Properties of “Stable” Mosquito Cytochrome P450 Enzymes
Simple Summary
Abstract
1. Introduction
2. Materials, Methods, and Datasets
3. Results
3.1. Analysis of Genomic Features
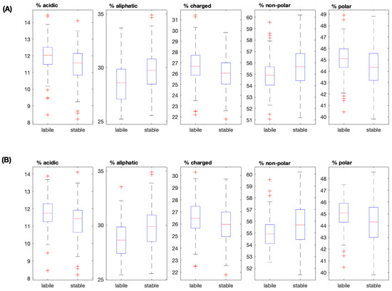
3.2. Analysis of Protein Features
3.3. Phosphorylation
3.4. Signal Peptides, Transmembrane Domains, and Protein Location
3.5. Conserved Motifs
3.6. Gene Enrichment Analysis
4. Discussion
5. Conclusions
Supplementary Materials
Funding
Data Availability Statement
Acknowledgments
Conflicts of Interest
References
- van den Berg, H.; Bezerra, H.S.d.S.; Al-Eryani, S.; Chanda, E.; Nagpal, B.N.; Knox, T.B.; Velayudhan, R.; Yadav, R.S. Recent trends in global insecticide use for disease vector control and potential implications for resistance management. Sci. Rep. 2021, 11, 23867. [Google Scholar] [CrossRef]
- Liu, N. Insecticide resistance in mosquitoes: Impact, mechanisms, and research directions. Annu. Rev. Entomol. 2015, 60, 537–559. [Google Scholar] [CrossRef] [PubMed]
- David, J.P.; Ismail, H.M.; Chandor-Proust, A.; Paine, M.J.I. Role of cytochrome P450s in insecticide resistance: Impact on the control of mosquito-borne diseases and use of insecticides on Earth. Philos. Trans. R. Soc. Lond. B Biol. Sci. 2013, 368, 20120429. [Google Scholar] [CrossRef]
- Nelson, D.R.; Nebert, D.W. Cytochrome P450 (CYP) Gene Superfamily. In Encyclopedia of Life Sciences; John Wiley & Sons, Ltd.: Hoboken, NJ, USA, 2018; pp. 1–19. [Google Scholar]
- Klingenberg, M. Pigments of rat liver microsomes. Arch. Biochem. Biophys. 1958, 75, 376–386. [Google Scholar] [CrossRef] [PubMed]
- Mistry, J.; Chuguransky, S.; Williams, L.; Qureshi, M.; Salazar, G.A.; Sonnhammer, E.L.L.; Tosatto, S.C.; Paladin, L.; Raj, S.; Richardson, L.J.; et al. Pfam: The protein families database in 2021. Nucleic Acids Res. 2021, 49, D412–D419. [Google Scholar] [CrossRef] [PubMed]
- Werck-Reichhart, D.; Feyereisen, R. Cytochromes P450: A success story. Genome Biol. 2000, 1, REVIEWS3003. [Google Scholar] [CrossRef] [PubMed]
- Hannemann, F.; Bichet, A.; Ewen, K.M.; Bernhardt, R. Cytochrome P450 systems--biological variations of electron transport chains. Biochim. Biophys. Acta 2007, 1770, 330–344. [Google Scholar] [CrossRef]
- Fujiyama, K.; Hino, T.; Nagano, S. Diverse reactions catalyzed by cytochrome P450 and biosynthesis of steroid hormone. Biophys. Physicobiol. 2022, 19, e190021. [Google Scholar] [CrossRef] [PubMed]
- Pavlidi, N.; Vontas, J.; Van Leeuwen, T. The role of glutathione S-transferases (GSTs) in insecticide resistance in crop pests and disease vectors. Curr. Opin. Insect Sci. 2018, 27, 97–102. [Google Scholar] [CrossRef] [PubMed]
- Wu, C.; Chakrabarty, S.; Jin, M.; Liu, K.; Xiao, Y. Insect ATP-Binding Cassette (ABC) Transporters: Roles in Xenobiotic Detoxification and Bt Insecticidal Activity. Int. J. Mol. Sci. 2019, 20, 2829. [Google Scholar] [CrossRef]
- Nelson, D.R. Cytochrome P450 diversity in the tree of life. Biochim. Biophys. Acta Proteins Proteom. 2018, 1866, 141–154. [Google Scholar] [CrossRef] [PubMed]
- Zhang, Y.; Pan, X.; Shi, T.; Gu, Z.; Yang, Z.; Liu, M.; Xu, Y.; Yang, Y.; Ren, L.; Song, X.; et al. P450Rdb: A manually curated database of reactions catalyzed by cytochrome P450 enzymes. J. Adv. Res. 2023, 63, 35–42. [Google Scholar] [CrossRef] [PubMed]
- Dermauw, W.; Van Leeuwen, T.; Feyereisen, R. Diversity and evolution of the P450 family in arthropods. Insect Biochem. Mol. Biol. 2020, 127, 103490. [Google Scholar] [CrossRef] [PubMed]
- Nelson, D.R. Cytochrome P450 and the individuality of species. Arch. Biochem. Biophys. 1999, 369, 1–10. [Google Scholar] [CrossRef] [PubMed]
- Nelson, D.R. The cytochrome p450 homepage. Hum. Genom. 2009, 4, 59–65. [Google Scholar] [CrossRef]
- Pankov, K.V.; McArthur, A.G.; Gold, D.A.; Nelson, D.R.; Goldstone, J.V.; Wilson, J.Y. The cytochrome P450 (CYP) superfamily in cnidarians. Sci. Rep. 2021, 11, 9834. [Google Scholar] [CrossRef]
- Shi, Y.; Qu, Q.; Wang, C.; He, Y.; Yang, Y.; Wu, Y. Involvement of CYP2 and mitochondrial clan P450s of Helicoverpa armigera in xenobiotic metabolism. Insect Biochem. Mol. Biol. 2022, 140, 103696. [Google Scholar] [CrossRef]
- Nelson, D.R. A world of cytochrome P450s. Philos. Trans. R. Soc. Lond. B Biol. Sci. 2013, 368, 20120430. [Google Scholar] [CrossRef] [PubMed]
- Li, F.; Zhao, X.; Li, M.; He, K.; Huang, C.; Zhou, Y.; Li, Z.; Walters, J.R. Insect genomes: Progress and challenges. Insect Mol. Biol. 2019, 28, 739–758. [Google Scholar] [CrossRef] [PubMed]
- Strode, C.; Wondji, C.S.; David, J.-P.; Hawkes, N.J.; Lumjuan, N.; Nelson, D.R.; Drane, D.R.; Karunaratne, S.P.; Hemingway, J.; Black, W.C.; et al. Genomic analysis of detoxification genes in the mosquito Aedes aegypti. Insect Biochem. Mol. Biol. 2008, 38, 113–123. [Google Scholar] [CrossRef]
- Yan, L.; Yang, P.; Jiang, F.; Cui, N.; Ma, E.; Qiao, C.; Cui, F. Transcriptomic and phylogenetic analysis of Culex pipiens quinquefasciatus for three detoxification gene families. BMC Genom. 2012, 13, 609. [Google Scholar] [CrossRef] [PubMed]
- Feyereisen, R. Arthropod CYPomes illustrate the tempo and mode in P450 evolution. Biochim. Biophys. Acta 2011, 1814, 19–28. [Google Scholar] [CrossRef]
- Feyereisen, R. Evolution of insect P450. Biochem. Soc. Trans. 2006, 34, 1252–1255. [Google Scholar] [CrossRef]
- Dulbecco, A.B.; Calderón-Fernández, G.M.; Pedrini, N. Cytochrome P450 Genes of the CYP4 Clan and Pyrethroid Resistance in Chagas Disease Vectors. Front. Trop. Dis. 2022, 3, 823093. [Google Scholar] [CrossRef]
- Ranson, H.; Claudianos, C.; Ortelli, F.; Abgrall, C.; Hemingway, J.; Sharakhova, M.V.; Unger, M.F.; Collins, F.H.; Feyereisen, R. Evolution of supergene families associated with insecticide resistance. Science 2002, 298, 179–181. [Google Scholar] [CrossRef]
- Dulbecco, A.B.; Moriconi, D.E.; Calderón-Fernández, G.M.; Lynn, S.; McCarthy, A.; Roca-Acevedo, G.; Salamanca-Moreno, J.A.; Juárez, M.P.; Pedrini, N. Integument CYP genes of the largest genome-wide cytochrome P450 expansions in triatomines participate in detoxification in deltamethrin-resistant Triatoma infestans. Sci. Rep. 2018, 8, 10177. [Google Scholar] [CrossRef] [PubMed]
- Sezutsu, H.; Le Goff, G.; Feyereisen, R. Origins of P450 diversity. Philos. Trans. R. Soc. Lond. B Biol. Sci. 2013, 368, 20120428. [Google Scholar] [CrossRef] [PubMed]
- Good, R.T.; Gramzow, L.; Battlay, P.; Sztal, T.; Batterham, P.; Robin, C. The molecular evolution of cytochrome P450 genes within and between drosophila species. Genome Biol. Evol. 2014, 6, 1118–1134. [Google Scholar] [CrossRef]
- Schumann, I.; Kenny, N.; Hui, J.; Hering, L.; Mayer, G. Halloween genes in panarthropods and the evolution of the early moulting pathway in Ecdysozoa. R. Soc. Open Sci. 2018, 5, 180888. [Google Scholar] [CrossRef] [PubMed]
- Chung, H.; Sztal, T.; Pasricha, S.; Sridhar, M.; Batterham, P.; Daborn, P.J. Characterization of Drosophila melanogaster cytochrome P450 genes. Proc. Natl. Acad. Sci. USA 2009, 106, 5731–5736. [Google Scholar] [CrossRef] [PubMed]
- Feyereisen, R. Insect P450 inhibitors and insecticides: Challenges and opportunities. Pest Manag. Sci. 2015, 71, 793–800. [Google Scholar] [CrossRef]
- Vontas, J.; Katsavou, E.; Mavridis, K. Cytochrome P450-based metabolic insecticide resistance in Anopheles and Aedes mosquito vectors: Muddying the waters. Pestic. Biochem. Physiol. 2020, 170, 104666. [Google Scholar] [CrossRef] [PubMed]
- Balabanidou, V.; Kampouraki, A.; MacLean, M.; Blomquist, G.J.; Tittiger, C.; Juárez, M.P.; Mijailovsky, S.J.; Chalepakis, G.; Anthousi, A.; Lynd, A.; et al. Cytochrome P450 associated with insecticide resistance catalyzes cuticular hydrocarbon production in Anopheles gambiae. Proc. Natl. Acad. Sci. USA 2016, 113, 9268–9273. [Google Scholar] [CrossRef]
- Yahouedo, G.A.; Chandre, F.; Rossignol, M.; Ginibre, C.; Balabanidou, V.; Mendez, N.G.A.; Pigeon, O.; Vontas, J.; Cornelie, S. Contributions of cuticle permeability and enzyme detoxification to pyrethroid resistance in the major malaria vector Anopheles gambiae. Sci. Rep. 2017, 7, 11091. [Google Scholar] [CrossRef] [PubMed]
- Saavedra-Rodriguez, K.; Suarez, A.F.; Salas, I.F.; Strode, C.; Ranson, H.; Hemingway, J.; Iv, W.C.B. Transcription of detoxification genes after permethrin selection in the mosquito Aedes aegypti. Insect Mol. Biol. 2012, 21, 61–77. [Google Scholar] [CrossRef]
- Nauen, R.; Bass, C.; Feyereisen, R.; Vontas, J. The Role of Cytochrome P450s in Insect Toxicology and Resistance. Annu. Rev. Entomol. 2022, 67, 105–124. [Google Scholar] [CrossRef]
- Mobegi, F.M.; Zomer, A.; de Jonge, M.I.; van Hijum, S.A.F.T. Advances and perspectives in computational prediction of microbial gene essentiality. Brief. Funct. Genom. 2017, 16, 70–79. [Google Scholar] [CrossRef]
- Tian, D.; Wenlock, S.; Kabir, M.; Tzotzos, G.; Doig, A.J.; Hentges, K.E. Identifying mouse developmental essential genes using machine learning. Dis. Model. Mech. 2018, 11, 1–14. [Google Scholar] [CrossRef] [PubMed]
- Aromolaran, O.; Aromolaran, D.; Isewon, I.; Oyelade, J. Machine learning approach to gene essentiality prediction: A review. Brief. Bioinform. 2021, 22. [Google Scholar] [CrossRef] [PubMed]
- Giraldo-Calderon, G.I.; Harb, O.S.; A Kelly, S.; Rund, S.S.; Roos, D.S.; McDowell, M.A. VectorBase.org updates: Bioinformatic resources for invertebrate vectors of human pathogens and related organisms. Curr. Opin. Insect Sci. 2022, 50, 100860. [Google Scholar] [CrossRef]
- Ruzzante, L.; Reijnders, M.; Waterhouse, R.M. Of Genes and Genomes: Mosquito Evolution and Diversity. Trends Parasitol. 2019, 35, 32–51. [Google Scholar] [CrossRef] [PubMed]
- Li, L.; Stoeckert, C.J., Jr.; Roos, D.S. OrthoMCL: Identification of ortholog groups for eukaryotic genomes. Genome Res. 2003, 13, 2178–2189. [Google Scholar] [CrossRef] [PubMed]
- Fischer, S.; Brunk, B.P.; Chen, F.; Gao, X.; Harb, O.S.; Iodice, J.B.; Shanmugam, D.; Roos, D.S.; Stoeckert, C.J., Jr. Using OrthoMCL to assign proteins to OrthoMCL-DB groups or to cluster proteomes into new ortholog groups. Curr. Protoc. Bioinform. 2011, 35, 6.12.1–6.12.19. [Google Scholar] [CrossRef] [PubMed]
- Sikic, K.; Carugo, O. Protein sequence redundancy reduction: Comparison of various method. Bioinformation 2010, 5, 234–239. [Google Scholar] [CrossRef] [PubMed]
- Rice, P.; Longden, I.; Bleasby, A. EMBOSS: The European Molecular Biology Open Software Suite. Trends Genet. 2000, 16, 276–277. [Google Scholar] [CrossRef] [PubMed]
- Blom, N.; Sicheritz-Pontén, T.; Gupta, R.; Gammeltoft, S.; Brunak, S. Prediction of post-translational glycosylation and phosphorylation of proteins from the amino acid sequence. Proteomics 2004, 4, 1633–1649. [Google Scholar] [CrossRef] [PubMed]
- Savojardo, C.; Martelli, P.L.; Fariselli, P.; Profiti, G.; Casadio, R. BUSCA: An integrative web server to predict subcellular localization of proteins. Nucleic Acids Res. 2018, 46, W459–W466. [Google Scholar] [CrossRef]
- Wang, S.; You, R.; Liu, Y.; Xiong, Y.; Zhu, S. NetGO 3.0: Protein Language Model Improves Large-scale Functional Annotations. Genom. Proteom. Bioinform. 2023, 21, 349–358. [Google Scholar] [CrossRef]
- Kyte, J.; Doolittle, R.F. A simple method for displaying the hydropathic character of a protein. J. Mol. Biol. 1982, 157, 105–132. [Google Scholar] [CrossRef] [PubMed]
- Bailey, T.L.; Johnson, J.; Grant, C.E.; Noble, W.S. The MEME Suite. Nucleic Acids Res. 2015, 43, W39–W49. [Google Scholar] [CrossRef] [PubMed]
- Szklarczyk, D.; Gable, A.L.; Nastou, K.C.; Lyon, D.; Kirsch, R.; Pyysalo, S.; Doncheva, N.T.; Legeay, M.; Fang, T.; Bork, P.; et al. The STRING database in 2021: Customizable protein-protein networks, and functional characterization of user-uploaded gene/measurement sets. Nucleic Acids Res. 2021, 49, D605–D612. [Google Scholar] [CrossRef] [PubMed]
- Kolberg, L.; Raudvere, U.; Kuzmin, I.; Adler, P.; Vilo, J.; Peterson, H. g:Profiler-interoperable web service for functional enrichment analysis and gene identifier mapping (2023 update). Nucleic Acids Res. 2023, 51, W207–W212. [Google Scholar] [CrossRef]
- Sherman, B.T.; Hao, M.; Qiu, J.; Jiao, X.; Baseler, M.W.; Lane, H.C.; Imamichi, T.; Chang, W. DAVID: A web server for functional enrichment analysis and functional annotation of gene lists (2021 update). Nucleic Acids Res. 2022, 50, W216–W221. [Google Scholar] [CrossRef]
- Zhou, N.; Jiang, Y.; Bergquist, T.R.; Lee, A.J.; Kacsoh, B.Z.; Crocker, A.W.; Lewis, K.A.; Georghiou, G.; Nguyen, H.N.; Hamid, N.; et al. The CAFA challenge reports improved protein function prediction and new functional annotations for hundreds of genes through experimental screens. Genome Biol. 2019, 20, 244. [Google Scholar] [CrossRef] [PubMed]
- Ribeiro, A.J.M.; Riziotis, I.G.; Borkakoti, N.; Thornton, J.M. Enzyme function and evolution through the lens of bioinformatics. Biochem. J. 2023, 480, 1845–1863. [Google Scholar] [CrossRef] [PubMed]
- Klopfenstein, D.V.; Zhang, L.; Pedersen, B.S.; Ramírez, F.; Vesztrocy, A.W.; Naldi, A.; Mungall, C.J.; Yunes, J.M.; Botvinnik, O.; Weigel, M.; et al. GOATOOLS: A Python library for Gene Ontology analyses. Sci. Rep. 2018, 8, 10872. [Google Scholar] [CrossRef]
- Oesch-Bartlomowicz, B.; Oesch, F. Phosphorylation of cytochromes P450: First discovery of a posttranslational modification of a drug-metabolizing enzyme. Biochem. Biophys. Res. Commun. 2005, 338, 446–449. [Google Scholar] [CrossRef]
- Monk, B.C.; Tomasiak, T.M.; Keniya, M.V.; Huschmann, F.U.; Tyndall, J.D.A.; O’connell, J.D.; Cannon, R.D.; McDonald, J.G.; Rodriguez, A.; Finer-Moore, J.S.; et al. Architecture of a single membrane spanning cytochrome P450 suggests constraints that orient the catalytic domain relative to a bilayer. Proc. Natl. Acad. Sci. USA 2014, 111, 3865–3870. [Google Scholar] [CrossRef] [PubMed]
- Srejber, M.; Navrátilová, V.; Paloncýová, M.; Bazgier, V.; Berka, K.; Anzenbacher, P.; Otyepka, M. Membrane-attached mammalian cytochromes P450: An overview of the membrane’s effects on structure, drug binding, and interactions with redox partners. J. Inorg. Biochem. 2018, 183, 117–136. [Google Scholar] [CrossRef] [PubMed]
- Gricman, L.; Vogel, C.; Pleiss, J. Conservation analysis of class-specific positions in cytochrome P450 monooxygenases: Functional and structural relevance. Proteins 2014, 82, 491–504. [Google Scholar] [CrossRef] [PubMed]
- Ai, J.; Zhu, Y.; Duan, J.; Yu, Q.; Zhang, G.; Wan, F.; Xiang, Z.-H. Genome-wide analysis of cytochrome P450 monooxygenase genes in the silkworm, Bombyx mori. Gene 2011, 480, 42–50. [Google Scholar] [CrossRef]
- Yu, L.; Tang, W.; He, W.; Ma, X.; Vasseur, L.; Baxter, S.W.; Yang, G.; Huang, S.; Song, F.; You, M. Characterization and expression of the cytochrome P450 gene family in diamondback moth, Plutella xylostella (L.). Sci. Rep. 2015, 5, 8952. [Google Scholar] [CrossRef]
- Ashburner, M.; Ball, C.A.; Blake, J.A.; Botstein, D.; Butler, H.; Cherry, J.M.; Davis, A.P.; Dolinski, K.; Dwight, S.S.; Eppig, J.T.; et al. Gene ontology: Tool for the unification of biology. The Gene Ontology Consortium. Nat. Genet. 2000, 25, 25–29. [Google Scholar] [CrossRef]
- Khatri, P.; Sirota, M.; Butte, A.J. Ten years of pathway analysis: Current approaches and outstanding challenges. PLoS Comput. Biol. 2012, 8, e1002375. [Google Scholar] [CrossRef] [PubMed]
- Geistlinger, L.; Csaba, G.; Santarelli, M.; Ramos, M.; Schiffer, L.; Turaga, N.; Law, C.; Davis, S.; Carey, V.; Morgan, M.; et al. Toward a gold standard for benchmarking gene set enrichment analysis. Brief. Bioinform. 2021, 22, 545–556. [Google Scholar] [CrossRef] [PubMed]
- Zhao, K.; Rhee, S.Y. Interpreting omics data with pathway enrichment analysis. Trends Genet. 2023, 39, 308–319. [Google Scholar] [CrossRef]
- Haynes, W.A.; Tomczak, A.; Khatri, P. Gene annotation bias impedes biomedical research. Sci. Rep. 2018, 8, 1362. [Google Scholar] [CrossRef]
- Attrill, H.; Gaudet, P.; Huntley, R.P.; Lovering, R.C.; Engel, S.R.; Poux, S.; Van Auken, K.M.; Georghiou, G.; Chibucos, M.C.; Berardini, T.Z.; et al. Annotation of gene product function from high-throughput studies using the Gene Ontology. Database 2019, 2019, 1–8. [Google Scholar] [CrossRef] [PubMed]
- Aliaga-Franco, N.; Zhang, C.; Presa, S.; Srivastava, A.K.; Granell, A.; Alabadí, D.; Sadanandom, A.; Blazquez, M.A.; Minguet, E.G. Identification of Transgene-Free CRISPR-Edited Plants of Rice, Tomato, and Arabidopsis by Monitoring DsRED Fluorescence in Dry Seeds. Front. Plant Sci. 2019, 10, 1150. [Google Scholar] [CrossRef]
- Lopes, I.; Altab, G.; Raina, P.; de Magalhães, J.P. Gene Size Matters: An Analysis of Gene Length in the Human Genome. Front. Genet. 2021, 12, 559998. [Google Scholar] [CrossRef] [PubMed]
- Brown, J.C. Role of Gene Length in Control of Human Gene Expression: Chromosome-Specific and Tissue-Specific Effects. Int. J. Genom. 2021, 2021, 8902428. [Google Scholar] [CrossRef]
- Gorlova, O.; Fedorov, A.; Logothetis, C.; Amos, C.; Gorlov, I. Genes with a large intronic burden show greater evolutionary conservation on the protein level. BMC Evol. Biol. 2014, 14, 50. [Google Scholar] [CrossRef] [PubMed]
- Kabir, M.; Barradas, A.; Tzotzos, G.T.; Hentges, K.E.; Doig, A.J. Properties of genes essential for mouse development. PLoS ONE 2017, 12, e0178273. [Google Scholar] [CrossRef] [PubMed]
- Mamsa, S.S.A.; Meloni, B.P. Arginine and Arginine-Rich Peptides as Modulators of Protein Aggregation and Cytotoxicity Associated With Alzheimer’s Disease. Front. Mol. Neurosci. 2021, 14, 759729. [Google Scholar] [CrossRef]
- Ravanfar, R.; Sheng, Y.; Gray, H.B.; Winkler, J.R. Tryptophan extends the life of cytochrome P450. Proc. Natl. Acad. Sci. USA 2023, 120, e2317372120. [Google Scholar] [CrossRef]
- Lu, Y.; Sun, L.; Pang, J.; Li, C.; Wang, X.; Hu, X.; Li, G.; Li, X.; Zhang, Y.; Wang, H.; et al. Roles of cysteine in the structure and metabolic function of Mycobacterium tuberculosis CYP142A1. RSC Adv. 2022, 12, 24447–24455. [Google Scholar] [CrossRef] [PubMed]
- Iyer, B.R.; Mahalakshmi, R. Hydrophobic Characteristic Is Energetically Preferred for Cysteine in a Model Membrane Protein. Biophys. J. 2019, 117, 25–35. [Google Scholar] [CrossRef]
- Wronska, A.K.; Kaczmarek, A.; Boguś, M.I.; Kuna, A. Lipids as a key element of insect defense systems. Front. Genet. 2023, 14, 1183659. [Google Scholar] [CrossRef] [PubMed]
- Arrese, E.L.; Soulages, J.L. Insect fat body: Energy, metabolism, and regulation. Annu. Rev. Entomol. 2010, 55, 207–225. [Google Scholar] [CrossRef] [PubMed]
- Laursen, T.; Lam, H.Y.M.; Sørensen, K.K.; Tian, P.; Hansen, C.C.; Groves, J.T.; Jensen, K.J.; Christensen, S.M. Membrane anchoring facilitates colocalization of enzymes in plant cytochrome P450 redox systems. Commun. Biol. 2021, 4, 1057. [Google Scholar] [CrossRef] [PubMed]
- Sidorczuk, K.; Mackiewicz, P.; Pietluch, F.; Gagat, P. Characterization of signal and transit peptides based on motif composition and taxon-specific patterns. Sci. Rep. 2023, 13, 15751. [Google Scholar] [CrossRef]




| Total | Clan 2 | Clan 3 | Clan 4 | Mitochondrial | Source | |
|---|---|---|---|---|---|---|
| Family | Family | Family | Family | |||
| Dmel | CYP18, 303–307 | CYP6, 9, 28, 308–310, 317 | CYP4, 311–313, 316, 318 | CYP12, 49, 301–2, 314–5 | ||
| 85 | No. of genes: 6 | No. of genes: 36 | No. of genes: 32 | No. of genes: 11 | [14] | |
| Agam | CYP15, 303–307 | CYP6, 9, 329 | CYP4, 325 | CYP12, 49, 301–2, 314–5 | ||
| 106 | No. of genes: 10 | No. of genes: 42 | No. of genes: 45 | No. of genes: 9 | [14] | |
| Aaeg | CYP15, 18, 303–307 | CYP6, 9, 329 | CYP4, 325 | CYP12, 49, 301–2, 314–5 | [21] | |
| 164 | No. of genes: 11 | No. of genes: 84 | No. of genes: 59 | No. of genes: 10 | ||
| Cqui | Cyp15, 303–307 | CYP6, 9, 329 | CYP4, 325 | Cyp12, 301–2, 314–14 | ||
| 196 | No. of genes: 14 | No. of genes: 88 | No. of genes: 83 | No. of genes: 11 | [22] |
| Unculled | Culled | ||||
|---|---|---|---|---|---|
| No. of Genes | “Stable” | “Labile” | “Stable” | “Labile” | |
| Dmel | 83 | 53 | 30 | 46 | 22 |
| Agam | 94 | 49 | 45 | 31 | 28 |
| Aaeg | 131 | 58 | 73 | 33 | 30 |
| Cqui | 178 | 85 | 93 | 52 | 35 |
| Total | 486 | 245 | 241 | 162 | 115 |
| Features | Bioinformatic Methods |
|---|---|
| Genomic features: gene length, % of GC content, number of transcripts, number of exons, length of exon and intron | VectorBase [41] |
| Protein sequence features: protein length, molecular weight, protein charge, isoelectric point, amino acid composition, hydrophobicity | EMBOSS Pepstats [46] |
| Phosphorylation | PhosNet 3.0 [47] |
| Signal peptide; Transmembrane domains; Subcellular localisation | BUSCA [48] |
| Gene Ontology terms: biological process, cellular component, molecular function | NetGO 3.0 [49] |
| Datasets | Gene Length (bp) | No. of Exons | Exon Length (bp) | Intron Length (bp) | No. of Transcripts | % GC Content | |
|---|---|---|---|---|---|---|---|
| Non-culled | “labile” | 1840 | 3 | 1524 | 311 | 1 | 47.20 |
| “stable” | 2149 | 4 | 1518 | 612 | 1 | 44.78 | |
| p-value | 2.8034 × 10−7 | 1.0212 × 10−8 | 0.0209 | 7.6899 × 10−9 | 0.3531 | 0.0270 | |
| Culled | “labile” | 1890 | 3 | 1527 | 359 | 1 | 46.48 |
| “stable” | 2165 | 4 | 1521 | 612 | 1 | 45.63 | |
| p-value | 7.1450 × 10−4 | 4.4157 × 10−6 | 0.0302 | 1.5198 × 10−4 | 0.6973 | 0.3718 |
| Unculled | Culled | |||||
|---|---|---|---|---|---|---|
| Property | “Labile” | “Stable” | p-Value | “Labile” | “Stable” | p-Value |
| Molecular weight | 5.8236 × 104 | 5.8106 × 104 | 0.0124 | 5.8454 × 104 | 5.8162 × 104 | 0.0249 |
| Isoelectric point | 8.3088 | 8.1503 | 0.2324 | 8.2718 | 8.3542 | 0.4991 |
| Charge | 9 | 9.5000 | 0.4037 | 10 | 10.5000 | 0.0724 |
| Hydrophobicity | −19.6450 | −16.0583 | 4.3384 × 10−8 | −18.7226 | −15.5340 | 2.7720 × 10−4 |
| Aromatic | 13.2110 | 13.1148 | 0.5403 | 13.2110 | 13.1417 | 0.6721 |
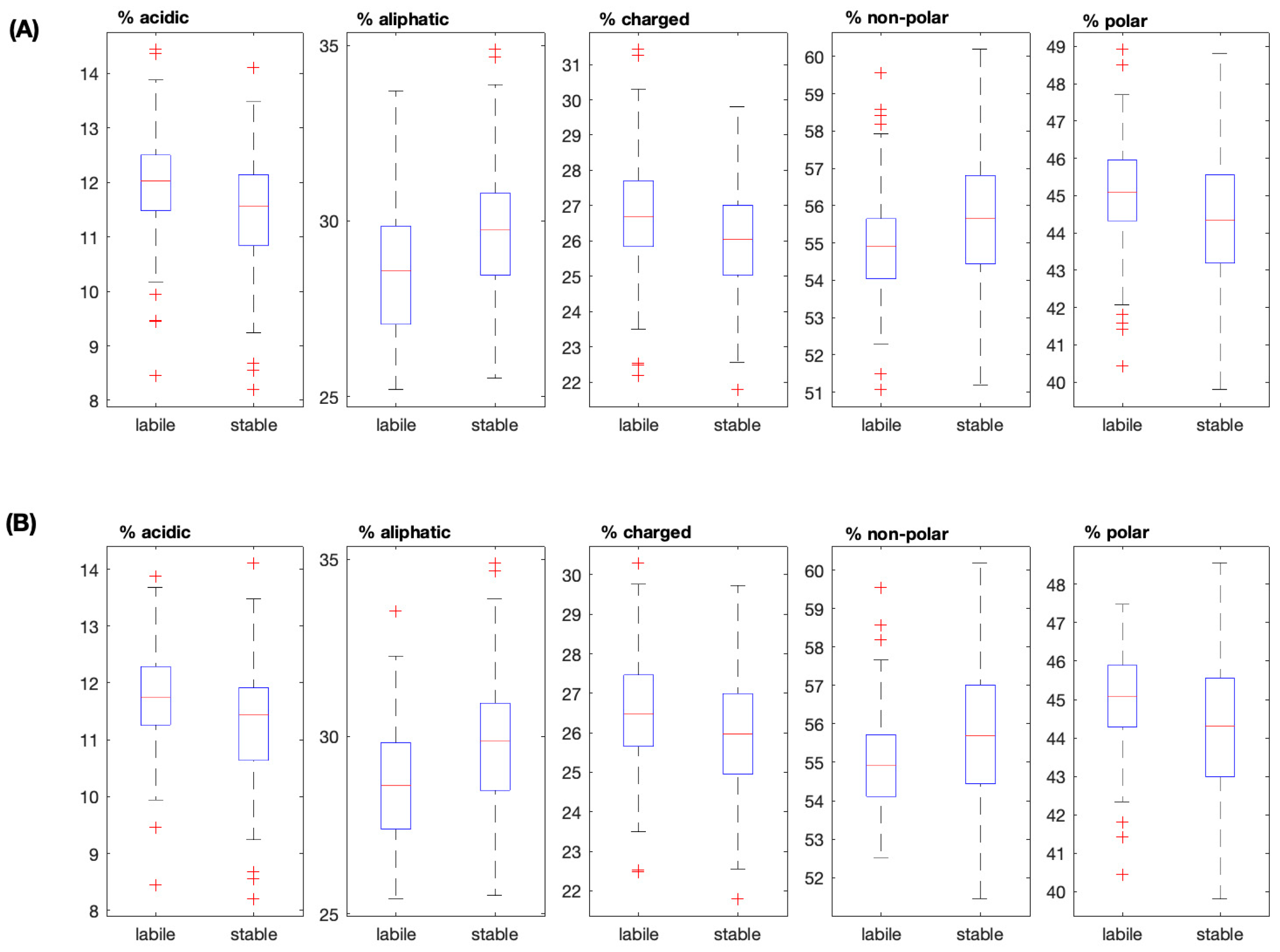
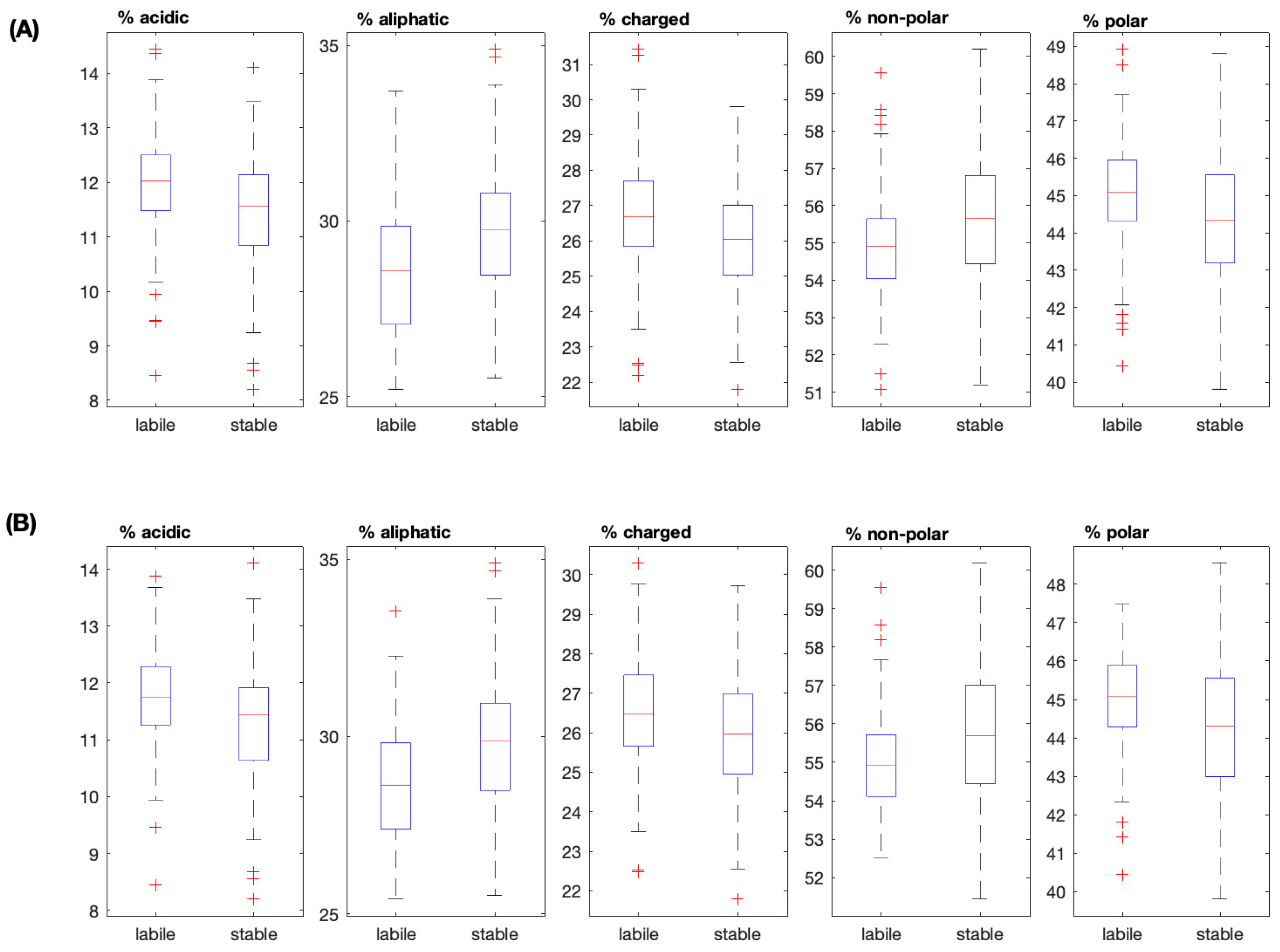
| Aliphatic | 28.5714 | 29.7619 | 3.4826 × 10−10 | 28.6299 | 29.8651 | 3.1629 × 10−6 |
| Acidic | 12.0240 | 11.5686 | 3.5141 × 10−8 | 11.7530 | 11.4458 | 3.8132 × 10−5 |
| Basic | 14.7810 | 14.6000 | 0.0258 | 14.6535 | 14.6939 | 0.6806 |
| Charged | 26.6791 | 26.0521 | 1.2929 × 10−6 | 26.4706 | 25.9669 | 0.0056 |
| Polar | 45.0980 | 44.3340 | 6.3566 × 10−7 | 45.0902 | 44.3137 | 2.4062 × 10−4 |
| Non-polar | 54.9020 | 55.6660 | 5.1469 × 10−7 | 54.9098 | 55.6863 | 2.4062 × 10−4 |
| Small | 44.6000 | 44.6939 | 0.6356 | 44.6680 | 44.4890 | 0.6232 |
| Tiny | 23.3202 | 23.5887 | 0.0306 | 23.5409 | 23.8095 | 0.3240 |
| Unculled | Culled | |||||
|---|---|---|---|---|---|---|
| aa * | “Labile” | “Stable” | p-Value | “Labile” | “Stable” | p-Value |
| Ala | 5.6711 | 6.1100 | 4.0438 × 10−4 | 5.8601 | 6.2500 | 0.0145 |
| Cys | 1.1811 | 1.5238 | 1.9760 × 10−10 | 1.2048 | 1.5385 | 2.8718 × 10−5 |
| Asp | 5.4409 | 5.3465 | 0.0230 | 5.4104 | 5.2427 | 0.0963 |
| Glu | 6.4338 | 6.1151 | 8.9284 × 10−6 | 6.3241 | 6.0362 | 0.0012 |
| Phe | 6.5476 | 6.2000 | 0.0014 | 6.4833 | 6.1100 | 0.0150 |
| Gly | 5.6075 | 5.3254 | 0.0125 | 5.6863 | 5.3407 | 0.0966 |
| His | 2.1696 | 2.3301 | 4.2799 × 10−5 | 2.2018 | 2.3297 | 0.0233 |
| Ile | 6.1185 | 6.0827 | 0.8018 | 6.1185 | 6.0038 | 0.7398 |
| Lys | 6.4639 | 5.4000 | 1.3464 × 10−14 | 6.0998 | 5.3360 | 3.4017 × 10−5 |
| Leu | 10.0616 | 11.0656 | 2.6111 × 10−12 | 10.2970 | 11.0891 | 7.5251 × 10−7 |
| Met | 3.3730 | 2.9851 | 4.2922 × 10−5 | 3.4068 | 3.0364 | 0.0015 |
| Asn | 4.0161 | 3.9448 | 0.3603 | 3.9062 | 3.8076 | 0.1330 |
| Pro | 5.0710 | 5.1081 | 0.2145 | 4.9900 | 5.0813 | 0.1682 |
| Gln | 3.4765 | 3.5849 | 0.1371 | 3.6290 | 3.6735 | 0.5681 |
| Arg | 6.0852 | 6.6202 | 1.0888 × 10−4 | 6.3116 | 6.7308 | 0.0013 |
| Ser | 5.3435 | 5.4104 | 0.4267 | 5.3465 | 5.4409 | 0.4281 |
| Thr | 5.4326 | 5.2104 | 0.0015 | 5.4902 | 5.1383 | 0.0011 |
| Val | 6.5056 | 6.2745 | 0.0128 | 6.4885 | 6.2622 | 0.0318 |
| Trp | 0.9452 | 1.1236 | 4.8193 × 10−6 | 0.9328 | 1.1494 | 3.9031 × 10−5 |
| Tyr | 3.5185 | 3.6072 | 0.5588 | 3.4926 | 3.6000 | 0.5164 |
| Non-Culled | Culled | |||
|---|---|---|---|---|
| Biological Feature | No. of “Labile” CYPs | No. of “Stable” CYPs | No. of “Labile” CYPs | No. of “Stable” CYPs |
| Signal peptide | 19 (7.9%) | 28 (11.4%) | 8 (7.0%) | 18 (11.2%) |
| Mito transit | 11 (4.6%) | 5 (2%) | 7 (6.1%) | 2 (1.3%) |
| Mitochondrial membrane | 11 (4.6%) | 5 (2%) | 7 (6.1%) | 2 (1.3%) |
| N-terminal helix | 198 (82.2%) | 196 (80.0%) | 95 (82.6%) | 132 (81.5%) |
| Motif | “Stable” (Unculled) | “Labile” (Unculled) |
|---|---|---|
| Haem-binding | ![]() | ![]() |
| PERF | ![]() | ![]() |
| Culled | “Stable” (Culled) | “Labile” (Culled) |
| Haem-binding | ![]() | ![]() |
| PERF | ![]() | ![]() |
| GO Term | Description | Subset 1 | All CYPs 2 | Dmel 2 | Agam 2 | Aaeg 2 | Cqui 2 |
|---|---|---|---|---|---|---|---|
| 1. GO:0048856 | anatomical structure development | S | 135 (55.1) | 27 (11.0) | 26 (10.6) | 33 (13.5) | 49 (20) |
| L | 75 | 7 | 18 | 23 | 27 | ||
| 2. GO:0008610 | lipid biosynthetic process | S | 141 (57.5) | 26 (10.6) | 26 (10.6) | 38 (15.5) | 51 (20.8) |
| L | 24 (9.9) | 4 (1.7) | 3 (1.2) | 8 (3.3) | 9 (3.7) | ||
| 3. GO:0008202 | steroid metabolic process | S | 95 (38.8) | 11 (4.5) | 29 (11.8) | 37 (15.1) | 18 (7.3) |
| L | 10 (4.1) | 2 (0.8) | 1 (0.4) | 1 (0.4) | 6 (2.5) | ||
| 4. GO:0042445 | hormone metabolic process | S | 53 (21.6) | 12 (4.9) | 15 (6.1) | 15 (6.1) | 11(4.5) |
| L | 4 (1.6) | - | - | - | 4 (1.6) | ||
| 5. GO:0007275 | multicellular organism development | S | 91 (37.1) | 19 (7.7) | 18 (7.3) | 22 (9.0) | 32 (13.0) |
| L | 25 (10.4) | 2 (0.8) | 7 (2.9) | 9 (3.7) | 7 (2.9) | ||
| 6. GO:0009791 | post-embryonic development | S | 19 (7.7) | 6 (2.4) | 4 (1.6) | 6 (2.4) | 3 (1.2) |
| L | - | - | - | - | - | ||
| 7. GO:0002165 | instar larval or pupal development | S | 17 (6.9) | 6 (2.4) | 6 (2.4) | 3 (1.2) | 2 (0.8) |
| L | - | - | - | - | - | ||
| 8. GO:0045456 | ecdysteroid biosynthetic process | S | 10 (4.1) | 4 (1.6) | 4 (1.6) | 1 (0.4) | 1 (0.4) |
| L | - | - | - | - | - | ||
| 9. GO:0006805 | xenobiotic metabolic process | S | 24 (9.8) | 2 (0.8) | 5 (2.0) | 6 (2.4) | 11 (4.5) |
| L | 69 (28.6) | 9 (3.7) | 11 (4.6) | 28 (11.6) | 21 (8.7) | ||
| 10. GO:0046680 | response to DDT | S | 30 (12.2) | 8 (3.3) | 5 (2.0) | 8 (3.3) | 9 (3.7) |
| L | 86 (35.7) | 10 (4.1) | 22 (9.1) | 29 (12.0) | 25 (10.4) | ||
| 11. GO:0009404 | toxin metabolic process | S | 12 (4.9) | 3 (1.2) | 2 (0.8) | 2 (0.8) | 5 (2.0) |
| L | 28 (11.6) | 7 (2.9) | 2 (0.8) | 10 (4.1) | 9 (3.7) |
| “Stable” Gene Tendencies | “Labile” Gene Tendencies |
|---|---|
| Longer genes; longer introns; more exons | Simpler, shorter gene structure |
| More hydrophobic; relative proportion of aliphatic amino acids higher; enriched in Cys, Arg, Leu, and Trp | Less hydrophobic; relative proportion of charged and polar amino acids higher; enriched in Glu, Lys, and Met |
| Involved in biosynthetic and developmental processes, such as biosynthesis of lipids and hormones essential for instar larval or pupal morphogenesis | Involved in cellular catabolic processes, detoxification of xenobiotics, and insecticide metabolic processes |
Disclaimer/Publisher’s Note: The statements, opinions and data contained in all publications are solely those of the individual author(s) and contributor(s) and not of MDPI and/or the editor(s). MDPI and/or the editor(s) disclaim responsibility for any injury to people or property resulting from any ideas, methods, instructions or products referred to in the content. |
© 2025 by the author. Licensee MDPI, Basel, Switzerland. This article is an open access article distributed under the terms and conditions of the Creative Commons Attribution (CC BY) license (https://creativecommons.org/licenses/by/4.0/).
Share and Cite
Tzotzos, G. Properties of “Stable” Mosquito Cytochrome P450 Enzymes. Insects 2025, 16, 184. https://doi.org/10.3390/insects16020184
Tzotzos G. Properties of “Stable” Mosquito Cytochrome P450 Enzymes. Insects. 2025; 16(2):184. https://doi.org/10.3390/insects16020184
Chicago/Turabian StyleTzotzos, George. 2025. "Properties of “Stable” Mosquito Cytochrome P450 Enzymes" Insects 16, no. 2: 184. https://doi.org/10.3390/insects16020184
APA StyleTzotzos, G. (2025). Properties of “Stable” Mosquito Cytochrome P450 Enzymes. Insects, 16(2), 184. https://doi.org/10.3390/insects16020184









