Abstract
Grain refinement of magnesium (Mg) alloys has been a major research topic over the past decades as one of the effective approaches to increase their strength and ductility simultaneously. In this study, a brief review of the grain refinement of aluminum-bearing Mg alloys is included to provide an in-depth understanding of the detailed mechanisms of grain refinement of Mg alloys. Additionally, the effect of melt superheating on the grain refining of Mg–Al-based alloys has been investigated. It was confirmed that melt superheating caused a significant grain refining effect in the commercial purity (CP) of AZ91 alloy (0.25% Mn). Undercooling of 1.3 °C was observed before superheating and was noticeably reduced after the superheating process. A vacuum filtering experiment was conducted, which involves filtering the melts using fine metal porous filters to separate the particles in the melts. It was observed that a large amount of Al8Mn5 particles were generated in the commercial purity AZ91 alloy by the superheating process. However, because of the poor crystallographic matching between Al8Mn5 and Mg, Al8Mn5 was not considered the nucleation site for Mg grains. A master alloy containing ε-AlMn particles, which are in good crystallographic matching with Mg, was added, and it was found that the grain size of the commercial-grade AZ91 alloy was reduced. Therefore, it is suggested that Al8Mn5 particles, existing as a solid phase in the molten metal of the commercial AZ91 alloy could be transformed into ε-AlMn particles by the superheating process, and these particles can be effective nucleation sites for Mg grains. The transformation of Al8Mn5 into ε-AlMn is considered the main mechanism of grain refinement of the commercial purity of AZ91 alloy by superheating. Notably, the effect of grain refinement by superheating was not observed in the high-purity (HP) AZ91 alloy (0.006% Mn) because Al–Mn particles were likely not formed due to a very small quantity of manganese.
1. Introduction
Magnesium (Mg) alloys are the lightest structural metals, with several remarkable properties such as outstanding strength/weight ratio, 1.7 g/cm3 density at room temperature, and good castability and machinability [1]. Thus, Mg alloys are being increasingly used in the automotive industry because of the weight reduction for effective fuel economy and lower emission levels of greenhouse gases. Moreover, due to the high electromagnetic shielding effect and excellent damping capacity, these alloys are attracting immense interest from researchers in the electronics field [1]. However, Mg alloys have found limited commercial applications due to low strength and ductility compared to other competitive lightweight metal materials, such as aluminum alloys [2]. Grain refinement of Mg alloys has been one of the effective approaches to increase their strength and ductility simultaneously. The research on the grain refinement of Mg alloys is principally classified into aluminum-free and aluminum-bearing Mg alloys. Zirconium is the most effective grain refiner for aluminum-free Mg alloys. The characteristics of the crystal structure with the lattice parameters of zirconium (a = 0.323 nm and c = 0.514 nm) [3] are similar to those of Mg (a = 0.320 nm and c = 0.520 nm) with an HCP structure [2,4]. Therefore, it is considered an important nucleant for Mg crystals. The zirconium-rich core structures in Mg–Zr alloys have been shown by Qian et al. [3] as proof of the high grain refining potential of zirconium. Although zirconium forms stable compounds with Al, Mn, Si, Fe, Sn, Ni, Co, and Sb, it cannot act as a nucleant in Al-containing Mg alloys [3,4]. Several techniques to achieve effective grain refining for aluminum-containing Mg alloys have been reported, such as the Elfinal process, carbon inoculation, native grain refinement, and superheating. However, unlike the grain refining process by the addition of zirconium for aluminum-free magnesium alloys, commercially available and universally reliable grain refining processes do not exist for the range of aluminum-bearing magnesium alloys, and, additionally, clear mechanisms for grain refinement of these alloys have been insufficiently clarified. Therefore, in order to fully understand the mechanisms of grain refinement and develop effective grain refining processes for aluminum-containing magnesium alloys, a brief review of grain refinement for aluminum-bearing magnesium alloys was first performed in this study.
1.1. Grain Refining Processes of Aluminum-Bearing Magnesium Alloys
1.1.1. Elfinal Process
The Elfinal process is the addition of anhydrous ferric chloride (FeCl3) into Mg alloys at a temperature between 740 and 780 °C [2,4]. This process was invented by metallurgists from I.G. Farbenindustrie (chemical company, Frankfurt, German) based on the hypothesis that iron particles could act as the nucleation sites for Mg grains [2,4]. However, many researchers were not convinced about this mechanism, and other approaches were subsequently proposed. Emley [2,5] proposed two types of grain refinement mechanisms. The first mechanism involved the hydrolysis of FeCl3 in the melt, generating massive hydrogen chloride (HCl) fumes, thereby attacking the steel crucible and transferring of some carbon sources into the melt, leading to the formation of Al4C3 particles. The newly formed Al4C3 particles may act as the nucleation sites for Mg grains. The second mechanism involved the refining of the grains of the Mg alloys by Fe–Mn–Al particles that have good crystallographic matching with Mg. According to Cao and co-workers [4,6,7,8], grain refinement was observed with the addition of FeCl3 when high-purity (HP) Mg–Al alloys were melted in carbon-free aluminum titanate (Al2TiO5) crucibles. They suggested that the Al4C3 particles were not related to the Elfinal grain refinement. Through further research, the Fe- and Al-rich intermetallic compounds were found in the grains of both Mg-3 wt.% Al and Mg-9 wt.% Al alloys treated with different FeCl3 concentrations, which were considered the nucleation sites for the Mg grains in the Elfinal process. Conversely, Tamura et al. showed that the addition of a small amount of Fe caused the grain coarsening of HP Mg–Al alloy ingots [9,10]. Moreover, Gao et al. suggested that the grains of the AZ91 alloy could be significantly refined by decreasing the Fe content in the B2O3-containing flux [11]. A clear mechanism for the Elfinal process has not yet been identified; thus, more systematic research is needed to clarify the phenomenon. Although the Elfinal process leads to the grain refinement of Mg alloys, the addition of Fe has a detrimental effect on the corrosion resistance of the alloys, and the release of HCl fumes causes environmental and health risks. Thus, this method is less attractive than others and has limited industrial application.
1.1.2. Carbon Inoculation
The effect of carbon inoculation on the grain refinement of Mg alloys was first reported in 1940 [2,4]. The key point of this process is the addition of carbon into molten Mg alloys. The addition of carbon to the melt has been made through various means, such as master alloys; graphite and paraffin wax; carbides, including Al4C3 and SiC; organic compounds, including C2Cl6; and bubbling the melt with carbonaceous gases such as CO and CO2 [4,5,7,12]. Since carbon inoculation is effective only for Al-containing Mg alloys, Al-C type compounds are considered as effective nucleants, causing the grain refinement in this process. Reportedly, grain refinement can be achieved by carbon inoculation in Mg–Al alloys containing more than 2 wt.% Al [4,5]. However, the elements—Be, Zr, Ti, and RE (rare earth elements)—were found to interfere with the grain refinement via this process [2,4]. Jin et al. [13] reported that decomposition of carbon may occur in the AZ31 alloy melts when treated with carbon hexachloride (C2Cl6) at 780 °C. They suggested that carbon elements decomposed during the process, affecting the grain refinement by providing more constitutional undercooling during solidification. In 2001, Yano et al. [14] showed that Al, C, and O were observed in the center of grains of AZ91 alloys after the addition of pure carbon (99.9%) powder, suggesting that the potent nucleants are more likely to be a compound composed of Al, C, and O. However, Lu and co-worker [7] found Al4C3 to be the more potent nucleant for Mg alloys than Al2CO based on the misfit analysis of the crystallographic model. Qian and Cao [5] reported that the decomposition of carbon is not consistent with their findings. Instead, they proposed that Al4C3 and Al-C-O compounds are the most effective nucleation sites for the grain refinement of Mg alloys, based on experimental observations. The addition of silicon carbide (SiC) into the molten metal [15,16,17] is an effective grain-refining method for Mg–Al alloys. It is reported that with the decomposition of Si and C in the molten Mg alloy, the formation of various compounds, such as Al4C3 and Al2MgC2, occurs, and these compounds might act as potent nucleation sites for the grains of the Mg alloy [16,17]. Al4C3 and SiC compounds are found in the center of Mg grains and act as the nucleation site during the solidification of Mg alloys [15]. Carbon inoculation is an effective approach for the grain refinement of Mg–Al alloys. However, the continuous introduction of carbon into the molten Mg alloys is a critical issue in the process.
1.1.3. Native Grain Refinement
Native grain refinement was first reported by Nelson, stating that high-purity (HP) Mg–Al alloys have finer grain size than commercial-purity (CP) Mg–Al alloys [2,4]. This is a characteristic effect observed only in Mg–Al alloys. The grain refining mechanism remains unclear but is attributed to the compounds containing aluminum and carbon, which act as the nucleation sites for α-Mg grains [10,18,19,20]. Tamura and co-workers [10,19] reported that the Mg-9 wt.% Al alloys were prepared with distilled HP Mg (99.99%) and HP aluminum (99.99%). The composition analysis of this alloy sample revealed that it contained only 20 ppm of carbon, thus indicating that the native grain refinement might be due to the Al4C3 or Al-C-O nucleants existing in the melt. Further study by Tamura et al. [20] showed that the grain size of HP Mg–Al alloys is increased by adding a small amount of Fe, Mn, Be, and Zr because the impurity elements have a higher affinity with carbon than the Al in the melt. They suggested that the poisoning of Al–C–O compounds with high grain refinement potential occurs after the addition of other elements. Cao et al. [18] also reported that the native grain refinement of HP Mg–Al alloys occurred through the heterogeneous nucleation by Al4C3 compounds, and no native grain refinement was observed for both Mg–Zn and Mg–Ca alloys. It can be clearly observed that the HP Mg–Al alloys have finer grain size than the commercial-grade alloys. Conversely, for the Mg–Zn alloy, HP alloys have a coarser grain size than the commercial-grade alloys. The mechanism of native grain refinement is still unclear because it is difficult to analyze the carbon content accurately and clarify the role of carbon in Mg alloys. Moreover, there is a limit to the use of expensive HP Mg in the casting industry.
1.1.4. Superheating
Superheating is an effective grain refinement method for Mg–Al alloys, first reported in a British patent granted in 1931 [2,4]. This process consists of heating the melt to about 150–260 °C above the equilibrium liquidus temperature for a short time, followed by rapid cooling to the pouring temperature, and then holding for a short time before casting [2,4]. Just by simple thermal control of the melt, successful grain refinement can be achieved. This approach has the following characteristics. The grain refinement effect of superheating is influenced by the alloy composition. Aluminum is the key element, i.e., grain refining by superheating is observed only in aluminum-containing Mg alloys, not in those containing less than 1 wt.% Al, and the degree of the grain refinement increases with increasing aluminum content wt.% [2,4]. Additionally, a small amount of Fe and Mn elements promotes grain refinement by superheating, particularly in commercial-grade Mg–Al alloys with high Fe and Mn contents, in which a significantly greater grain refinement was observed than that in the HP alloys with low Fe and Mn contents. However, an excessive (>1 wt.%) Mn content in the alloys inhibits the grain refining effect by superheating [10,21]. It was reported that a small amount of Si improves the grain refining effect by superheating, although this effect does not work with high Fe content [2,4]. The addition of Zr, Be, and Ti also restricts the grain refining effect by the superheating process [2,4]. Another characteristic of the superheating process is that the maximum grain refinement can be achieved with a specific superheating temperature range and holding time. Tiner [2,4] reported that the optimal superheating temperature range for Mg-9 wt.% Al-2 wt.% Zn alloy is between 850 and 900 °C. Once grain refinement is obtained using the optimal superheating temperature and holding time, increasing the holding time at the superheating temperature or repeating the process produces no additional grain refinement [2,4]. Additionally, when grain refinement has occurred at a relatively low superheating temperature, an improved grain refining effect can be achieved by increasing the holding time at the superheating temperature, and alloys with high aluminum content need less holding time than those with low aluminum content [22,23]. Successful grain refining requires the rapid cooling of the melt from the superheating temperature to the pouring temperature, followed by immediate pouring. Higher superheating temperature, slow cooling-to-pouring temperature, or longer holding at the pouring temperature sometimes causes grain coarsening [2,4].
Although grain refinement by superheating has been known for a long time, the exact mechanism has not yet been identified. However, some hypotheses have been proposed to explain this effect:
- (1)
- Oxide Nucleation Theory
This theory posits that grain refinement occurs via the formation of Mg oxide and other oxide particles in large quantities, produced in the molten metal through the superheating process. However, grain refinement by superheating is observed under a vacuum atmosphere, where oxides cannot form, and only insignificant grain refinement can be obtained by the direct addition of Mg and other oxides. Additionally, the oxide theory cannot explain why grain refining occurs with compounds composed of Al, C, Fe, and Mn. Therefore, this theory has certain limitations as the major mechanism for grain refinement by superheating [2,23].
- (2)
- Al4C3 Nucleation Theory
This hypothesis is based on the nucleation of the Mg grains on Al4C3 particles. Superheating promotes the diffusion of carbon atoms from the steel crucible and the formation of Al4C3 particles, considered the nucleating particles for α-Mg grains, in the molten metal [23,24]. Motegi [25] performed experiments to clarify the grain refinement mechanism of Mg–Al–Zn alloys by superheating. To prevent any interaction between the crucible and the molten metal, the inside of the Fe-18%Cr stainless steel crucible was surface-treated with magnesia, and then superheating experiments with commercial AZ91E alloys were performed in various superheating temperature ranges. The results showed that numerous Al4C3 particles were formed in the commercial AZ91E alloys after the superheating process, suggesting that those particles could act as the nucleation sites for α-Mg grains. However, there is no direct experimental data to prove the formation of Al4C3 particles during the superheating process.
- (3)
- Temperature-solubility Theory
This is based on particles that are too large and coarse to be good nucleants in the melt at normal pouring temperatures. These particles are dissolved in the melt at the superheating temperature and re-precipitated as finer particles, serving as the heterogeneous nucleation sites on α-Mg grains during the rapid cooling of pouring temperature. However, this theory fails to identify the species of particles that can act as nucleants [23,24,25,26,27].
- (4)
- Al–Mn Intermetallic Compound Nucleation Theory
The fourth hypothesis, proposed by several researchers, is the nucleation of α-Mg grains by the Al–Mn intermetallic compounds precipitated from the melt during cooling to the pouring temperature after superheating [23,24]. Multiple researchers have proposed that the presence of aluminum reduces the solubility of Mn in the molten Mg and forms several Al-Mn intermetallic compounds during the superheating process. However, an edge-to-edge matching model showed that the Al–Mn intermetallic compounds, such as Al8(Mn,Fe)5, have low potential as the potent nucleation sites in α-Mg grains [28,29,30]. Qiu and co-worker [22] studied potent nucleants for Mg-Al alloys existing in the superheating process from a crystallographic perspective. The metastable τ-AlMn intermetallic compound produced via the superheating process could act as an effective heterologous nucleation site because it possesses significantly better crystallographic matching for α-Mg than other Al–Mn intermetallic compounds. However, further research is required on the formation of metastable τ-AlMn from a thermodynamic perspective.
- (5)
- Duplex Nucleation Theory
Cao et al. [21] proposed a duplex nucleation theory. It states that Al4C3 particles are the nucleants responsible for the grain refinement of HP Mg–Al alloys, and the presence of Mn and/or Fe in the commercial-grade Mg–Al alloys may interfere with Al4C3 particles by preventing them from acting as the potent nucleation sites for α-Mg grains. Mn and Fe surrounding the Al4C3 particles are added into the molten metal during the superheating process, leaving the Al4C3 particles exposed, thereby acting as the nucleation sites for α-Mg grains. If the holding time is prolonged at the pouring temperature after the superheating, the grains of the commercial-grade Mg–Al alloy become coarse because Mn and/or Fe re-wrap around the Al4C3 particles. It is also shown in studies by Tamura et al. [10] that the grain size of HP Mg-Al alloys without Mn and/or Fe does not change significantly through the superheating process. The HP Mg–Al alloy free of Mn and/or Fe has fine grains because of the presence of Al4C3 particles that serve as potent nucleation sites. Thus, the superheating process and the long holding time at the pouring temperature do not change the grain size of the HP Mg–Al alloy.
Mechanisms of representative grain refinement processes of Mg–Al alloys have been reported as heterogeneous nucleation by aluminum-containing particles and are summarized in Table 1. It was noticed that the mechanism of the grain refining process, which is without additives such as native grain refinement and superheating, is heterogeneous nucleation by particles containing aluminum, similar to those which are with additives, such as the Elfinal process and carbon inoculation. It was thought that particles with the potential to give grain refinement to the Mg–Al alloys already existed in these alloys and that native grain refinement and superheating would improve the potential of these particles as nucleation sites for α-Mg. In this study, observations of grain refinement on Mg–Al alloys according to purity level and melt superheat treatment were performed as initial work. Afterwards, the grain refinement mechanism by melt superheat treatment was studied in depth. Specifically, the re-precipitation of particles and the transformation of these by the superheating process were intensively analyzed. However, the effect of purity level on the grain refining of Mg-Al alloys in relation to native grain refinement is a separate research area; further studies are planned.
Table 1.
Summary of grain refining processes of aluminum-bearing magnesium alloys.
2. Experimental Procedures
Mg-9%Al-1%Zn alloys made of high purity Mg (99.99%), high purity aluminum (99.99%), high purity zinc (99.999%) ingots, and commercial-purity AZ91 alloy were employed in our study. In each experiment, about 1000 g of alloys were melted in an alumina (Al2O3) crucible (diameter: 140 mm; height: 120 mm) at 670 °C under a protective gas cover (1.0% SF6 in 99.0% N2). For the melt superheating process, the alloy melts were heated rapidly to 770 °C and held at the superheating temperature for 15 min. Then, they were cooled to 670 °C then poured into a Φ30 mm × 70 mm cylindrical steel mold (preheated to 250 °C). The chemical compositions of the alloy samples were analyzed by an optical emission spectrometer (Spectro MAXx). To measure the undercooling during solidification, thermal analysis experiments were conducted in cylindrical graphite crucibles of 52.5 mm internal height and 40 mm internal diameter. The K-type thermocouples were calibrated in 99.99% aluminum. The crucible was immersed in the melt until it reached the melting temperature. Later, the crucible filled with molten metal was transferred to a ceramic board. A K-type thermocouple was immersed into the center of the melt to record the temperature during solidification. The temperature change was recorded by a data logger (NI cDAQ-9174) at the frequency of 20 Hz. In addition, the top of the crucible was covered with a ceramic board to induce heat flux to the crucible’s outer wall. A vacuum filtering experiment was performed to separate any particles possibly acting as the nucleation sites from the melts of samples. Figure 1 shows a schematic illustration of the vacuum-filtering experiment. A sampler with multi-stage filters was immersed in the molten melts. The top of the sampler was connected to a vacuum pump, and the molten metal was sucked into the sampler via vacuum pressure, thereby collecting the particles from the melts on the porous filter in the sampler. The specimens were polished using 1 to 3 μm thick diamond pastes with non-aqueous lubricant. The metallographic specimens were etched using an acetic-picral etchant, composed of 2.5 mL acetic acid, 5 g picric acid, 10 mL distilled water, and 100 mL (95%) ethanol, for up to 30 s to reveal the microstructural features. The microstructure was examined using an optical microscope (Leica MC 170, Wetzlar, Germany), and the average grain size from the central region of a transverse section of each sample was measured according to ASTM E112-10. The intermetallic compounds of each sample collected in the porous filter were analyzed by scanning electron microscope and energy dispersive spectrometer (Hitachi S-4800, Chiyoda City, Tokyo, Japan). Melt spinning equipment (manufactured in the metal lab of Inje University, Gimhae, Korea) was used to manufacture the master alloys containing ε-AlMn. 27 wt.% Al (99.99%)-73 wt.% Mn (99%) master alloy was melted in a quartz nozzle by induction heating, and the molten metals were sprayed on a copper wheel rotating at about 2000 rpm to fabricate rapidly solidified ribbons in a vacuum chamber. The phases of the ribbon samples were analyzed by an X-ray-diffractometer (PANalytical X’Pert PRO, Malvern, UK). Castings adding ribbons to CP AZ91 alloys were performed in the same conditions as conventional casting, and sample preparation, polishing, and grain size measurement were also performed in the same manner as mentioned above.
Figure 1.
The schematic illustration of the vacuum-filtering experiment setup.
3. Results and Discussion
Table 2 shows the chemical compositions of HP and CP AZ91 alloy samples. The main difference between the two alloys is the composition of manganese, and it is thought that the composition of manganese affects the grain refinement of AZ91 alloys by superheating. Figure 2 shows that the grain size of HP AZ91 alloy is finer than that of the CP AZ91 alloy. This phenomenon was observed only in Al-containing Mg alloys and was first reported by Nelson in 1948 [18]. It is an interesting phenomenon that the purity of the alloy affects the grain refining of the AZ91 alloy. However, grain refining by superheating is not observed in the HP AZ91 alloy, as shown in Figure 2. Since this study will focus on the study on the grain refining mechanism by superheating, we intend to conduct an in-depth study on the CP AZ91 alloy in which grain refinement is clearly observed by superheating, as shown in Figure 3. The effect of alloy purity on grain refinement of the AZ91 alloy is regarded as a research area separated from grain refinement by superheating; the effect of alloy purity on grain refinement of AZ91 alloy is mentioned only as initial work in this paper. The variations in the average grain size of the CP AZ91 alloy with the holding time at the pouring temperature are presented in Figure 3. The average grain size of the CP AZ91 alloy was 290 µm before superheating and 114 µm after superheating (SH). As the holding time at the pouring temperature increased after superheating, the average grain size of this alloy increased gradually and the effect of superheating on grain refinement disappeared completely upon holding for 2 h. On the other hand, the average grain size of the HP AZ91 alloy did not change even with the increased holding time at the pouring temperature after superheating, as seen in Figure 4.
Table 2.
Chemical compositions of high-purity (HP) and commercial-purity (CP) AZ91 Mg alloys before and after superheating (SH).
Figure 2.
Influence of superheating on the grain size for (a) CP AZ91 (AGS: 332 µm), (b) CP AZ91 SH (AGS: 169 µm), (c) HP AZ91 (AGS: 98 µm), and (d) HP AZ91 SH (AGS: 87 µm).
Figure 3.
Influence of superheating and holding on the grain size for (a) CP AZ91 (AGS: 290 µm), (b) CP AZ91 SH (AGS: 114 µm), (c) CP AZ91 SH-1h (AGS: 121 µm), and (d) CP AZ91 SH-2h (AGS: 290 µm).
Figure 4.
Influence of superheating and holding on the grain size for (a) HP AZ91 (AGS: 70 µm), (b) HP AZ91 SH (AGS: 89 µm), (c) HP AZ91 SH-1h (AGS: 69 µm), and (d) HP AZ91 SH-2h (AGS: 70 µm).
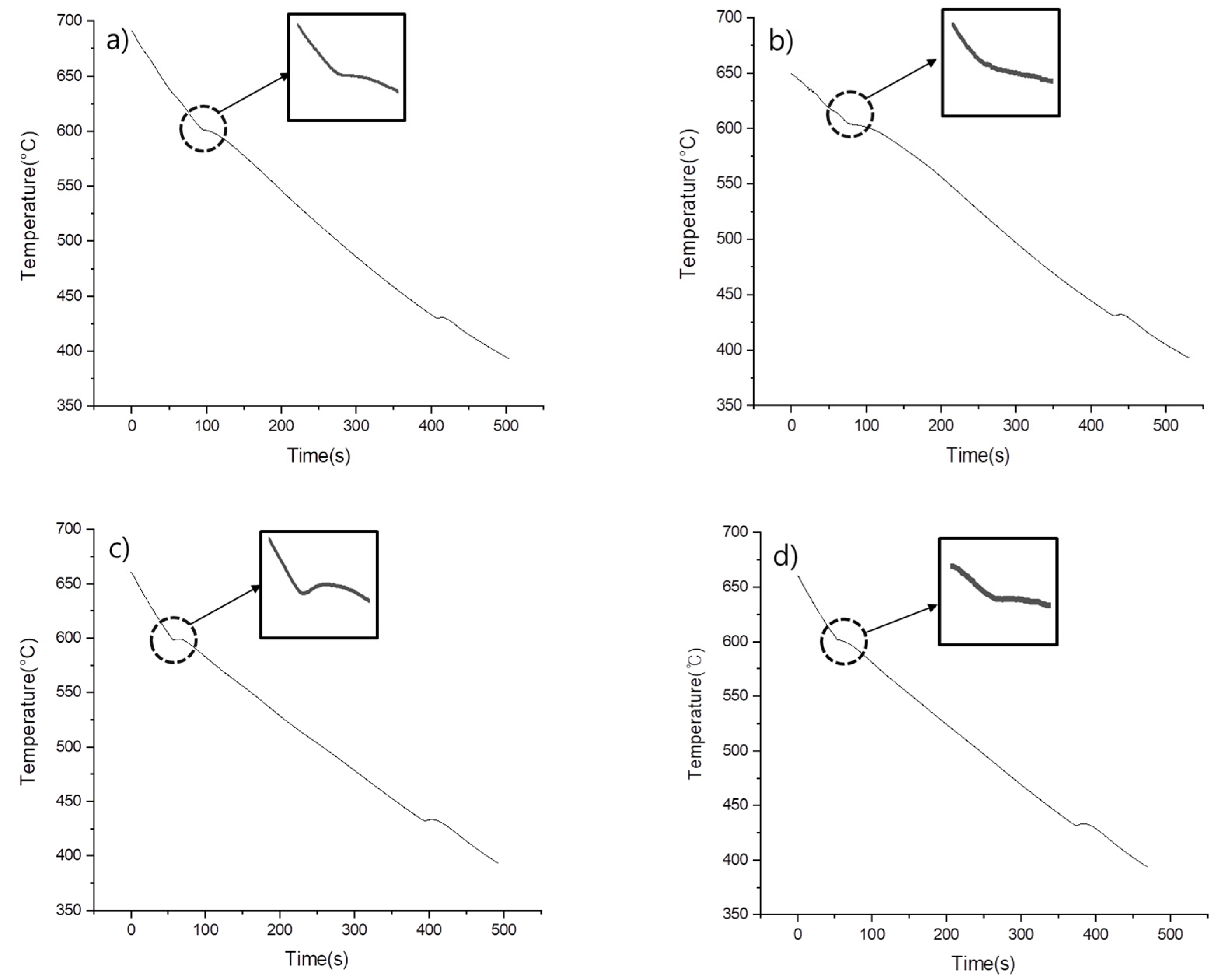
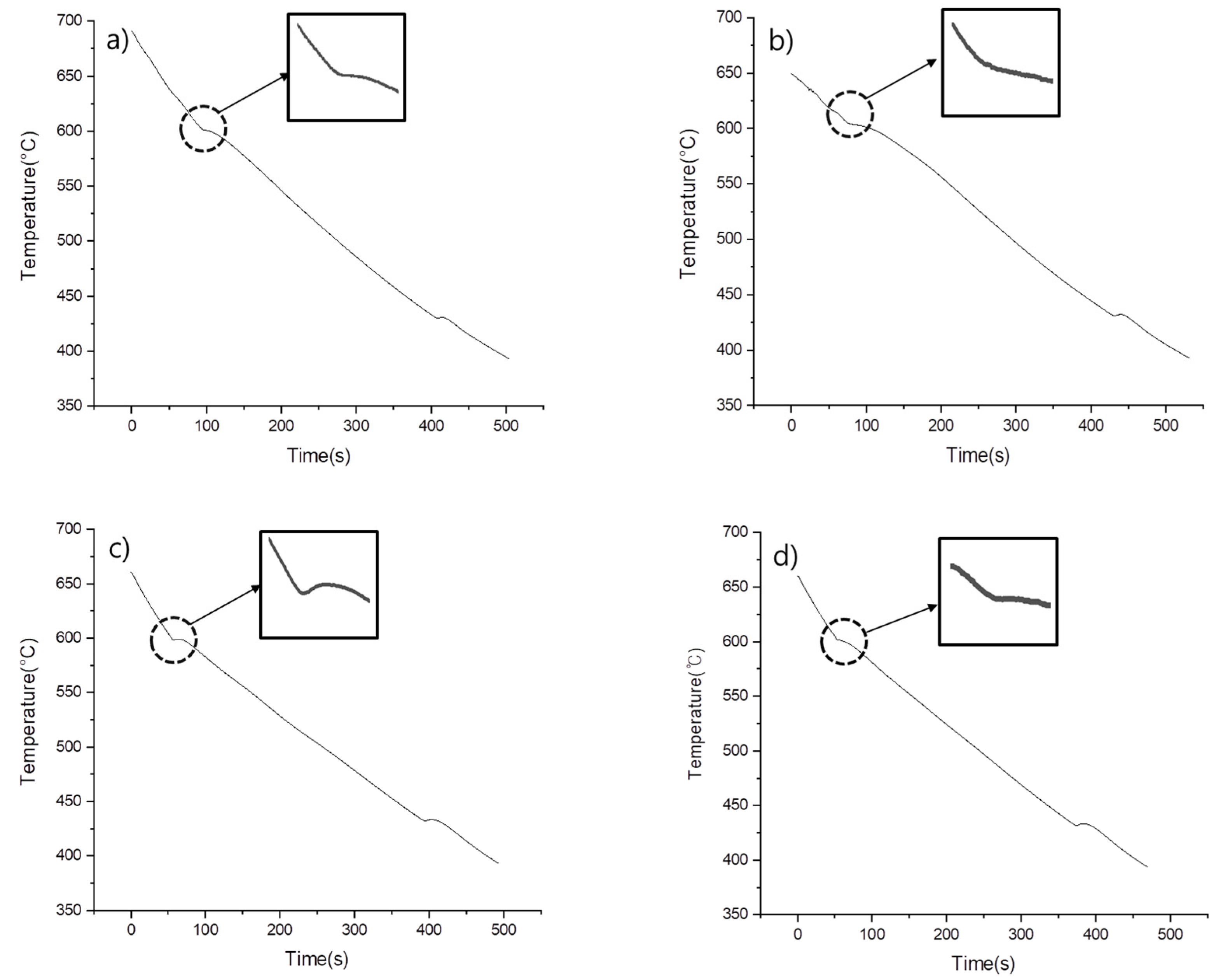
Figure 5 shows the cooling curve of the samples. The nucleation in the solidification of the molten metal can be evaluated by the cooling curve. A phenomenon in which the temperature of a liquid becomes lower than its equilibrium melting temperature is called that the liquid is undercooled, and the degree of undercooling (ΔT) is the equilibrium melting temperature minus the actual temperature of the liquid. If the alloy has sufficiently nucleation sites, the degree of undercooling is reduced because the solid phase is formed from the liquid phase only with low thermodynamic driving forces [2,3,4,31,32]. In the HP AZ91 alloy, almost no undercooling was observed regardless of whether or not the overheating process was performed. It was thought that the HP AZ91 alloy originally had nucleation sites that gave itself grain refining and that the superheating process had no effect on the grain refining efficiency of these nucleation sites, affecting the grain refinement of the HP AZ91 alloy, as shown in Figure 5. On the other hand, in the CP AZ91 alloys, undercooling of 1.3 °C was observed before superheating and a negligible undercooling was observed after superheating. It might be considered that nucleation sites that give the grain refinement to the CP AZ91 alloy were generated during the superheating process. However, the long holding at the general pouring temperature (670 °C) deteriorates the grain refining effect of these nucleation sites, so it is thought that the grain size of the CP AZ91 alloy refined by superheating goes back to its original grain size again, as shown in Figure 3. Nucleation sites generated by superheating are likely to be a particle existing in the molten metal of the CP AZ91 alloy, and an experiment was devised to take out particles from the melts to observe these particles.
Figure 5.
The cooling curves of (a) HP AZ91 before superheating, (b) HP AZ91 after superheating, (c) CP AZ91 before superheating, and (d) CP AZ91 after superheating.
A vacuum-filtering experiment was performed to observe the particles affecting the grain refinement of CP AZ91 alloys by superheating. For HP AZ91 alloys, this experiment was not performed because grain refinement by superheating was not observed. As mentioned earlier, additional research will be conducted on the cause of HP AZ91 alloys compared to CP AZ91 alloys. In this study, it was conducted to understand the grain refinement mechanism of the CP AZ91 alloy, where a change in grain size was observed by melt superheat treatment. Figure 6 shows the optical micrographs of the microstructure of the CP AZ91 samples filtered via a porous filter in the vacuum sampler. In the samples that did not undergo superheating, the grain sizes of the microstructure before and after filtration via the 10 µm porous filter were measured as 264 and 275 µm, respectively. The grain sizes of the microstructure filtered via the 3 and 5 µm porous filters were 267 and 269 µm, respectively. In the samples treated with melt superheating, the grain sizes of the microstructure before and after filtration by the 10 µm porous filter were 354 and 350 µm, respectively. The grain sizes of the microstructure filtered by the 3 and 5 µm porous filters after superheating were 346 and 359 µm, respectively. Through the previous thermal analysis experiment, it was confirmed that effective nucleant particles, causing the grain refinement of the CP AZ91 alloy, were generated by the superheating treatment, which was not the case for the non-superheated alloy samples. As expected, the grain size of the non-superheated samples did not change before and after passing through the porous filter. In contrast, the nucleation particles for α-Mg were assumed to exist in the superheated samples, and therefore, the change in grain size was observed by analyzing the microstructure before and after passing through the porous filter. Since the size of the nucleant particles causing the grain refinement of α-Mg cannot be accurately predicted, the vacuum filtering sampler was designed with multi-stage porous filters of 3, 5, and 10 µm pore sizes. However, no noticeable change was observed in the grain size of the samples before and after passing through the porous filter, even after the superheating treatment, because the effective nucleant particles generated by the melt superheating treatment were retained in the porous filters during the vacuum suction process. In this case, almost no nucleant particles to cause grain refinement of α-Mg were observed in the microstructure during the grain size measurement. In addition, the grain size of the sample treated with melt superheating is possibly coarser than the grain size without superheating due to the difference in the cooling rates of the vacuum-filtering sampler in the two cases.
Figure 6.
The microstructure of the CP AZ91 samples filtered through porous filters in the vacuum sampler: before superheating—(a) before passing through a 10 µm filter, (b) after passing through a 10 µm filter, (c) after passing through a 5 µm filter, (d) after passing through a 3 µm filter and after superheating, (e) before passing through a 10 µm filter, (f) after passing through a 10 µm filter, (g) after passing through a 5 µm filter, and (h) after passing through a 3 µm filter.
The particles of the CP AZ91 samples captured in the porous filters were analyzed by SEM and EDS, and it was found that the particles were only collected by the 10 µm porous filter and not the 5 and 3 µm porous filters. Figure 7 shows the morphology and chemical composition of the particles of CP AZ91 samples collected by the 10 µm porous filter. Energy dispersive spectroscopy (EDS) analysis of the particles of the CP AZ91 samples before and after superheating indicated that these particles are Al8Mn5 intermetallic compounds, as shown previously in the Al–Mn equilibrium phase diagram [33,34]. Without superheating, the chemical composition of the Al8Mn5 particle was 61.20 wt.% Al and 38.80 wt.% Mn, with the Al/Mn atomic ratio of 1.577, as shown in Figure 7. For the superheated samples, the chemical composition of the Al8 (Mn, Fe)5 particle was 60.08 wt.% Al, 38.18 wt.% Mn, and 1.74 wt.% Fe, and the Al/(Mn, Fe) atomic ratio was 1.505. The compositions of these particles were within the non-stoichiometric Al8Mn5 phase according to the Al–Mn equilibrium phase diagram [33], and the crystal structures of Al8Mn5 and Al8 (Mn, Fe)5 were identical. Therefore, the Al8 (Mn, Fe)5 particle can be considered the same as the Al8Mn5 particle [35].
Figure 7.
Intermetallic compounds of CP AZ91 filtered through a 10 µm filter (a) before superheating and (b) after superheating; (c) Al-Mn intermetallic compound of sample before superheating; (d) EDS analysis for Al–Mn intermetallic compound of sample before superheating.
No significant changes in the size and morphology of Al8Mn5 were observed through the superheating process. In addition, the EDS analysis of Al8Mn5 with different morphologies indicated no compositional difference between the rod-like and equiaxed particles. However, several Al8Mn5 intermetallic compounds were observed in the samples undergoing superheating.
Achenbach et al. [32] proposed the temperature-solubility theory for grain refinement of Mg alloys by superheating. They suggested that the particles existing at general melting temperatures are too few to serve as the effective nucleation sites for Mg alloys, but by superheating, they dissolve into the melt and then re-precipitate into multiple particles, causing the grain refinement of the Mg alloy [32], although this theory does not explain what these particles might be. Because of the increase in the number of Al8Mn5 particles observed in our vacuum filtration experiments, the re-precipitated particles in the temperature theory could be Al8Mn5. While the molten metal was held at a high temperature, a lot of Al and Mn dissolved into the molten metal due to the increase in the solubility of Al and Mn in the molten Mg, and the coarse Al8Mn5 particles existing in the molten metal were decomposed. Additionally, through rapid cooling and short holding at the pouring temperature, various Al8Mn5 particles, acting as nucleation sites of α-Mg, were possibly generated.
Al8Mn5 has a rhombohedral crystal structure (lattice parameters a = 1.2645 nm and c = 1.5855 nm) [35,36,37], which indicates a very poor crystallographic matching with Mg (hexagonal structure, lattice parameters a = 0.32092 nm and c = 0.52105 nm). To date, many studies have been conducted on the nucleants, and some empirical rules are accepted for selecting the effective nucleants and grain refiners: (1) they must be formed as stable solid particles in the Mg melt, (2) they must have good wettability with the Mg melt, and (3) they must have close crystallographic matching with the α-Mg. Although Al8Mn5 particles satisfy the first and second empirical nucleation rules as effective nucleant particles for α-Mg, they fail to satisfy the third and most important rule. According to the heterogeneous nucleation theory [2,3,4,31,32,36,37], certain stable solid particles with good wettability with the molten melt may act as potential heterogeneous nucleation sites with lower activation energy compared with that required for homogeneous nucleation. However, all of them cannot be considered effective nucleation sites as it is critical to have a low crystallographic disregistry with the α-matrix.
Zhang et al. [30,38] studied the crystallographic matching between the Al8Mn5 phase and α-Mg using an edge-to-edge model. They reported that the Al8Mn5 particle has a very poor crystallographic matching with α-Mg, and there is hardly a well-defined orientation relationship (OR) between the two phases. Thus, they concluded that Al8Mn5 particle is unlikely to be a potent nucleation site for α-Mg. Y. Wang and co-workers [35] researched the effect of Al8Mn5 intermetallic particles on the grain size of as-cast AZ91D alloys. High-resolution transmission electron microscopy (HR-TEM) was conducted on the samples with Al8Mn5 particles captured by pressurized filtration from the AZ91D alloy melt. The TEM results for the Al8Mn5/α-Mg interfaces revealed no crystallographic OR between the Al8Mn5 and α-Mg. Hence, they concluded that Al8Mn5 particles are unlikely to act as the effective nucleation sites for the α-Mg.
The research of Zhang and Wang has confirmed that the OR between Al8Mn5 and α-Mg was hardly defined; thus, the crystallographic matching between the two phases was very poor. Based on these analyses, we conclude that Al8Mn5 is unlikely to be an effective nucleant particle for the commercial AZ91 alloy.
Cao and co-workers [37] studied the effect of manganese on the grain refinement of Mg–Al-based alloys. It was shown that the grain size of the Mg–Al alloys was clearly reduced by the addition of Al-60 wt.% Mn master alloy splatter (according to the specification provided by the supplier, the actual composition varied from 58 to 64 wt.% Mn). XRD results indicate that the Al-60 wt.% Mn master alloy contained ε-AlMn particles that have very good crystallographic matching with α-Mg [37]. Thus, they concluded that ε-AlMn particles could possibly act as the effective nucleation sites for α-Mg. Based on the Al–Mn binary phase diagram (Figure 8), this phase is not formed in the Al-60 wt.% Mn master alloy splatter. However, they suggested [37] three possibilities for how the ε-AlMn could be formed during rapid cooling of the Al-60 wt.% Mn melt. First, the actual chemical composition of the Al-60 wt.% Mn master alloy splatter could be up to 64 wt.% Mn, according to the composition analysis data from the supplier. Second, the rapid cooling process inhibits the formation of the γ2-Al8Mn5 phase compared to the ε-AlMn phase, which shifts the peritectic reaction (L + ε → γ2) to a lower temperature. Third, the binary Al-Mn phase diagram is not well established yet, especially in relation to high-temperature regions.
Figure 8.
Equilibrium phase diagram of binary Al–Mn [35].
Table 3 shows the crystal structures of γ-Al8Mn5, ε-AlMn, and α-Mg [33,35]. The γ phase is classified into γ, γ1, and γ2 according to the weight ratio of Mn to Al, shown in the binary Al-Mn phase diagram [33]. The γ and γ1 are stable phases at high temperature, and the crystal structure with the atomic percentage of elements constituting these phases has not been clearly defined yet [33]. On the other hand, γ2 is one of the phases commonly observed and reported to exist as a solid phase in the AZ91 alloy melts [35,36,38]. The Al8Mn5 observed by the vacuum-filtering experiment in this study are the γ2 phase. As mentioned above, the crystallographic matching between Al8Mn5 and α-Mg was very poor, and it was thought that the Al8Mn5 phase did not cause grain refinement of the CP AZ91 alloy [30,35,38]. However, ε-AlMn shown in the binary Al-Mn phase diagram is a stable phase at high temperatures above 840 °C [33]. It has the same crystal structure as α-Mg, and the space group and space group number are the same [33,35]. It could be considered that the ε-AlMn phase has the potential to act as nucleation sites for CP AZ91 alloy, and phase transformation from the Al8Mn5 phase to the ε-AlMn phase might occur by the superheating process. In order to clarify our thought, we prepared master alloy ribbons containing ε-AlMn by a rapid solidification process, and these ribbons were added to the CP AZ91 alloy to observe the grain size changes in the same samples.
Table 3.
The crystal structures for γ2-Al8Mn5, ε-AlMn, and α-Mg data from [33,35].
Figure 9 shows the XRD spectrum of 27 wt.% Al (99.99%)-73 wt.% Mn (99%) master alloy ribbons. ε-AlMn and Al8Mn5 are represented by circular and triangular dots, respectively. Well-defined ε-AlMn (JCPDS #11-0416 [37]) and Al8Mn5 (JCPDS #32-0021 [37]) peaks were detected. Based on the XRD data, it was confirmed that the ε-AlMn phase was formed in the 27 wt.% Al-73 wt.% Mn master alloy ribbons. Figure 10 shows the grain refinement of the CP AZ91 alloy by the addition of Al-Mn master alloy ribbons. The grain size of the CP AZ91 alloy decreased as the weight percent of the Al-Mn master alloy ribbon increased. The grain size decreased markedly by adding only 0.5 wt.% Al-Mn master alloy ribbon. The Al–Mn master alloy ribbon contains two phases: ε-AlMn and Al8Mn5. Therefore, it is necessary to define which phases can cause the grain refinement of the CP AZ91 alloy. When comparing the two phases from the crystallographic point of view, the ε-AlMn phase with the hexagonal crystal structure is more likely an effective nucleant for the α-Mg grains than Al8Mn5 with the rhombohedral crystal structure [35,38,39]. As mentioned above, the research of Zhang [30,38] and Wang [35] confirmed that the OR between Al8Mn5 and α-Mg was hardly defined; thus, the crystallographic matching between the two phases was very poor. On the other hand, α-Mg and ε-AlMn have the same hexagonal crystal structure, and they even have the same space group and space group number. The lattice parameters (nm) on a, b, and c between the two phases show similar values, with the c/a ratio of 1.61528 (α-Mg) and 1.623613 (ε-AlMn) showing a difference of 0.7% [33]. Cao also reported that the lattice misfit between α-Mg and Al8Mn5 was about 20% and that between α-Mg and ε-AlMn was about 4%. Based on these, it was concluded that AlMn has more potential as a nucleation site to give grain refinement to the Mg–Al alloy than Al8Mn5 [39]. Therefore, when the Al–Mn master alloy is introduced into the melts of the CP AZ91 alloy, the ε-AlMn phase can act as potent nucleation sites rather than the Al8Mn5 phase for the α-Mg grains.
Figure 9.
XRD spectrum of 27 wt.% Al-73 wt.% Mn master alloy ribbons.
Figure 10.
Grain size of the CP AZ91 Mg alloy with 0.1 wt.% to 0.5 wt.% Al-Mn master alloy ribbons.
To further prove that the ε-AlMn phase can act as the potent nucleation sites and produce the grain refinement of CP AZ91 alloy, TA experiments were performed. When the molten metal solidifies, the nucleation state can be evaluated by the cooling curve. The solidification of the alloy begins below the equilibrium melting temperature. As the temperature decreases below the equilibrium melting temperature, the liquid phase should transform into a solid in order to be thermodynamically stable. The phenomenon where the temperature of the liquid becomes lower than the equilibrium melting temperature is called that the liquid is undercooled and the extent of undercooling (ΔT) is the equilibrium melting temperature minus the actual temperature of the liquid. As the extent of undercooling increases, the thermodynamic driving force to form a solid phase from the liquid overcomes the resistance of the liquid, and a solid phase is created. When the alloy has sufficient potent nucleation sites, the degree of undercooling is reduced because the solid phase is formed from the liquid phase only with a low thermodynamic driving force. By analyzing the extent of undercooling, it is possible to evaluate whether the ε-AlMn phase acts as efficient nucleation sites or not [2,3,4,37].
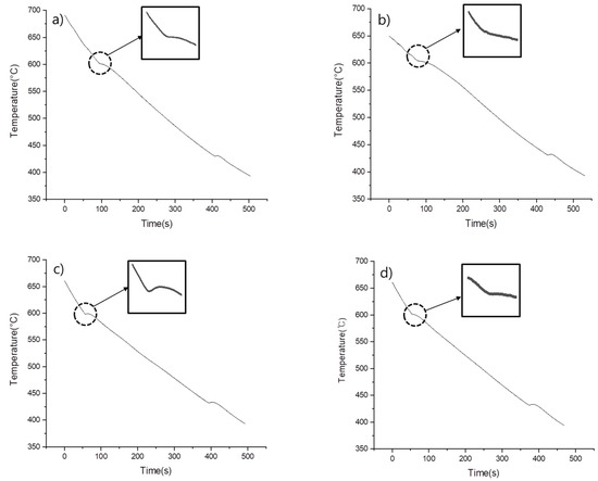
Figure 11 shows the undercooling during the solidification of CP AZ91 and CP AZ91 alloys with the 0.5 wt.% Al–Mn master alloy containing the ε-AlMn phase. The extent of undercooling of the CP AZ91 alloy and the CP AZ91 alloy with the 0.5 wt.% Al–Mn master alloy was measured as 1.02 and 0.69 °C, respectively. The degree of undercooling was reduced by 43% because the thermodynamic driving force that forms the solid phase from the liquid phase decreased as the ε-AlMn phase was added to the CP AZ91 alloy. This means that the ε-AlMn phase acted as a potent nucleant in the CP AZ91 alloy. The first derivative of the cooling curve can be utilized to analyze the small temperature changes unresolved by the cooling curve and to determine the nucleation temperature (TN) [37]. Figure 12 shows the first derivative of the cooling curve of the CP AZ91 alloy and the CP AZ91 alloy with the 0.5 wt.% Al-Mn master alloy containing the ε-AlMn phase. The TNs of the CP AZ91 alloy and the CP AZ91 alloy with the 0.5 wt.% Al-Mn master alloy was 597.3 and 598.2 °C, respectively. As the ε-AlMn was added, the TN of the CP AZ91 alloy was increased by 0.9 °C. The increase in the TN indicates that the driving force is sufficient to generate a solid phase from the liquid phase even at a high temperature, wherein the liquid phase is thermodynamically more stable than the solid phase. This indicates that ε-AlMn is an effective nucleant for the CP AZ91 alloy.
Figure 11.
Typical cooling curves of (a) CP AZ91 alloy and (b) CP AZ91 alloy with 0.5 wt.% Al–Mn master alloy ribbons.
Figure 12.
(a) TN of the cooling curve of (a) the CP AZ91 alloy and (b) the CP AZ91 alloy with 0.5 wt.% Al–Mn master alloy ribbons.
The results on the grain refining of the CP AZ91 alloy by ε-AlMn provide clear evidence to explain the mechanism of grain refinement of the CP AZ91 alloy by melt superheat treatment. In the commercial AZ91 alloy ingot used in this study, various Al8Mn5 particles were observed along with alpha Mg and the M17Al12 eutectic phase. In the thermodynamic study of the solidification behavior of AZ91 alloy, it was reported that Al8Mn5 particles were formed at 640 °C [40]. However, there are no clear results describing whether Al8Mn5 is decomposed into Al and Mn atoms during re-melting or exists as a solid phase in the AZ91 molten metal. In the equilibrium phase diagram of binary Al–Mn (Figure 8), it was confirmed that the Al8Mn5 phase exists as a solid state even at high temperatures of above 840 °C. Although a clear study on the kinetic energy between the commercial AZ91 alloy molten metal and the Al8Mn5 phase is required, there is sufficient possibility that solid-phase Al8Mn5 exists in the re-melted Mg alloys. Al8Mn5 particles, existing as the solid phase in the molten metal of commercial AZ91 alloy, could transform into ε-AlMn particles during the superheating process. It was thought that sufficient kinetic energies were given to Al8Mn5 particles to transform into ε-AlMn particles due to the long holding time at the superheating temperature. ε-AlMn particles formed in the molten metal rapidly cool from the superheating temperature, and ε-AlMn particles act as the nucleation sites for the α-Mg grains, possibly causing the grain refinement of the CP AZ91 alloy. Moreover, ε-AlMn particles are stable only at temperatures above 840 °C. In the molten metal held at 670 °C for a prolonged time (e.g., 2 h), these particles could have transformed into stable Al8Mn5 particles so that the grain refinement effect by superheating disappears.
In this study, we have focused on the grain refinement of commercial AZ91 alloy by superheating because the effect of grain refinement by superheating was not observed clearly in the HP AZ91 alloy. The Mn chemical composition of the HP AZ91 alloy is 0.006%. The Al–Mn intermetallic compound, which is the main cause of grain refinement by superheating, is not formed in the HP AZ91 molten metal. Therefore, it is considered that grain refinement by superheating was not observed.
4. Conclusions
In this study, the effect of melt superheat treatment on the grain refinement of Mg–Al-based alloys has been investigated, and the phase transformation of particles with the potential to give grain refinement to the Mg–Al alloys by superheating is discussed. The average grain size of commercial-purity AZ91 alloy with 0.25 wt.% Mn was 290 µm before superheating, and it was reduced to 114 µm by the superheating process. As the holding time was increased at the pouring temperature (670 °C) after the superheating process, the average grain size of this alloy was increased gradually, and, finally, the effect of superheating for grain refinement on this alloy disappeared completely after holding for 2 h. The transformation from Al8Mn5 to ε-AlMn is possibly the main mechanism of grain refinement of the commercial-purity AZ91 alloy by superheating. Al8Mn5 particles, which exist as a solid phase in the molten metal of commercial-purity AZ91 alloy, could transform into ε-AlMn particles during the superheating process, and ε-AlMn particles are likely to act as effective nucleation sites for the Mg grains. However, ε-AlMn particles are stable at high temperatures above 840 °C, and, in the molten metal of commercial-purity AZ91 alloy maintained at the pouring temperature (670 °C) for a long time, these particles could be transformed into stable Al8Mn5 particles so that the effect of grain refinement by superheating might disappear. The effect of grain refinement by superheating was not observed at all in the high-purity AZ91 alloy with 0.006 wt.% Mn. This may indicate that Al-Mn particles are not formed in the high purity AZ91 alloy with a trace amount of manganese. The distinctive finer grain sizes of the high-purity AZ91 alloy compared to that of the commercial-purity AZ91 alloy are considered to be a separate research topic from that of superheating.
Author Contributions
Planning and designing of experiments, Y.C.L.; experiments, S.S.J. and Y.G.S.; supervision, Y.C.L.; writing, S.S.J.; review, Y.C.L.; writing—review and editing, Y.H.P. and Y.C.L. All authors have read and agreed to the published version of the manuscript.
Funding
This study has been conducted with the support of the Korea Institute of Industrial Technology as “Development of root technology for multi-product flexible production(KITECH EO-22-0006)”.
Institutional Review Board Statement
Not applicable.
Informed Consent Statement
Not applicable.
Data Availability Statement
Not applicable.
Acknowledgments
This project was conducted with the support of the Korea Institute of Industrial Technology (“Development of Root Technology for multi-product flexible roduction (KITECH EO–22–0006”). We would like to thank all ASTL (Advanced Solidification Technology Lab) members and Yong-ho Park for their cooperation.
Conflicts of Interest
The authors declare no conflict of interest.
References
- Mordike, B.L.; Ebert, T. Magnesium. Mater. Sci. Eng. 2001, 302, 37–45. [Google Scholar] [CrossRef]
- Lee, Y.C.; Dahle, A.K.; StJohn, D.H. The role of solute in grain refinement of magnesium. Metall. Mater. Trans. 2000, 31, 2895–2906. [Google Scholar] [CrossRef]
- Qian, M.; StJohn, D.H.; Frost, M.T. Characteristic zirconium-rich coring structures in Mg–Zr alloys. Scr. Mater. 2002, 46, 649–654. [Google Scholar] [CrossRef]
- StJohn, D.H.; Qian, M.; Easton, M.A.; Peng, C.; Hildebrand, Z. Grain refinement of magnesium alloys. Metall. Mater. Trans. 2005, 36, 1669–1679. [Google Scholar] [CrossRef]
- Qian, M.; Cao, P. Discussions on grain refinement of magnesium alloys by carbon inoculation. Scr. Mater. 2005, 52, 415–419. [Google Scholar] [CrossRef]
- Cao, P.; Qian, M.; StJohn, D. Effect of iron on grain refinement of high-purity Mg–Al alloys. Scr. Mater. 2004, 51, 125–129. [Google Scholar] [CrossRef]
- Lu, L.; Dahle, A.; StJohn, D. Grain refinement efficiency and mechanism of aluminium carbide in Mg–Al alloys. Scr. Mater. 2005, 53, 517–522. [Google Scholar] [CrossRef]
- Cao, P.; Ma, Q.; StJohn, D.H. Grain refinement of magnesium–aluminum alloys by iron inoculation. Mater. Forum 2005, 29, 301–305. [Google Scholar]
- Haitani, T.; Tamura, Y.; Yano, E.; Motegi, T.; Kono, N. Grain refi ning mechanism of high-purity Mg-9mass%Al alloy ingot and influence of Fe or Mn addition on cast grain size. J. Jpn. Inst. Light Met. 2001, 51, 3–408. [Google Scholar] [CrossRef][Green Version]
- Tamura, Y.; Haitani, T.; Yano, E.; Motegi, T.; Kono, N.; Sato, E. Grain Refinement of High-Purity Mg-Al Alloy Ingots and Influences of Minor Amounts of Iron and Manganese on Cast Grain Size. Mater. Trans. 2002, 43, 2784–2788. [Google Scholar] [CrossRef][Green Version]
- Gao, H.; Wu, G.; Ding, W.; Liu, L.; Zeng, X.; Zhu, Y. Study on Fe reduction in AZ91 melt by B2O3. Mater. Sci. Eng. A 2004, 368, 311–317. [Google Scholar] [CrossRef]
- Ali, Y.; Qiu, D.; Jiang, B.; Pan, F.; Zhang, M.-X. Current research progress in grain refinement of cast magnesium alloys: A review article. J. Alloys Compd. 2014, 619, 639–651. [Google Scholar] [CrossRef]
- Jin, Q.; Eom, J.-P.; Lim, S.-G.; Park, W.-W.; You, B.-S. Grain refining mechanism of a carbon addition method in a Mg–Al magnesium alloy. Scr. Mater. 2003, 49, 1129–1132. [Google Scholar] [CrossRef]
- Yano, E.; Tamura, Y.; Motegi, T.; Sato, E. Grain refining mechanism of cast magnesium alloy AZ91 by superheat treatment. J. Jpn. Inst. Light Met. 2001, 51, 594–598. [Google Scholar] [CrossRef][Green Version]
- Liu, Y.; Liu, X.; Xiufang, B. Grain refinement of Mg–Al alloys with Al4C3−SiC/Al master alloy. Mater. Lett. 2004, 58, 1282–1287. [Google Scholar] [CrossRef]
- Huang, Y.; Kainer, K.U.; Hort, N. Mechanism of grain refinement of Mg–Al alloys by SiC inoculation. Scr. Mater. 2011, 64, 793–796. [Google Scholar] [CrossRef]
- Easton, M.A.; Schiffl, A.; Yao, J.; Kaufmann, H. Grain refinement of Mg–Al(–Mn) alloys by SiC additions. Scr. Mater. 2006, 55, 379–382. [Google Scholar] [CrossRef]
- Cao, P.; Qian, M.; StJohn, D. Native grain refinement of magnesium alloys. Scr. Mater. 2005, 53, 841–844. [Google Scholar] [CrossRef]
- Motegi, T.; Yano, E.; Tamura, Y.; Sato, E. Clarification of Grain Refining Mechanisms of Superheat-Treated Mg-Al-Zn Alloy Castings. Mater. Sci. Forum 2000, 350–351, 191–198. [Google Scholar] [CrossRef]
- Tamura, Y.; Motegi, T.; Kono, N.; Sato, E. Effect of Minor Elements on Grain Size of Mg-9%Al Alloy. Mater. Sci. Forum 2000, 350-351, 199–204. [Google Scholar] [CrossRef]
- Cao, P.; Qian, M.; StJohn, D.H. Mechanism for grain refinement of magnesium alloys by superheating. Scr. Mater. 2007, 56, 633–636. [Google Scholar] [CrossRef]
- Qiu, D.; Zhang, M.-X.; Taylor, J.; Fu, H.-M.; Kelly, P. A novel approach to the mechanism for the grain refining effect of melt superheating of Mg–Al alloys. Acta Mater. 2007, 55, 1863–1871. [Google Scholar] [CrossRef]
- Karakulak, E. A review: Past, present and future of grain refining of magnesium castings. J. Magnes. Alloy. 2019, 7, 355–369. [Google Scholar] [CrossRef]
- Vinotha, D.; Raghukandan, K.; Pillai, U.T.S.; Pai, B.C. Grain refining mechanisms in magnesium alloys—An overview. Trans. Indian Inst. Met. 2009, 62, 521–532. [Google Scholar] [CrossRef]
- Motegi, T. Grain-refining mechanisms of superheat-treatment of and carbon addition to Mg–Al–Zn alloys. Mater. Sci. Eng. A 2005, 413, 408–411. [Google Scholar] [CrossRef]
- Lu, R.; Jiao, K.; Zhao, Y.; Li, K.; Yao, K.; Hou, H. A Study on the Damping Capacities of Mg–Zn–Y-Based Alloys with Lamellar Long Period Stacking Ordered Phases by Preparation Process. Metals 2021, 11, 79. [Google Scholar] [CrossRef]
- Ganguly, S.; Reddy, S.T.; Majhi, J.; Nasker, P.; Mondal, A. Enhancing mechanical properties of squeeze-cast AZ91 magnesium alloy by combined additions of Sb and SiC nanoparticles. Mater. Sci. Eng. A 2020, 799, 140341. [Google Scholar] [CrossRef]
- Cao, P.; Qian, M.; StJohn, D. Grain Refinement of Commercial Purity Mg-9%Al Alloys By Superheating. In Magnesium Technology; TMS: Warrendale, PA, USA, 2005. [Google Scholar]
- Tamura, Y.; Yagi, J.; Haitani, T.; Motegi, T.; Kono, N.; Tamehiro, H.; Saito, H. Observation of Manganese-Bearing Particles in Molten AZ91 Magnesium Alloy by Rapid Solidification. Mater. Trans. 2003, 44, 552–557. [Google Scholar] [CrossRef]
- Zhang, M.-X.; Kelly, P.; Qian, M.; Taylor, J. Crystallography of grain refinement in Mg–Al based alloys. Acta Mater. 2005, 53, 3261–3270. [Google Scholar] [CrossRef]
- Tamura, Y.; Kono, N.; Motegi, T.; Sato, E. Grain refinement of cast Mg-Al alloys. J. Jpn. Inst. Light Met. 1988, 48, 395–399. [Google Scholar] [CrossRef][Green Version]
- Achenbach, K.; Nipper, H.A.; Piwowarsky, E. Contribution to the question of melting practice for cast magnesium alloys. Die Giess. 1939, 26, 597–604. [Google Scholar]
- ASM handbook. Alloy Phase Diagram; ASM International: Materials Park, OH, USA, 1992; Volume 3. [Google Scholar]
- Ohno, M.; Mirkovic, D.; Schmidfetzer, R. Liquidus and solidus temperatures of Mg-rich Mg-Al-Mn-Zn alloys. Acta Mater. 2006, 54, 3883–3891. [Google Scholar] [CrossRef]
- Villars, P.; Calvert, L.D. Pearson’s Handbook of Crystallographic Data for Intermetallic Phases; ASM International: Materials Park, OH, USA, 1991; p. 913. [Google Scholar]
- Han, G.; Liu, X. Phase control and formation mechanism of Al–Mn(–Fe) intermetallic particles in Mg–Al-based alloys with FeCl3 addition or melt superheating. Acta Mater. 2016, 114, 54–66. [Google Scholar] [CrossRef]
- Cao, P.; Qian, M.; StJohn, D.H. Effect of manganese on grain refinement of Mg–Al based alloys. Scr. Mater. 2006, 54, 1853–1858. [Google Scholar] [CrossRef]
- Zeng, G.; Xian, J.W.; Gourlay, C.M. Nucleation and growth crystallography of Al8Mn5 on B2-Al (Mn,Fe) in AZ91 magnesium alloys. Acta Mater. 2018, 153, 364–376. [Google Scholar] [CrossRef]
- Zhang, M.-X.; Kelly, P.M. Edge-to-edge matching and its applications Part I. Acta Mater. 2005, 53, 1073–1084. [Google Scholar] [CrossRef]
- Ibarra, D.G. Control of Grain Refinement of AI-Si Alloys by Thermal Analysis. Ph.D. Thesis, The McGill University, Montreal, QC, Canada, 1999. [Google Scholar]
Publisher’s Note: MDPI stays neutral with regard to jurisdictional claims in published maps and institutional affiliations. |
© 2022 by the authors. Licensee MDPI, Basel, Switzerland. This article is an open access article distributed under the terms and conditions of the Creative Commons Attribution (CC BY) license (https://creativecommons.org/licenses/by/4.0/).











