Analysis of the Low Cycle Fatigue Behavior of DP980 Steel Gas Metal Arc Welded Joints
Abstract
:1. Introduction
2. Materials and Methods
2.1. Base Material and Welded Joints
2.2. Experimental Tests
3. Results and Discussion
3.1. Base Material and Welded Joints
3.2. Mechanical Properties
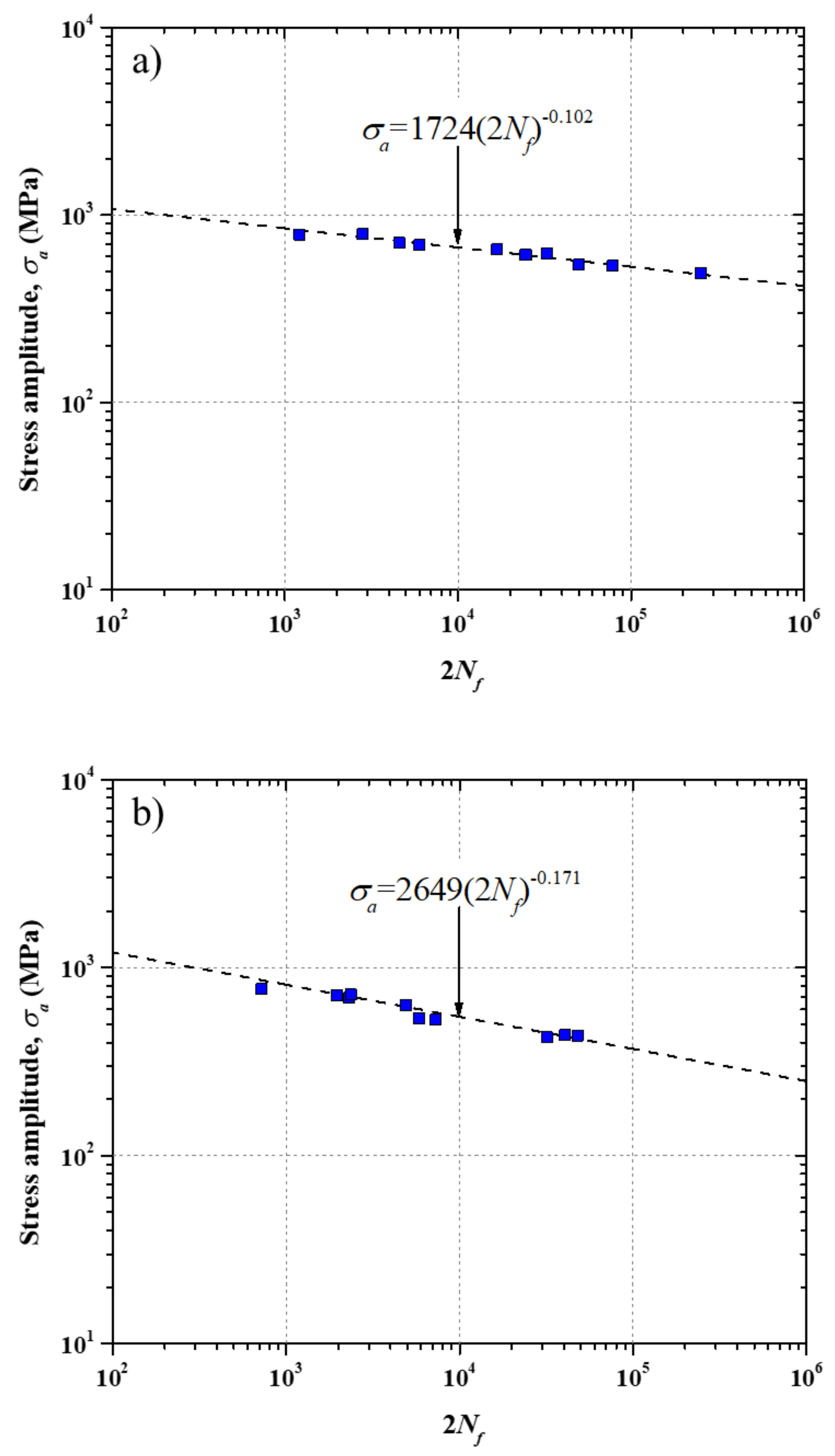
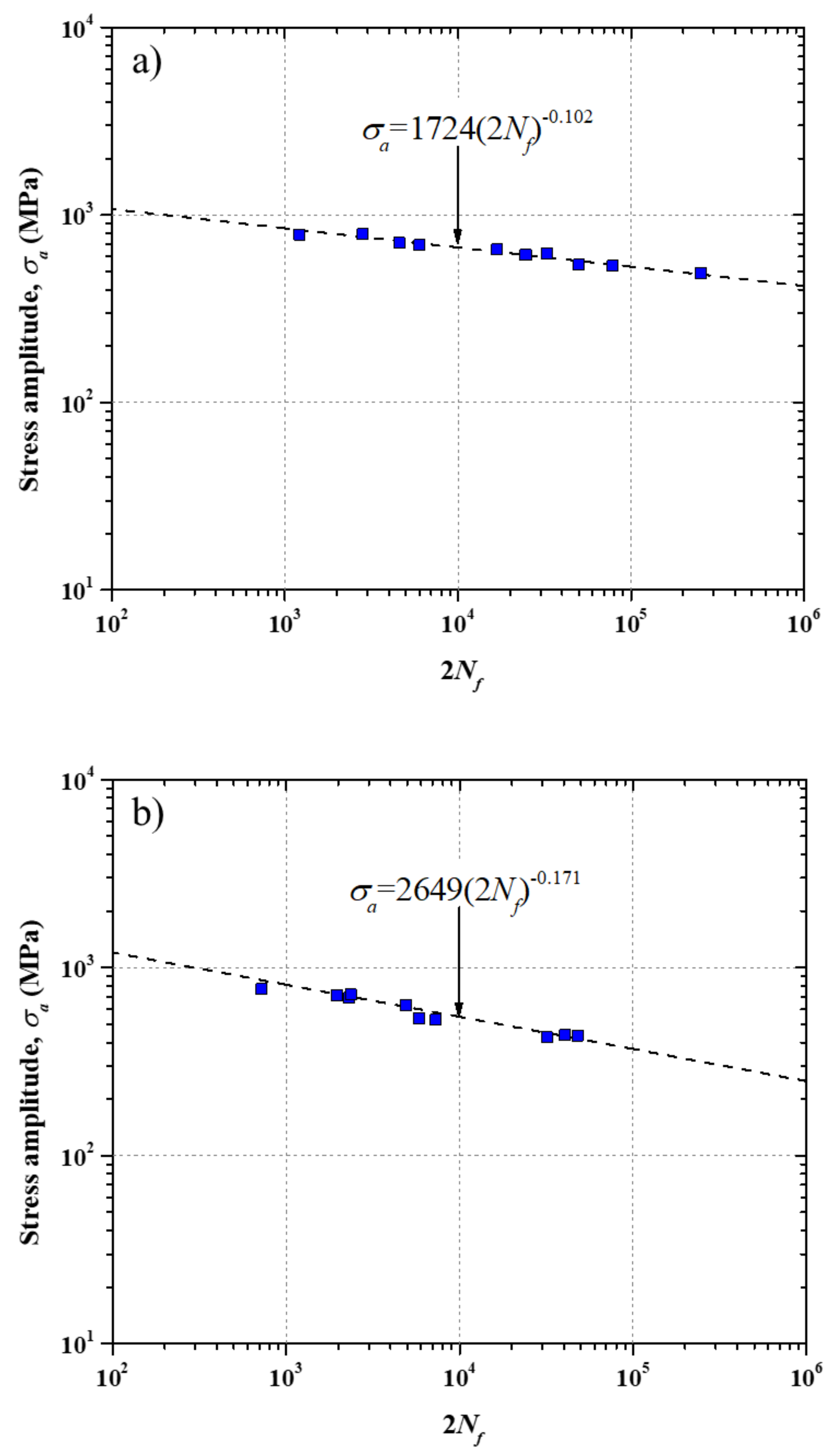
3.3. Low Cycle Fatigue Tests
3.4. Fractographic Analysis
4. Conclusions
- Dual phase sheet steel of 1.6 mm-thick with a nominal tensile strength of 980 MPa were properly welded by the GMAW process using a heat input of 302 J·mm−1. The welded joints exhibited full penetration and not discontinuities were presented;
- The dual martensite-ferrite phases were extensively modified by the GMAW process, presenting a martensite content increment of 54% in the HT-HAZ and 60% in the LT-HAZ. A region of tempered martensite in the LT-HAZ produced a ductility reduction of 75% with respect to the DP980 steel sheet (base metal). Also, the hardness value was reduced by ~20%, and the tensile fracture was presented in this tempered martensite region. This tempering process of the martensite in the LT-HAZ was verified by metallography analysis and welded thermal cycles that showed that pre-existing martensite had not enough time to transform into new ferrite;
- Regarding the low cycle fatigue behavior, the strain-cycle data showed a reduced fatigue life for the welded joint compared to the dual-phase steel due to larger plastic strain amplitudes induced in the welded joint. For larger strain amplitudes (εa ≥ 0.6%), a softening behavior was observed in the welded joint during the LCF tests in terms of the variable stress amplitude as a function of the number of cycles to failure;
- On average, the fatigue life of the welded joint was reduced by 39% at strain amplitude εa ≥ 0.6%. For the remaining strain amplitudes (0.2, 0.3, and 0.4%), the welded joint exhibited a mixed behavior (hardening followed by softening), and only for the strain amplitude of 0.2%, the welded joint presented cyclic stress-strain stable behavior. The fatigue life of the welded joint was reduced by 16% for the strain amplitudes of 0.2, 0.3, and 0.4%.
Author Contributions
Funding
Data Availability Statement
Acknowledgments
Conflicts of Interest
Nomenclature
| Ac1 | Reference line for the beginning of Ferrite-Austenite transformation in Iron-Carbon diagram | |
| Ac3 | Reference line for the beginning Austenitic transformation in Iron-Carbon diagram | |
| AHSS | Advanced High Strength Steels | |
| Ar | Argon gas | |
| ASTM | American Society of Testing and Materials | |
| BM | Base Metal | |
| DP | Dual-phase | |
| FZ | Fusion Zone | |
| GMAW | Gas Metal Arc Welding | |
| HAZ | Heat Affected Zone | |
| HNO3 | Nitrogen oxoacid | |
| HT-HAZ | High-Temperature Heat Affected Zone | |
| HV0.5 | Hardness Vickers Number in the 0.5 scale | |
| ISO | International Organization for Standardization | |
| L | Longitudinal direction in steel sheet | |
| LCF | Low Cycle Fatigue | |
| LT | Transverse direction in steel sheet | |
| LT-HAZ | Low-Temperature Heat Affected Zone | |
| O2 | Oxygen gas | |
| Q | Heat input | |
| RSW | Resistance Spot Welding | |
| SEM | Scanning Electron Microscope | |
| SEI | Secondary Electron Image | |
| SiC | Silicon Carbide | |
| ST | Short transverse direction in steel sheet | |
| Symbols | Description | Units |
| b | Fatigue strength exponent | Dimensionless |
| c | Fatigue ductility exponent | Dimensionless |
| E | Young’s Elastic Modulus | GPa |
| Ec | Cyclic Elastic Modulus | GPa |
| ε | Engineering Strain | mm/mm |
| εa | Total Strain Amplitude | mm/mm |
| εea | Elastic Strain Amplitude | mm/mm |
| εpa | Plastic Strain Amplitude | mm/mm |
| ε′f | Fatigue Ductility Coefficient | Dimensionless |
| εmax | Elongation after fracture | Dimensionless |
| Strain rate | s−1 | |
| True Strain | Dimensionless | |
| f | Fatigue test frequency | Hertz |
| η | Efficiency of the welding process | Dimensionless |
| I | Current | Amperes |
| J | Energy applied | Joules |
| K | Strength Coefficient | MPa |
| K′ | Cyclic Strain Coefficient | MPa |
| KeV | Acceleration voltage | Kiloelectronvolts |
| µm | Dimensions for scale in micrographs | Micrometers |
| n | Strain Hardening Exponent | Dimensionless |
| n’ | Cyclic Strain Hardening Exponent | Dimensionless |
| N | Magnitude of force | Newton |
| 2Nf | Reversals to Failure | Dimensionless |
| ν | Speed of heat source | mm·s−1 |
| σ | Engineering Stress | MPa |
| True Stress | MPa | |
| σ0.2% | Offset Yield Strength | MPa |
| σa | Stress Amplitude | MPa |
| σ’f | Fatigue Strength Coefficient | MPa |
| σu | Ultimate Tensile Strength | MPa |
| σy’ | Offset Cyclic Yield Strength | MPa |
| R | Fatigue ratio | Dimensionless |
| V | Voltage | Volts |
References
- Keeler, S.; Kimchi, M. Advanced High-Strength Steels Application Guidelines Version 6.0; World AutoSteel: Brussels, Belgium, 2014; Volume 6, p. 511. [Google Scholar]
- Fonstein, N. “Dual-Phase Steels*,” in Automotive Steels; Elsevier: Amsterdam, The Netherlands, 2017; pp. 169–216. [Google Scholar]
- Davies, R.G. Influence of martensite composition and content on the properties of dual phase steels. Met. Mater. Trans. A 1978, 9, 671–679. [Google Scholar] [CrossRef]
- Dai, J.; Meng, Q.; Zheng, H. High-strength dual-phase steel produced through fast-heating annealing method. Results Mater. 2020, 5, 100069. [Google Scholar] [CrossRef]
- Tasan, C.; Diehl, M.; Yan, D.; Bechtold, M.; Roters, F.; Schemmann, L.; Zheng, C.; Peranio, N.; Ponge, D.; Koyama, M.; et al. An Overview of Dual-Phase Steels: Advances in Microstructure-Oriented Processing and Micromechanically Guided Design. Annu. Rev. Mater. Sci. 2015, 45, 391–431. [Google Scholar] [CrossRef]
- Kuziak, R.; Kawalla, R.; Waengler, S. Advanced high strength steels for automotive industry. Arch. Civ. Mech. Eng. 2008, 8, 103–117. [Google Scholar] [CrossRef]
- Ramazani, A.; Mukherjee, K.; Abdurakhmanov, A.; Prahl, U.; Schleser, M.; Reisgen, U.; Bleck, W. Micro–macro-characterisation and modelling of mechanical properties of gas metal arc welded (GMAW) DP600 steel. Mater. Sci. Eng. A 2014, 589, 1–14. [Google Scholar] [CrossRef]
- Ahiale, G.K.; Oh, Y.-J. Microstructure and fatigue performance of butt-welded joints in advanced high-strength steels. Mater. Sci. Eng. A 2014, 597, 342–348. [Google Scholar] [CrossRef]
- Easterling, K. Introduction to the Physical Metallurgy of Welding; Elsevier Ltd.: Amsterdam, The Netherlands, 2013; pp. 1–54. [Google Scholar]
- Ordoñez, J.; Ambriz, R.; García, C.; Plascencia, G.; Jaramillo, D. Overloading effect on the fatigue strength in resistance spot welding joints of a DP980 steel. Int. J. Fatigue 2018, 121, 163–171. [Google Scholar] [CrossRef]
- Kuril, A.A.; Ram, G.J.; Bakshi, S.R. Microstructure and mechanical properties of keyhole plasma arc welded dual phase steel DP600. J. Mater. Process. Technol. 2019, 270, 28–36. [Google Scholar] [CrossRef]
- He, H.; Forouzan, F.; Volpp, J.; Robertson, S.; Vuorinen, E. Microstructure and Mechanical Properties of Laser-Welded DP Steels Used in the Automotive Industry. Materials 2021, 14, 456. [Google Scholar] [CrossRef]
- Farabi, N.; Chen, D.; Zhou, Y. Fatigue properties of laser welded dual-phase steel joints. Procedia Eng. 2010, 2, 835–843. [Google Scholar] [CrossRef] [Green Version]
- Xia, M.; Biro, E.; Tian, Z.; Zhou, Y.N. Effects of Heat Input and Martensite on HAZ Softening in Laser Welding of Dual Phase Steels. ISIJ Int. 2008, 48, 809–814. [Google Scholar] [CrossRef] [Green Version]
- AWS D9 Committee on Welding, Brazing, and Soldering of Sheet Metal. D9.1/D9.1M:2000 Sheet Metal Welding Code. 2000. Available online: https://www.aws.org/standards/committee/d9-committee-on-sheet-metal-welding-2 (accessed on 1 December 2021).
- Dupont, J.N.; Marder, A.R. Thermal efficiency of arc welding processes. Weld. J. 1995, 74, 406–416. [Google Scholar]
- ESAB Spoolarc 120 Fact Sheet. Available online: https://www.esab.com.mx/mx/sp/products/filler-metals/mig-mag-wires-gmaw/low-alloy-wires/spoolarc-120.cfm (accessed on 1 December 2021).
- West Conshohocken. ASTM E92-17, Committee E28.06 Test methods on Mechanical Testing. Standard Test Methods for Vickers Hardness and Knoop Hardness of Metallic Materials; West Conshohocken: Conshohocken, PA, USA, 2017. [Google Scholar] [CrossRef]
- West Conshohocken. ASTM, E. 8, E28 Committee Test Methods for Tension Testing of Metallic Materials; ASTM International: West Conshohocken: Conshohocken, PA, USA, 2016. [Google Scholar] [CrossRef]
- ISO 12106:2017 Metallic materials—Fatigue testing—Axial-Strain-Controlled Method, ISO/TC164/SC4 Technical Committee. Available online: https://www.iso.org/standard/64687.html (accessed on 10 January 2022).
- Mediratta, S.; Ramaswamy, V.; Rao, P. Influence of ferrite-martensite microstructural morphology on the low cycle fatigue of a dual-phase steel. Int. J. Fatigue 1985, 7, 107–115. [Google Scholar] [CrossRef]
- West Conshohocken. ASTM-E112, E4 Committee and Grain Size Measurements. Standard Test Methods for Determining Average Grain Size; West Conshohocken: Conshohocken, PA, USA, 2013. [Google Scholar]
- Paul, S.K.; Stanford, N.; Hilditch, T. Effect of martensite volume fraction on low cycle fatigue behaviour of dual phase steels: Experimental and microstructural investigation. Mater. Sci. Eng. A 2015, 638, 296–304. [Google Scholar] [CrossRef]
- Bombac, D.; Peet, M.J.; Zenitani, S.; Kimura, S.; Kurimura, T.; Bhadeshia, H.K.D.H. An integrated hot rolling and microstructure model for dual-phase steels. Model. Simul. Mater. Sci. Eng. 2014, 22, 45005. [Google Scholar] [CrossRef]
- Cui, Q.L.; Parkes, D.; Westerbaan, D.; Nayak, S.S.; Zhou, Y.; Saha, D.C.; Liu, D.; Goodwin, F.; Bhole, S.; Chen, D. Tensile and Fatigue Properties of Single and Multiple Dissimilar Welded Joints of DP980 and HSLA. J. Mater. Eng. Perform. 2017, 26, 783–791. [Google Scholar] [CrossRef]
- Sauraw, A.; Sharma, A.K.; Fydrych, D.; Sirohi, S.; Gupta, A.; Świerczyńska, A.; Pandey, C.; Rogalski, G. Study on Microstructural Characterization, Mechanical Properties and Residual Stress of GTAW Dissimilar Joints of P91 and P22 Steels. Materials 2021, 14, 6591. [Google Scholar] [CrossRef]
- Saha, D.; Biro, E.; Gerlich, A.; Zhou, Y. Martensite tempering kinetics: Effects of dislocation density and heating rates. Mater. Charact. 2020, 168, 110564. [Google Scholar] [CrossRef]
- Hadianfard, M.J. Low cycle fatigue behavior and failure mechanism of a dual-phase steel. Mater. Sci. Eng. A 2009, 499, 493–499. [Google Scholar] [CrossRef]
- Suresh, S. Fatigue of Materials; Cambridge University Press: Cambridge, UK, 1998. [Google Scholar]
- Sankaran, S.; Sarma, V.S.; Padmanabhan, K.A. Low cycle fatigue behavior of a multiphase microalloyed medium carbon steel: Comparison between ferrite–pearlite and quenched and tempered microstructures. Mater. Sci. Eng. A 2003, 345, 328–335. [Google Scholar] [CrossRef]
- Anderson, T.L. Fracture Mechanics; CRC Press: Boca Raton, FL, USA, 2017. [Google Scholar]
- Pandey, C.; Saini, N.; Mahapatra, M.M.; Kumar, P. Study of the fracture surface morphology of impact and tensile tested cast and forged (C & F) Grade 91 steel at room temperature for different heat treatment regimes. Eng. Fail. Anal. 2017, 71, 131–147. [Google Scholar] [CrossRef]

















| Material | C | Mn | Si | P | S | Cr | Ni | Mo | Al | Cu | Ti | Zr | Fe |
|---|---|---|---|---|---|---|---|---|---|---|---|---|---|
| DP980 * | 0.130 | 2.260 | 0.420 | 0.012 | 0.009 | 0.950 | 0.021 | 0.110 | - | - | - | - | 96.087 |
| Spoolarc 120 ** | 0.070 | 1.690 | 0.350 | 0.004 | 0.004 | 0.270 | 2.490 | 0.510 | 0.005 | 0.030 | 0.018 | 0.002 | 94.557 |
| Strain Amplitude, εa (%) | Test Frequency, f (Hz) | Tested Samples | |
|---|---|---|---|
| DP980 Steel Sheet | Welded Joints | ||
| 0.2 | 2 | 1 | 3 |
| 0.3 | 1.333 | 2 | 2 |
| 0.4 | 1 | 3 | 1 |
| 0.6 | 0.667 | 2 | 3 |
| 0.8 | 0.5 | 2 | 1 |
| Material | σ0.2% (MPa) | σu (MPa) | E (GPa) | εmax (%) | K (MPa) | n | Joint Efficiency (%) |
|---|---|---|---|---|---|---|---|
| DP980 | 699 | 1012 | 202 | 15 | 1389 | 0.0905 | - |
| Welded joints | 647 | 906 | 209 | 3.8 | 1388 | 0.113 | 89 |
| Material | E (GPa) | σy′ (MPa) | K′ | n′ |
|---|---|---|---|---|
| DP980 | 234 | 490 | 2325 | 0.20 |
| Welded joints | 242 | 438 | 2064 | 0.18 |
| Material | σ’f | b | ε’f | C |
|---|---|---|---|---|
| DP980 | 1724 | −0.102 | 3.388 | −0.810 |
| Welded joints | 2649 | −0.171 | 2.617 | −0.905 |
Publisher’s Note: MDPI stays neutral with regard to jurisdictional claims in published maps and institutional affiliations. |
© 2022 by the authors. Licensee MDPI, Basel, Switzerland. This article is an open access article distributed under the terms and conditions of the Creative Commons Attribution (CC BY) license (https://creativecommons.org/licenses/by/4.0/).
Share and Cite
Rosado-Carrasco, J.G.; González-Zapatero, W.F.; García, C.J.; Gómora, C.M.; Jaramillo, D.; Ambriz, R.R. Analysis of the Low Cycle Fatigue Behavior of DP980 Steel Gas Metal Arc Welded Joints. Metals 2022, 12, 419. https://doi.org/10.3390/met12030419
Rosado-Carrasco JG, González-Zapatero WF, García CJ, Gómora CM, Jaramillo D, Ambriz RR. Analysis of the Low Cycle Fatigue Behavior of DP980 Steel Gas Metal Arc Welded Joints. Metals. 2022; 12(3):419. https://doi.org/10.3390/met12030419
Chicago/Turabian StyleRosado-Carrasco, Juliana G., Walter F. González-Zapatero, Christian J. García, César M. Gómora, David Jaramillo, and Ricardo R. Ambriz. 2022. "Analysis of the Low Cycle Fatigue Behavior of DP980 Steel Gas Metal Arc Welded Joints" Metals 12, no. 3: 419. https://doi.org/10.3390/met12030419
APA StyleRosado-Carrasco, J. G., González-Zapatero, W. F., García, C. J., Gómora, C. M., Jaramillo, D., & Ambriz, R. R. (2022). Analysis of the Low Cycle Fatigue Behavior of DP980 Steel Gas Metal Arc Welded Joints. Metals, 12(3), 419. https://doi.org/10.3390/met12030419

