Fluctuating Asymmetry Spotted Wing Drosophila (Diptera: Drosophilidae) Exposed to Sublethal Doses of Acetamiprid and Nicotine
Abstract
Simple Summary
Abstract
1. Introduction
2. Materials and Methods
2.1. SWD Colony and Experimental Design
2.2. FA Measurement in the Wing Veins
2.3. Statistical Analysis
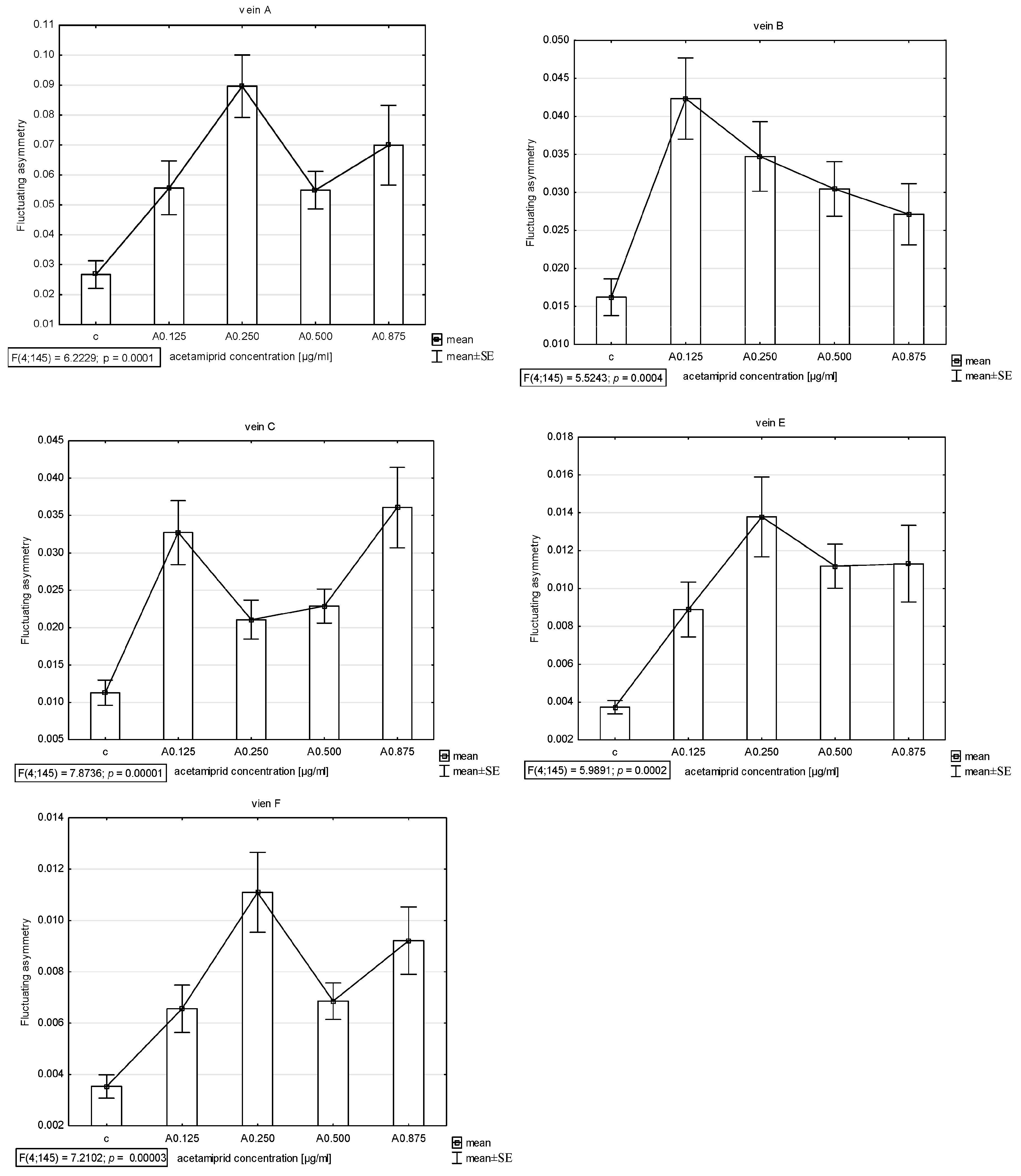
3. Results
3.1. Vein Length
3.2. Fluctuating Asymmetry
4. Discussion
5. Conclusions
- Sublethal doses of acetamiprid and nicotine disrupt the developmental stability of Drosophila suzukii, which manifests as fluctuating asymmetry in wing veins.
- Exposing insects to these insecticides throughout development reduces wing vein length, consequently reducing wing size.
- It is likely that persistent FA in subsequent SWD generations affects increased mortality—assuming that more disturbed individuals do not develop from eggs or larvae.
- FA can be used to analyze the effects of acetamiprid even at low, sublethal concentrations.
Author Contributions
Funding
Data Availability Statement
Conflicts of Interest
References
- Bonmatin, J.-M.; Giorio, C.; Girolami, V.; Goulson, D.; Kreutzweiser, D.; Krupke, C.; Liess, M.; Long, E.; Marzaro, M.; Mitchell, E.A.D.; et al. Environmental fate and exposure; neonicotinoids and fipronil. Environ. Sci. Pollut. Res. Int. 2015, 22, 35–67. [Google Scholar] [CrossRef] [PubMed]
- Botías, C.; David, A.; Horwood, J.; Abdul-Sada, A.; Nicholls, E.; Hill, E.; Goulson, D. Neonicotinoid Residues in Wildflowers, a Potential Route of Chronic Exposure for Bees. Environ. Sci. Technol. 2015, 49, 12731–12740. [Google Scholar] [CrossRef] [PubMed]
- Mahmood, I.; Imadi, S.; Shazadi, K.; Gul, A.; Hakeem, K. Effects of Pesticides on Environment. In Plant, Soil and Microbes; Hakeem, K., Akhtar, M., Abdullah, S., Eds.; Springer: Cham, Switzerland, 2016. [Google Scholar] [CrossRef]
- Desneux, N.; Decourtye, A.; Delpuech, J.M. The sub-lethal effects of pesticides on beneficial arthropods. Annu. Rev. Entomol. 2007, 52, 81–106. [Google Scholar] [CrossRef]
- Aliouane, Y.; El Hassani, A.K.; Gary, V.; Armengaud, C.; Lambin, M.; Gauthier, M. Subchronic exposure of honeybees to sub-lethal doses of pesticides: Effects on behavior. Environ. Toxcicol. Chem. 2009, 28, 113–122. [Google Scholar] [CrossRef]
- Blacquière, T.; Smagghe, G.; van Gestel, C.A.; Mommaerts, V. Neonicotinoids in bees: A review on concentrations, side-effects, and risk assessment. Ecotoxicology 2012, 21, 973–992. [Google Scholar] [CrossRef] [PubMed]
- van der Sluijs, J.P.; Simon-Delso, N.; Goulson, D.; Maxim, L.; Bonmatin, J.-M.; Belzunces, L.P. Neonicotinoids, bee disorders and the sustainability of pollinator services. Curr. Opin. Environ. Sustain. 2013, 5, 293–305. [Google Scholar] [CrossRef]
- Gregorc, A.; Alburaki, M.; Rinderer, N.; Sampson, B.; Knight, P.R.; Karim, S.; Adamczyk, J. Effects of coumaphos and imidacloprid on honeybee (Hymenoptera: Apidae) lifespan and antioxidant gene regulations in laboratory experiments. Sci. Rep. 2018, 8, 15003. [Google Scholar] [CrossRef]
- Serrão, J.E.; Plata-Rueda, A.; Martínez, L.C.; Zanuncio, J.C. Side-effects of pesticides on non-target insects in agriculture: A mini review. Sci. Nat. 2022, 109, 17. [Google Scholar] [CrossRef]
- Bartling, M.-T.; Brandt, A.; Hollert, H.; Vilcinskas, A. Current Insights into Sublethal Effects of Pesticides on Insects. Int. J. Mol. Sci. 2024, 25, 6007. [Google Scholar] [CrossRef]
- Asplen, M.K.; Anfora, G.; Biondi, A.; Choi, D.; Chu, D.; Daane, K.M.; Gibert, P.; Gutierrez, A.P.; Hoelmer, K.A.; Hutchison, W.D.; et al. Invasion biology of spotted wing Drosophila (Drosophila suzukii): A global perspective and future priorities. J. Pest. Sci. 2015, 88, 469–494. [Google Scholar] [CrossRef]
- Garcia, F.R.M.; Lasa, R.; Funes, C.F.; Buzzetti, K. Drosophila suzukii Management in Latin America: Current Status and Perspectives. J. Econ. Entomol. 2022, 115, 1008–1023. [Google Scholar] [CrossRef]
- Bühlmann, I.; Gossner, M.M. Invasive Drosophila suzukii outnumbers native controphics and causes substantial damage to fruits of forest plants. NeoBiota 2022, 77, 39–77. [Google Scholar] [CrossRef]
- Costas-Ferreira, C.; Faro, L.R.F. Neurotoxic Effects of Neonicotinoids on Mammals: What Is There beyond the Activation of Nicotinic Acetylcholine Receptors?—A Systematic Review. Int. J. Mol. Sci. 2021, 22, 8413. [Google Scholar] [CrossRef] [PubMed]
- Zuščíková, L.; Bažány, D.; Greifová, H.; Knížatová, N.; Kováčik, A.; Lukáč, N.; Jambor, T. Screening of Toxic Effects of Neonicotinoid Insecticides with a Focus on Acetamiprid: A Review. Toxics 2023, 11, 598. [Google Scholar] [CrossRef] [PubMed]
- Thompson, D.A.; Lehmler, H.-J.; Kolpin, D.W.; Hladik, M.L.; Vargo, J.D.; Schilling, K.E.; LeFevre, G.H.; Peeples, T.L.; Poch, M.C.; LaDuca, L.E.; et al. A Critical Review on the Potential Impacts of Neonicotinoid Insecticide Use: Current Knowledge of Environmental Fate, Toxicity, and Implications for Human Health. Environ. Sci. Process. Impacts 2020, 22, 1315–1346. [Google Scholar] [CrossRef]
- Zhang, C.; Wang, X.; Kaur, P.; Gan, J. A critical review on the accumulation of neonicotinoid insecticides in pollen and nectar. Influencing factors and implications for pollinator exposure. Sci. Total Environ. 2023, 899, 165670. [Google Scholar] [CrossRef]
- Wood, T.J.; Goulson, D. The environmental risks of neonicotinoid pesticides: A review of the evidence post 2013. Environ. Sci. Pollut. Res. Int. 2017, 24, 17285–17328. [Google Scholar] [CrossRef]
- Schöneberg, T.; Lewis, M.T.; Burrack, H.J.; Grieshop, M.; Isaacs, R.; Rendon, D.; Rogers, M.; Rothwell, N.; Sial, A.A.; Walton, V.M.; et al. Cultural Control of Drosophila suzukii in Small Fruit-Current and Pending Tactics in the U.S. Insects 2021, 12, 172. [Google Scholar] [CrossRef] [PubMed]
- Shaw, B.; Brain, P.; Wijnen, H.; Fountain, M.T. Implications of sub-lethal rates of insecticides and daily time of application on Drosophila suzukii lifecycle. Crop Prot. 2019, 121, 182–194. [Google Scholar] [CrossRef]
- Xu, C.; Zhang, Z.; Cui, K.; Zhao, Y.; Han, J.; Liu, F.; Mu, W. Effects of Sub-lethal Concentrations of Cyantraniliprole on the Development, Fecundity and Nutritional Physiology of the Black Cutworm Agrotis ipsilon (Lepidoptera: Noctuidae). PLoS ONE 2016, 11, e0156555. [Google Scholar] [CrossRef]
- Brandt, A.; Gorenflo, A.; Siede, R.; Meiner, M.; Buchler, R. The neonicotinoids thiacloprid, imidacloprid, and clothianidin affect the immunocompetence of honeybees (Apis mellifera L.). J. Insect Physiol. 2016, 86, 4–47. [Google Scholar] [CrossRef] [PubMed]
- Lewandowska-Wosik, A.; Chudzińska, E.; Wojnicka-Półtorak, A. Genotoxic effects of sub-lethal doses of nicotine and acetamiprid in neuroblasts of Drosophila melanogaster and Drosophila suzukii. Ecotoxicol. Environ. Saf. 2024, 280, 116585. [Google Scholar] [CrossRef]
- Graham, J.; Raz, S.; Hel-Or, H.; Eviatar, N. Fluctuating Asymmetry: Methods, Theory, and Applications. Symmetry 2010, 2, 466–540. [Google Scholar] [CrossRef]
- Graham, J.H. Fluctuating Asymmetry and Developmental Instability, a Guide to Best Practice. Symmetry 2021, 13, 9. [Google Scholar] [CrossRef]
- De Coster, G.; Van Dongen, S.; Malaki, P.; Muchane, M.; Alcantara-Exposito, A.; Matheve, H.; Lens, L. Fluctuating Asymmetry and Environmental Stress: Understanding the Role of Trait History. PLoS ONE 2013, 8, e57966. [Google Scholar] [CrossRef] [PubMed]
- Büyükgüzel, K.; Büyükgüzel, E.; Chudzińska, E.; Lewandowska-Wosik, A.; Gaj, R.; Adamski, Z. Drosophila melanogaster Response to Feeding with Neomycin-Based Medium Expressed in Fluctuating Asymmetry. Insects 2020, 11, 378. [Google Scholar] [CrossRef]
- Vishalakshi, C.; Singh, B.N. Effect of environmental stress on fluctuating asymmetry in certain morphological traits in Drosophila ananassae: Nutrition and larval crowding. Can. J. Zool. 2008, 86, 427–437. [Google Scholar] [CrossRef]
- Soto, I.M.; Carreira, V.P.; Soto, E.M.; Hasson, E. Wing morphology and fluctuating asymmetry depend on the host plant in cactophilic Drosophila. J. Evol. Biol. 2008, 21, 598–609. [Google Scholar] [CrossRef]
- Chowański, S.Z.; Chudzińska, E.; Lelario, F.; Ventrella, E.; Marciniak, P.; Miądowicz-Kobielska, M.; Spochacz, M.; Szymczak, M.; Scrano, L.; Bufo, S.A.; et al. Insecticidal properties of Solanum nigrum and Armoracia rusticana extracts on reproduction and development of Drosophila melanogaster. Ecotoxicol. Environ. Saf. 2018, 162, 454–463. [Google Scholar] [CrossRef]
- Ahmad, M.F.; Ahmad, F.A.; Alsayegh, A.A.; Zeyaullah, M.; AlShahrani, A.M.; Muzammil, K.; Saati, A.A.; Wahab, S.; Elbendary, E.Y.; Kambal, N.; et al. Pesticides impacts on human health and the environment with their mechanisms of action and possible countermeasures. Heliyon 2024, 10, e29128. [Google Scholar] [CrossRef]
- Hernandez-Jerez, A.; Coja, T.; Paparella, M.; Price, A.; Henri, J.; Focks, A.; Louisse, J.; Terron, A.; Binaglia, M.; Munoz Guajardo, I.; et al. Statement on the toxicological properties and maximum residue levels of acetamiprid and its metabolites. EFSA J. 2024, 22, e8759. [Google Scholar] [CrossRef] [PubMed]
- Hoffmann Schlesener, D.C.; Wollmann, J.; de Bastos Pazini, J.; Costa Padilha, A.; Grützmacher, A.D.; Mello Garcia, F.R. Insecticide Toxicity to Drosophila suzukii (Diptera: Drosophilidae) parasitoids: Trichopria anastrephae (Hymenoptera: Diapriidae) and Pachycrepoideus vindemmiae (Hymenoptera: Pteromalidae). J. Eco. Entomol. 2019, 112, 1197–1206. [Google Scholar] [CrossRef] [PubMed]
- Velazquez-Ulloa, N.A. A Drosophila model for developmental nicotine exposure. PLoS ONE 2017, 12, e0177710. [Google Scholar] [CrossRef]
- De Beasley, A.E.; Bonisoli-Alquati, A.; Mousseau, T.A. The use of fluctuating asymmetry as a measure of environmentally induced developmental instability: A meta-analysis. Eco. Indic. 2013, 30, 218–226. [Google Scholar] [CrossRef]
- Simbula, G.; Vignoli, L.; Carretero, M.A.; Kaliontzopoulou, A. Fluctuating asymmetry as biomarker of pesticides exposure in the Italian wall lizards (Podarcis siculus). Zoology 2021, 147, 125928. [Google Scholar] [CrossRef]
- Zhelev, Z.; Mollov, I.; Tsonev, S. Application of Fluctuating Asymmetry Values in Pelophylax ridibundus (Amphibia: Anura: Ranidae) Meristic Traits as a Method for Assessing Environmental Quality of Areas with Different Degrees of Urbanization. Diversity 2023, 15, 118. [Google Scholar] [CrossRef]
- Eeva, T.; Tanhuanpää, S.; Råbergh, C.; Airaksinen, S.; Nikinmaa, M.; Lehikoinen, E. Biomarkers and fluctuating asymmetry as indicators of pollution-induced stress in two hole-nesting passerines. Funct. Ecol. 2000, 14, 235–243. [Google Scholar] [CrossRef]
- Allenbach, D.M. Fluctuating asymmetry and exogenous stress in fishes: A review. Rev. Fish Biol. Fish. 2011, 21, 355–376. [Google Scholar] [CrossRef]
- Seixas, L.B.; Gonzalez Neves dos Santos, A.F.; Neves dos Santos, L. Fluctuating asymmetry: A tool for impact assessment on fish populations in a tropical polluted bay, Brazil. Ecol. Indic. 2016, 71, 522–532. [Google Scholar] [CrossRef]
- Chang, X.; Zhai, B.; Liu, X.; Wang, M. Effects of temperature stress and pesticide exposure on fluctuating asymmetry and mortality of Copera annulata (Selys) (Odonata: Zygoptera) larvae. Ecotoxicol. Environ. Saf. 2007, 67, 120–127. [Google Scholar] [CrossRef]
- Nunes, L.A.; Araújo, E.D.D.; Marchini, L.C. Fluctuating asymmetry in Apis mellifera (Hymenoptera: Apidae) as bioindicator of anthropogenic environments. Rev. Biol. Trop. 2015, 63, 673–682. [Google Scholar] [CrossRef][Green Version]
- Nattero, J.; Piccinali, R.V.; Gaspe, M.S.; Gürtler, R.E. Fluctuating asymmetry and exposure to pyrethroid insecticides in Triatoma infestans populations in northeastern Argentina. Infect. Genet. Evol. 2019, 74, 103925. [Google Scholar] [CrossRef] [PubMed]
- Vilaseca, C.; Pinto, C.F.; Órdenes-Claveria, R.; Laroze, D.; Méndez, M.A.; Benítez, H.A. Insect Fluctuating Asymmetry: An Example in Bolivian Peridomestic Populations of Triatoma infestans (Klug, 1834) (Hemiptera: Reduviidae). Symmetry 2022, 14, 526. [Google Scholar] [CrossRef]
- Ivanković Tatalović, L.; Anđelić, B.; Jelić, M.; Kos, T.; Benítez, H.A.; Šerić Jelaska, L. Fluctuating Asymmetry as a Method of Assessing Environmental Stress in Two Predatory Carabid Species within Mediterranean Agroecosystems. Symmetry 2020, 12, 1890. [Google Scholar] [CrossRef]
- Floate, K.D.; Fox, A.S. Flies understress: A test of fluctuating asymmetry as a biomonitor of environmental quality. Ecol. Appl. 2000, 10, 1541–1550. [Google Scholar] [CrossRef]
- Antipin, M.I.; Imasheva, A.G. Genetic Variability and Fluctuating Asymmetry of Morphological Traits in Drosophila melanogaster Reared on a Pesticide-Containing Medium. Russ. J. Genet. 2001, 37, 247–252. [Google Scholar] [CrossRef]
- Ventrella, E.; Adamski, Z.; Chudzińska, E.; Miądowicz-Kobielska, M.; Marciniak, P.; Büyükgüzel, E.; Erdem, M.; Falabella, P.; Scrano, L.; Bufo, S.A. Solanum tuberosum and Lycopersicon esculentum leaf extracts and single metabolites affect development and reproduction of Drosophila melanogaster. PLoS ONE 2016, 11, e0155958. [Google Scholar] [CrossRef]
- Lushchak, V.I.; Matviishyn, T.M.; Husak, V.V.; Storey, J.M.; Storey, K.B. Pesticide toxicity: A mechanistic approach. EXCLI J. 2018, 17, 1101–1136. [Google Scholar] [CrossRef]










| Vein | Concentration: A = Acetamiprid [µg/mL] N = Nicotine [mg/mL] | N | Mean [mm] | Min [mm] | Max [mm] | SD | V |
|---|---|---|---|---|---|---|---|
| A | C | 270 | 64.41 | 54.42 | 75.14 | 5.624 | 8.724 |
| A0.125 | 180 | 57.62 | 46.71 | 81.34 | 8.005 | 13.89 | |
| A0.250 | 180 | 67.81 | 52.97 | 75.88 | 5.597 | 8.817 | |
| A0.500 | 180 | 69.92 | 60.66 | 82.705 | 5.508 | 7.877 | |
| A0.875 | 90 | 66.02 | 56.13 | 76.47 | 6.653 | 10.077 | |
| N0.1 | 270 | 60.23 | 49.53 | 68.67 | 5.21 | 8.64 | |
| N0.2 | 270 | 62.35 | 50.03 | 70.56 | 4.53 | 7.27 | |
| B | C | 270 | 195.07 | 166.13 | 225.26 | 17.038 | 8.734 |
| A0.125 | 180 | 183.48 | 151.61 | 232.45 | 23.92 | 13.032 | |
| A0.250 | 180 | 189.47 | 170.64 | 207.69 | 11.771 | 6.032 | |
| A0.500 | 180 | 194.72 | 148.17 | 218.5 | 15.391 | 7.904 | |
| A0.875 | 90 | 187.81 | 160.29 | 217.05 | 14.741 | 7.85 | |
| N0.1 | 270 | 170.32 | 146.49 | 195.92 | 12.83 | 7.53 | |
| N0.2 | 270 | 173.44 | 153.87 | 192.72 | 12.62 | 7.28 | |
| C | C | 270 | 357.88 | 328.29 | 389.47 | 15.687 | 4.383 |
| A0.125 | 180 | 340.27 | 297.4 | 392.24 | 27.21 | 8.00 | |
| A0.250 | 180 | 340.63 | 295.05 | 373.29 | 24.116 | 7.12 | |
| A0.500 | 180 | 351.12 | 304.88 | 382.38 | 21.01 | 5.98 | |
| A0.875 | 90 | 329.92 | 285.17 | 368.57 | 18.63 | 5.65 | |
| N0.1 | 270 | 315.81 | 285.03 | 354.42 | 19.59 | 6.20 | |
| N0.2 | 270 | 310.302 | 281.32 | 343.97 | 18.17 | 5.85 | |
| D | C | 270 | 539.19 | 480.89 | 590.16 | 33.81 | 6.27 |
| A0.125 | 180 | 499.42 | 436.04 | 586.77 | 39.76 | 7.96 | |
| A0.250 | 180 | 513.65 | 457.61 | 557.28 | 31.27 | 6.09 | |
| A0.500 | 180 | 519.2 | 433.63 | 570.6 | 32.7 | 6.30 | |
| A0.875 | 90 | 506.02 | 435.86 | 545.57 | 27.97 | 5.53 | |
| N0.1 | 270 | 501.28 | 446.47 | 560.87 | 34.42 | 6.87 | |
| N0.2 | 270 | 495.16 | 440.85 | 549.49 | 34.94 | 7.06 | |
| E | C | 270 | 1145.43 | 1059.64 | 1244.9 | 65.01 | 5.68 |
| A0.125 | 180 | 1098.38 | 974.57 | 1264.04 | 73.99 | 6.74 | |
| A0.250 | 180 | 1073.35 | 930.79 | 2272.98 | 65.58 | 6.11 | |
| A0.500 | 180 | 1118.23 | 925.57 | 1231.3 | 755.5 | 6.75 | |
| A0.875 | 90 | 1067.16 | 999.2 | 1210.04 | 66.31 | 6.21 | |
| N0.1 | 270 | 1005.16 | 890.91 | 1114.17 | 64.98 | 6.46 | |
| N0.2 | 270 | 1009.78 | 930.77 | 1106.28 | 60.45 | 5.99 | |
| F | C | 270 | 1754.62 | 1609.57 | 1893.18 | 98.64 | 5.62 |
| A0.125 | 180 | 1676.69 | 1500.75 | 1936.74 | 120.99 | 7.22 | |
| A0.250 | 180 | 1663.93 | 1523.23 | 1783.37 | 91.16 | 5.48 | |
| A0.500 | 180 | 1718.81 | 1428.33 | 1886.32 | 108.53 | 6.31 | |
| A0.875 | 90 | 1653.04 | 1487.69 | 1823.82 | 95.06 | 5.75 | |
| N0.1 | 270 | 1580.19 | 1387.73 | 1753.63 | 102.91 | 6.51 | |
| N0.2 | 270 | 1579.43 | 1447.36 | 1714.62 | 98.12 | 6.21 |
= highest average vein length;
= lowest average vein length.| Vein | Concentration: A = Acetamiprid [µg/mL] N = Nicotine [mg/mL] | N | Mean [mm] | Min [mm] | Max [mm] | SD | V |
|---|---|---|---|---|---|---|---|
| A | C | 30 | 0.026709 | 0.001671 | 0.086230 | 0.025 | 94.83 |
| A0.125 | 30 | 0.055673 | 0.004383 | 0.182970 | 0.049 | 88.16 | |
| A0.250 | 30 | 0.089643 | 0.014400 | 0.225400 | 0.057 | 63.65 | |
| A0.500 | 30 | 0.054924 | 0.003820 | 0.117420 | 0.035 | 63.10 | |
| A0.875 | 30 | 0.069924 | 0.004559 | 0.271510 | 0.073 | 104.27 | |
| N0.1 | 30 | 0.063087 | 0.001311 | 0.300860 | 0.058 | 92.16 | |
| N0.2 | 30 | 0.070425 | 0.001700 | 0.206100 | 0.058 | 82.07 | |
| B | C | 30 | 0.016205 | 0.001827 | 0.050997 | 0.013 | 82.03 |
| A0.125 | 30 | 0.042344 | 0.011310 | 0.095230 | 0.029 | 69.14 | |
| A0.250 | 30 | 0.034723 | 0.005800 | 0.134000 | 0.025 | 72.19 | |
| A0.500 | 30 | 0.030442 | 0.003770 | 0.090200 | 0.020 | 64.65 | |
| A0.875 | 30 | 0.027121 | 0.001325 | 0.090630 | 0.022 | 81.17 | |
| N0.1 | 30 | 0.022847 | 0.001152 | 0.059800 | 0.016 | 70.68 | |
| N0.2 | 30 | 0.038047 | 0.000950 | 0.105520 | 0.027 | 71.08 | |
| C | C | 30 | 0.011279 | 0.001560 | 0.048240 | 0.009 | 81.71 |
| A0.125 | 30 | 0.032707 | 0.002972 | 0.092920 | 0.023 | 71.51 | |
| A0.250 | 30 | 0.021047 | 0.001500 | 0.049600 | 0.014 | 68.11 | |
| A0.500 | 30 | 0.022863 | 0.006325 | 0.049450 | 0.012 | 55.04 | |
| A0.875 | 30 | 0.036076 | 0.001990 | 0.102430 | 0.029 | 81.45 | |
| N0.1 | 30 | 0.023521 | 0.001485 | 0.060170 | 0.019 | 81.48 | |
| N0.2 | 30 | 0.027501 | 0.000580 | 0.097310 | 0.023 | 83.49 | |
| E | C | 30 | 0.003732 | 0.001014 | 0.007978 | 0.002 | 52.22 |
| A0.125 | 30 | 0.008884 | 0.001504 | 0.034520 | 0.008 | 89.21 | |
| A0.250 | 30 | 0.013779 | 0.001190 | 0.059710 | 0.011 | 83.41 | |
| A0.500 | 30 | 0.011182 | 0.001870 | 0.031630 | 0.006 | 56.72 | |
| A0.875 | 30 | 0.011309 | 0.001350 | 0.049930 | 0.011 | 97.76 | |
| N0.1 | 30 | 0.009978 | 0.001190 | 0.044610 | 0.008 | 85.28 | |
| N0.2 | 30 | 0.010514 | 0.000380 | 0.026540 | 0.009 | 83.92 | |
| F | C | 30 | 0.003535 | 0.001005 | 0.009060 | 0.002 | 70.37 |
| A0.125 | 30 | 0.006564 | 0.001660 | 0.023770 | 0.005 | 77.08 | |
| A0.250 | 30 | 0.011096 | 0.001425 | 0.032600 | 0.008 | 76.78 | |
| A0.500 | 30 | 0.006859 | 0.001775 | 0.017720 | 0.004 | 56.61 | |
| A0.875 | 30 | 0.009213 | 0.001373 | 0.037380 | 0.007 | 77.88 | |
| N0.1 | 30 | 0.017789 | 0.000030 | 0.333850 | 0.060 | 336.69 | |
| N0.2 | 30 | 0.008290 | 0.001303 | 0.026690 | 0.006 | 69.59 |
= highest mean FA observed for acetamiprid;
= highest mean FA observed for nicotine.Disclaimer/Publisher’s Note: The statements, opinions and data contained in all publications are solely those of the individual author(s) and contributor(s) and not of MDPI and/or the editor(s). MDPI and/or the editor(s) disclaim responsibility for any injury to people or property resulting from any ideas, methods, instructions or products referred to in the content. |
© 2024 by the authors. Licensee MDPI, Basel, Switzerland. This article is an open access article distributed under the terms and conditions of the Creative Commons Attribution (CC BY) license (https://creativecommons.org/licenses/by/4.0/).
Share and Cite
Lewandowska-Wosik, A.; Chudzińska, E.M. Fluctuating Asymmetry Spotted Wing Drosophila (Diptera: Drosophilidae) Exposed to Sublethal Doses of Acetamiprid and Nicotine. Insects 2024, 15, 681. https://doi.org/10.3390/insects15090681
Lewandowska-Wosik A, Chudzińska EM. Fluctuating Asymmetry Spotted Wing Drosophila (Diptera: Drosophilidae) Exposed to Sublethal Doses of Acetamiprid and Nicotine. Insects. 2024; 15(9):681. https://doi.org/10.3390/insects15090681
Chicago/Turabian StyleLewandowska-Wosik, Anetta, and Ewa Małgorzata Chudzińska. 2024. "Fluctuating Asymmetry Spotted Wing Drosophila (Diptera: Drosophilidae) Exposed to Sublethal Doses of Acetamiprid and Nicotine" Insects 15, no. 9: 681. https://doi.org/10.3390/insects15090681
APA StyleLewandowska-Wosik, A., & Chudzińska, E. M. (2024). Fluctuating Asymmetry Spotted Wing Drosophila (Diptera: Drosophilidae) Exposed to Sublethal Doses of Acetamiprid and Nicotine. Insects, 15(9), 681. https://doi.org/10.3390/insects15090681

