Abstract
The effects of moderate-intensity continuous training (MICT) and a combination of MICT and high-intensity interval training (HIIT) on rowing performance and VO2peak were investigated in young athletes. Seventeen well-trained rowers (aged 15 ± 1.3 years) were randomly allocated to an intervention (IG) (n = 10) and control group (CG) (n = 7). During 8 weeks, both groups took part in the regular rowing training (3×/week MICT, 70–90 min, 65–70% of HRpeak + 2×/week resistance training). The IG completed an additional high-intensity interval training twice weekly (2 × 4 × 2 min at ≈95% of HRpeak, 60 s rest). Instead of the HIIT, the CG completed two more MICT sessions (70–90 min, 65–70% of HRpeak). Before and after the intervention, a 2000 m time trial and an exercise test were performed. The IG showed a significant improvement (p = 0.001) regarding the absolute rowing time in the graded exercise test. Furthermore, the intervention group showed a significant increase in relative VO2peak (p = 0.023), a significant increase in absolute VO2peak (p = 0.036), and a significant improvement in the 2000 m time trail (p = 0.003). No significant changes could be detected in the CG. The interaction effects were not significant. A mixed-intensity training, including HIIT, was beneficial on rowing performance and VO2peak in highly trained athletes.
1. Introduction
The literature confirms that high-intensity interval training (HIIT) improves performance and aerobic capacity in high-risk patients [1,2], as well as in healthy and endurance-trained athletes [3,4,5]. HIIT produced similar or even superior changes in cardiorespiratory fitness in different populations compared to moderate-intensity continuous training (MICT) despite significantly reduced time commitment [1]. Thus, HIIT seems to be a promising and time-efficient alternative or addition to commonly used MICT, especially in high-volume sports.
Although numerous studies have highlighted the effectiveness of HIIT, and different HIIT protocols are widely used in different sports, some sports are still neglecting this trend.
Rowing training protocols traditionally display a marked emphasis on high training volumes with intensities below the lactate threshold [6,7] despite competing at much higher intensities [8]. Still, little overall focus is placed on higher training intensities, which are considered necessary to develop maximal aerobic power [6]. This may be due in part to the fact that studies evaluating the effects of HIIT in well-trained rowers are sparse. So far, only a few studies have examined the effectiveness of HIIT on endurance performance in this cohort [6,7,9,10].
To the best of our knowledge, controlled studies that included HIIT in the training protocol of junior rowers have not been conducted. However, time-efficient training is particularly convincing for young athletes who must cope with the double burden of school and competitive sports. In addition, children and adolescents seem to have optimal preconditions for HIIT, as they show a higher fatigue resistance and a fast recovery after exercises with high to maximum intensities compared to adults [11,12].
A retrospective study showed that rowers who are internationally successful as seniors tend to do a higher amount of their total endurance exercises at low intensity and very high intensity as juniors compared to their peers [13]. Accordingly, the combination of large amounts of long-distance training and HIIT can represent a best practice model for developing endurance performance, even in young rowers.
Therefore, the present study examined the effects of MICT and a combination of MICT and HIIT on rowing performance and VO2peak in young athletes.
2. Materials and Methods
2.1. Subjects
Seventeen well-trained male rowers (age 15 ± 1.3 years; BMI 22.1 ± 2.6 kg/m2; VO2peak 59.0 ± 3.9 mL/kg/min (Table 1)) who competed at the national and international level were included in the study. All had a training history of 5 to 8 years, were non-smokers, and were free of known injuries and acute or chronic illnesses as assessed by the medical history questionnaire. All athletes and their legal guardians gave written informed consent to participate in the study. The experimental procedures of the study were approved by the institutional research committee (Charité-Universitätsmedizin Berlin, Berlin, Germany, EA2/093/18) and carried out according to international standards [14].
Table 1.
Participants characteristics at baseline.
2.2. Study Design
The study was conducted as a parallel-arm randomized controlled trial. The examinations of the participants took place at baseline (pre) and after (post) an eight-week training period. Following the baseline assessment, the athletes were randomly assigned to an intervention (IG) (n = 10) and a control group (CG) (n = 7). The randomization was carried out by using a computer-generated random number table.
For each participant, the testing procedures (pre and post) were carried out in the same order and at the same time of day on the same day of the week. Specially trained staff performed the tests under standardized conditions. The same examiner obtained the pre- and post-parameters with the same devices. All tests were performed in the same temperature-controlled laboratory (22.5 ± 1 °C).
The athletes reported to the laboratory of the Medical Center Berlin in a rested and fasting state. They were instructed to refrain from caffeinated and alcoholic beverages for at least 4 h prior to measurements.
On the first day, all completed a validated physical activity questionnaire, MoMo-AFB [15,16], to assess habitual physical activity apart from rowing training. Anthropometric measures were taken, and subjects completed a graded exercise test (GXT). On the second day (>48 h later) a 2000 m time trial (TT) was conducted. Both tests were performed on an air-braked rowing ergometer (Concept 2, Model D, Morrisville, VT, USA).
2.3. Incremental Exercise Test
On the first day, the participants completed a GXT until voluntary exhaustion. The test protocol was performed according to the guidelines of the German Rowing Association [17]. After a 5-min warm-up, the GXT began with 150 watts for lightweights (<65 kg) and 200 watts for heavyweights (>65 kg) and a stroke frequency of 18–20 strokes/min. Each stage lasted 4 min and was interspersed by 30 s of rest. After each stage, the workload was increased by 50 watts and 2 strokes/min. Following the fourth stage, the stroke frequency was freely selectable by the athletes. The drag factor was set to 130, as recommended by the Deutscher Ruder-Verband e.V. [17].
Heart rate (HR) was monitored by Polar HR-monitor (Polar Electro OY, Kempele, Finland), and HRpeak was the highest recorded value.
Expired air was continuously analyzed (breath-by-breath) for O2 and CO2 concentrations, using the Metalyzer 3B-R2 (Cortex Biophysik GmbH, Leipzig, Germany). The highest 30 s VO2 value was recorded as VO2peak. Before each test, gas analyzers were calibrated as per the manufacturer’s guidelines with gases of known composition. To calibrate respiratory volume, a 3 L–volume calibration syringe was used.
2.4. Two-Thousand-Meter Time Trial
The TT was performed on the same rowing ergometer as the GXT. The test-retest reliability of 2000 m TT on the Concept II rowing ergometer has previously been examined with well-trained rowers revealing a coefficient of variation of 2.0% [18]. The TT is an integral part of rowing performance monitoring; thus, all subjects were fully familiar with the test. Before the test, the subjects performed a 10-min self-selected warm-up. The time to complete the TT was recorded. The stroke frequency was freely selectable by each subject, and the drag factor was set to 130. To control psychological motivation, no verbal encouragement was given.
2.5. Intervention
The study was conducted during the preparation phase of the yearly training program. The IG and CG participated in the regular rowing training, which consisted of MICT (on a rowing ergometer) for 70–90 min at 65–70% HRpeak (3×/week) and strength training (2×/week). Both groups performed the same strength-training program throughout the intervention period. The training consisted of different exercises for the upper and lower body. Depending on the exercise, 3 or 4 sets of 2–10 repetitions at 70–92% of one-repetition max were performed.
In addition to this regular training, the athletes performed twice a week either an additional HIIT or MICT on a rowing ergometer.
The HIIT started with a 10-min moderate warm-up. Subsequently, 2 blocks of 4 × 2 min were applied at ≈95% of HRpeak interspersed with 1 min of passive rest. Between the 2 blocks, there was a 7-min passive break. The protocol culminated in 10 min of cooling-down (Figure 1). The total duration of the training was 49 min.
Figure 1.
HIIT protocol of the intervention group.
The MICT consisted of 70–90 min ergometer training at an intensity of 65–70% of the HRpeak. All ergometer training sessions were performed on the same device as the GXT. All training sessions were overseen and documented by the two coaches.
2.6. Statistical Analysis
Statistical analysis was performed by using IBM SPSS Statistics v. 25.0 (SPSS, Chicago, IL, USA). Paired samples t-tests were used to compare pre- and post-intervention values within groups. The Levene test was used to check the homogeneity of variance. Analysis of variance was performed to identify differences in the means, and a multiple pair-wise comparison was performed, using Bonferoni correction as a post hoc test. Level of significance was p < 0.05.
3. Results
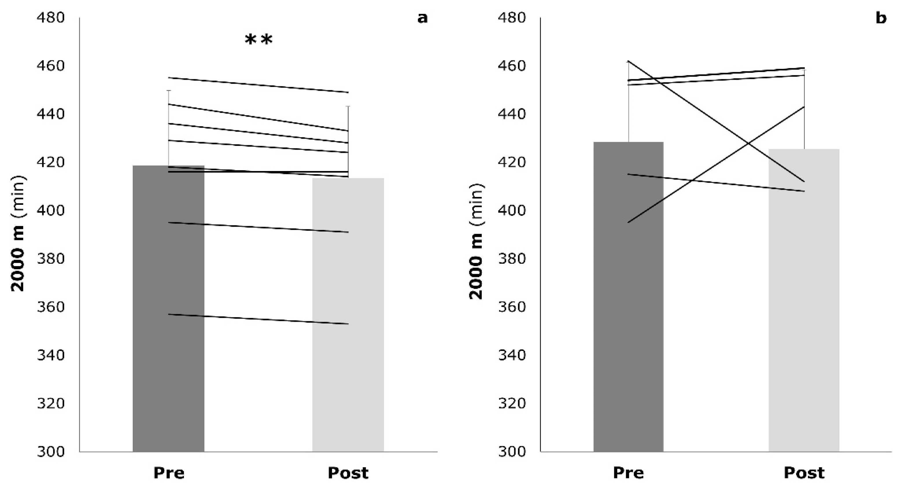
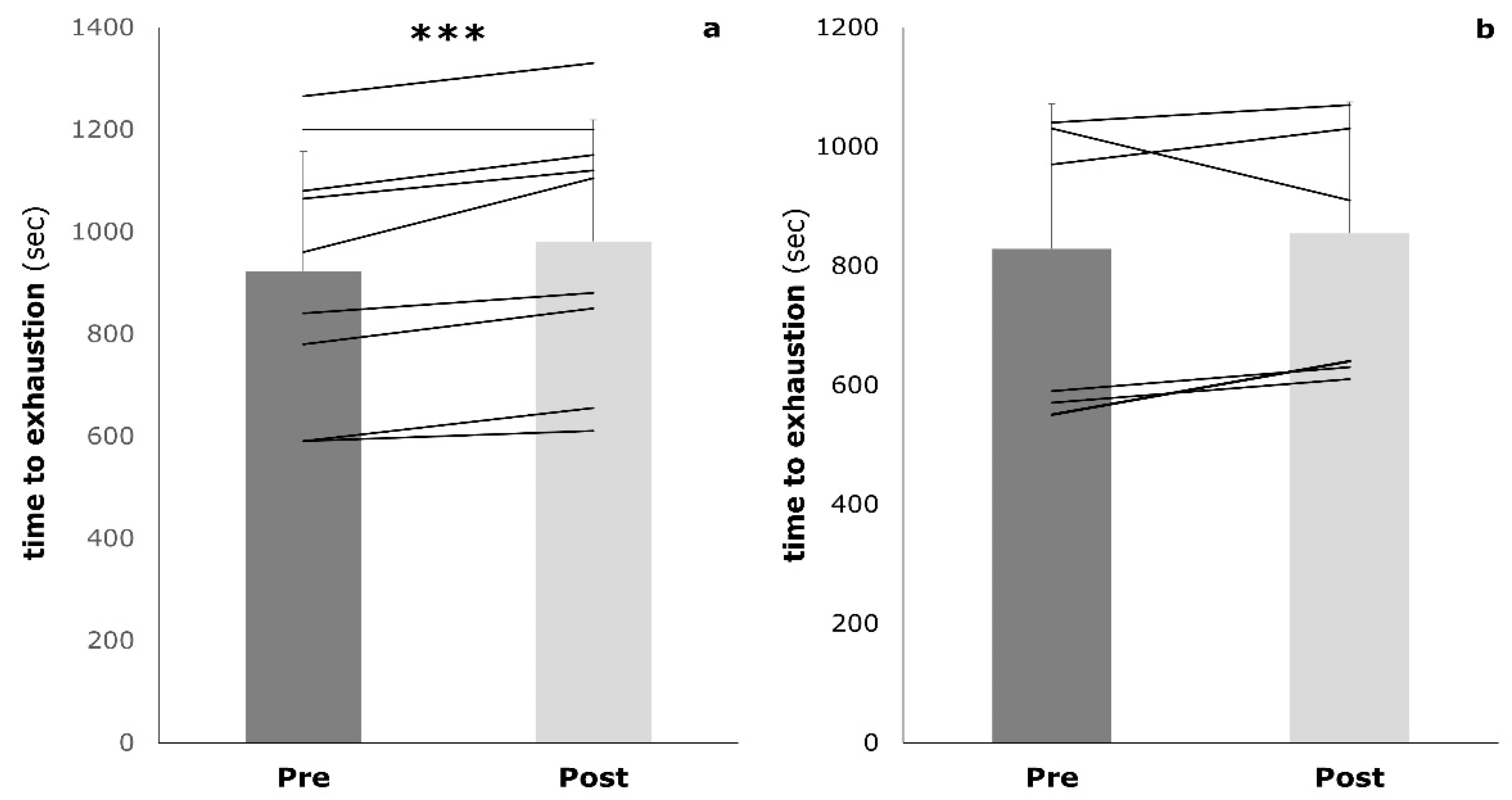
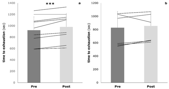
The subjects’ characteristics are presented in Table 1. The IG and the CG did not show any significant differences at baseline. During the intervention period, participants reported no significant changes in physical activity (pre: 16.3 ± 2.5 h/week vs. post: 16.6 ± 3.4 h/week). After the intervention, the IG showed a significant improvement in 2000 m TT (−5.3 ± 3.2 s, p = 0.003), whereas the CG showed no significant changes (−3.0 ± 3.5 s, p = 0.091) (Figure 2). The interaction effects between IG and CG were not significant (p = 0.239). The athletes of both groups improved their time to exhaustion in the GXT. However, only the mixed training was associated with a significant improvement (IG: +58.0 ± 38.2 s, p = 0.001; CG: +25.7 ± 67.3 s, p = 0.351) (Figure 3). Again, the interaction effects were not significant (p = 0.226).
Figure 2.
Two-thousand-meter time trial performance at baseline (pre) and post-training (post) in both the intervention group (a) and the control group (b). Values are mean ± SD; ** p < 0.01.
Figure 3.
Time to exhaustion during the graded exercise test at baseline (pre) and post-training (post) in both the intervention group (a) and the control group (b); *** p < 0.001.
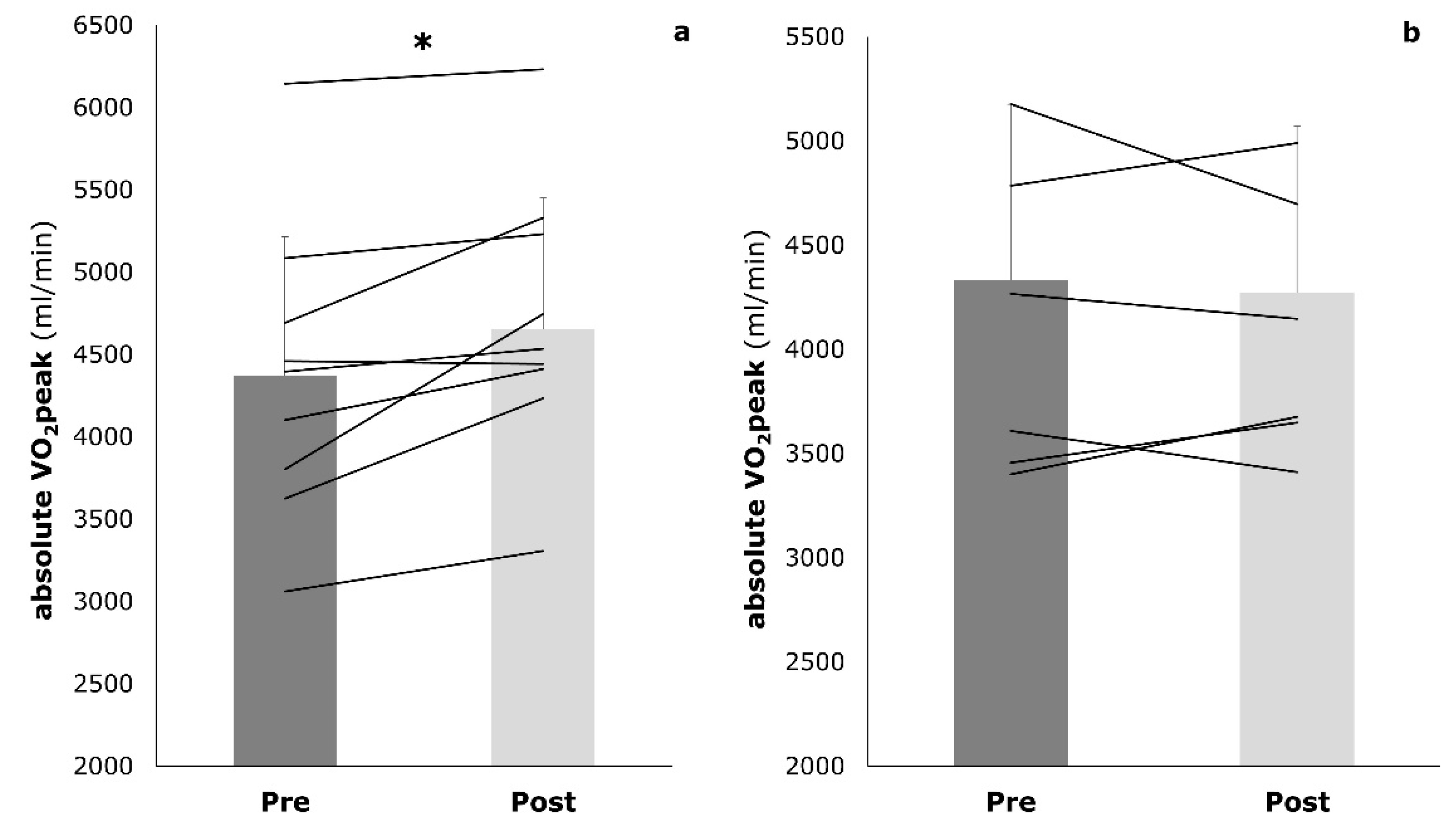
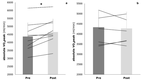
The IG showed a significant increase in absolute VO2peak compared to the initial examination (4371.30 ± 845.5 mL/min to 4651.7 ± 799.7 mL/min, p = 0.036). In the CG, there was a slight but not significant decrease in absolute VO2peak after the intervention (4331.6 ± 890.2 mL/min to 4271.3 ± 743.9 mL/min, p = 0.601) (Figure 4). The interaction effects approached statistical significance (p = 0.056).
Figure 4.
Absolute VO2peak (mL/min) at baseline (pre) and post-training (post) in both the intervention group (a) and the control group (b); * p < 0.05.
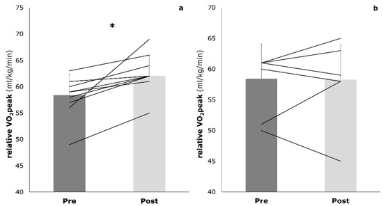
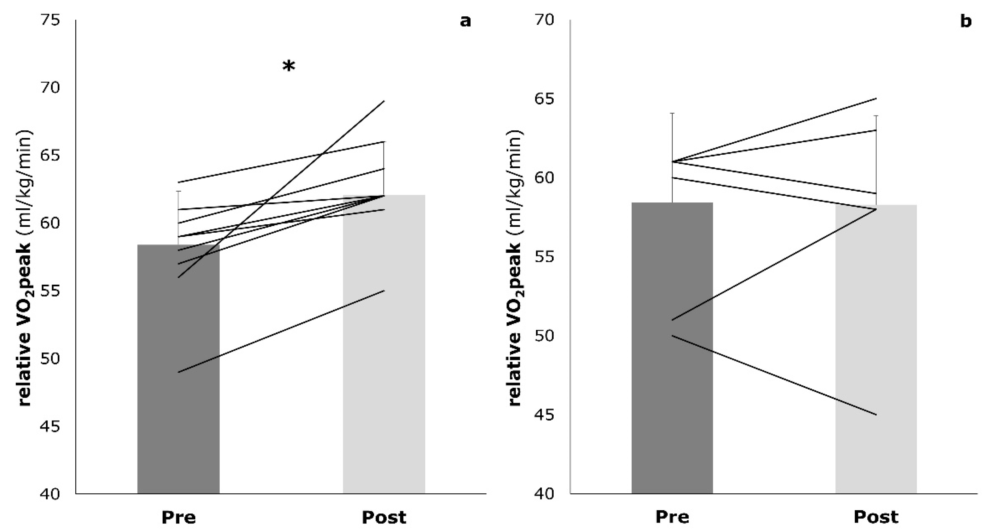
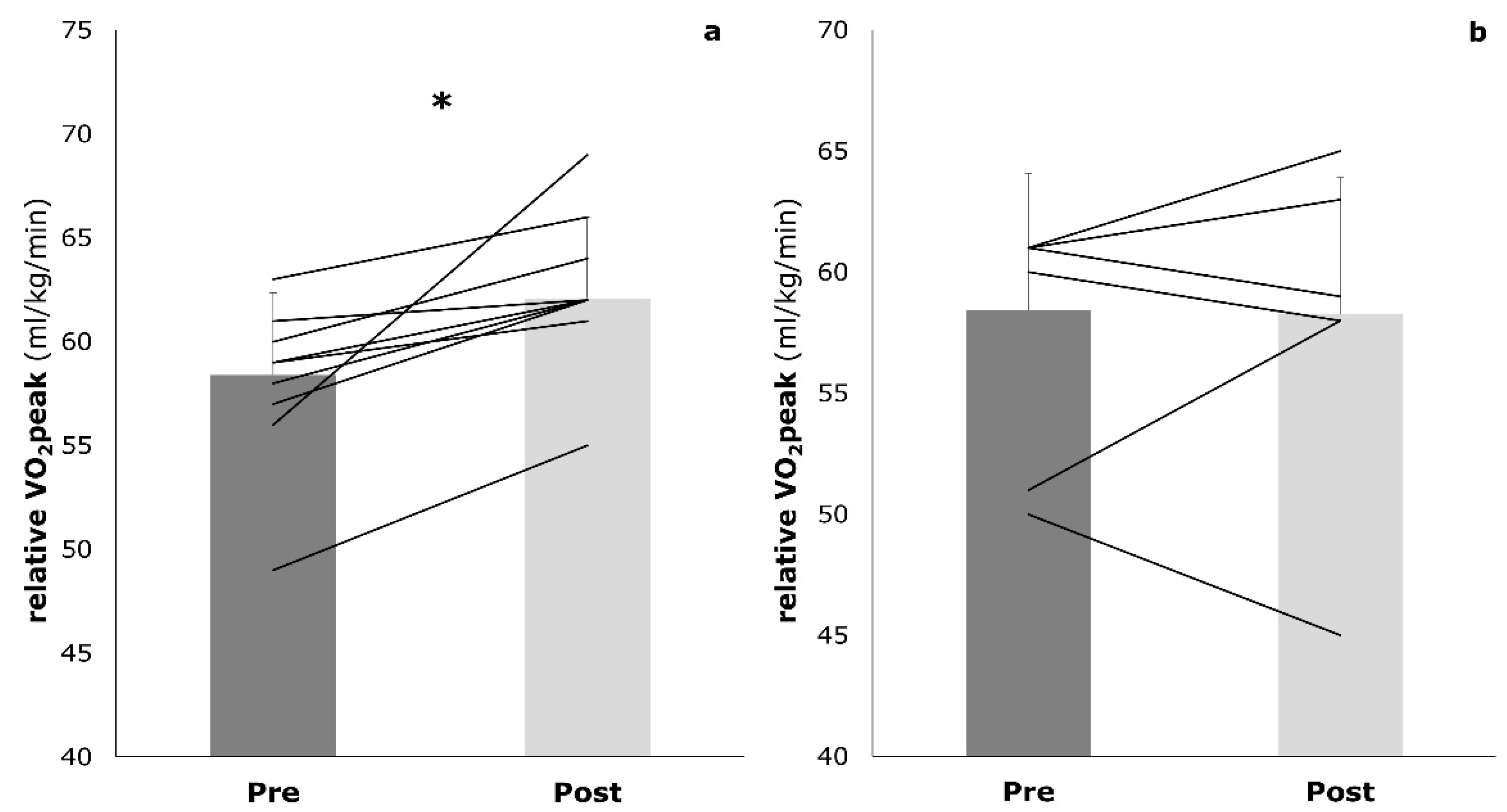
The mixed training was associated with a significant increase in relative VO2peak (58.4 ± 3.9 mL/kg/min to 62.1 ± 3.9 mL/kg/min, p = 0.023). No significant changes were detected for the CG (58.4 ± 5.7 mL/kg/min to 58.3 ± 6.4 mL/kg/min, p = 0.937) (Figure 5). The interaction effects did not reach statistical significance (p = 0.097).
Figure 5.
Relative VO2peak (mL/kg/min) at baseline (pre) and post-training (post) in both the intervention group (a) and the control group (b); * p < 0.05.
4. Discussion
The data showed that well-trained young elite rowers achieved an advantage in the development of endurance performance by implementing HIIT in the regular training program.
The 2000 m TT performance, the relative and absolute VO2peak, and the performance in the GXT were significantly improved in the already well-trained athletes. In contrast, there was no significant change in the CG. The interaction effects for relative and absolute VO2peak were marginally significant.
Thus, HIIT presents an effective and time-efficient complement to conventional MICT in rowers.
This is in accordance with other studies in well-trained athletes with similar or superior effects of HIIT on endurance performance and VO2peak [3,5,19]. The research of HIIT on performance in elite rowers is limited.
In a 4-week crossover design, in well-trained rowers, HIIT induced greater improvements in 2000 m TT and relative VO2peak than the traditional rowing training in the control group [9]. Contrary to our study, where the IG conducted a mixed training, the HIIT group in the study by Diller et al. [9] exclusively participated in a HIIT program throughout the intervention period. This could possibly explain the stronger interaction effects compared to our study.
Like the present study, others have assessed the effects of replacing a part of the endurance-based program with HIIT sessions. Similar to our results, Ni Chèilleachair [6] showed greater improvements in the 2000 m TT performance and VO2peak in the mixed-intensity training group compared to the MICT group.
Ingham et al. [10], on the other hand, found no differences between a mixed-intensity protocol and a low-intensity protocol on 2000 m TT and VO2peak.
This is in line with the results from Stevens et al. [7], who compared a combined sprint interval training and endurance training protocol with an endurance-only protocol in trained rowers (aged 18–21 years). The authors found improvements in the 2000 m TT and peak power output in the HIIT group. However, neither group experienced any change in VO2peak, which the authors attribute to the fact that the regular training of the sample involved a large percentage of high-intensity exercise. Thus, the athletes could already have been accustomed to this kind of stimulus. The athletes in our study mainly performed MICT in their regular training. Therefore, the HIIT may have provided a more novel exercise stimulus for these athletes, consequently eliciting further performance improvements.
Even though the literature on HIIT in well-trained rowers confirms our results, it should be noted that, in previous studies, only adults were recruited. Unfortunately, the effects of HIIT in children and adolescents have been less studied than in adults. Most studies of HIIT in children and adolescents focus on cardio–respiratory fitness and health-related parameters in untrained or obese people [20,21]. The literature on young, trained athletes is rare. However, some studies in young athletes show an increase in VO2peak [22,23] in connection with HIIT. In young competitive swimmers, a 5-week HIIT resulted in an increase in VO2peak comparable to continuous training, with the training time for HIIT being only half as long as for MICT [24]. A recent review has analyzed various adaptations of HIIT exclusively in young athletes [25]. HIIT did not show any clear superiority in VO2peak compared to alternative training protocols. HIIT showed small mean effect sizes but a considerably higher percentage increase of VO2peak compared to alternative training programs, as well as small and large mean effect sizes on relevant aerobic and anaerobic performance parameters. Unfortunately, no studies have been carried out on young and well-trained rowers.
The mechanisms that are discussed regarding the effectiveness of HIIT are diverse. Regardless of the shorter training duration, various studies have shown similar reactions of the skeletal muscles after HIIT and MICT [26].
It is assumed that the training adjustments through HIIT and MICT trigger different intracellular stimuli (activation of AMP protein kinase, CaM kinase II, and p38-MAPkinase) but ultimately lead to the same metabolic cascades [27]. However, the improvements in performance seem to be mainly explained by the central oxygen supply and adaptations of the cardiovascular system and less by adaptations of the peripheral mechanisms [28]. The stronger effect of HIIT on the maximum oxygen uptake results from a larger left ventricular diastolic filling and thus a larger stroke volume due to a higher work rate and a longer exposure time close to VO2max [29,30]. This seems to be the case, in particular, in children and adolescents, in whom changes in VO2max are mainly due to an increased stroke volume due to an increased preload, a decreased afterload, and an enlarged heart [31].
This study complements the sparse literature on the effects of HIIT in young athletes. HIIT seems to be a time-efficient and appropriate training tool for enhancing aerobic performance. The inclusion of HIIT in the training program for young rowers appears very promising, as the demands of rowing at a high level require a considerable amount of time. In this regard, HIIT could be a suitable training method to improve endurance- parameters and leave enough time to improve sport-specific skills. By including HIIT in their training routine, athletes have the opportunity to train at the intensity levels they are competing at. Not only does this improve physical performance, but it can also affect technical skills, especially at the racing pace. This assumption is support by a recent study from Papandreou et al. [19]. They compared different physiological and performance variables after 8 weeks of MICT or HIIT in flat water kayak athletes. The authors could show that HIIT was more effective than MICT in improved paddling economy speed [19].
Especially for traditionally trained rowers who have mainly adapted to MICT, HIIT can offer a new type of exercise stimulus that could lead to further improvements in performance. Since HIIT is infinitely variable (intensity, duration, number of intervals, duration, and activity pattern during recovery), it can help modify the training stimuli throughout the season and promote ongoing adaptation.
Anecdotally, the participants in the HIIT group reported that the HIIT was more enjoyable than the MICT. This is supported by survey results from Kilpatrick [32] and highlights the potential of HIIT to increase motivation.
Our study gained meaningful insight into the benefits of HIIT for coaches and for future intervention studies in rowers. However, further research is warranted to optimize the HIIT protocol for well-trained young rowers, with regards to the manipulation of training variables (frequency, intensity, duration, recovery, etc.) and the organization with other training contents.
Limitations
When interpreting these results, certain limitations must be considered. First, the sample size was relatively small. A larger sample size with a more homogeneous group can be beneficial. Second, accelerometry was not used to monitor everyday activities. However, physical activity questionnaires were used, and training protocols analyzed that showed no changes in either IG or CG. Moreover, well-trained, high-volume athletes are not expected to change physical activity during a training cycle. Third, we did not access recovery stress states during the intervention. It could be argued that HIIT could lead to early signs of fatigue and overtraining and thus reduce the effects. Analysis of recovery-stress states during HIIT interventions, using psychological and physiological methods, would be advisable in assessing the effects of HIIT.
In addition, one could argue that a ramp-wise incremental rowing GXT is superior for determining VO2peak. However, we opted for the typical stepwise test recommended by the German Rowing Association, and to which the athletes were used.
5. Conclusions
The inclusion of HIIT in the training program of well-trained young elite rowers increases endurance performance and aerobic capacity. According to the results, HIIT offers a time-efficient and suitable training tool for improving aerobic performance in young elite rowers.
Author Contributions
Conceptualization, R.G.K. and S.K.; methodology, R.G.K. and T.K.; formal analysis, T.K.; investigation, T.K. and S.K.; data curation, T.K. and S.K.; writing—original draft preparation, T.K.; writing—review and editing, T.K., S.K. and R.G.K.; visualization, T.K.; supervision, R.G.K. All authors have read and agreed to the published version of the manuscript.
Funding
This research received no external funding.
Institutional Review Board Statement
The study was conducted according to the guidelines of the Declaration of Helsinki and approved by the ethics committee of the Charité-Universitätsmedizin Berlin (05.30.2018, reference code: EA2/093/18).
Informed Consent Statement
Informed consent was obtained from all subjects (and their legal guardians) involved in the study.
Data Availability Statement
The data presented in this study are available on request from the corresponding author.
Acknowledgments
The authors would like to thank all athletes and their parents without whom this study would not have been possible. Furthermore, we would like to thank the Medical Center Berlin (MCB) for the opportunity to use their medical equipment and Adrian Bretting for the implementation of the intervention program.
Conflicts of Interest
The authors declare no conflict of interest.
References
- Batacan, R.B., Jr.; Duncan, M.J.; Dalbo, V.J.; Tucker, P.S.; Fenning, A.S. Effects of high-intensity interval training on cardiometabolic health: A systematic review and meta-analysis of intervention studies. Br. J. Sports Med. 2017, 51, 494–503. [Google Scholar] [CrossRef] [PubMed]
- Weston, K.S.; Wisløff, U.; Coombes, J.S. High-intensity interval training in patients with lifestyle-induced cardiometabolic disease: A systematic review and meta-analysis. Br. J. Sports Med. 2014, 48, 1227–1234. [Google Scholar] [CrossRef] [PubMed]
- Kilen, A.; Larsson, T.H.; Jørgensen, M.; Johansen, L.; Jørgensen, S.; Nordsborg, N.B. Effects of 12 Weeks High-Intensity & Reduced-Volume Training in Elite Athletes. PLoS ONE 2014, 9, e95025. [Google Scholar] [CrossRef]
- Milanović, Z.; Sporiš, G.; Weston, M. Effectiveness of High-Intensity Interval Training (HIT) and Continuous Endurance Training for VO2max Improvements: A Systematic Review and Meta-Analysis of Controlled Trials. Sports Med. 2015, 45, 1469–1481. [Google Scholar] [CrossRef] [PubMed]
- Purkhús, E.; Krustrup, P.; Mohr, M. High-Intensity Training Improves Exercise Performance in Elite Women Volleyball Players During a Competitive Season. J. Strength Cond. Res. 2016, 30, 3066–3072. [Google Scholar] [CrossRef] [PubMed]
- Chéilleachair, N.N.; Harrison, A.J.; Warrington, G.D. HIIT enhances endurance performance and aerobic characteristics more than high-volume training in trained rowers. J. Sports Sci. 2016, 35, 1052–1058. [Google Scholar] [CrossRef]
- Stevens, A.W.; Olver, T.T.; Lemon, P.W. Incorporating Sprint Training With Endurance Training Improves Anaerobic Capacity and 2000-m Erg Performance in Trained Oarsmen. J. Strength Cond. Res. 2015, 29, 22–28. [Google Scholar] [CrossRef] [PubMed]
- Esteve-Lanao, J.; Foster, C.; Seiler, S.; Lucia, A. Impact of Training Intensity Distribution on Performance in Endurance Athletes. J. Strength Cond. Res. 2007, 21, 943–949. [Google Scholar] [CrossRef] [PubMed]
- Driller, M.W.; Fell, J.W.; Gregory, J.R.; Shing, C.M.; Williams, A.D. The Effects of High-Intensity Interval Training in Well-Trained Rowers. Int. J. Sports Physiol. Perform. 2009, 4, 110–121. [Google Scholar] [CrossRef] [Green Version]
- Ingham, S.A.; Carter, H.; Whyte, G.P.; Doust, J.H. Physiological and Performance Effects of Low- versus Mixed-Intensity Rowing Training. Med. Sci. Sports Exerc. 2008, 40, 579–584. [Google Scholar] [CrossRef]
- Birat, A.; Bourdier, P.; Piponnier, E.; Blazevich, A.J.; Maciejewski, H.; Duché, P.; Ratel, S. Metabolic and Fatigue Profiles Are Comparable Between Prepubertal Children and Well-Trained Adult Endurance Athletes. Front. Physiol. 2018, 9, 387. [Google Scholar] [CrossRef] [PubMed] [Green Version]
- Hebestreit, H.; Mimura, K.; Bar-Or, O. Recovery of muscle power after high-intensity short-term exercise: Comparing boys and men. J. Appl. Physiol. 1993, 74, 2875–2880. [Google Scholar] [CrossRef] [PubMed]
- Guellich, A.; Seiler, S.; Emrich, E.; Arne, G.; Stephen, S.; Eike, E. Training Methods and Intensity Distribution of Young World-Class Rowers. Int. J. Sports Physiol. Perform. 2009, 4, 448–460. [Google Scholar] [CrossRef]
- Harriss, D.; Macsween, A.; Atkinson, G. Ethical Standards in Sport and Exercise Science Research: 2020 Update. Int. J. Sports Med. 2019, 40, 813–817. [Google Scholar] [CrossRef] [Green Version]
- Arvidsson, D.; Slinde, F.; Larsson, S.; Hulthèn, L. Energy cost of physical activities in children: Validation of Sense Wear Armband. Med. Sci. Sports Exerc. 2007, 39, 2076–2084. [Google Scholar] [CrossRef]
- Jekauc, D.; Wagner, M.O.; Kahlert, D.; Woll, A. Reliabilität und Validität des MoMo- Aktivitätsfragebogens für Jugendliche (MoMo-AFB). Diagnostica 2013, 59, 100–111. [Google Scholar] [CrossRef] [Green Version]
- Deutscher Ruderverband e.V. (Ed.) Trainingsmethodische Grundkonzeption; DRV: Hannover, Germany, 2014; pp. 44–47. [Google Scholar]
- Schabort, E.J.; Hawley, J.A.; Hopkins, W.G.; Blum, H. High reliability of performance of well-trained rowers on a rowing ergometer. J. Sports Sci. 1999, 17, 627–632. [Google Scholar] [CrossRef] [PubMed]
- Papandreou, A.; Philippou, A.; Zacharogiannis, E.; Maridaki, M. Physiological Adaptations to High-Intensity Interval and Continuous Training in Kayak Athletes. J. Strength Cond. Res. 2020, 34, 2258–2266. [Google Scholar] [CrossRef] [PubMed]
- Eddolls, W.T.B.; McNarry, M.A.; Stratton, G.; Winn, C.O.N.; Mackintosh, K.A. High-Intensity Interval Training Interventions in Children and Adolescents: A Systematic Review. Sports Med. 2017, 47, 2363–2374. [Google Scholar] [CrossRef] [PubMed] [Green Version]
- García-Hermoso, A.; Cerrillo-Urbina, A.J.; Herrera-Valenzuela, T.; Cristi-Montero, C.; Saavedra, J.M.; Martínez-Vizcaíno, V. Is high-intensity interval training more effective on improving cardiometabolic risk and aerobic capacity than other forms of exercise in overweight and obese youth? A meta-analysis. Obes. Rev. 2016, 17, 531–540. [Google Scholar] [CrossRef]
- Fernández-Fernandez, J.; Sanz-Rivas, D.; Sarabia, J.; Moya, M. Preseason Training: The Effects of a 17-Day High-Intensity Shock Microcycle in Elite Tennis Players. J. Sports Sci. Med. 2015, 14, 783–791. [Google Scholar] [PubMed]
- Harrison, C.B.; Kinugasa, T.; Gill, N.; Kilding, A.E. Aerobic Fitness for Young Athletes: Combining Game-based and High-intensity Interval Training. Int. J. Sports Med. 2015, 36, 929–934. [Google Scholar] [CrossRef] [PubMed]
- Sperlich, B.; Zinner, C.; Heilemann, I.; Kjendlie, P.-L.; Holmberg, H.-C.; Mester, J. High-intensity interval training improves VO2peak, maximal lactate accumulation, time trial and competition performance in 9–11-year-old swimmers. Graefe’s Arch. Clin. Exp. Ophthalmol. 2010, 110, 1029–1036. [Google Scholar] [CrossRef] [PubMed] [Green Version]
- Engel, F.A.; Ackermann, A.; Chtourou, H.; Sperlich, B. High-Intensity Interval Training Performed by Young Athletes: A Systematic Review and Meta-Analysis. Front. Physiol. 2018, 9, 1012. [Google Scholar] [CrossRef] [PubMed] [Green Version]
- Gibala, M.J.; McGee, S.L. Metabolic adaptations to short-term high-intensity interval training: A little pain for a lot of gain? Exerc. Sport Sci. Rev. 2008, 36, 58–63. [Google Scholar] [CrossRef]
- Gibala, M.J.; Little, J.P.; MacDonald, M.J.; Hawley, J.A. Physiological adaptations to low-volume, high-intensity interval training in health and disease. J. Physiol. 2012, 590, 1077–1084. [Google Scholar] [CrossRef]
- Burgomaster, K.A.; Howarth, K.R.; Phillips, S.M.; Rakobowchuk, M.; Macdonald, M.J.; McGee, S.L.; Gibala, M.J. Similar metabolic adaptations during exercise after low volume sprint interval and traditional endurance training in humans. J. Physiol. 2008, 586, 151–160. [Google Scholar] [CrossRef]
- Astorino, T.A.; Allen, R.P.; Roberson, D.W.; Jurancich, M. Effect of High-Intensity Interval Training on Cardiovascular Function, Vo2max, and Muscular Force. J. Strength Cond. Res. 2012, 26, 138–145. [Google Scholar] [CrossRef]
- Lepretre, P.M.; Koralsztein, J.P.; Billat, V.L. Effect of exercise intensity on relationship between VO2max. and cardiac output. Med. Sci. Sports Exerc. 2004, 36, 1357–1363. [Google Scholar] [CrossRef] [PubMed] [Green Version]
- Nottin, S.; Vinet, A.; Stecken, F.; N’Guyen, L.-D.; Ounissi, F.; Lecoq, A.-M.; Obert, P. Central and peripheral cardiovascular adaptations to exercise in endurance-trained children. Acta Physiol. Scand. 2002, 175, 85–92. [Google Scholar] [CrossRef]
- Kilpatrick, M.W.; Greeley, S.J.; Collins, L.H. The Impact of Continuous and Interval Cycle Exercise on Affect and Enjoyment. Res. Q. Exerc. Sport 2015, 86, 1–8. [Google Scholar] [CrossRef] [PubMed]
Publisher’s Note: MDPI stays neutral with regard to jurisdictional claims in published maps and institutional affiliations. |
© 2021 by the authors. Licensee MDPI, Basel, Switzerland. This article is an open access article distributed under the terms and conditions of the Creative Commons Attribution (CC BY) license (https://creativecommons.org/licenses/by/4.0/).




