Behavior of AISI 1045 Steels Irregular Texture Fabricated by Ultrasonic Strengthening Grinding Process
Abstract
:1. Introduction
2. Materials and Methods
2.1. Samples Preparation
2.2. Surface Texture Fabrication
2.3. Materials Characterization
2.4. Frictional Wear Tests
3. Results and Discussion
3.1. Characteristics of Surface Texture
3.1.1. Surface Morphologies of Different Samples
3.1.2. Surface Roughness of Specimens
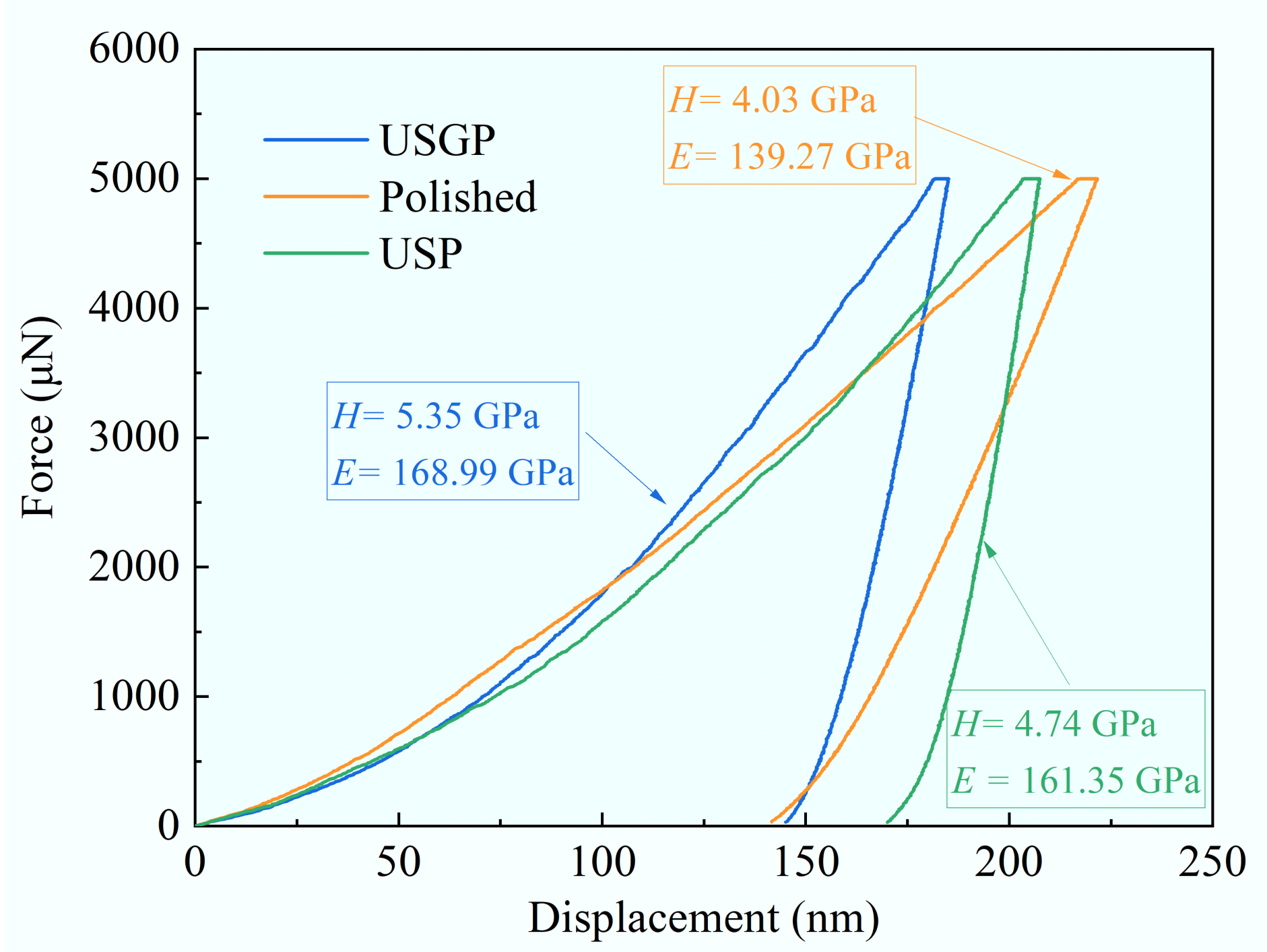
3.1.3. Microhardness (H) and Elastic Modulus (E) of Samples
3.1.4. XRD Diffraction Patterns of Surface Textures
3.1.5. Distributions of Phase and Kernel Average Misorientation
3.2. Tribological Properties Characterization of Different Samples
4. Conclusions
Author Contributions
Funding
Institutional Review Board Statement
Informed Consent Statement
Data Availability Statement
Acknowledgments
Conflicts of Interest
References
- Kango, S.; Singh, D.; Sharma, R.K. Numerical investigation on the influence of surface texture on the performance of hydrodynamic journal bearing. Meccanica 2012, 47, 469–482. [Google Scholar] [CrossRef]
- Andreas, R.; Henara, L.C.; Mehmet, Z.B.; Ashlie, M. Synergetic effects of surface texturing and solid lubricants to tailor friction and wear—A review. Tribol. Int. 2021, 155, 106972. [Google Scholar] [CrossRef]
- Luo, J.B.; Liu, M.; Ma, L.R. Origin of friction and the new frictionless technology—Superlubricity: Advancements and future outlook. Nano Energy 2021, 86, 106092. [Google Scholar] [CrossRef]
- Fals, H.C.; Roca, A.S.; Fogagnolo, J.B.; Fanton, L.; Belem, M.J.X. Erosion-corrosion resistance of laser surface alloying of NbC thermal spray coatings on AISI 304L steel. J. Therm. Spray Technol. 2020, 29, 319–329. [Google Scholar] [CrossRef]
- Li, X.; Deng, J.; Yue, H.; Ge, D.; Zou, X. Wear performance of electrohydrodynamically atomized WS2 coatings deposited on biomimetic sharkskin textured surfaces. Tribol. Int. 2019, 134, 240–251. [Google Scholar] [CrossRef]
- Meng, W.; Zhu, H.; Wang, X.; Li, G.; Fan, Y.; Sun, D.; Kong, F. Electrochemical behavior and surface conductivity of C/TiC nanocomposite coating on titanium for PEMFC bipolar plate. Metals 2022, 12, 771. [Google Scholar] [CrossRef]
- Kromer, R.; Verdy, C.; Costil, S.; Liao, H. Laser surface texturing to enhance adhesion bond strength of spray coatings-cold spraying, wire-arc spraying, and atmospheric plasma spraying. Surf. Coat. Technol. 2017, 352, 642–653. [Google Scholar] [CrossRef]
- Li, S.S.; Chen, H.; Luo, T.; Xiao, G.C.; Yi, M.D.; Chen, Z.Q.; Zhang, J.J.; Xu, C.H. Tribological properties of laser surface texturing modified GCr15 steel under graphene/5CB lubrication. J. Mater. Res. Technol. 2022, 18, 3598–3611. [Google Scholar] [CrossRef]
- Zhao, X.; Xue, G.; Liu, Y. Gradient crystalline structure induced by ultrasonic impacting and rolling and its effect on fatigue behavior of TC11 titanium alloy. Results Phys. 2017, 7, 1845–1851. [Google Scholar] [CrossRef]
- Sun, R.; He, G.; Bai, H.; Yan, J.; Guo, W. Laser shock peening of Ti6Al4V alloy with combined nanosecond and femtosecond laser pulses. Metals 2022, 12, 26. [Google Scholar] [CrossRef]
- Vlădescu, S.C.; Fowell, M.; Mattsson, L.; Reddyhoff, T. The effects of laser surface texture applied to internal combustion engine journal bearing shells—An experimental study. Tribol. Int. 2019, 134, 317–327. [Google Scholar] [CrossRef]
- Zum, G.K.H.; Mathieu, M.; Brylka, B. Friction control by surface engineering of ceramic sliding pairs in water. Wear 2007, 263, 920–929. [Google Scholar] [CrossRef]
- Braun, D.; Greiner, C.; Schneider, J.; Gumbsch, P. Efficiency of laser surface texturing in the reduction of friction under mixed lubrication. Tribol. Int. 2014, 77, 142–147. [Google Scholar] [CrossRef]
- Yousfi, M.; Ţălu, Ş. The impact of helical slide honing on surface microtexture compared to plateau honing process through relevant characterization methods. Microsc. Res. Tech. 2022, 03, 24096. [Google Scholar] [CrossRef] [PubMed]
- Patel, D.S.; Jain, V.K.; Shrivastava, A.; Ramkumar, J. Electrochemical micro texturing on flat and curved surfaces: Simulation and experiments. Int. J. Adv. Manuf. Technol. 2019, 100, 1269–1286. [Google Scholar] [CrossRef]
- Yang, B.; Lee, M. Fabrication of honeycomb texture on poly-Si by laser interference and chemical etching. Appl. Surf. Sci. 2013, 284, 565–568. [Google Scholar] [CrossRef]
- Fang, S.; Llanes, L.; Baehre, D. Laser surface texturing of a WC-CoNi cemented carbide grade: Surface topography design for honing application. Tribol. Int. 2018, 122, 236–245. [Google Scholar] [CrossRef] [Green Version]
- Mwema, F.M.; Akinlabi, E.T.; Oladijo, O.P.; Fatoba, O.S.; Akinlabi, S.A.; Tălu, S. Advances in manufacturing analysis: Fractal theory in modern manufacturing. In Modern Manufacturing Processes, 1st ed.; Woodhead Publishing: Cambridge, UK, 2020; pp. 13–39. [Google Scholar] [CrossRef]
- Meng, Y.; Deng, J.; Zhang, Y.; Wang, S.J.; Li, X.M.; Yue, H.Z.; Ge, D.L. Tribological properties of textured surfaces fabricated on AISI 1045 steels by ultrasonic surface rolling under dry reciprocating sliding. Wear 2020, 460–461, 203488. [Google Scholar] [CrossRef]
- Wang, F.; Men, X.H.; Liu, Y.J.; Fu, X.L. Experiment and simulation study on influence of ultrasonic rolling parameters on residual stress of Ti-6Al-4V alloy. Simul. Model. Pract. Theory 2020, 104, 102121. [Google Scholar] [CrossRef]
- Wang, S.Q.; Wang, L.; Zhao, Y.T.; Sun, Y.; Yang, Z.R. Mild-to-severe wear transition and transition region of oxidative wear in steels. Wear 2013, 306, 311–320. [Google Scholar] [CrossRef]
- Lao, Y.X.; Du, H.; Xiong, T.Y.; Wang, Y. Evolution Behaviors of Oxides in Severely Plastic Deformed Region of AISI 52100 Steel during Dry Sliding Wear. J. Mater. Sci. Technol. 2017, 33, 330–337. [Google Scholar] [CrossRef]
- Pang, Z.W.; Wang, S.X.; Yin, X.L.; Yu, S.M.; Du, N. Effect of spindle speed during ultrasonic rolling on surface integrity and fatigue performance of Ti6Al4V alloy. Int. J. Fatigue 2022, 159, 106794. [Google Scholar] [CrossRef]
- Chen, Y.; Liu, F.L.; He, C.; Li, L.; Wang, C.; Liu, Y.J.; Wang, Q.Y. Effect of ultrasonic peening treatment on the fatigue behaviors of a magnesium alloy up to very high cycle regime. J. Magnes. Alloy. 2022, 10, 614–626. [Google Scholar] [CrossRef]
- Panin, A.; Dmitriev, A.; Nikonov, A.; Perevalova, O.; Kazantseva, L.; Bakulin, A.; Kulkova, S. Transformations of the Microstructure and Phase Compositions of Titanium Alloys during Ultrasonic Impact Treatment Part II: Ti-6Al-4V Titanium Alloy. Metals 2022, 12, 732. [Google Scholar] [CrossRef]
- Jamalian, M.; Field, D.P. Effects of shot peening parameters on gradient microstructure and mechanical properties of TRC Az31. Mater. Char. 2019, 148, 9–16. [Google Scholar] [CrossRef]
- Yue, X.; Hu, S.; Wang, X.K.; Liu, Y.X.; Yin, F.; Hua, L. Understanding the nanostructure evolution and the mechanical strengthening of the M50 bearing steel during ultrasonic shot peening. Mater. Sci. Eng. A 2022, 836, 142721. [Google Scholar] [CrossRef]
- Chen, C.; Zhang, H.J. Characteristics of friction and wear of Al-Zn-Mg-Cu alloy after application of ultrasonic shot peening technology. Surf. Coat. Technol. 2021, 423, 127615. [Google Scholar] [CrossRef]
- Liu, X.C.; Huang, J.F.; Liang, Z.W.; Huang, W.F.; Zhu, R.; Gao, W.L.; Xiao, J.R. Preparation and Properties of the Composite Enhancement Layer of Bearing Ring. World J. Mech. 2020, 10, 139–153. [Google Scholar] [CrossRef]
- Sharma, S.; Jamwal, G.; Awasthi, R.K. Enhancement of steady state performance of hydrodynamic journal bearing using chevron-shaped surface texture. Proc. Inst. Mech. Eng. Part J J. Eng. Tribol. 2019, 233, 1833–1843. [Google Scholar] [CrossRef]
- Oliver, W.C.; Pharr, G.M. An improved technique for determining hardness and elastic modulus using load and displacement sensing indentation experiments. J. Mater. Res. 1992, 7, 1564–1583. [Google Scholar] [CrossRef]
- Vishnoi, M.; Kumar, P.; Murtaza, Q. Surface texturing techniques to enhance tribological performance: A review. Surf. Interfaces 2021, 27, 101463. [Google Scholar] [CrossRef]
- Yang, C.; Li, M.Q.; Liu, Y.G. Characterization of face-centered cubic structure and deformation mechanisms in high energy shot peening process of TC17. J. Mater. Sci. Technol. 2022, 110, 136–151. [Google Scholar] [CrossRef]
- Amanov, A.; Umarov, R. The effects of ultrasonic nanocrystal surface modification temperature on the mechanical properties and fretting wear resistance of Inconel 690 alloy. Appl. Surf. Sci. 2018, 441, 515–529. [Google Scholar] [CrossRef]
- Ramesh, C.S.; Keshavamurthy, R.; Channabasappa, B.H.; Pramod, S. Friction and wear behavior of Ni-P coated Si3N4 reinforced Al6061 composites. Tribol. Int. 2010, 43, 623–634. [Google Scholar] [CrossRef]
- Guo, D.; Chi, T.K.; Tam, L.M.; Zhang, D.W.; Li, X.G. Hardness, microstructure and texture of friction surfaced 17-4PH precipitation hardening stainless steel coatings with and without subsequent aging. Surf. Coat. Technol. 2020, 402, 126302. [Google Scholar] [CrossRef]
- Chen, Y.X.; Gong, W.J.; Kang, R. Review and propositions for the sliding/impact wear behavior in a contact interface. Chin. J. Aeronaut. 2020, 33, 391–406. [Google Scholar] [CrossRef]















| Elements | C | Si | Mn | Cr | S | Fe |
|---|---|---|---|---|---|---|
| Content | 0.39 | 0.26 | 0.71 | 0.26 | 0.03 | bal |
| Parameters | Value |
|---|---|
| Vibration frequency (kHz) | 20 |
| Peening distance (mm) | 30 |
| Processing time (min) | 3 |
| Diameter of ceramic balls (mm) | 1 |
| Grain size of brown corundum (μm) | 15 |
Publisher’s Note: MDPI stays neutral with regard to jurisdictional claims in published maps and institutional affiliations. |
© 2022 by the authors. Licensee MDPI, Basel, Switzerland. This article is an open access article distributed under the terms and conditions of the Creative Commons Attribution (CC BY) license (https://creativecommons.org/licenses/by/4.0/).
Share and Cite
Xiao, J.; Zhao, Z.; Xie, X.; Liang, Z.; Liu, Z.; Liu, X.; Tang, R. Micromorphology, Microstructure, and Wear Behavior of AISI 1045 Steels Irregular Texture Fabricated by Ultrasonic Strengthening Grinding Process. Metals 2022, 12, 1027. https://doi.org/10.3390/met12061027
Xiao J, Zhao Z, Xie X, Liang Z, Liu Z, Liu X, Tang R. Micromorphology, Microstructure, and Wear Behavior of AISI 1045 Steels Irregular Texture Fabricated by Ultrasonic Strengthening Grinding Process. Metals. 2022; 12(6):1027. https://doi.org/10.3390/met12061027
Chicago/Turabian StyleXiao, Jinrui, Zhuan Zhao, Xincheng Xie, Zhongwei Liang, Zhaoyang Liu, Xiaochu Liu, and Ruizhi Tang. 2022. "Micromorphology, Microstructure, and Wear Behavior of AISI 1045 Steels Irregular Texture Fabricated by Ultrasonic Strengthening Grinding Process" Metals 12, no. 6: 1027. https://doi.org/10.3390/met12061027
APA StyleXiao, J., Zhao, Z., Xie, X., Liang, Z., Liu, Z., Liu, X., & Tang, R. (2022). Micromorphology, Microstructure, and Wear Behavior of AISI 1045 Steels Irregular Texture Fabricated by Ultrasonic Strengthening Grinding Process. Metals, 12(6), 1027. https://doi.org/10.3390/met12061027

