Ion Irradiation Defects and Hardening in FeCrAl Alloy
Abstract
1. Introduction
2. Experimental
2.1. Material Preparation
2.2. Irradiation Experiment and Observation
2.3. Nanoindentation Test
3. Experimental Result
3.1. Formation of Dislocation Loop
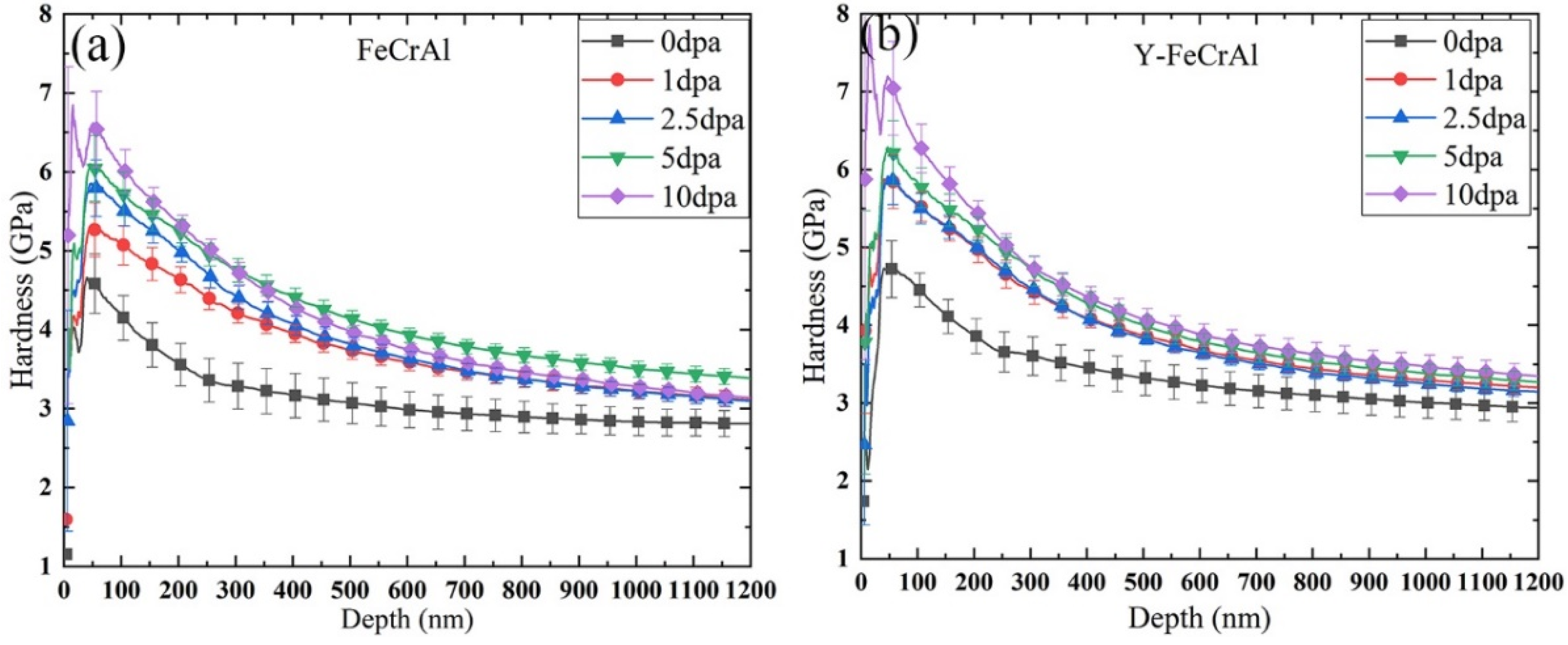
3.2. Irradiation Hardening
4. Discussion
4.1. Formation of Voids and Dislocation Loops
4.2. Size and Density of Dislocation Loop
4.3. The Proportion of Loop with Different Burgers Vector
4.3.1. Effect of Dose and Dose Rate
4.3.2. Effect of Elements
4.3.3. Effect of Temperature
4.4. Irradiation Hardening
5. Conclusions
Author Contributions
Funding
Data Availability Statement
Conflicts of Interest
References
- Field, K.G.; Hu, X.; Littrell, K.; Yamamoto, Y.; Howard, R.H.; Snead, L.L. Stability of Model Fe-Cr-Al Alloys Under the Presence of Neutron Radiation. Oak Ridge Natl. Lab. 2014, 1–16. [Google Scholar] [CrossRef]
- Field, K.G.; Hu, X.; Littrell, K.C.; Yamamoto, Y.; Snead, L.L. Radiation tolerance of neutron-irradiated model Fe-Cr-Al alloys. J. Nucl. Mater. 2015, 465, 746–755. [Google Scholar] [CrossRef]
- Field, K.G.; Briggs, S.A.; Sridharan, K.; Howard, R.H.; Yamamoto, Y. Mechanical properties of neutron-irradiated model and commercial FeCrAl alloys. J. Nucl. Mater. 2017, 489, 118–128. [Google Scholar] [CrossRef]
- Gussev, M.; Cakmak, E.; Field, K. Impact of neutron irradiation on mechanical performance of FeCrAl alloy laser-beam weldments. J. Nucl. Mater. 2018, 504, 221–233. [Google Scholar] [CrossRef]
- Aydogan, E.; Weaver, J.; Maloy, S.; El-Atwani, O.; Wang, Y.; Mara, N. Microstructure and mechanical properties of FeCrAl alloys under heavy ion irradiations. J. Nucl. Mater. 2018, 503, 250–262. [Google Scholar] [CrossRef]
- Gelles, D.; Schäublin, R. Post-irradiation deformation in a Fe-9%Cr alloy. Mater. Sci. Eng. A 2001, 309-310, 82–86. [Google Scholar] [CrossRef]
- Haley, J.C.; Briggs, S.A.; Edmondson, P.D.; Sridharan, K.; Roberts, S.G.; Lozano-Perez, S.; Field, K.G. Dislocation loop evolution during in-situ ion irradiation of model FeCrAl alloys. Acta Mater. 2017, 136, 390–401. [Google Scholar] [CrossRef]
- Schäublin, R.; Décamps, B.; Prokhodtseva, A.; Löffler, J.F. On the origin of the primary ½ a0 <111> and a0 <100> loops in irradiated Fe(Cr) alloys. Acta Mater. 2017, 133, 427–439. [Google Scholar] [CrossRef]
- Song, P.; Gao, J.; Yabuuchi, K.; Kimura, A. Ion-irradiation hardening accompanied by irradiation-induced dissolution of oxides in FeCr(Y, Ti)-ODS ferritic steel. J. Nucl. Mater. 2018, 511, 200–211. [Google Scholar] [CrossRef]
- Field, K.G.; Briggs, S.A.; Hu, X.; Yamamoto, Y.; Howard, R.H.; Sridharan, K. Heterogeneous dislocation loop formation near grain boundaries in a neutron-irradiated commercial FeCrAl alloy. J. Nucl. Mater. 2017, 483, 54–61. [Google Scholar] [CrossRef]
- Zhou, X.; Wang, H.; Guo, L.; Chen, Y.; Li, F.; Long, Y.; Chen, C.; Xie, Z.; Luo, H.; Mo, S. Effect of niobium content on irradiation microstructure and hardening in FeCrAl-based alloys. J. Mater. Sci. Technol. 2021, 95, 181–192. [Google Scholar] [CrossRef]
- Massey, C.P.; Zhang, D.; Briggs, S.A.; Edmondson, P.D.; Yamamoto, Y.; Gussev, M.N.; Field, K.G. Deconvoluting the Effect of Chromium and Aluminum on the Radiation Response of Wrought FeCrAl Alloys After Low-Dose Neutron Irradiation. J. Nucl. Mater. 2021, 549, 152804. [Google Scholar] [CrossRef]
- Lu, J.; Chen, Y.; Zhao, C.; Zhang, H.; Luo, L.; Xu, B.; Zhao, X.; Guo, F.; Xiao, P. Significantly improving the oxidation and spallation resistance of a MCrAlY alloy by controlling the distribution of yttrium. Corros. Sci. 2019, 153, 178–190. [Google Scholar] [CrossRef]
- Yu, H.; Ukai, S.; Hayashi, S.; Oono, N.H. Effect of Cr and Y2O3 on the oxidation behavior of Co-based oxide dispersion strengthened superalloys at 900 °C. Corros. Sci. 2017, 127, 147–156. [Google Scholar] [CrossRef]
- Yang, Z.; Pan, J.; Wang, Z.; Wu, Y.; Jia, G.; Li, J.; Xiao, X. New insights into the mechanism of yttrium changing high-temperature oxide growth of Fe-13Cr–6Al–2Mo–0.5Nb alloy for fuel cladding. Corros. Sci. 2020, 172, 108728. [Google Scholar] [CrossRef]
- Luo, H.; Luo, F.; Chen, Y.; Wang, J.; Liu, Q.; Li, F.; Xie, Z.; Lin, W.; Guo, L. Effect of yttrium content on microstructure and irradiation behavior of V-4Cr-4Ti-xY alloys. J. Nucl. Mater. 2022, 559, 153480. [Google Scholar] [CrossRef]
- Nijdam, T.J.; Kwakernaak, C.; Sloof, W.G. The effects of alloy microstructure refinement on the short-term thermal oxidation of NiCoCrAlY alloys. Met. Mater. Trans. A 2006, 37, 683–693. [Google Scholar] [CrossRef]
- Bai, Y.; Fang, C.-F.; Hao, H.; Qi, G.-H.; Zhang, X.-G. Effects of yttrium on microstructure and mechanical properties of Mg-Zn-Cu-Zr alloys. Trans. Nonferrous Met. Soc. China 2010, 20, s357–s360. [Google Scholar] [CrossRef]
- Wan, B.; Chen, W.; Liu, L.; Cao, X.; Zhou, L.; Fu, Z. Effect of trace yttrium addition on the microstructure and tensile properties of recycled Al-7Si-0.3Mg-1.0Fe casting alloys. Mater. Sci. Eng. A 2016, 666, 165–175. [Google Scholar] [CrossRef]
- Pharr, G.M.; Herbert, E.G.; Gao, Y. The Indentation Size Effect: A Critical Examination of Experimental Observations and Mechanistic Interpretations. Annu. Rev. Mater. Sci. 2010, 40, 271–292. [Google Scholar] [CrossRef]
- Nix, W.D.; Gao, H. Indentation size effects in crystalline materials: A law for strain gradient plasticity. J. Mech. Phys. Solids 1998, 46, 411–425. [Google Scholar] [CrossRef]
- Oliver, W.C.; Pharr, G.M. An Improved Technique for Determining Hardness and Elastic Modulus Using Load and Displacement Sensing Indentation Experiments. J. Mater. Res. 1992, 7, 1564–1583. [Google Scholar] [CrossRef]
- Hardie, C.D.; Roberts, S.G.; Bushby, A.J. Understanding the effects of ion irradiation using nanoindentation techniques. J. Nucl. Mater. 2015, 462, 391–401. [Google Scholar] [CrossRef]
- Hardie, C.D.; Roberts, S.G. Nanoindentation of model Fe–Cr alloys with self-ion irradiation. J. Nucl. Mater. 2013, 433, 174–179. [Google Scholar] [CrossRef]
- Haley, J.; Shubeita, S.D.M.; Wady, P.; London, A.; Odette, G.; Lozano-Perez, S.; Roberts, S. Microstructural examination of neutron, proton and self-ion irradiation damage in a model Fe9Cr alloy. J. Nucl. Mater. 2020, 533, 152130. [Google Scholar] [CrossRef]
- Field, K.G.; Briggs, S.A. Radiation Effects in FeCrAl Alloys for Nuclear Power Applications. Nucl. Mater. 2020, 3, 293–306. [Google Scholar] [CrossRef]
- Cui, Y.; Aydogan, E.; Gigax, J.G.; Wang, Y.; Misra, A.; Maloy, S.A.; Li, N. In Situ Micro-Pillar Compression to Examine Radiation-Induced Hardening Mechanisms of FeCrAl Alloys. Acta Mater. 2021, 202, 255–265. [Google Scholar] [CrossRef]
- Li, F.; Chen, C.; Guo, D.; Zhou, X.; Chen, Y.; Long, Y.; Guo, L.; Li, L.; Ren, Q.; Liao, Y.; et al. Rate theory and experimental study of the irradiation induced defects in molybdenum alloy. J. Alloy. Compd. 2021, 874, 159751. [Google Scholar] [CrossRef]
- Field, K.G.; Briggs, S.A.; Sridharan, K.; Yamamoto, Y.; Howard, R.H. Dislocation loop formation in model FeCrAl alloys after neutron irradiation below 1 dpa. J. Nucl. Mater. 2017, 495, 20–26. [Google Scholar] [CrossRef]
- Marian, J.; Wirth, B.D.; Perlado, J.M. Mechanism of Formation and Growth of [Formula presented] Interstitial Loops in Ferritic Materials. Phys. Rev. Lett. 2002, 88, 255507. [Google Scholar] [CrossRef]
- Xu, H.; Stoller, R.E.; Osetsky, Y.N.; Terentyev, D. Solving the puzzle of 100 Interstitial Loop Formation in bcc Iron. Phys. Rev. Lett. 2013, 110, 265503. [Google Scholar] [CrossRef] [PubMed]
- Byggmästar, J.; Granberg, F.; E Sand, A.; Pirttikoski, A.; Alexander, R.; Marinica, M.-C.; Nordlund, K. Collision cascades overlapping with self-interstitial defect clusters in Fe and W. J. Physics Condens. Matter 2019, 31, 245402. [Google Scholar] [CrossRef] [PubMed]
- Chen, W.-Y.; Miao, Y.; Gan, J.; Okuniewski, M.A.; Maloy, S.; Stubbins, J.F. Neutron irradiation effects in Fe and Fe-Cr at 300 °C. Acta Mater. 2016, 111, 407–416. [Google Scholar] [CrossRef]
- Hernández-Mayoral, M.; Heintze, C.; Oñorbe, E. Transmission electron microscopy investigation of the microstructure of Fe–Cr alloys induced by neutron and ion irradiation at 300 °C. J. Nucl. Mater. 2016, 474, 88–98. [Google Scholar] [CrossRef]
- Yao, Z.; Hernández-Mayoral, M.; Jenkins, M.; Kirk, M. Heavy-ion irradiations of Fe and Fe–Cr model alloys Part 1: Damage evolution in thin-foils at lower doses. Philos. Mag. 2008, 88, 2851–2880. [Google Scholar] [CrossRef]
- Prokhodtseva, A.; Décamps, B.; Ramar, A.; Schäublin, R. Impact of He and Cr on defect accumulation in ion-irradiated ultrahigh-purity Fe(Cr) alloys. Acta Mater. 2013, 61, 6958–6971. [Google Scholar] [CrossRef]
- Xu, S.; Yao, Z.; Jenkins, M. TEM characterisation of heavy-ion irradiation damage in FeCr alloys. J. Nucl. Mater. 2009, 386–388, 161–164. [Google Scholar] [CrossRef]
- Gelles, D. Microstructural examination of neutron-irradiated simple ferritic alloys. J. Nucl. Mater. 1982, 108–109, 515–526. [Google Scholar] [CrossRef]
- Porollo, S.I.; Dvoriashin, A.M.; Vorobyev, A.N.; Konobeev, Y.V. The microstructure and tensile properties of Fe-Cr alloys after neutron irradiation at 400 °C to 5.5–7.1 dpa. J. Nucl. Mater. 1998, 256, 247–253. [Google Scholar] [CrossRef]
- Hua, G.; Ahmadi, H.; Nouri, M.; Li, N. Positive effect of yttrium on the reduction of pores in cast Al alloy. Mater. Chem. Phys. 2015, 149–150, 140–144. [Google Scholar] [CrossRef]
- Yao, Z.; Jenkins, M.; Hernández-Mayoral, M.; Kirk, M. The temperature dependence of heavy-ion damage in iron: A microstructural transition at elevated temperatures. Philos. Mag. 2010, 90, 4623–4634. [Google Scholar] [CrossRef]
- Dudarev, S.L.; Bullough, R.; Derlet, P.M. Effect of the α-γ Phase transition on the stability of dislocation loops in bcc iron. Phys. Rev. Lett. 2008, 100, 194–197. [Google Scholar] [CrossRef] [PubMed]
- Klimenkov, M.; Jäntsch, U.; Rieth, M.; Möslang, A. Correlation of microstructural and mechanical properties of neutron irradiated EUROFER97 steel. J. Nucl. Mater. 2020, 538, 152231. [Google Scholar] [CrossRef]
- Zhang, Y.; Zhan, Q.; Ohnuki, S.; Kimura, A.; Wan, F.; Yoshida, K.; Nagai, Y. Radiation-hardening and nano-cluster formation in neutron-irradiated 9Cr 2W low activation steels with different Si contents. J. Nucl. Mater. 2019, 517, 1–8. [Google Scholar] [CrossRef]
- Zhang, P.; Li, S.; Zhang, Z. General relationship between strength and hardness. Mater. Sci. Eng. A 2011, 529, 62–73. [Google Scholar] [CrossRef]
- Lucas, G. The evolution of mechanical property change in irradiated austenitic stainless steels. J. Nucl. Mater. 1993, 206, 287–305. [Google Scholar] [CrossRef]
- Stoller, R.; Zinkle, S. On the relationship between uniaxial yield strength and resolved shear stress in polycrystalline materials. J. Nucl. Mater. 2000, 283–287, 349–352. [Google Scholar] [CrossRef]
- Tan, L.; Busby, J. Formulating the strength factor α for improved predictability of radiation hardening. J. Nucl. Mater. 2015, 465, 724–730. [Google Scholar] [CrossRef]
- Matijasevic, M.; Almazouzi, A. Effect of Cr on the mechanical properties and microstructure of Fe–Cr model alloys after n-irradiation. J. Nucl. Mater. 2008, 377, 147–154. [Google Scholar] [CrossRef]











| Alloy | Fe | Cr | Al | Mo | Y |
|---|---|---|---|---|---|
| FeCrAl | balance | 12.5 | 4.5 | 4.0 | 0 |
| Y−FeCrAl | balance | 12.5 | 4.5 | 4.0 | 0.03 |
| 0 | 1 | 1 | 0 | 1 | 1 | 0 | |
| 1 | 0 | 0 | 1 | 1 | 1 | 0 | |
| 1 | 1 | 1 | 1 | 0 | 2 | 0 | |
| 1 | 1 | 1 | 1 | 2 | 0 | 0 |
| Alloys | Dose (dpa) | Burgers Vector | N m−3) | d (Size) | (Gpa) | ||
|---|---|---|---|---|---|---|---|
| FeCrAl | 1.0 dpa | 1/2<111> | 1.02 | 8.62 | 0.10 | 0.447 | 1.34 |
| <100> | 3.42 | 10.00 | 0.44 | ||||
| 2.5 dpa | 1/2<111> | 1.19 | 9.52 | 0.11 | 0.433 | 1.30 | |
| <100> | 3.06 | 10.28 | 0.42 | ||||
| 5.0 dpa | 1/2<111> | 1.04 | 9.73 | 0.11 | 0.465 | 1.40 | |
| <100> | 2.91 | 12.67 | 0.45 | ||||
| 10.0 dpa | 1/2<111> | 0.56 | 11.52 | 0.08 | 0.421 | 1.26 | |
| <100> | 2.11 | 14.47 | 0.41 | ||||
| Y−FeCrAl | 1.0 dpa | 1/2<111> | 0.62 | 8.18 | 0.08 | 0.368 | 1.11 |
| <100> | 2.24 | 10.41 | 0.36 | ||||
| 2.5dpa | 1/2<111> | 0.68 | 10.56 | 0.09 | 0.372 | 1.12 | |
| <100> | 1.92 | 12.15 | 0.36 | ||||
| 5.0 dpa | 1/2<111> | 0.60 | 11.55 | 0.09 | 0.414 | 1.24 | |
| <100> | 1.99 | 14.73 | 0.40 | ||||
| 10.0 dpa | 1/2<111> | 0.41 | 13.39 | 0.08 | 0.411 | 1.23 | |
| <100> | 1.98 | 14.80 | 0.40 |
Publisher’s Note: MDPI stays neutral with regard to jurisdictional claims in published maps and institutional affiliations. |
© 2022 by the authors. Licensee MDPI, Basel, Switzerland. This article is an open access article distributed under the terms and conditions of the Creative Commons Attribution (CC BY) license (https://creativecommons.org/licenses/by/4.0/).
Share and Cite
Li, F.; Long, Y.; Guo, D.; Guo, L.; Lin, W.; Chen, Y.; Li, L.; Ren, Q.; Liao, Y. Ion Irradiation Defects and Hardening in FeCrAl Alloy. Metals 2022, 12, 1645. https://doi.org/10.3390/met12101645
Li F, Long Y, Guo D, Guo L, Lin W, Chen Y, Li L, Ren Q, Liao Y. Ion Irradiation Defects and Hardening in FeCrAl Alloy. Metals. 2022; 12(10):1645. https://doi.org/10.3390/met12101645
Chicago/Turabian StyleLi, Fang, Yunxiang Long, Daxi Guo, Liping Guo, Wenbin Lin, Yiheng Chen, Lei Li, Qisen Ren, and Yehong Liao. 2022. "Ion Irradiation Defects and Hardening in FeCrAl Alloy" Metals 12, no. 10: 1645. https://doi.org/10.3390/met12101645
APA StyleLi, F., Long, Y., Guo, D., Guo, L., Lin, W., Chen, Y., Li, L., Ren, Q., & Liao, Y. (2022). Ion Irradiation Defects and Hardening in FeCrAl Alloy. Metals, 12(10), 1645. https://doi.org/10.3390/met12101645

