Departure of Nitrogen Bubbles at the Solid–Liquid Interface during the Solidification of Duplex Stainless Steels
Abstract
:1. Introduction
2. Theory Basis
- When the bubble is desorbed, the bubble is always spherical.
- The effect of temperature gradient on surface tension is not considered.
- The solid–liquid interface is planar, and the angle between the solid–liquid interface and the horizontal direction is φ.
- The flow velocity of molten steel at the solid–liquid interface is parallel to the wall.
- The force and motion of bubbles are not considered in the direction perpendicular to the paper.
- The velocity gradient of molten steel flowing parallel to the wall direction (x direction) is not considered.
- The effect of the bubble growth rate on bubble departure is not considered.
- (1)
- Internal pressure force () [10]
- (2)
- Shear lift force () [11]
- (3)
- Drag force () [16]
- (4)
- (5)
- Curvature-induced capillary force () [10]
- (6)
- Buoyancy ()
- (7)
- Gravity ()
- (8)
- Static pressure of molten steel ()
- (9)
- Frictional resistance ()
3. Results and Discussion
3.1. The Influence of the Interface Inclination Angle φ
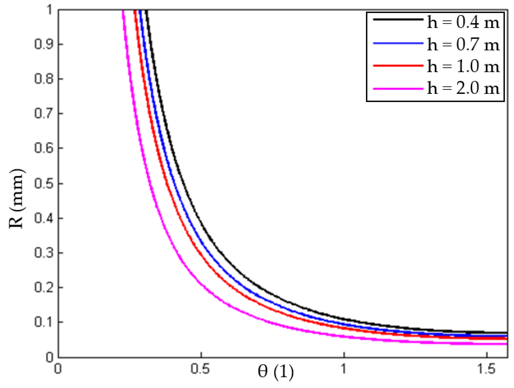
3.2. The Influence of the Contact Angle θ
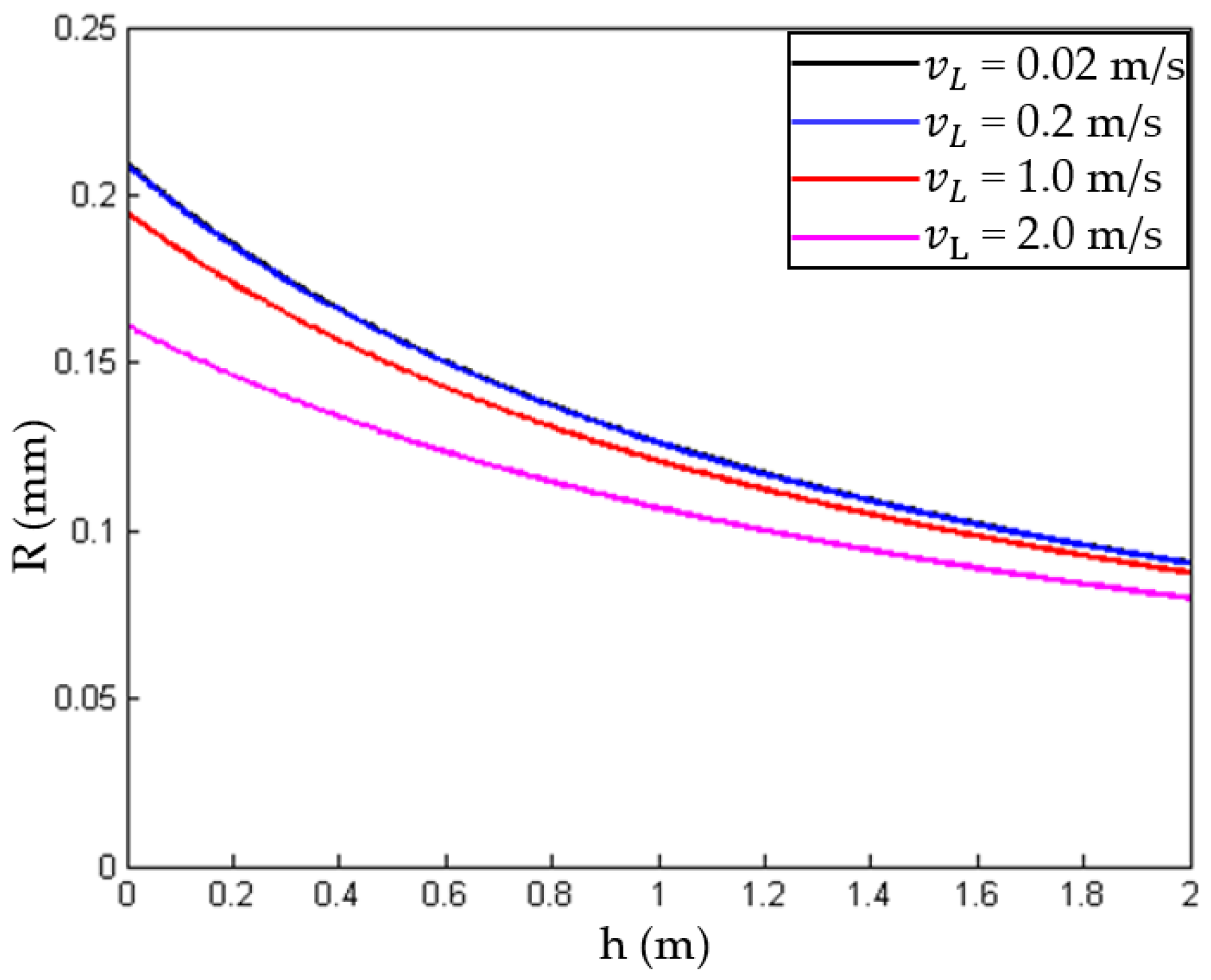
3.3. The Influence of the Flow Velocity of Liquid Steel
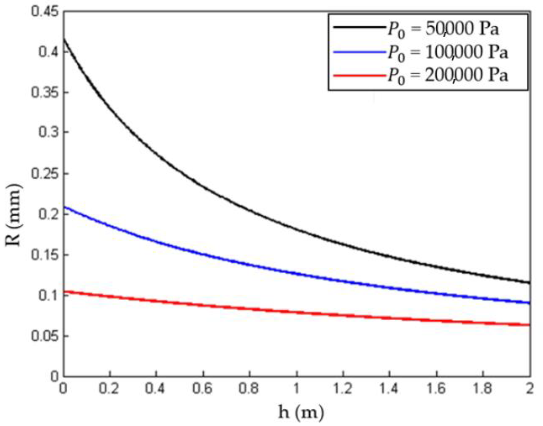
3.4. The Influence of the Gas Pressure on the Surface of the Molten Steel
4. Conclusions
Author Contributions
Funding
Institutional Review Board Statement
Informed Consent Statement
Data Availability Statement
Conflicts of Interest
References
- Nickens, H.V.; Yannitell, D.W. The effects of surface tension and viscosity on the rise velocity of a large gas bubble in a closed, vertical liquid-filled tube. Int. J. Multiph. Flow 1987, 13, 57–69. [Google Scholar] [CrossRef]
- Lin, S.Y.; Wang, W.J. Systematic effects of bubble volume on the surface tension measured by pendant bubble profile. Colloids Surf. A Physicochem. Eng. Asp. 1996, 114, 31–39. [Google Scholar] [CrossRef]
- Kang, Y.T.; Nagano, T. Mass transfer correlation of NH3-H2O bubble absorption. Int. J. Refrig. 2002, 25, 878–886. [Google Scholar] [CrossRef]
- Prodanovic, V.D.; Fraser, D. Bubble Behavior in Subcooled Flow Boiling of Water at Low Pressures and Flow Rates. Int. J. Multiph. Flow 2002, 28, 1–19. [Google Scholar] [CrossRef]
- van Sint Annaland, M.; Deen, N.G. Numerical simulation of gas bubbles behaviour using a three-dimensional volume of fluid method. Chem. Eng. Sci. 2005, 60, 11. [Google Scholar] [CrossRef]
- Fritz, W. Berechnung des maximal volumens von Dampfblasen. Phys. Z. 1935, 36, 379–384. [Google Scholar]
- Cole, R.; Shulman, H.L. Bubble departure diameters at subatmospheric pressures. Chem. Eng. Prog. Symp. Ser. 1966, 62, 6–16. [Google Scholar]
- Svyazhin, A.G.; Kaputkina, L.M. Phases and defects upon the solidification of nitrogen-alloyed stainless steels. Phys. Met. Metallogr. 2015, 116, 552–561. [Google Scholar] [CrossRef]
- Klausner, J.F.; Mei, R. Vapor Bubble Departure in Forced Convection Boiling. Int. J. Heat Mass Transf. 1993, 36, 651–662. [Google Scholar] [CrossRef]
- Kaptay, G. Classification and general derivation of interfacial forces, acting on phases, situated in the bulk, or at the interface of other phases. J. Mater. Sci. 2005, 40, 2125–2131. [Google Scholar] [CrossRef]
- Yeoh, G.H.; Tu, J.Y. A unified model considering force balances for departing vapour bubbles and population balance in subcooled boiling flow. Nucl. Eng. Des. 2005, 235, 1251–1265. [Google Scholar] [CrossRef]
- Yun, B.J.; Splawski, A. Prediction of a Subcooled Boiling Flow with Advanced Two-Phase Flow Models. Nucl. Eng. Des. 2012, 253, 351–359. [Google Scholar] [CrossRef]
- Sugrue, R.; Buongiorno, J. A Modified Force-Balance Model for Prediction of Bubble Departure Diameter in Subcooled Flow Boiling. Nucl. Eng. Des. 2016, 305, 717–722. [Google Scholar] [CrossRef]
- Dai, K.; Wang, B.; Xue, F.; Liu, S.; Huang, J.; Zhang, J. Formation of nitrogen bubbles during solidification of duplex stainless steels. Metall. Mater. Trans. B 2018, 49, 2011–2021. [Google Scholar] [CrossRef]
- Raj, S.; Pathak, M. An Analytical Model for Predicting Growth Rate and Departure Diameter of a Bubble in Subcooled Flow Boiling. Int. J. Heat Mass Transf. 2017, 109, 470–481. [Google Scholar] [CrossRef]
- Ishii, M.; Zuber, N. Drag coefficient and relative velocity in bubbly, droplet or particulate flows. AIChE J. 1979, 25, 843–855. [Google Scholar] [CrossRef]
- Probstein, R.F. Physicochemical Hydrodynamics: An Introduction; John Wiley & Sons: Hoboken, NJ, USA, 2005. [Google Scholar]
- Yu, Z.; Sun, C.; Zhao, Z.; Sun, X.; Qi, W. Research on Bubble Dynamics of Liquid Flow Boiling in Vertical Rectangular Channel. J. Eng. Thermophys. 2001, 3, 354–358. [Google Scholar]







| Parameters | Value |
|---|---|
| Contact angle, θ | π/4, π/2 |
| Interface inclination angle, φ | 0, π/4, π/2 |
| Depth of molten steel, h (m) | 0.4, 0.7, 1.0, 2.0 |
| Flow velocity of liquid steel, (m·s−1) | 0.02, 0.2, 1.0, 2.0 |
| Surface pressure of molten steel, P0 (Pa) | 50,000, 100,000, 200,000 |
| Inclination Angle φ | Depth of Molten Steel h (m) | Departure Radius of Bubble in y Direction R (mm) | Frictional Resistance Ff (N) | Resultant Force in x Direction (N) |
|---|---|---|---|---|
| φ = 0 | 0.4 | 0.2093 | 5.0693 × 10−4 | 4.9170 × 10−4 |
| 0.7 | 0.2093 | 5.7812 × 10−4 | 5.6290 × 10−4 | |
| 1.0 | 0.2093 | 6.4932 × 10−4 | 6.3409 × 10−4 | |
| 2.0 | 0.2093 | 8.8662 × 10−4 | 8.7140 × 10−4 | |
| φ = π/4 | 0.4 | 0.1944 | 4.5732 × 10−4 | −6.6047 × 10−4 |
| 0.7 | 0.1845 | 4.8422 × 10−4 | −0.0013 | |
| 1.0 | 0.1756 | 5.0660 × 10−4 | −0.0018 | |
| 2.0 | 0.1512 | 5.5658 × 10−4 | −0.0028 | |
| φ = π/2 | 0.4 | 0.1658 | 3.6697 × 10−4 | −7.7969 × 10−4 |
| 0.7 | 0.1434 | 3.4132 × 10−4 | −0.0012 | |
| 1.0 | 0.1264 | 3.2063 × 10−4 | −0.0013 | |
| 2.0 | 0.0905 | 2.7137 × 10−4 | −0.0014 |
Publisher’s Note: MDPI stays neutral with regard to jurisdictional claims in published maps and institutional affiliations. |
© 2022 by the authors. Licensee MDPI, Basel, Switzerland. This article is an open access article distributed under the terms and conditions of the Creative Commons Attribution (CC BY) license (https://creativecommons.org/licenses/by/4.0/).
Share and Cite
Wang, Q.; Xing, C.; Wang, R.; Luo, P.; Wang, B.; Zhang, J.; Ma, J. Departure of Nitrogen Bubbles at the Solid–Liquid Interface during the Solidification of Duplex Stainless Steels. Metals 2022, 12, 1829. https://doi.org/10.3390/met12111829
Wang Q, Xing C, Wang R, Luo P, Wang B, Zhang J, Ma J. Departure of Nitrogen Bubbles at the Solid–Liquid Interface during the Solidification of Duplex Stainless Steels. Metals. 2022; 12(11):1829. https://doi.org/10.3390/met12111829
Chicago/Turabian StyleWang, Qian, Chenyang Xing, Rui Wang, Peng Luo, Bo Wang, Jieyu Zhang, and Jie Ma. 2022. "Departure of Nitrogen Bubbles at the Solid–Liquid Interface during the Solidification of Duplex Stainless Steels" Metals 12, no. 11: 1829. https://doi.org/10.3390/met12111829
APA StyleWang, Q., Xing, C., Wang, R., Luo, P., Wang, B., Zhang, J., & Ma, J. (2022). Departure of Nitrogen Bubbles at the Solid–Liquid Interface during the Solidification of Duplex Stainless Steels. Metals, 12(11), 1829. https://doi.org/10.3390/met12111829

