Family-Level Diversity of Hymenopteran Parasitoid Communities in Agricultural Drainage Ditches and Implications for Biological Control
Simple Summary
Abstract
1. Introduction
2. Materials and Methods
2.1. Study Area
2.2. Sampling
2.3. Analysis
3. Results
3.1. Agricultural Drainage Ditch Characteristics and Parasitoid Communities Within Ditches
3.1.1. Community Composition and Overall Abundance
3.1.2. Common Families in Ditches
3.2. Relation Between Ditch and Adjacent Crop Habitat
3.2.1. Community Composition
3.2.2. Common Families in Ditches and Adjacent Crops
3.2.3. Temporal Differences
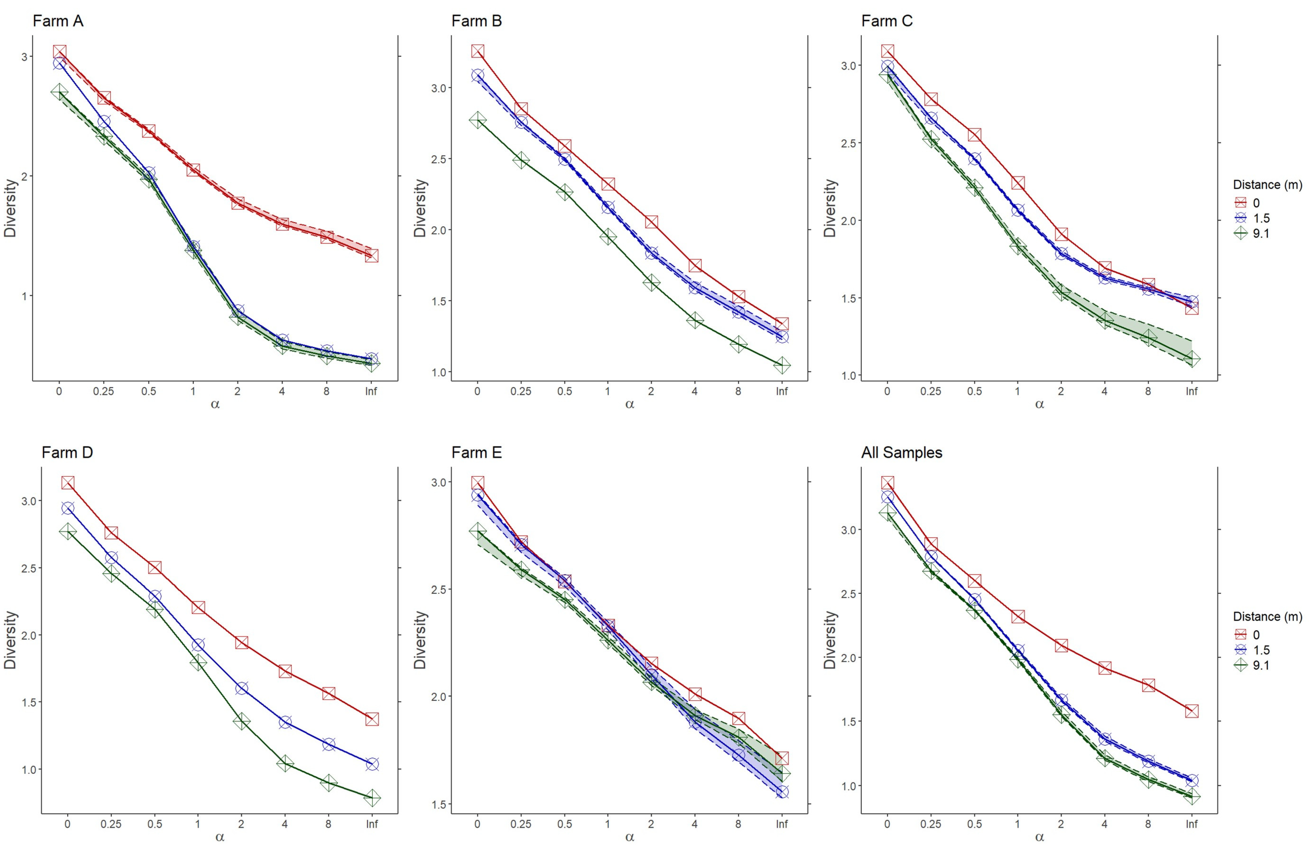
3.2.4. Diversity Profiles
4. Discussion
Supplementary Materials
Author Contributions
Funding
Data Availability Statement
Acknowledgments
Conflicts of Interest
References
- USDA. Farms and Land in Farms 2022 Summary 02/17/2023; US Department of Agriculture: Washington, DC, USA, 2022.
- Wagner, D.L. Insect Declines in the Anthropocene. Annu. Rev. Entomol. 2020, 65, 457–480. [Google Scholar] [CrossRef]
- Pak, D.; Iverson, A.L.; Ennis, K.K.; Gonthier, D.J.; Vandermeer, J.H. Parasitoid wasps benefit from shade tree size and landscape complexity in Mexican coffee agroecosystems. Agric. Ecosyst. Environ. 2015, 206, 21–32. [Google Scholar] [CrossRef]
- Kremen, C.; Miles, A. Ecosystem Services in Biologically Diversified versus Conventional Farming Systems: Benefits, Externalities, and Trade-Offs. Ecol. Soc. 2012, 17, art40. [Google Scholar] [CrossRef]
- Creamer, R.E.; Hannula, S.E.; Leeuwen, J.P.V.; Stone, D.; Rutgers, M.; Schmelz, R.M.; de Ruiter, P.C.; Hendriksen, N.B.; Bolger, T.; Bouffaud, M.L.; et al. Ecological network analysis reveals the inter-connection between soil biodiversity and ecosystem function as affected by land use across Europe. Appl. Soil Ecol. 2016, 97, 112–124. [Google Scholar] [CrossRef]
- Tsiafouli, M.A.; Thébault, E.; Sgardelis, S.P.; De Ruiter, P.C.; Van Der Putten, W.H.; Birkhofer, K.; Hemerik, L.; De Vries, F.T.; Bardgett, R.D.; Brady, M.V.; et al. Intensive agriculture reduces soil biodiversity across Europe. Glob. Chang. Biol. 2015, 21, 973–985. [Google Scholar] [CrossRef]
- Tilman, D.; Cassman, K.G.; Matson, P.A.; Naylor, R.; Polasky, S. Agricultural sustainability and intensive production practices. Nature 2002, 418, 671–677. [Google Scholar] [CrossRef] [PubMed]
- Bommarco, R.; Kleijn, D.; Potts, S.G. Ecological intensification: Harnessing ecosystem services for food security. Trends Ecol. Evol. 2013, 28, 230–238. [Google Scholar] [CrossRef] [PubMed]
- Ganser, D.; Knop, E.; Albrecht, M. Sown wildflower strips as overwintering habitat for arthropods: Effective measure or ecological trap? Agric. Ecosyst. Environ. 2019, 275, 123–131. [Google Scholar] [CrossRef]
- Blaauw, B.R.; Isaacs, R. Wildflower plantings enhance the abundance of natural enemies and their services in adjacent blueberry fields. Biol. Control 2015, 91, 94–103. [Google Scholar] [CrossRef]
- Ramsden, M.W.; Menéndez, R.; Leather, S.R.; Wäckers, F. Optimizing field margins for biocontrol services: The relative role of aphid abundance, annual floral resources, and overwinter habitat in enhancing aphid natural enemies. Agric. Ecosyst. Environ. 2015, 199, 94–104. [Google Scholar] [CrossRef]
- Pfiffner, L.; Luka, H. Overwintering of arthropods in soils of arable fields and adjacent semi-natural habitats. Agric. Ecosyst. Environ. 2000, 78, 215–222. [Google Scholar] [CrossRef]
- Needelman, B.A.; Kleinman, P.J.A.; Strock, J.S.; Allen, A.L. Drainage Ditches: Improved management of agricultural drainage ditches for water quality protection: An overview. J. Soil Water Conserv. 2007, 62, 171–178. [Google Scholar]
- Herzon, I.; Helenius, J. Agricultural drainage ditches, their biological importance and functioning. Biol. Conserv. 2008, 141, 1171–1183. [Google Scholar] [CrossRef]
- Dollinger, J.; Dagès, C.; Bailly, J.-S.; Lagacherie, P.; Voltz, M. Managing ditches for agroecological engineering of landscape. A review. Agron. Sustain. Dev. 2015, 35, 999–1020. [Google Scholar] [CrossRef]
- Liu, H.; Mottern, J. An Old Remedy for a New Problem? Identification of Ooencyrtus kuvanae (Hymenoptera: Encyrtidae), an Egg Parasitoid of Lycorma delicatula (Hemiptera: Fulgoridae) in North America. J. Insect Sci. 2017, 17, 18. [Google Scholar] [CrossRef] [PubMed]
- Messing, R.; Brodeur, J. Current Challenges to the Implementation of Classical Biological Control. BioControl 2018, 63, 1–9. [Google Scholar] [CrossRef]
- van Lenteren, J.C. The State of Commercial Augmentative Biological Control: Plenty of Natural Enemies, but a Frustrating Lack of Uptake. BioControl 2012, 57, 1–20. [Google Scholar] [CrossRef]
- Macfadyen, S.; Craze, P.G.; Polaszek, A.; Van Achterberg, K.; Memmott, J. Parasitoid diversity reduces the variability in pest control services across time on farms. Proc. R. Soc. B 2011, 278, 3387–3394. [Google Scholar] [CrossRef]
- Corbett, A.; Murphy, B.C.; Rosenheim, J.A.; Bruins, P. Labeling an Egg Parasitoid, Anagrus epos (Hymenoptera: Mymaridae), with Rubidium within an Overwintering Refuge. Environ. Entomol. 1996, 25, 29–38. [Google Scholar] [CrossRef]
- Al-Ghamdi, K.M.; Stewart, R.K.; Boivin, G. Note On Overwintering Of Polynema Pratensiphagum (Walley) (Hymenoptera: Mymaridae) In Southwestern Quebec. Can. Entomol. 1993, 125, 407–408. [Google Scholar] [CrossRef]
- Nastasi, L.F.; Kresslein, R.L.; Fowler, K.O.; Flores, S.R.F. Fernández Flores WaspID Course Manual—Biodiversity & Classification of Wasps. 2023. Available online: https://scholarsphere.psu.edu/resources/a0edbed3-a28f-4212-a8bc-7742851ecbd4 (accessed on 19 November 2024).
- Vinson, S.B. Host Selection by Insect Parasitoids. Annu. Rev. Entomol. 1976, 21, 109–133. [Google Scholar] [CrossRef]
- Landis, D.A.; Wratten, S.D.; Gurr, G.M. Habitat Management to Conserve Natural Enemies of Arthropod Pests in Agriculture. Annu. Rev. Entomol. 2000, 45, 175–201. [Google Scholar] [CrossRef]
- Powell, W. Enhancing parasitoid activity in crops. In Insect Parasitoids; Waage, J., Greathead, D., Eds.; Academic Press: London, UK, 1986; pp. 319–340. [Google Scholar]
- Marino, P.C.; Landis, D.A.; Hawkins, B.A. Conserving parasitoid assemblages of North American pest Lepidoptera: Does biological control by native parasitoids depend on landscape complexity? Biol. Control 2006, 37, 173–185. [Google Scholar] [CrossRef]
- Clem, C.S.; Harmon-Threatt, A.N. Field Borders Provide Winter Refuge for Beneficial Predators and Parasitoids: A Case Study on Organic Farms. J. Insect Sci. 2021, 21, 2. [Google Scholar] [CrossRef]
- Ingrao, A.J.; Schmidt, J.; Jubenville, J.; Grode, A.; Komondy, L.; VanderZee, D.; Szendrei, Z. Biocontrol on the Edge: Field Margin Habitats in Asparagus Fields Influence Natural Enemy-Pest Interactions. Agric. Ecosyst. Environ. 2017, 243, 47–54. [Google Scholar] [CrossRef]
- Nelson, J.L.; Hunt, L.G.; Lewis, M.T.; Hamby, K.A.; Hooks, C.R.R.; Dively, G.P. Arthropod communities in warm and cool grass riparian buffers and their influence on natural enemies in adjacent crops. Agric. Ecosyst. Environ. 2018, 257, 81–91. [Google Scholar] [CrossRef]
- Denver, J.M.; Ator, S.W.; Debrewer, L.M.; Ferrari, M.J.; Barbaro, J.R.; Hancock, T.C.; Brayton, M.J.; Nardi, M.R. Water Quality in the Delmarva Peninsula, Delaware, Maryland, and Virginia, 1999–2001; U.S. Geological Survey Circular: Reston, VA, USA, 2004. [Google Scholar]
- Goulet, H.; Huber, J.T. Hymenoptera of the World: An Identification Guide to Families; Centre for Land and Biological Resources Research: Ontario, CA, USA, 1993. [Google Scholar]
- Dinno, A. dunn.test: Dunn’s Test of Multiple Comparisons Using Rank Sums, Ver. 1.3.6. Available online: https://cran.r-project.org/web/packages/dunn.test/index.html (accessed on 12 January 2025).
- Oksanen, J.; Simpson, G.L.; Blanchet, F.G.; Kindt, R.; Legendre, P.; Minchin, P.R.; O’Hara, R.B.; Solymos, P.; Stevens, M.H.H.; Szoecs, E.; et al. Vegan: Community Ecology Package, ver. 2.6-6. Available online: https://cran.r-project.org/web/packages/vegan/index.html (accessed on 3 October 2024).
- Arbizu, P.M. PairwiseAdonis: Pairwise Multilevel Comparison Using Adonis, Ver. 0.4.1. Available online: https://rdrr.io/github/gauravsk/ranacapa/man/pairwise_adonis.html (accessed on 3 October 2024).
- Tóthmérész, B. Comparison of different methods for diversity ordering. J. Veg. Sci. 1995, 6, 283–290. [Google Scholar] [CrossRef]
- Kindt, R.; Coe, R. Tree Diversity Analysis. A Manual and Software for Common Statistical Methods for Ecological and Biodiversity Studies, Ver. 2.16.1. World Agroforestry Centre: Nairobi, Kenya. Available online: https://cran.r-project.org/web/packages/BiodiversityR/index.html (accessed on 3 December 2024).
- Cortez-Madrigal, H.; Gutiérrez-Cárdenas, O.G. Enhancing biological control: Conservation of alternative hosts of natural enemies. Egypt. J. Biol. Pest Control 2023, 33, 25. [Google Scholar] [CrossRef]
- Shokoohi, A. Enhancing Biological Control by Ground Beetles (Coleoptera: Carabidae) Through Agricultural Drainage Ditch Management Practices. Master’s Thesis, University of Maryland, College Park, MD, USA, 2024. [Google Scholar] [CrossRef]
- Sigsgaard, L.; Betzer, C.; Naulin, C.; Eilenberg, J.; Enkegaard, A.; Kristensen, K. The Effect of Floral Resources on Parasitoid and Host Longevity: Prospects for Conservation Biological Control in Strawberries. J. Insect Sci. 2013, 13, 104. [Google Scholar] [CrossRef]
- Boccaccio, L.; Petacchi, R. Landscape effects on the complex of Bactrocera oleae parasitoids and implications for conservation biological control. BioControl 2009, 54, 607–616. [Google Scholar] [CrossRef]
- Dively, G.P.; Hooks, C.R.R. Effects of mowing on the arthropod community in grass buffers and adjacent crop fields. J. Econ. Entomol. 2024, 117, 928–932. [Google Scholar] [CrossRef]
- Burks, J.M.; Philpott, S.M. Local and Landscape Drivers of Parasitoid Abundance, Richness, and Composition in Urban Gardens. Environ. Entomol. 2017, 46, 201–209. [Google Scholar] [CrossRef]
- Perović, D.J.; Gurr, G.M.; Raman, A.; Nicol, H.I. Effect of landscape composition and arrangement on biological control agents in a simplified agricultural system: A cost–distance approach. Biol. Control 2010, 52, 263–270. [Google Scholar] [CrossRef]
- Nicholls, C.I.; Altieri, M.A.; Ponti, L. Enhancing plant diversity for improved insect pest management in northern california organic vineyards. Acta Hortic. 2008, 263–278. [Google Scholar] [CrossRef]
- Nagy, R.K.; Bell, L.W.; Schellhorn, N.A.; Zalucki, M.P. Role of grasslands in pest suppressive landscapes: How green are my pastures? Austral Entomol. 2020, 59, 227–237. [Google Scholar] [CrossRef]
- Tscharntke, T.; Steffan-Dewenter, I.; Kruess, A.; Thies, C. Contribution of small habitat fragments to conservation of insect communities of grassland–cropland landscapes. Ecol. Appl. 2002, 12, 354–363. [Google Scholar] [CrossRef]
- Letourneau, D.K.; Bothwell Allen, S.G.; Kula, R.R.; Sharkey, M.J.; Stireman Iii, J.O. Habitat eradication and cropland intensification may reduce parasitoid diversity and natural pest control services in annual crop fields. Elem. Sci. Anthr. 2015, 3, 000069. [Google Scholar] [CrossRef]
- Kishinevsky, M.; Keasar, T. Trait-based characterisation of parasitoid wasp communities in natural and agricultural areas. Ecol. Entomol. 2022, 47, 657–667. [Google Scholar] [CrossRef]
- Zhu, H.; Wang, D.; Wang, L.; Fang, J.; Sun, W.; Ren, B. Effects of altered precipitation on insect community composition and structure in a meadow steppe. Ecol. Entomol. 2014, 39, 453–461. [Google Scholar] [CrossRef]
- Thomson, L.J.; Neville, P.J.; Hoffmann, A.A. Effective trapping methods for assessing invertebrates in vineyards. Aust. J. Exp. Agric. 2004, 44, 947–953. [Google Scholar] [CrossRef]





| Farm | Crop Type | ||
|---|---|---|---|
| 2021 | 2022 | 2023 | |
| A | Corn | Corn | Corn |
| B | Corn | Soy | Corn |
| C | Soy | Corn | Soy |
| D | Corn | Soy | Corn |
| E | Soy | Soy | Soy |
| Farm | Ditch | Length (m) | Riparian Distance (m) | Width (m) | Depth (m) | Channel Width (m) |
|---|---|---|---|---|---|---|
| A | NO | 385 | 2.0 ± 0.1 | 4.9 ± 0.2 | 1.1 ± 0.1 | 1.9 ± 0.1 |
| SO | 430 | 0.9 ± 0.1 | 3.6 ± 0.0 | 0.5 ± 0.1 | 1.8 ± 0.0 | |
| B | NO | 321 | 2.1 ± 0.1 | 6.1 ± 0.1 | 1.2 ± 0.2 | 1.4 ± 0.1 |
| SO | 400 | 3.1 ± 0.2 | 4.7 ± 0.4 | 0.9 ± 0.1 | 1.2 ± 0.1 | |
| C | NO | 786 | 8.8 ± 0.1 | 6.1 ± 0.1 | 0.9 ± 0.1 | 0.9 ± 0.1 |
| SO | 786 | 1.3 ± 0.1 | 5.8 ± 0.2 | 0.5 ± 0.1 | 1.2 ± 0.2 | |
| D | EA | 192 | 2.9 ± 0.1 | 3.7 ± 0.1 | 0.5 ± 0.0 | 1.5 ± 0.1 |
| WE | 192 | 2.8 ± 0.1 | 4.2 ± 0.1 | 0.4 ± 0.0 | 1.7 ± 0.2 | |
| E | NO | 212 | 0.2 ± 0.1 | 3.8 ± 0.1 | 0.6 ± 0.0 | 1.1 ± 0.1 |
| SO | 218 | 0.6 ± 0.1 | 3.8 ± 0.2 | 0.8 ± 0.0 | 1.0 ± 0.0 |
| Df | Sum of Sqs | R2 | F | Pr (>F) | |
|---|---|---|---|---|---|
| Month | 2 | 2.717267 | 0.065 | 10.3544 | 0.001 |
| Year | 2 | 2.260914 | 0.054 | 8.6155 | 0.001 |
| Farm | 4 | 5.385900 | 0.128 | 10.2618 | 0.001 |
| Crop | 1 | 0.089933 | 0.002 | 0.6854 | 0.741 |
| Transect | 2 | 0.183463 | 0.004 | 0.6991 | 0.822 |
| Residual | 232 | 30.441351 | 0.725 |
| Family | Mean (±SE) Number Captured/Card/7 Days | Presence Rate | Family | Mean (±SE) Number Captured/Card/7 Days | Presence Rate |
|---|---|---|---|---|---|
| Mymaridae | 13.5 ± 1.2 | 0.96 | Eupelmidae s.l. | 0.12 ± 0.027 | 0.09 |
| Trichogrammatidae | 10.0 ± 0.98 | 0.88 | Eurytomidae | 0.082 ± 0.020 | 0.07 |
| Scelionidae | 9.8 ± 0.62 | 0.99 | Tiphiidae | 0.066 ± 0.020 | 0.05 |
| Figitidae | 7.7 ± 0.61 | 0.92 | Chalcididae | 0.041 ± 0.014 | 0.04 |
| Ceraphronidae | 6.9 ± 0.60 | 0.92 | Perilampidae | 0.025 ± 0.010 | 0.02 |
| Platygastridae | 4.0 ± 0.36 | 0.76 | Dryinidae | 0.025 ± 0.014 | 0.02 |
| Aphelinidae s.l. | 3.3 ± 0.40 | 0.68 | Sierolomorphidae | 0.016 ± 0.010 | 0.01 |
| Eulophidae | 2.4 ± 0.16 | 0.75 | Scoliidae | 0.012 ± 0.0071 | 0.01 |
| Encyrtidae | 1.9 ± 0.26 | 0.54 | Thynnidae | 0.0082 ± 0.0058 | 0.01 |
| Bethylidae | 1.8 ± 0.34 | 0.34 | Signiphoridae | 0.0082 ± 0.0058 | 0.01 |
| Pteromalidae s.l. | 1.3 ± 0.12 | 0.61 | Chrysididae | 0.0082 ± 0.0058 | 0.01 |
| Braconidae | 1.2 ± 0.11 | 0.56 | Torymidae | 0.0082 ± 0.0058 | 0.01 |
| Diapriidae | 0.64 ± 0.071 | 0.39 | Eucharitidae | 0.0041 ± 0.0041 | >0.01 |
| Ichneumonidae | 0.32 ± 0.061 | 0.16 | Proctotrupidae | 0.0041 ± 0.0041 | >0.01 |
| Megaspilidae | 0.21 ± 0.056 | 0.12 | Unk. family | 0.14 ± 0.028 |
| Family | Number Captured/Card/7 Days (Mean ± SE) | ||
|---|---|---|---|
| June | July | August | |
| Mymaridae | 10.50 ± 1.16 a | 9.20 ± 1.53 b | 20.43 ± 2.82 c |
| Trichogrammatidae | 7.32 ± 0.98 a | 5.11 ± 0.74 b | 17.29 ± 2.41 c |
| Scelionidae | 9.84 ± 0.92 a | 8.64 ± 0.70 a | 10.95 ± 1.43 a |
| Figitidae | 9.33 ± 1.11 a | 5.83 ± 0.76 b | 8.02 ± 1.22 ab |
| Ceraphronidae | 7.01 ± 1.06 a | 8.68 ± 1.32 a | 5.08 ± 0.57 a |
| Platygastridae | 3.91 ± 0.53 a | 4.33 ± 0.73 a | 3.83 ± 0.58 a |
| Aphelinidae s.l. | 7.63 ± 1.08 a | 1.62 ± 0.25 b | 1.07 ± 0.14 b |
| Eulophidae | 2.80 ± 0.31 a | 2.05 ± 0.27 b | 2.26 ± 0.26 ab |
| Encyrtidae | 2.83 ± 0.71 a | 1.73 ± 0.33 a | 1.26 ± 0.21 a |
| Pteromalidae s.l. | 1.86 ± 0.24 a | 0.85 ± 0.13 a | 1.38 ± 0.22 b |
| Braconidae | 1.46 ± 0.23 a | 0.81 ± 0.11 a | 1.38 ± 0.22 a |
| Family | Distance to Ditch | Number Captured/Card/7 Days (Mean ± SE) | ||||
|---|---|---|---|---|---|---|
| Farm A | Farm B | Farm C | Farm D | Farm E | ||
| Mean ± SE | Mean ± SE | Mean ± SE | Mean ± SE | Mean ± SE | ||
| Mymaridae | 0 m | 17.5 3± 4.45 a | 17.13 ± 1.94 a | 12.60 ± 2.30 a | 9.26 ± 0.73 a | 9.22 ± 1.36 a |
| 1.5 m | 30.77 ± 5.73 ab | 8.24 ± 1.01 abc | 12.15 ± 2.47 ac | 15.85 ± 1.75 b | 3.78 ± 1.66 c | |
| 9.1 m | 20.91 ± 3.79 ab | 11.55 ± 1.54 ab | 19.15 ± 4.94 ab | 19.25 ± 2.59 a | 4.62 ± 1.32 b | |
| Trichogrammatidae | 0 m | 14.91 ± 3.71 a | 7.38 ± 0.57 a | 2.60 ± 0.47 b | 16.76 ± 1.75 c | 6.75 ± 1.03 a |
| 1.5 m | 1.56 ± 0.26 ab | 1.17 ± 0.18 ac | 0.54 ± 0.12 c | 5.57 ± 0.73 d | 1.57 ± 0.39 bd | |
| 9.1 m | 0.65 ± 0.13 a | 1.32 ± 0.27 ab | 0.62 ± 0.15 a | 5.66 ± 0.91 c | 1.36 ± 0.45 bc | |
| Scelionidae | 0 m | 9.79 ± 2.13 a | 7.74 ± 0.65 a | 14.23 ± 1.24 b | 9.76 ± 1.01 a | 6.19 ± 0.62 a |
| 1.5 m | 5.79 ± 0.67 a | 4.85 ± 0.47 a | 12.56 ± 1.66 b | 7.20 ± 0.90 ab | 4.22 ± 1.28 a | |
| 9.1 m | 2.19 ± 0.24 a | 5.04 ± 0.64 b | 9.28 ± 0.75 c | 4.64 ± 0.62 b | 4.09 ± 0.83 bc | |
| Figitidae | 0 m | 9.89 ± 1.60 ab | 5.74 ± 1.15 ab | 5.40 ± 0.87 a | 10.15 ± 1.48 b | 6.75 ± 1.42 ab |
| 1.5 m | 4.27 ± 0.86 ab | 2.07 ± 0.31 a | 4.56 ± 0.84 ab | 7.39 ± 2.26 b | 1.96 ± 0.81 ab | |
| 9.1 m | 3.17 ± 0.69 a | 2.43 ± 0.32 a | 2.74 ± 0.44 a | 5.00 ± 0.97 a | 1.74 ± 0.53 a | |
| Ceraphronidae | 0 m | 2.91 ± 0.32 a | 5.83 ± 0.76 b | 16.44 ± 2.10 c | 3.46 ± 0.47 ab | 5.75 ± 0.87 ab |
| 1.5 m | 2.81 ± 0.33 ab | 3.96 ± 0.50 a | 12.81 ± 1.66 c | 2.35 ± 0.52 b | 1.00 ± 0.29 b | |
| 9.1 m | 1.93 ± 0.28 a | 4.06 ± 0.57 b | 14.91 ± 2.26 c | 1.81 ± 0.24 a | 1.13 ± 0.35 a | |
| Platygastridae | 0 m | 2.77 ± 0.59 ab | 3.30 ± 0.44 c | 1.81 ± 0.56 b | 4.43 ± 0.65 c | 10.25 ± 1.57 d |
| 1.5 m | 0.25 ± 0.08 a | 0.48 ± 0.13 a | 0.37 ± 0.10 a | 0.54 ± 0.10 a | 1.80 ± 0.49 b | |
| 9.1 m | 0.15 ± 0.06 a | 0.28 ± 0.08 a | 0.09 ± 0.04 a | 0.47 ± 0.16 a | 3.42 ± 0.96 b | |
| Aphelinidae s.l. | 0 m | 2.25 ± 0.52 ab | 5.40 ± 1.08 c | 3.00 ± 0.73 abc | 3.98 ± 1.08 ac | 0.94 ± 0.21 b |
| 1.5 m | 0.71 ± 0.17 a | 3.96 ± 0.89 bc | 5.19 ± 1.17 b | 2.46 ± 0.62 ac | 1.57 ± 0.65 abc | |
| 9.1 m | 0.74 ± 0.19 a | 5.23 ± 1.36 bc | 5.60 ± 1.14 b | 2.36 ± 0.65 ac | 1.70 ± 0.74 bc | |
| Eulophidae | 0 m | 1.70 ± 0.23 ab | 3.47 ± 0.46 c | 1.40 ± 0.23 a | 3.04 ± 0.38 bc | 2.00 ± 0.34 abc |
| 1.5 m | 0.87 ± 0.13 a | 0.54 ± 0.10 a | 0.59 ± 0.13 a | 0.63 ± 0.08 a | 0.48 ± 0.19 a | |
| 9.1 m | 0.69 ± 0.12 a | 0.55 ± 0.13 ab | 0.17 ± 0.06 b | 0.70 ± 0.14 a | 0.34 ± 0.16 ab | |
| Encyrtidae | 0 m | 0.70 ± 0.18 a | 2.81 ± 0.79 b | 2.85 ± 0.77 ab | 0.83 ± 0.12 ab | 2.72 ± 0.60 b |
| 1.5 m | 0.13 ± 0.08 a | 0.63 ± 0.15 b | 1.13 ± 0.29 bc | 0.35 ± 0.09 ab | 1.61 ± 0.62 c | |
| 9.1 m | 0.11 ± 0.05 a | 0.55 ± 0.14 a | 0.53 ± 0.15 a | 0.34 ± 0.08 a | 3.47 ± 1.35 b | |
| Pteromalidae s.l. | 0 m | 0.91 ± 0.21 a | 1.94 ± 0.29 b | 1.10 ± 0.16 ab | 1.09 ± 0.17 ab | 1.91 ± 0.52 ab |
| 1.5 m | 0.42 ± 0.11 a | 0.43 ± 0.12 a | 1.09 ± 0.31 a | 0.26 ± 0.07 a | 0.33 ± 0.16 a | |
| 9.1 m | 0.85 ± 0.21 a | 0.32 ± 0.08 a | 0.28 ± 0.08 a | 0.55 ± 0.17 a | 0.62 ± 0.45 a | |
| Braconidae | 0 m | 0.87 ± 0.21 a | 0.91 ± 0.17 a | 2.40 ± 0.37 b | 0.63 ± 0.11 a | 1.31 ± 0.26 ab |
| 1.5 m | 0.90 ± 0.19 a | 0.59 ± 0.10 a | 2.28 ± 0.27 b | 0.89 ± 0.16 a | 0.91 ± 0.33 a | |
| 9.1 m | 0.56 ± 0.11 a | 0.55 ± 0.12 a | 1.92 ± 0.39 b | 0.53 ± 0.12 a | 0.70 ± 0.25 ab | |
Disclaimer/Publisher’s Note: The statements, opinions and data contained in all publications are solely those of the individual author(s) and contributor(s) and not of MDPI and/or the editor(s). MDPI and/or the editor(s) disclaim responsibility for any injury to people or property resulting from any ideas, methods, instructions or products referred to in the content. |
© 2025 by the authors. Licensee MDPI, Basel, Switzerland. This article is an open access article distributed under the terms and conditions of the Creative Commons Attribution (CC BY) license (https://creativecommons.org/licenses/by/4.0/).
Share and Cite
Windsor, S.D.; Shokoohi, A.; Salerno, R.; Lamp, W. Family-Level Diversity of Hymenopteran Parasitoid Communities in Agricultural Drainage Ditches and Implications for Biological Control. Insects 2025, 16, 246. https://doi.org/10.3390/insects16030246
Windsor SD, Shokoohi A, Salerno R, Lamp W. Family-Level Diversity of Hymenopteran Parasitoid Communities in Agricultural Drainage Ditches and Implications for Biological Control. Insects. 2025; 16(3):246. https://doi.org/10.3390/insects16030246
Chicago/Turabian StyleWindsor, Shane Daniel, Alireza Shokoohi, Robert Salerno, and William Lamp. 2025. "Family-Level Diversity of Hymenopteran Parasitoid Communities in Agricultural Drainage Ditches and Implications for Biological Control" Insects 16, no. 3: 246. https://doi.org/10.3390/insects16030246
APA StyleWindsor, S. D., Shokoohi, A., Salerno, R., & Lamp, W. (2025). Family-Level Diversity of Hymenopteran Parasitoid Communities in Agricultural Drainage Ditches and Implications for Biological Control. Insects, 16(3), 246. https://doi.org/10.3390/insects16030246

