Experimental and Numerical Vibration Analysis of Octet-Truss-Lattice-Based Gas Turbine Blades
Abstract
:1. Introduction
Lattice Structures
2. Materials and Methods
2.1. Blade Design
2.2. Vibration Analysis of Turbine Blades
2.2.1. Experimental Modal Analysis of Turbine Blades
2.2.2. Numerical Modal and Harmonic Analysis of Turbine Blades
2.2.3. Static Structural Analysis
3. Results and Discussion
3.1. Experimental Modal Analysis Results
3.1.1. Natural Frequencies
3.1.2. Damping Estimation
3.2. Numerical Modal and Harmonic Analysis Results for Turbine Blades
3.3. Static Structural Analysis Results
3.3.1. Stress Analysis
3.3.2. Total Deformation
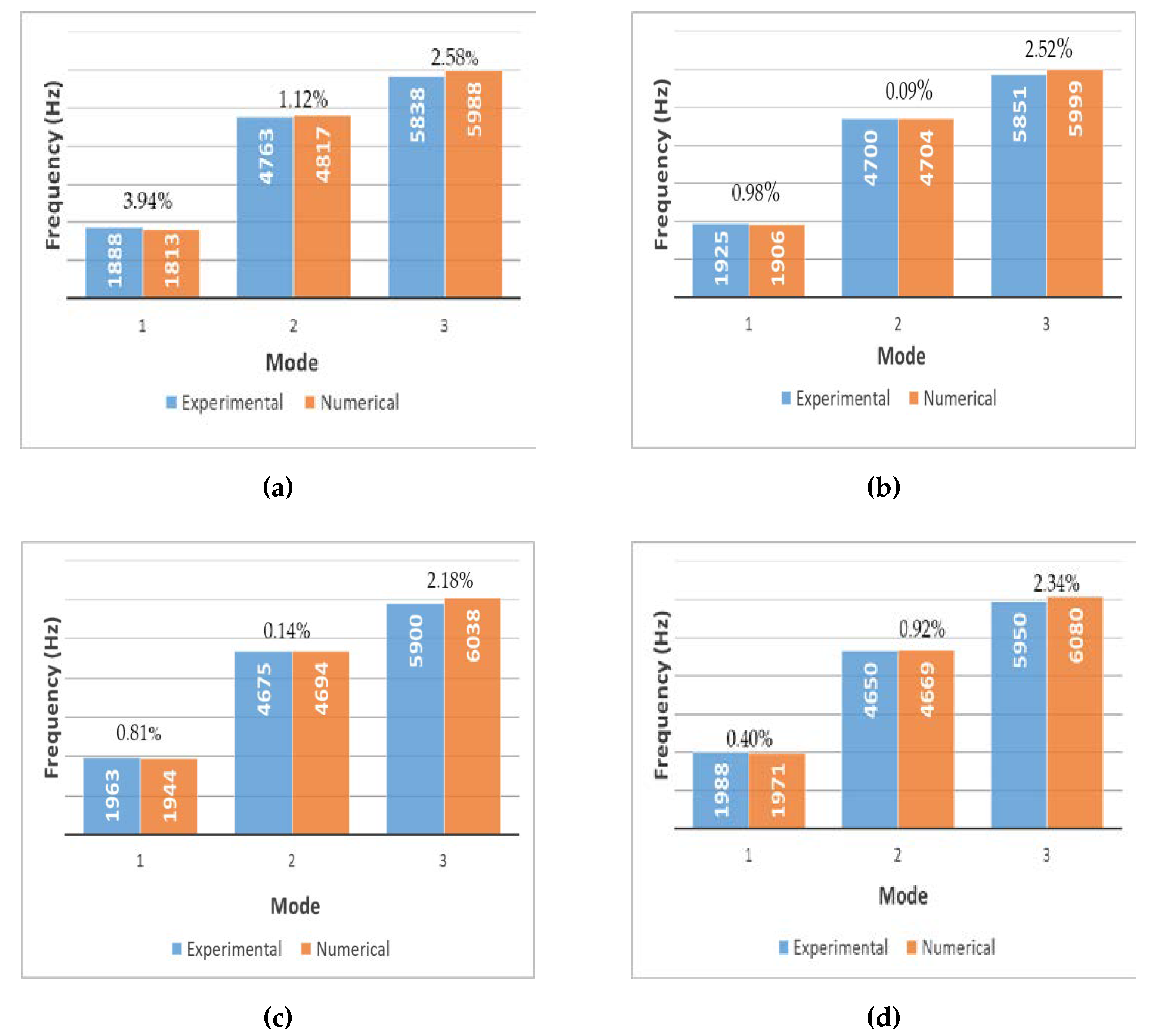
3.4. Comparison of Experimental and Numerical Natural Frequencies
4. Conclusions
- Using octet truss lattice structure with unit cell strut thicknesses of 0.75, 0.50 and 0.25 mm, weight reduction of 15.58%, 20.78% and 24.91% was achieved, respectively;
- Both EMA and NMHA results indicated that the first and third natural frequencies increased in the lattice base blades. Moreover, natural frequencies increase with the decrease in strut thickness of unit cell for first and third modes;
- A maximum difference of 3.94% was observed between the EMA and NMHA results, hence suggesting that these results were generally in good agreement;
- Stress reduction up to 39.50% and reduction in deformation up to 21.50% was observed in lattice-based turbine blades compared to solid blade. Both stress and deformation levels decrease by decreasing strut thickness of unit cells.
Author Contributions
Funding
Institutional Review Board Statement
Informed Consent Statement
Data Availability Statement
Acknowledgments
Conflicts of Interest
References
- Murugan, M.; Ghoshal, A.; Xu, F.; Hsu, M.C.; Bazilevs, Y.; Bravo, L.; Kerner, K. Analytical Study of Articulating Turbine Rotor Blade Concept for Improved Off-Design Performance of Gas Turbine Engines. J. Eng. Gas Turbines Power 2017, 139, 102601. [Google Scholar] [CrossRef] [Green Version]
- Hosseinimaab, S.M.; Tousi, A.M. A New Approach to Off-Design Performance Analysis of Gas Turbine Engines and Its Application. Energy Convers. Manag. 2021, 243, 114411. [Google Scholar] [CrossRef]
- Bornassi, S.; Ghalandari, M.; Maghrebi, S.F. Blade Synchronous Vibration Measurements of a New Upgraded Heavy Duty Gas Turbine MGT-70(3) by Using Tip-Timing Method. Mech. Res. Commun. 2020, 104, 103484. [Google Scholar] [CrossRef]
- Naik, P.; Lehmayr, B.; Homeier, S.; Klaus, M.; Vogt, D.M. Influence of Turbocharger Turbine Blade Geometry on Vibratory Blade Stresses. J. Eng. Gas Turbines Power 2019, 141, 021015. [Google Scholar] [CrossRef]
- Adamsab, K. CFD Investigation of Unsteady Aerodynamics in Gas Turbine Engine Blade Surface. Mater. Today Proc. 2020, 44, 4661–4665. [Google Scholar] [CrossRef]
- Priya, T.D.; Kumar, S.; Pratap, D.; Shylaja, S.; Satish, T.N.; Rao, A.N.V. Rotor Blade Vibration Measurement on Aero Gas Turbine Engines. In Proceedings of the National Aerospace Propulsion Conference, Lecture Notes in Mechanical Engineering; Mistry, C., Kumar, S., Raghunandan, B., Sivaramakrishna, G., Eds.; Springer: Singapore, 2020; pp. 263–273. [Google Scholar] [CrossRef]
- Zhang, B.; Ding, H.; Chen, L.Q. Super-Harmonic Resonances of a Rotating Pre-Deformed Blade Subjected to Gas Pressure. Nonlinear Dyn. 2019, 98, 2531–2549. [Google Scholar] [CrossRef]
- Spodniak, M.; Semrad, K.; Hovanec, M.; Al-Rabeei, S.A.S.; Hesko, F. Deformation States of the Selected Mechanical Component during the Harmonic Analysis. In Proceedings of the NTinAD 2020—New Trends in Aviation Development 2020, Stary Smokovec, Slovakia, 17–18 September 2020; pp. 211–214. [Google Scholar] [CrossRef]
- Saito, A.; Kuno, T. Data-Driven Experimental Modal Analysis by Dynamic Mode Decomposition. J. Sound Vib. 2020, 481, 115434. [Google Scholar] [CrossRef]
- Meng, X.; Zhao, Y.; Lu, J.; Huang, S.; Zhou, J.; Su, C. Improvement of Damping Property and Its Effects on the Vibration Fatigue in Ti6Al4V Titanium Alloy Treated by Warm Laser Shock Peening. Metals 2019, 9, 746. [Google Scholar] [CrossRef] [Green Version]
- Zippo, A.; Iarriccio, G.; Pellicano, F.; Shmatko, T. Vibrations of Plates with Complex Shape: Experimental Modal Analysis, Finite Element Method, and R-Functions Method. Shock. Vib. 2020, 8882867. [Google Scholar] [CrossRef]
- Li, J.; Yang, S.; Yang, J.; Li, F.; Zeng, Q.; Shao, J.; Chang, C.; Wu, N.; Chen, Y.; Li, K. Low-Order Radial Modal Test and Analysis of Drive Motor Stator. Machines 2021, 9, 97. [Google Scholar] [CrossRef]
- Yang, W.; Liang, M.; Wang, L.; Yuan, H. Research on Unbalance Response Characteristics of Gas Turbine Blade-Disk Rotor System. J. Vibroengineering 2018, 20, 1676–1690. [Google Scholar] [CrossRef]
- Zhao, W.; Li, Y.; Xue, M.; Wang, P.; Jiang, J. Vibration Analysis for Failure Detection in Low Pressure Steam Turbine Blades in Nuclear Power Plant. Eng. Fail. Anal. 2018, 84, 11–24. [Google Scholar] [CrossRef]
- Kong, Y.S.; Abdullah, S.; Schramm, D.; Omar, M.Z.; Haris, S.M. Vibration Fatigue Analysis of Carbon Steel Coil Spring under Various Road Excitations. Metals 2018, 8, 617. [Google Scholar] [CrossRef] [Green Version]
- Abdelkader, M.; Noman, M.T.; Amor, N.; Petru, M.; Mahmood, A. Combined Use of Modal Analysis and Machine Learning for Materials Classification. Materials 2021, 14, 4270. [Google Scholar] [CrossRef] [PubMed]
- Rani, S.; Agrawal, A.K.; Rastogi, V. Vibration Analysis for Detecting Failure Mode and Crack Location in First Stage Gas Turbine Blade. J. Mech. Sci. Technol. 2019, 33, 2671–2680. [Google Scholar] [CrossRef]
- Hanouf, Z.; Faris, W.F.; Nor, M.J.M. Dynamic Characterization of Car Door and Hood Panels Using FEA and EMA. Proc. Appl. Mech. Mater. 2014, 471, 89–96. Available online: https://www.scientific.net/AMM.471.89 (accessed on 12 December 2021).
- Costa, P.; Nwawe, R.; Soares, H.; Reis, L.; Freitas, M.; Chen, Y.; Montalvão, D. Review of Multiaxial Testing for Very High Cycle Fatigue: From “Conventional” to Ultrasonic Machines. Machines 2020, 8, 25. [Google Scholar] [CrossRef]
- Helou, M.; Kara, S. Design, Analysis and Manufacturing of Lattice Structures: An Overview. Int. J. Comput. Integr. Manuf. 2018, 31, 243–261. [Google Scholar] [CrossRef]
- Nguyen, D.S. Design of Lattice Structure for Additive Manufacturing in CAD Environment. J. Adv. Mech. Des. Syst. Manuf. 2019, 13, jamdsm0057. [Google Scholar] [CrossRef] [Green Version]
- Pan, C.; Han, Y.; Lu, J. Design and Optimization of Lattice Structures: A Review. Appl. Sci. 2020, 10, 6374. [Google Scholar] [CrossRef]
- Seharing, A.; Azman, A.H.; Abdullah, S. A Review on Integration of Lightweight Gradient Lattice Structures in Additive Manufacturing Parts. Adv. Mech. Eng. 2020, 12, 1687814020916951. [Google Scholar] [CrossRef]
- Maconachie, T.; Leary, M.; Lozanovski, B.; Zhang, X.; Qian, M.; Faruque, O.; Brandt, M. SLM Lattice Structures: Properties, Performance, Applications and Challenges. Mater. Des. 2019, 183, 108137. [Google Scholar] [CrossRef]
- Du, Y.; Gu, D.; Xi, L.; Dai, D.; Gao, T.; Zhu, J.; Ma, C. Laser Additive Manufacturing of Bio-Inspired Lattice Structure: Forming Quality, Microstructure and Energy Absorption Behavior. Mater. Sci. Eng. A 2020, 773, 138857. [Google Scholar] [CrossRef]
- Duan, S.; Xi, L.; Wen, W.; Fang, D. Mechanical Performance of Topology-Optimized 3D Lattice Materials Manufactured via Selective Laser Sintering. Compos. Struct. 2020, 238, 111985. [Google Scholar] [CrossRef]
- Maloney, K.J.; Fink, K.D.; Schaedler, T.A.; Kolodziejska, J.A.; Jacobsen, A.J.; Roper, C.S. Multifunctional Heat Exchangers Derived from Three-Dimensional Micro-Lattice Structures. Int. J. Heat Mass Transf. 2012, 55, 2486–2493. [Google Scholar] [CrossRef]
- Yin, S.; Chen, H.; Wu, Y.; Li, Y.; Xu, J. Introducing Composite Lattice Core Sandwich Structure as an Alternative Proposal for Engine Hood. Compos. Struct. 2018, 201, 131–140. [Google Scholar] [CrossRef]
- Kulangara, A.J.; Rao, C.S.P.; Subhash Chandra Bose, P. Generation and Optimization of Lattice Structure on a Spur Gear. Proc. Mater. Today 2018, 5, 5068–5073. [Google Scholar] [CrossRef]
- Syam, W.P.; Jianwei, W.; Zhao, B.; Maskery, I.; Elmadih, W.; Leach, R. Design and Analysis of Strut-Based Lattice Structures for Vibration Isolation. Precis. Eng. 2018, 52, 494–506. [Google Scholar] [CrossRef]
- Magerramova, L.; Volkov, M.; Afonin, A.; Svinareva, M.; Kalinin, D. Application of Light Lattice Structures for Gas Turbine Engine Fan Blades. In Proceedings of the 31st Congress of the International Council of the Aeronautical Sciences, ICAS 2018, Belo Horizonte, Brazil, 9–14 September 2018. [Google Scholar]
- Alkebsi, E.A.A.; Ameddah, H.; Outtas, T.; Almutawakel, A. Design of Graded Lattice Structures in Turbine Blades Using Topology Optimization. Int. J. Comput. Integr. Manuf. 2021, 34, 370–384. [Google Scholar] [CrossRef]
- Ludwig, C.; Rabold, F.; Kuna, M.; Schurig, M.; Schlums, H. Simulation of Anisotropic Crack Growth Behavior of Nickel Base Alloys under Thermomechanical Fatigue. Eng. Fract. Mech. 2020, 224, 106800. [Google Scholar] [CrossRef]
- Šmíd, M.; Horník, V.; Kunz, L.; Hrbáček, K.; Hutař, P. High Cycle Fatigue Data Transferability of MAR-M 247 Superalloy from Separately Cast Specimens to Real Gas Turbine Blade. Metals 2020, 10, 1460. [Google Scholar] [CrossRef]
- Witkin, D.B.; Patel, D.; Albright, T.V.; Bean, G.E.; McLouth, T. Influence of Surface Conditions and Specimen Orientation on High Cycle Fatigue Properties of Inconel 718 Prepared by Laser Powder Bed Fusion. Int. J. Fatigue 2020, 132, 105392. [Google Scholar] [CrossRef]
- Dong, L.; Deshpande, V.; Wadley, H. Mechanical Response of Ti-6Al-4V Octet-Truss Lattice Structures. Int. J. Solids Struct. 2015, 60, 107–124. [Google Scholar] [CrossRef]
- Qiu, X.; Cheng, X.; Dong, P.; Peng, H.; Xing, Y.; Zhou, X. Sensitivity Analysis of Johnson-Cook Material Constants and Friction Coeffcient Influence on Finite Element Simulation of Turning Inconel 718. Materials 2019, 12, 3121. [Google Scholar] [CrossRef] [PubMed] [Green Version]
- Presas, A.; Valentin, D.; Valero, C.; Egusquiza, M.; Egusquiza, E. Experimental Measurements of the Natural Frequencies and Mode Shapes of Rotating Disk-Blades-Disk Assemblies from the Stationary Frame. Appl. Sci. 2019, 9, 3864. [Google Scholar] [CrossRef] [Green Version]
- Chen, Y.G.; Zhu, Q.Y.; Zhai, J.Y. Experimental Investigation on Fatigue of Blade Specimen Subjected to Resonance and Effect of a Damping Hard Coating Treatment. J. Cent. South Univ. 2021, 28, 445–453. [Google Scholar] [CrossRef]

















| Sr. No. | Sample | Weight (kg) | Weight Reduction from Complete Solid (%) |
|---|---|---|---|
| 1 | Solid | 0.185 | 0 |
| 2 | 0.75 mm Lattice | 0.156 | 15.58 |
| 3 | 0.50 mm Lattice | 0.147 | 20.78 |
| 4 | 0.25 mm lattice | 0.139 | 24.91 |
| Property | Description |
|---|---|
| Density | 8190 Kg/m3 |
| Young Modulus Poison ratio | 200 GPa 0.3 |
| Ultimate Tensile Strength Yield Tensile Strength | 1375 MPa 1100 MPa |
| Bulk Modulus | 137 GPa |
| Shear Modulus | 63.46 MPa |
| Mode | Natural Frequency (Hz) | |||
|---|---|---|---|---|
| Solid Model | 0.75 mm Lattice Blade | 0.50 mm Lattice Blade | 0.25 mm Lattice Blade | |
| 1 | 1887.50 | 1925.00 | 1962.50 | 1987.50 |
| 2 | 4762.50 | 4700.00 | 4675.00 | 4650.00 |
| 3 | 5837.50 | 5850.50 | 5900.00 | 5950.00 |
| Mode | Natural Frequency (Hz) | |||
|---|---|---|---|---|
| Solid Model | 0.75 mm Lattice Blade | 0.50 mm Lattice Blade | 0.25 mm Lattice Blade | |
| 1 | 0.0212 | 0.0251 | 0.0220 | 0.0244 |
| 2 | 0.0070 | 0.0089 | 0.0071 | 0.0070 |
| 3 | 0.0079 | 0.0066 | 0.0073 | 0.0073 |
| Mode | Natural Frequency (Hz) | |||
|---|---|---|---|---|
| Solid Model | 0.75 mm Lattice Blade | 0.50 mm Lattice Blade | 0.25 mm Lattice Blade | |
| 1 | 1813.10 | 1906.10 | 1944.30 | 1971.40 |
| 2 | 4817.30 | 4704.30 | 4693.80 | 4669.20 |
| 3 | 5988.10 | 5998.50 | 6037.80 | 6079.60 |
Publisher’s Note: MDPI stays neutral with regard to jurisdictional claims in published maps and institutional affiliations. |
© 2022 by the authors. Licensee MDPI, Basel, Switzerland. This article is an open access article distributed under the terms and conditions of the Creative Commons Attribution (CC BY) license (https://creativecommons.org/licenses/by/4.0/).
Share and Cite
Hussain, S.; Ghopa, W.A.W.; Singh, S.S.K.; Azman, A.H.; Abdullah, S. Experimental and Numerical Vibration Analysis of Octet-Truss-Lattice-Based Gas Turbine Blades. Metals 2022, 12, 340. https://doi.org/10.3390/met12020340
Hussain S, Ghopa WAW, Singh SSK, Azman AH, Abdullah S. Experimental and Numerical Vibration Analysis of Octet-Truss-Lattice-Based Gas Turbine Blades. Metals. 2022; 12(2):340. https://doi.org/10.3390/met12020340
Chicago/Turabian StyleHussain, Sajjad, Wan Aizon W. Ghopa, S. S. K. Singh, Abdul Hadi Azman, and Shahrum Abdullah. 2022. "Experimental and Numerical Vibration Analysis of Octet-Truss-Lattice-Based Gas Turbine Blades" Metals 12, no. 2: 340. https://doi.org/10.3390/met12020340
APA StyleHussain, S., Ghopa, W. A. W., Singh, S. S. K., Azman, A. H., & Abdullah, S. (2022). Experimental and Numerical Vibration Analysis of Octet-Truss-Lattice-Based Gas Turbine Blades. Metals, 12(2), 340. https://doi.org/10.3390/met12020340

