Optimum Magnetic Properties of Non-Oriented Electrical Steel Produced by Compact Strip Production Process
Abstract
:1. Introduction
2. Materials and Methods
3. Results and Discussions
3.1. Microstructure
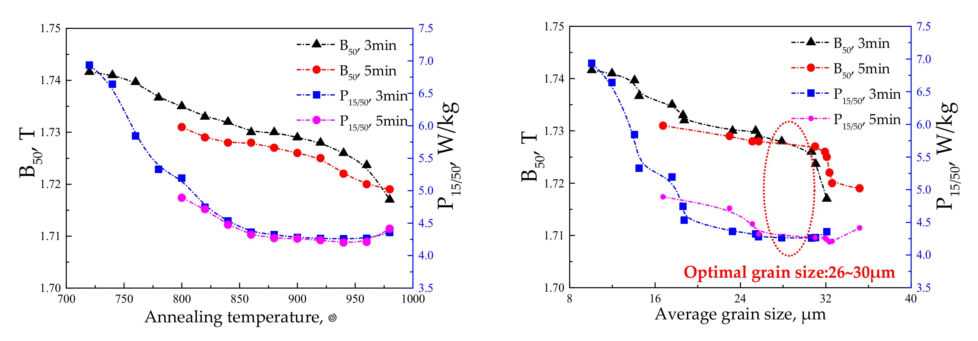
3.2. Correlation of Microstructure and Magnetic Properties
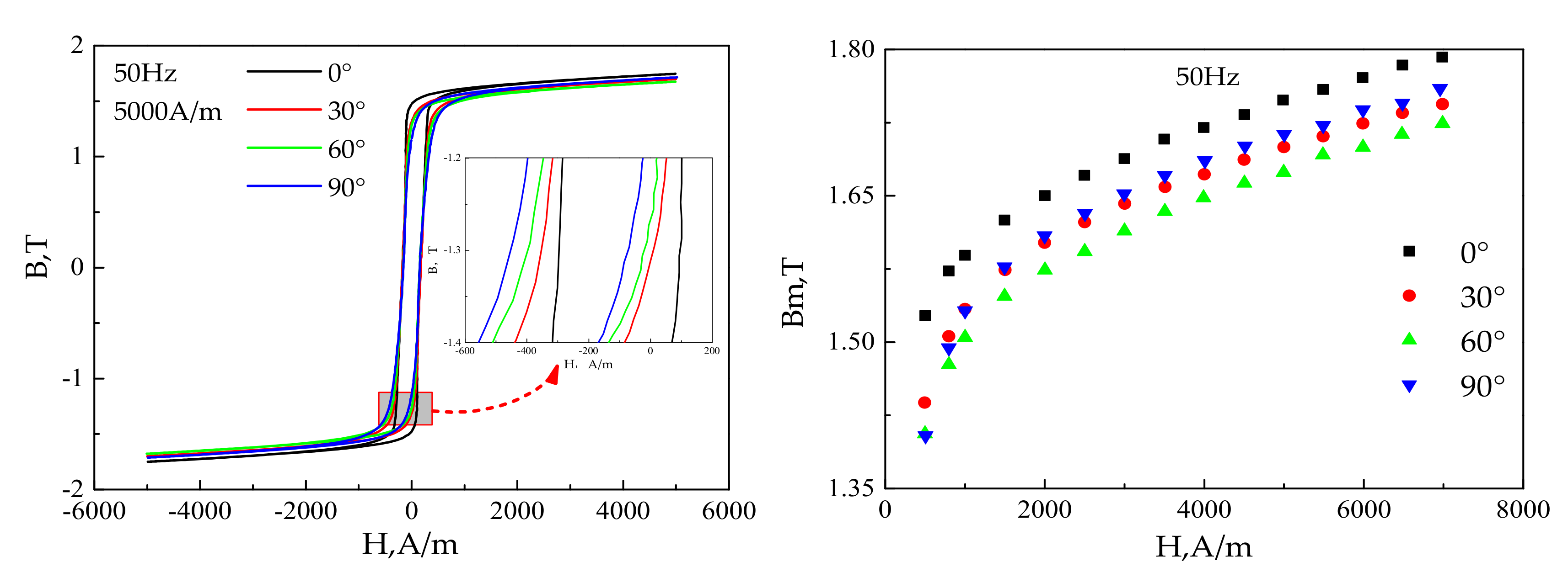
3.3. Textures and Magnetic Properties
3.4. Correlation of Texture and Magnetic Properties
4. Summary and Conclusions
- (1)
- Magnetic induction and core loss of Fe-0.65%Si non-oriented electrical steel would decrease with the increase of grain size. The grain size of best magnetic properties is 26–30 μm.
- (2)
- γ-fiber texture and α*-fiber texture are the main texture component of rolling direction sample and 60° sample, but strength of {111}<112> texture is stronger and content of magnetic harmful texture is the largest in 60° sample. γ-fiber texture is the main texture component in 30° and 90°samples.
- (3)
- Magnetic properties increase with increasing of the texture volume fraction ratio of {100}/{111} and <100>/<111>, and increase with the decreasing of A-parameter and , respectively. Simultaneously, with increasing of A-parameter and , a linear decrease of B50 was obtained.
Author Contributions
Funding
Institutional Review Board Statement
Informed Consent Statement
Data Availability Statement
Acknowledgments
Conflicts of Interest
References
- He, Z.Z.; Zhao, Y.; Luo, H.W. Electrical Steel; Metallurgical Industry Press: Beijing, China, 2012. [Google Scholar]
- Zhang, Z.G.; Wang, D.P. Texture and Magnetic Properties of Non-Oriented Silicon Steel; Metallurgical Industry Press: Beijing, China, 2012. [Google Scholar]
- Mao, W.M.; Yang, P. Material Science Principle of Electrical Steel; Higher Education Press: Beijing, China, 2013. [Google Scholar]
- Shiozaki, M.; Kurosaki, Y. The effects of grain size on the magnetic properties of nonoriented electrical steel sheets. J. Mater. Eng. 1989, 11, 37–43. [Google Scholar] [CrossRef]
- PremKumar, R.; Samajdar, I.; Viswanathan, N.; Singal, V.; Seshadri, V. Relative effect(s) of texture and grain size on magnetic properties in a low silicon non-grain oriented electrical steel. J. Magn. Magn. Mater. 2003, 264, 75–85. [Google Scholar] [CrossRef]
- Campos, M.F.D.; Teixeira, J.C.; Landgraf, F.J.G. The optimum grain size for minimizing energy losses in iron. J. Magn. Magn. Mater. 2006, 301, 94. [Google Scholar] [CrossRef]
- Leuning, N.; Steentjes, S.; Hameyer, K. Effect of grain size and magnetic texture on iron-loss components in NO electrical steel at different frequencies. J. Magn. Magn. Mater. 2019, 469, 373–382. [Google Scholar] [CrossRef]
- Takashima, M.; Komatsubara, M.; Morito, N. {001}<210> Texture Development by Two-stage Cold Rolling Method in Non-oriented Electrical Steel. ISIJ Int. 1997, 37, 1263–1268. [Google Scholar] [CrossRef]
- Lee, K.; Park, S.; Huh, M.; Kim, J.; Engler, O. Effect of texture and grain size on magnetic flux density and core loss in non-oriented electrical steel containing 3.15% Si. J. Magn. Magn. Mater. 2014, 354, 324–332. [Google Scholar] [CrossRef]
- Mehdi, M.; He, Y.; Hilinski, E.J.; Edrisy, A. Texture Evolution of a 2.8 Wt Pct Si Non-oriented Electrical Steel and the Elimination of the <111>//ND Texture. Metall. Mater. Trans. A 2019, 50, 3343–3357. [Google Scholar] [CrossRef]
- Gomes, E.; Schneider, J.; Verbeken, K.; Barros, J.; Houbaert, Y. Correlation between Microstructure, Texture, and Magnetic Induction in Nonoriented Electrical Steels. IEEE Trans. Magn. 2010, 46, 310–313. [Google Scholar] [CrossRef] [Green Version]
- Yang, P.; Wang, N.; Gu, X.F.; Mao, W.M. Texture Characteristics and Control Methods in Non-oriented Silicon Steel. In Proceedings of the 14th China Electrotechnical Steel Academic Annual Conference, Ningbo, China, 21–22 December 2017; pp. 77–84. [Google Scholar]
- Sidor, J.J.; Verbeken, K.; Gomes, E.; Schneider, J.; Rodriguez-Calvillo, P.; Kestens, L.A. Through process texture evolution and magnetic properties of high Si non-oriented electrical steels. Mater. Charact. 2012, 71, 49–57. [Google Scholar] [CrossRef]
- Kang, H.G.; Lee, K.M.; Huh, M.Y.; Kim, J.S.; Park, J.T.; Engler, O. Quantification of magnetic flux density in non-oriented electrical steel sheets by analysis of texture components. J. Magn. Magn. Mater. 2011, 323, 2248–2253. [Google Scholar] [CrossRef]
- Campos, M.F.D.; Landgraf, F.J.G.; Tschiptschin, A.P. A method to estimate magnetic induction from texture in non-oriented electrical steels. J. Magn. Magn. Mater. 2001, 226, 1536–1538. [Google Scholar] [CrossRef]
- Xia, X.L.; Wang, L.T.; Pei, Y.H.; Dong, M. Current Situation of Non-oriented Silicon Steel Produced by CSP Process of Masteel. Anhui Metall. 2016, 78, 57–62. [Google Scholar]
- Chen, T.Y. Inclusion Evolution and Numerical Simulation of Non-Oriented Silicon Steel under CSP Process; Wuhan University of Science and Technology: Wuhan, China, 2019. [Google Scholar]
- Qiao, J.-L.; Guo, F.-H.; Hu, J.-W.; Xiang, L.; Qiu, S.-T.; Wang, H.-J. Precipitates in Compact Strip Production (CSP) Process Non-Oriented Electrical Steel. Metals 2020, 10, 1301. [Google Scholar] [CrossRef]
- Li, J.; Sun, Y.; Zhao, Y.; Yu, X.-J.; Li, B. Effect of Al Content on Magnetic Properties of Non-Oriented Electrical Steel by Simulated CSP Process. J. Iron Steel Res. 2007, 14, 364–367. [Google Scholar] [CrossRef]
- Li, J.J.; Yue, E.B.; Wang, L.T.; Zhu, T.; Zhao, P. Effects of Main Processes on Microstructure, Precipitates and Magnetic Properties of Low Carbon and Low Silicon Non-oriented Silicon Steel Produced by CSP Process. J. Iron Steel Res. 2010, 22, 59–63. [Google Scholar]
- Li, C.Y.; Chen, Q.A.; Liu, Z.D.; Tang, G.B.; Zhu, T. Texture Evolution of Non-oriented Electrical Steel during CSP-Cold Rolling-Annealing. Iron Steel 2007, 42, 60–63. [Google Scholar]
- Zhu, T.; Wang, Y.J.; Zhai, X.; Yang, H.; Kong, X.H. Full Process Non-Oriented Electrical Steel Produced by CSP Process. J. Beijing Univ. Sci. Technol. 2009, 31, 862–866. [Google Scholar]
- Thomson, J.J. On the heat produced by eddy currents in an iron plate exposed to an alternating magnetic field. Electrician 1892, 28, 599. [Google Scholar]
- Wang, J.; Yang, P.; Zhang, L.; Mao, W.M. Formation of a sharp {100}<011> texture in Fe-3%Si-1.7%Mn-0.05%C silicon steel sheets. J. Mater. Sci. 2016, 51, 10116–10126. [Google Scholar] [CrossRef]
- Tian, M.B. Magnetic Materials; Tsinghua University Press: Beijing, China, 2000. [Google Scholar]
- Leo, K.; Sigrid, J. Texture Control during the Manufacturing of Nonoriented Electrical Steels. Texture Stress Microstruct. 2008, 2008, 9. [Google Scholar]












| Elements | C | Si | Mn | P | S | Al | N | Cu | Ti |
|---|---|---|---|---|---|---|---|---|---|
| Content, wt % | 0.0030 | 0.65 | 0.25 | 0.075 | 0.0040 | 0.30 | 0.0035 | 0.030 | 0.0030 |
Publisher’s Note: MDPI stays neutral with regard to jurisdictional claims in published maps and institutional affiliations. |
© 2021 by the authors. Licensee MDPI, Basel, Switzerland. This article is an open access article distributed under the terms and conditions of the Creative Commons Attribution (CC BY) license (https://creativecommons.org/licenses/by/4.0/).
Share and Cite
Cong, J.; Guo, F.; Qiao, J.; Qiu, S.; Wang, H. Optimum Magnetic Properties of Non-Oriented Electrical Steel Produced by Compact Strip Production Process. Metals 2022, 12, 64. https://doi.org/10.3390/met12010064
Cong J, Guo F, Qiao J, Qiu S, Wang H. Optimum Magnetic Properties of Non-Oriented Electrical Steel Produced by Compact Strip Production Process. Metals. 2022; 12(1):64. https://doi.org/10.3390/met12010064
Chicago/Turabian StyleCong, Junqiang, Feihu Guo, Jialong Qiao, Shengtao Qiu, and Haijun Wang. 2022. "Optimum Magnetic Properties of Non-Oriented Electrical Steel Produced by Compact Strip Production Process" Metals 12, no. 1: 64. https://doi.org/10.3390/met12010064
APA StyleCong, J., Guo, F., Qiao, J., Qiu, S., & Wang, H. (2022). Optimum Magnetic Properties of Non-Oriented Electrical Steel Produced by Compact Strip Production Process. Metals, 12(1), 64. https://doi.org/10.3390/met12010064

