Effect of W on the Impact-Induced Energy Release Behavior of Al–Ni Energetic Structural Materials
Abstract
1. Introduction
2. Materials and Methods
3. Results and Discussion
3.1. Microstructure of (48Al–52Ni)100-xWx Composites
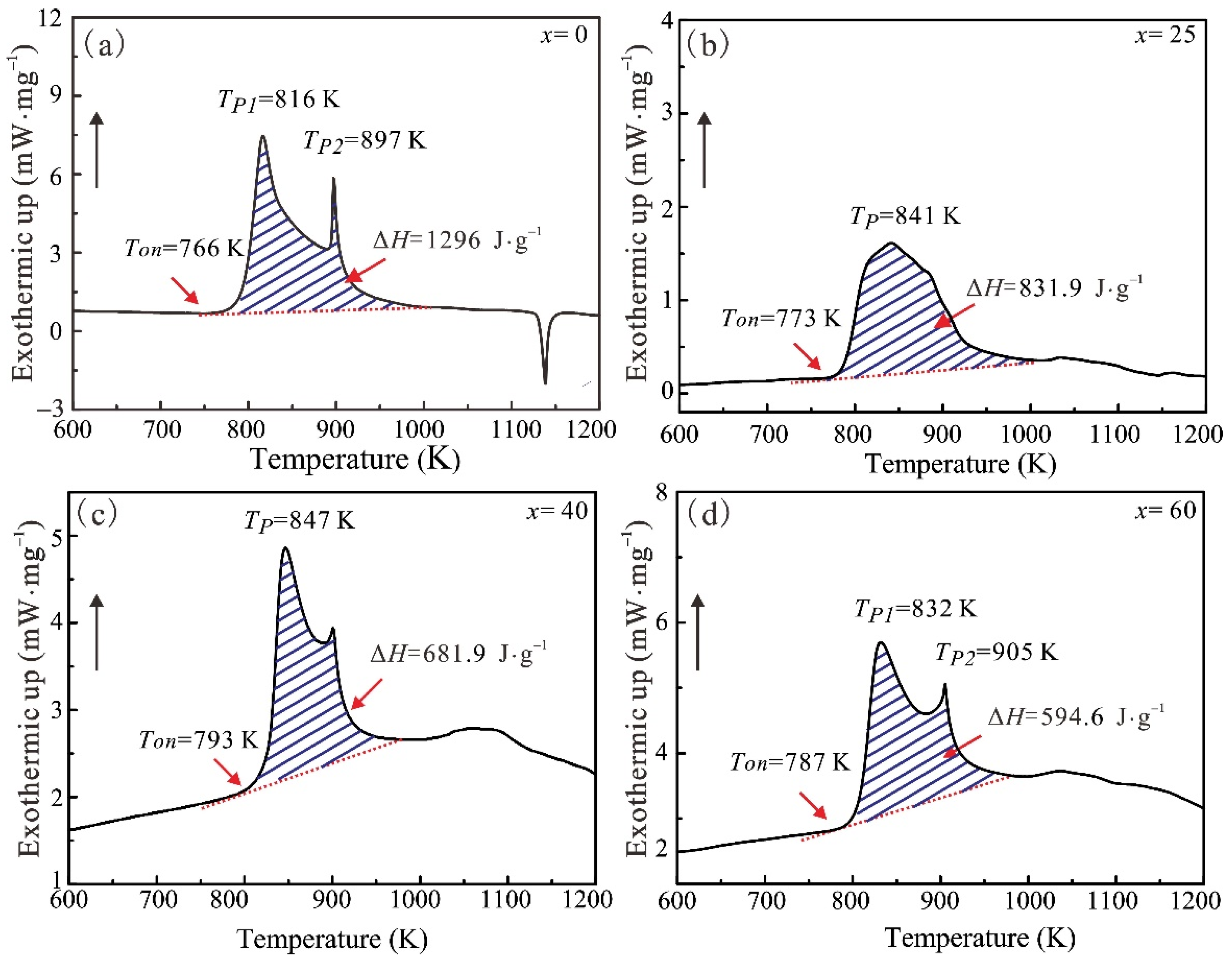
3.2. Thermal Reaction Behavior of (48Al–52Ni)100-xWx Composites
3.3. Impact-Induced Energy Release Behaviors of (48Al–52Ni)100-xWx Composites
4. Conclusions
- The introduced spherical-like W particles were randomly distributed in the continuous Al matrix. The interfaces between Al and Ni decreased, while those between Al and W increased as W content in the composites increased. The surface state of Al and Ni were independent of the addition of W.
- The stable surface state of Al and Ni led to similar onset temperatures of the Al–Ni intermetallic reaction in (48Al–52Ni)100-xWx composites. The decrease in contact area between Al and Ni resulted in the decrease in reaction heat.
- It was shown that the energy released by the Al–Ni intermetallic reaction could lead to the W–Al intermetallic reaction and result in the absence of Ni3Al during the annealing at Ar atmosphere.
- During the impact process, W–Al and W–Ni intermetallic reactions could be caused by Al–Ni intermetallic reactions as well as the oxidation reaction of Al and Ni. Meanwhile, more Al and Ni were oxidized due to more fresh metal surface related to the brittle fracture along the weak interface between Al and W particles. The participation of W–Al and W–Ni in the intermetallic reaction, as well as the higher oxidation reaction of Al and Ni, co-contributed to the greater amount of released energy of (48Al–52Ni)40W60.
Author Contributions
Funding
Institutional Review Board Statement
Informed Consent Statement
Data Availability Statement
Conflicts of Interest
References
- Qiao, L.; Zhang, X.F.; He, Y.; Zhao, X.Y.; Guan, Z.W. Multiscale modelling on the shock-induced chemical reactions of multifunctional energetic structural materials. J. Appl. Phys. 2013, 113, 2129–2199. [Google Scholar] [CrossRef]
- Zhou, J.; He, Y.; He, Y.; Wang, C.T. Investigation on impact initiation characteristics of fluoropolymer-matrix reactive materials. Propellants Explos. Pyrotech. 2017, 42, 603–615. [Google Scholar] [CrossRef]
- Wang, Y.; Jiang, W.; Zhang, X.F.; Liu, H.Y.; Liu, Y.Q.; Li, F.S. Energy release characteristics of impact-initiated energetic aluminum–magnesium mechanical alloy particles with nanometer-scale structure. Thermochim. Acta 2011, 512, 233–239. [Google Scholar] [CrossRef]
- Luo, P.G.; Wang, Z.C.; Jiang, C.L.; Mao, L.; Li, Q. Experimental study on impact-initiated characters of W/Zr energetic fragments. Mater. Des. 2015, 84, 72–78. [Google Scholar] [CrossRef]
- Li, Y.; Wang, Z.C.; Jiang, C.L.; Niu, H.H. Experimental study on impact-induced reaction characteristics of PTFE/Ti composites enhanced by W particles. Materials 2017, 10, 175. [Google Scholar] [CrossRef] [PubMed]
- Zhang, S.; Liu, J.X.; Yang, M.; Wang, L.; Lan, J.; Li, S.K.; He, C.; Xue, X.Y. Effects of multi-component co-addition on reaction characteristics and impact damage properties of reactive material. Mater. Des. 2018, 153, 1–8. [Google Scholar] [CrossRef]
- Feng, B.; Fang, X.; Li, Y.C.; Wu, S.Z.; Mao, Y.M.; Wang, H.X. Reactions of Al-PTFE under impact and quasi-static compression. Adv. Mater. Sci. Eng. 2015, 2015, 582320. [Google Scholar] [CrossRef]
- Sanders, V.E.; Asay, B.W.; Foley, T.J.; Tappan, B.C.; Pacheco, A.N.; Son, S.F. Reaction propagation of four nanoscale energetic composites (Al/MoO3, Al/WO3, Al/CuO, and Bi2O3). J. Propuls. Power 2007, 23, 707–714. [Google Scholar] [CrossRef]
- Aydelotte, B.B.; Thadhani, N.N. Mechanistic aspects of impact initiated reactions in explosively consolidated metal+aluminum powder mixtures. Mater. Sci. Eng. A 2013, 570, 164–171. [Google Scholar] [CrossRef]
- Ren, H.L.; Liu, X.J.; Ning, J.G. Microstructure and mechanical properties of W-Zr reactive materials. Mater. Sci. Eng. A 2016, 660, 205–212. [Google Scholar] [CrossRef]
- Kappagantula, K.S.; Farley, C.; Pantoya, M.L.; Horn, J. Tuning energetic material reactivity using surface functionalization of aluminum fuels. J. Phys. Chem. C 2012, 116, 24469. [Google Scholar] [CrossRef]
- Xiong, W.; Zhang, X.F.; Wu, Y.; He, Y.; Wang, C.T.; Guo, L. Influence of additives on microstructures, mechanical properties and shock-induced reaction characteristics of Al/Ni composites. J. Alloys Compd. 2015, 648, 540–549. [Google Scholar] [CrossRef]
- Dean, S.W.; Potter, J.K.; Yetter, R.A.; Eden, T.J.; Champagne, V.; Trexler, M. Energetic intermetallic materials formed by cold spray. Intermetallics 2013, 43, 121–130. [Google Scholar] [CrossRef]
- Fischer, S.H.; Grubelich, M.C. A Survey of Combustible Metals, Thermites, and Intermetallics for Pyrotechnic Applications; AIAA Meeting Papers on Disc; American Institute of Aeronautics and Astronautics: Reston, VA, USA, 1996; Volume 96. [Google Scholar] [CrossRef]
- Chen, Y.J.; Chen, J.; Wang, J. Dynamic mechanical behavior and energy release characteristics of Al⁃Ni⁃W reactive material. Ordance Mater. Sci. Eng. 2018, 4, 71–75. (In Chinese) [Google Scholar]
- Rogachev, A.S.; Tolochko, B.P.; Lyakhov, N.Z.; Sharafutdinov, M.P.; Popkov, N.A.; Pirogov, B.Y.; Pis’menskaya, E.B. Characteristic features of structure formation of nickel monoaluminide formed in a gasless combustion wave. Crystallogr. Rep. 2003, 48, 466–468. [Google Scholar] [CrossRef]
- Shchukin, A.S.; Sytschev, A.E. Effect of a NiO Additive on Interaction in a Ni–Al–W System in Self-Propagating High-Temperature Synthesis. Combust. Explos. Shock Waves 2018, 54, 433–441. [Google Scholar] [CrossRef]
- Huang, C.M.; Chen, J.; Bai, S.X.; Li, S.; Tang, Y.; Liu, X.Y.; Ye, Y.C.; Zhu, L.A. Enhancement of energy release performance of Al–Ni composites by adding CuO. J. Alloys Compd. 2020, 835, 155271. [Google Scholar] [CrossRef]
- Ames, R. Vented chamber calorimetry for impact-initiated energetic materials. In Proceedings of the 43rd AIAA Aerospace Sciences Meeting and Exhibit, Reno, Nevada, 10–13 January 2005; Volume 279. [Google Scholar]
- White, J.D.; Reeves, R.V.; Son, S.F.; Mukasyan, A.S. Thermal explosion in Al−Ni system: Influence of mechanical activation. J. Phys. Chem. A 2009, 113, 13541–13547. [Google Scholar] [CrossRef]
- Gasparyan, A.; Shteinberg, A. Macrokinetics of reaction and thermal explosion in Ni and Al powder mixtures. Combust. Explos. Shock Waves 1988, 24, 324–330. [Google Scholar] [CrossRef]
- Hu, A.; Cai, S. Research on the novel Al–W alloy powder with high volumetric combustion enthalpy. J. Mater. Res. Technol. 2021, 13, 311–320. [Google Scholar] [CrossRef]
- Biswas, A.; Roy, K.S. Comparison between the microstructural evolutions of two modes of SHS of NiAl: Key to a common reaction mechanism. Acta Mater. 2004, 52, 257–270. [Google Scholar] [CrossRef]
- Murray, J.L. ASM handbook: Alloy phase diagrams. Mater. Park 1992, 3, 20. [Google Scholar]
- Shchukin, A.S.; Sytschev, A. Fine structure of transition layer formed between NiAl melt and W substrate during self-propagating high-temperature synthesis. Lett. Mater. 2017, 7, 244–248. [Google Scholar] [CrossRef][Green Version]
- Sytschev, A.E. Synthesis of composite based on W−Ni−Al system by the electro-thermal explosion under pressure. Lett. Mater. 2018, 8, 274–277. [Google Scholar] [CrossRef]









| Al | Ni | W | O | Phase | |
|---|---|---|---|---|---|
| A | - | 6.0 | 94.0 | - | W |
| B | 64.7 | 35.3 | - | - | Al3Ni2 |
| C | 78.9 | - | 21.1 | - | Al4W |
| D | 57.0 | - | - | 43.0 | Al2O3 |
| E | - | 79.3 | 20.7 | - | Ni4W |
| x | ρ/g·cm−3 | TMD/% | σc/MPa | σcf/MPa | εcf/% |
|---|---|---|---|---|---|
| 0 | 4.18 | 98.8 | 289 ± 16 | 480 ± 31 | 3.8 |
| 25 | 4.13 | 98.20 | 296 ± 18 | 391 ± 14 | 1.8 |
| 40 | 5.90 | 96.58 | 297 ± 10 | 381 ± 8 | 1.7 |
| 50 | 6.66 | 96.50 | 323 ± 6 | 396 ± 6 | 1.7 |
| 60 | 7.44 | 94.89 | 318 ± 5 | 400 ± 2 | 1.7 |
Publisher’s Note: MDPI stays neutral with regard to jurisdictional claims in published maps and institutional affiliations. |
© 2021 by the authors. Licensee MDPI, Basel, Switzerland. This article is an open access article distributed under the terms and conditions of the Creative Commons Attribution (CC BY) license (https://creativecommons.org/licenses/by/4.0/).
Share and Cite
Li, S.; Huang, C.; Chen, J.; Tang, Y.; Bai, S. Effect of W on the Impact-Induced Energy Release Behavior of Al–Ni Energetic Structural Materials. Metals 2021, 11, 1217. https://doi.org/10.3390/met11081217
Li S, Huang C, Chen J, Tang Y, Bai S. Effect of W on the Impact-Induced Energy Release Behavior of Al–Ni Energetic Structural Materials. Metals. 2021; 11(8):1217. https://doi.org/10.3390/met11081217
Chicago/Turabian StyleLi, Shun, Caimin Huang, Jin Chen, Yu Tang, and Shuxin Bai. 2021. "Effect of W on the Impact-Induced Energy Release Behavior of Al–Ni Energetic Structural Materials" Metals 11, no. 8: 1217. https://doi.org/10.3390/met11081217
APA StyleLi, S., Huang, C., Chen, J., Tang, Y., & Bai, S. (2021). Effect of W on the Impact-Induced Energy Release Behavior of Al–Ni Energetic Structural Materials. Metals, 11(8), 1217. https://doi.org/10.3390/met11081217

