Structural and Phase Evolution upon Annealing of Fe76Si9−xB10P5Mox (x = 0, 1, 2 and 3) Alloys
Abstract
1. Introduction
2. Experimental Procedure
3. Results and Discussion
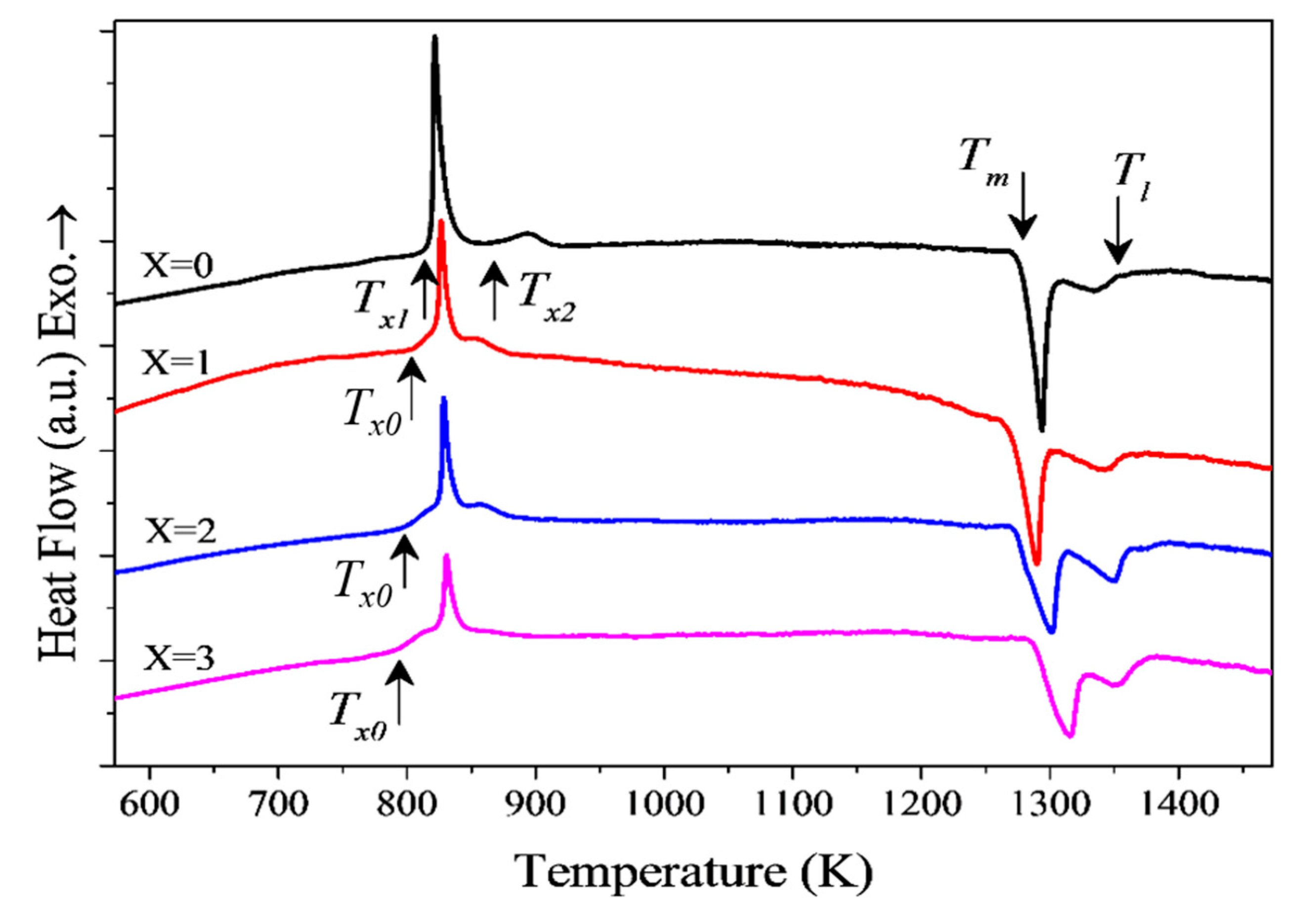
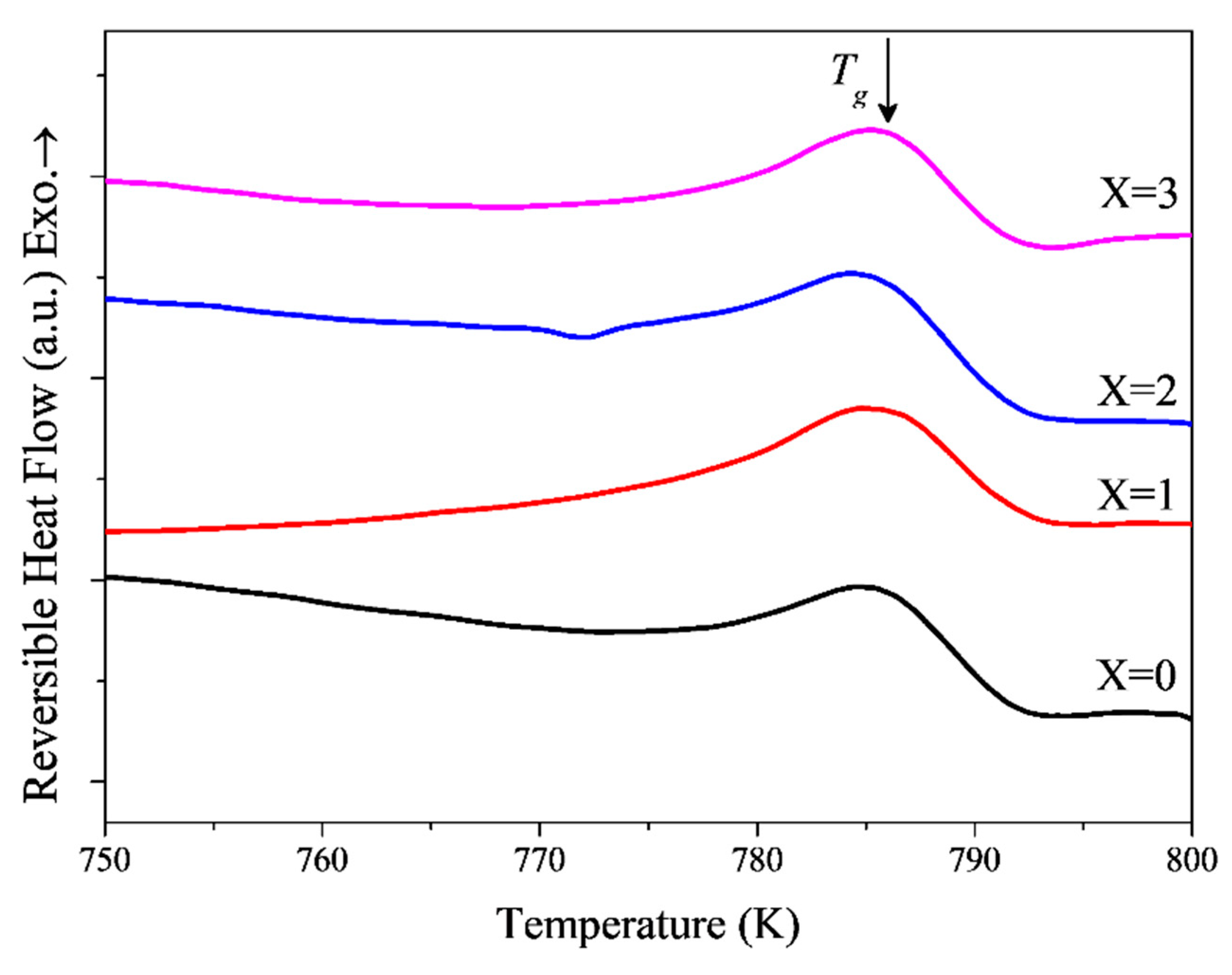
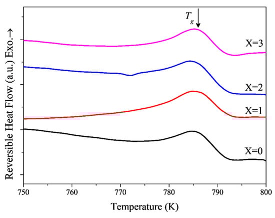
3.1. Thermal and Structural Characterization
3.2. Microstructural Evaluation
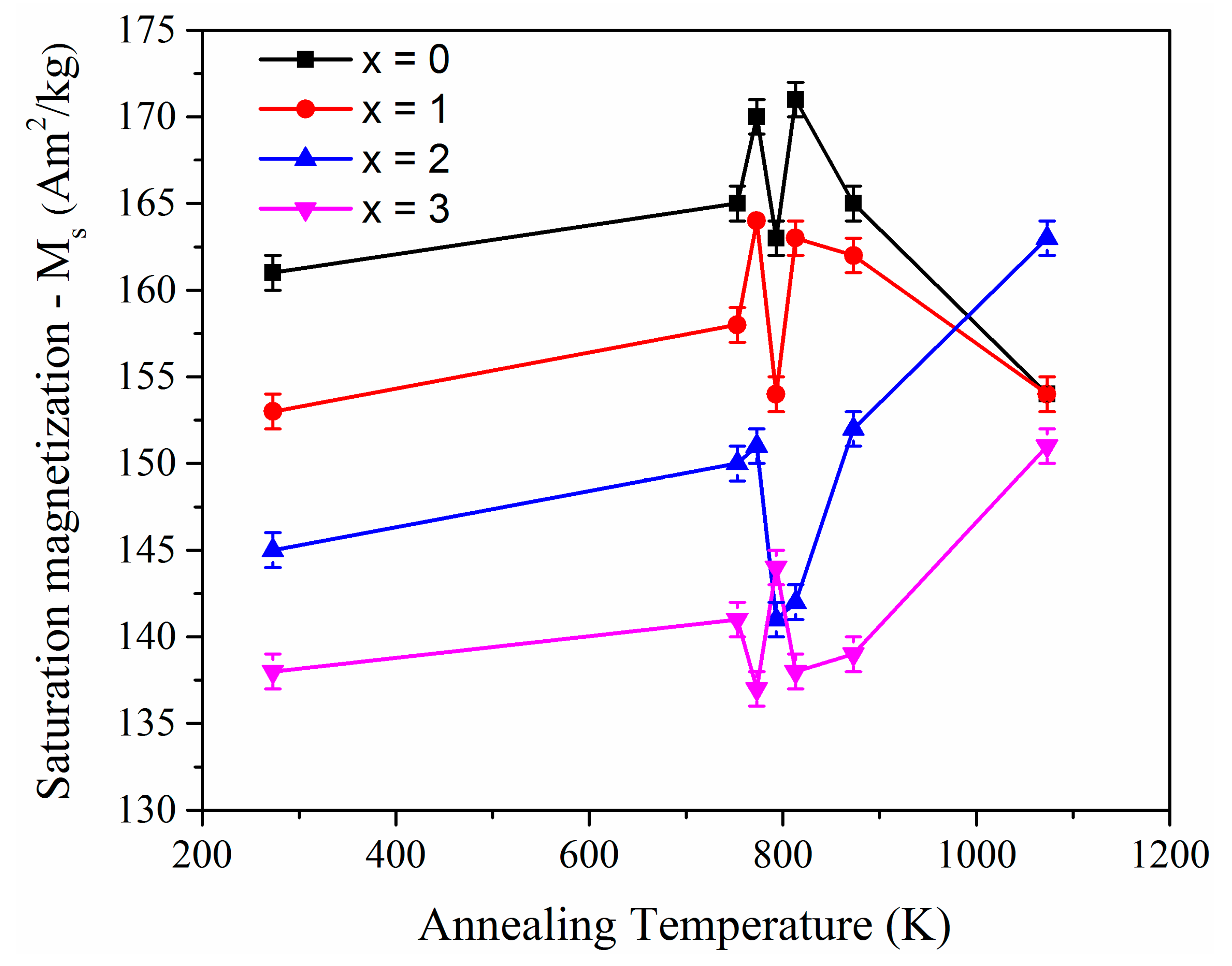
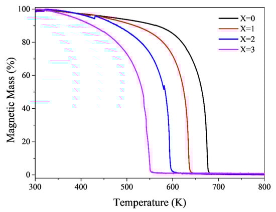
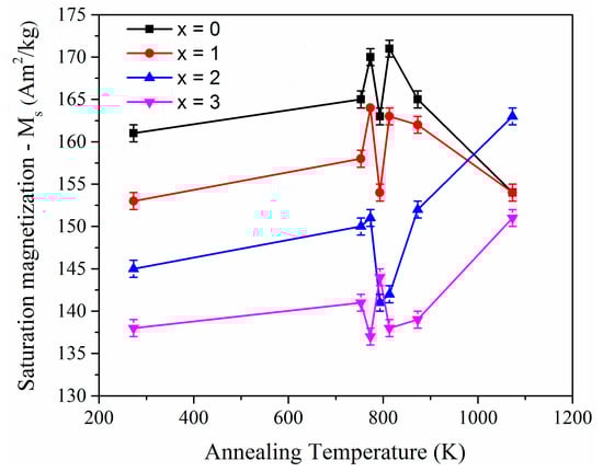
3.3. Magnetic Properties
4. Summary
Supplementary Materials
Author Contributions
Funding
Acknowledgments
Conflicts of Interest
References
- Klement, W.; Willens, R.H.; Duwez, P. Non-crystalline Structure in Solidified Gold-Silicon Alloys. Nature 1960, 187, 869. [Google Scholar] [CrossRef]
- Li, H.X.; Lu, Z.C.; Wang, S.L.; Wu, Y.; Lu, Z.P. Fe-based bulk metallic glasses: Glass formation, fabrication, properties and applications. Prog. Mater. Sci. 2019, 103, 235–318. [Google Scholar] [CrossRef]
- Inoue, A. Bulk Glassy Alloys: Historical Development and Current Research. Engineering 2015, 1, 185–191. [Google Scholar] [CrossRef]
- Ramasamy, P.; Stoica, M.; Bera, S.; Calin, M.; Eckert, J. Effect of replacing Nb with (Mo and Zr) on glass forming ability, magnetic and mechanical properties of FeCoBSiNb bulk metallic glass. J. Alloys Compd. 2017, 707, 78–81. [Google Scholar] [CrossRef]
- Inoue, A.; Shen, B.L. A New Fe-based Bulk Glassy Alloy with Outstanding Mechanical Properties. Adv. Mater. 2004, 16, 2189–2192. [Google Scholar] [CrossRef]
- Gu, X.; McDermott, A.; Poon, S.J.; Shiflet, G.J. Critical Poisson’s ratio for plasticity in Fe–Mo–C–B–Ln bulk amorphous steel. Appl. Phys. Lett. 2006, 88, 211905. [Google Scholar] [CrossRef]
- Jung, H.; Yi, S. Enhanced glass forming ability and soft magnetic properties through an optimum Nb addition to a Fe–C–Si–B–P bulk metallic glass. Intermetallics 2010, 18, 1936–1940. [Google Scholar] [CrossRef]
- Suryanarayana, C.; Inoue, A. Iron-based bulk metallic glasses. Int. Mater. Rev. 2013, 58, 131–166. [Google Scholar] [CrossRef]
- Makino, A.; Kubota, T.; Chang, C.; Makabe, M.; Inoue, A. FeSiBP bulk metallic glasses with unusual combination of high magnetization and high glass-forming ability. Mater. Trans. 2007, 0710160234. [Google Scholar] [CrossRef]
- Makino, A.; Kubota, T.; Makabe, M.; Chang, C.; Inoue, A. FeSiBP metallic glasses with high glass-forming ability and excellent magnetic properties. Mater. Sci. Eng. B 2008, 148, 166–170. [Google Scholar] [CrossRef]
- Takeuchi, A.; Inoue, A. Classification of bulk metallic glasses by atomic size difference, heat of mixing and period of constituent elements and its application to characterization of the main alloying element. Mater. Trans. 2005, 46, 2817–2829. [Google Scholar] [CrossRef]
- Yang, X.; Ma, X.; Li, Q.; Guo, S. The effect of Mo on the glass forming ability, mechanical and magnetic properties of FePC ternary bulk metallic glasses. J. Alloys Compd. 2013, 554, 446–449. [Google Scholar] [CrossRef]
- Jia, X.; Li, Y.; Xie, G.; Qi, T.; Zhang, W. Role of Mo addition on structure and magnetic properties of the Fe85Si2B8P4Cu1 nanocrystalline alloy. J. Non-Crys. Solids 2018, 481, 590–593. [Google Scholar] [CrossRef]
- Liu, F.; Pang, S.; Li, R.; Zhang, T. Ductile Fe–Mo–P–C–B–Si bulk metallic glasses with high saturation magnetization. J. Alloys Compd. 2009, 483, 613–615. [Google Scholar] [CrossRef]
- Li, X.; Qin, C.; Kato, H.; Makino, A.; Inoue, A. Mo microalloying effect on the glass-forming ability, magnetic, mechanical and corrosion properties of (Fe0.76Si0.096B0.084P0.06) 100-xMox bulk glassy alloys. J. Alloys Compd. 2011, 509, 7688–7691. [Google Scholar] [CrossRef]
- Makino, A.; Li, X.; Yubuta, K.; Chang, C.; Kubota, T.; Inoue, A. The effect of Cu on the plasticity of Fe–Si–B–P-based bulk metallic glass. Scripta Mater. 2009, 60, 277–280. [Google Scholar] [CrossRef]
- Li, X.; Kato, H.; Yubuta, K.; Makino, A.; Inoue, A. Effect of Cu on nanocrystallization and plastic properties of FeSiBPCu bulk metallic glasses. Mater. Sci. Eng. A 2010, 527, 2598–2602. [Google Scholar] [CrossRef]
- Li, X.; Makino, A.; Yubuta, K.; Kato, H.; Inoue, A. Mechanical Properties of Soft Magnetic (Fe0.76Si0.096B0.084P0.06)B100-xCux (x = 0 and 0.1) Bulk Glassy Alloys. Mater. Trans. 2009, 50, 1286–1289. [Google Scholar] [CrossRef]
- Zhu, L.; Xia, G.T.; Cao, C.C.; Meng, Y.; Dai, Y.D.; Chen, J.K.; Wang, Y.G. Effect of Mo on nanocrystallization and magnetic properties of Fe83−xB10C6Cu1Mox (x = 0–1.25) soft magnetic alloys. J. Mater. Sci. Mater. Electron. 2018, 29, 1856–1860. [Google Scholar] [CrossRef]
- Brown, M.E. Introduction to Thermal Analysis: Techniques and Applications; Springer Science & Business Media: Berlin, Germany, 2001; Volume 1. [Google Scholar]
- Zhang, J.; Shen, B.; Zhang, Z. Crystallization behaviors of FeSiBPMo bulk metallic glasses. J. Non-Crys. Solids 2013, 360, 31–35. [Google Scholar] [CrossRef]
- Ponnambalam, V.; Poon, S.J.; Shiflet, G.J. Fe-based bulk metallic glasses with diameter thickness larger than one centimeter. J. Mater. Res. 2004, 19, 1320–1323. [Google Scholar] [CrossRef]
- Parthiban, R. Soft Ferromagnetic Bulk Metallic Glasses with Enhanced Mechanical Properties. Ph.D. Thesis, Technical University Dresden, Dresden, Germany, 2017. [Google Scholar]









| Alloy | TC (K) | Tg * (K) | Tx0 (K) | Tx1 (K) | Tp1 (K) | Tm (K) | ΔTx (K) |
|---|---|---|---|---|---|---|---|
| Fe76Si9B10P5 | 677 | 786 | - | 816 | 824 | 1279 | 30 |
| Fe76Si8B10P5Mo1 | 636 | 786 | 808 | - | 830 | 1263 | 22 |
| Fe76Si7B10P5Mo2 | 595 | 786 | 798 | - | 831 | 1273 | 12 |
| Fe76Si6B10P5Mo3 | 550 | 786 | 791 | - | 833 | 1287 | 5 |
© 2020 by the authors. Licensee MDPI, Basel, Switzerland. This article is an open access article distributed under the terms and conditions of the Creative Commons Attribution (CC BY) license (http://creativecommons.org/licenses/by/4.0/).
Share and Cite
Perea, D.; Parra, C.; Ramasamy, P.; Stoica, M.; Eckert, J.; Bolívar, F.; Echeverría, F. Structural and Phase Evolution upon Annealing of Fe76Si9−xB10P5Mox (x = 0, 1, 2 and 3) Alloys. Metals 2020, 10, 881. https://doi.org/10.3390/met10070881
Perea D, Parra C, Ramasamy P, Stoica M, Eckert J, Bolívar F, Echeverría F. Structural and Phase Evolution upon Annealing of Fe76Si9−xB10P5Mox (x = 0, 1, 2 and 3) Alloys. Metals. 2020; 10(7):881. https://doi.org/10.3390/met10070881
Chicago/Turabian StylePerea, Darling, Carolina Parra, Parthiban Ramasamy, Mihai Stoica, Jürgen Eckert, Francisco Bolívar, and Félix Echeverría. 2020. "Structural and Phase Evolution upon Annealing of Fe76Si9−xB10P5Mox (x = 0, 1, 2 and 3) Alloys" Metals 10, no. 7: 881. https://doi.org/10.3390/met10070881
APA StylePerea, D., Parra, C., Ramasamy, P., Stoica, M., Eckert, J., Bolívar, F., & Echeverría, F. (2020). Structural and Phase Evolution upon Annealing of Fe76Si9−xB10P5Mox (x = 0, 1, 2 and 3) Alloys. Metals, 10(7), 881. https://doi.org/10.3390/met10070881

