Next Article in Journal
Functions of Insulin-like Peptide Genes (CsILP1 and CsILP2) in Female Reproduction of the Predatory Ladybird Coccinella septempunctata (Coleoptera: Coccinellidae)
Next Article in Special Issue
Pre-Crop Chemical Control Has No Effects on Corn Leaf Aphid, Rhopalosiphum maidis (Fitch) (Hemiptera: Aphididae) Endosymbiotic Bacterial Diversity Along an Industrial Maize Management
Previous Article in Journal
Low-Fat Tenebrio molitor Meal as a Component in the Broiler Diet: Growth Performance and Carcass Composition
Previous Article in Special Issue
Molecular Interactions Between Plants and Aphids: Recent Advances and Future Perspectives
 
 
Font Type:
Arial Georgia Verdana
Font Size:
Aa Aa Aa
Line Spacing:
Column Width:
Background:
Article

Potential Involvement of Buchnera aphidicola (Enterobacteriales, Enterobacteriaceae) in Biotype Differentiation of Sitobion avenae (Hemiptera: Aphididae)

1
College of Plant Protection, Hebei Agricultural University, Baoding 071001, China
2
College of Plant Protection, Northwest A&F University, Yangling 712100, China
3
College of Plant Protection, Shandong Agricultural University, Tai’an 271000, China
*
Authors to whom correspondence should be addressed.
These authors contributed equally to this work.
Insects 2024, 15(12), 980; https://doi.org/10.3390/insects15120980
Submission received: 26 October 2024 / Revised: 21 November 2024 / Accepted: 6 December 2024 / Published: 11 December 2024
(This article belongs to the Special Issue Biology and Molecular Mechanisms of Plant-Aphid Interactions)

Simple Summary

This study explored the role of Buchnera aphidicola, an obligate endosymbiont, in the biotype differentiation of Sitobion avenae (Fabricius). Buchnera abundance varied among biotypes when fed on different wheat and barley varieties. The reduction of Buchnera abundance by antibiotic treatment altered the virulence of the five biotypes. Transcriptome analysis showed that genes involved in amino acid metabolism were differentially expressed between different biotypes of S. avenae. The deficiencies in leucine and tryptophan most significantly affected nymph development and aphid fecundity. The genetic differentiation of Buchnera among S. avenae biotypes was also observed. These findings suggest that Buchnera may play a role in the biotype differentiation of S. avenae through its influence on amino acid metabolism. This provides valuable insights for breeding resistant crop varieties and reducing the reliance on insecticides.

Abstract

Buchnera aphidicola, an obligate endosymbiont of most aphid species, can influence aphids’ host adaptability through amino acid metabolism, potentially mediating biotype differentiation. However, its role in the biotype differentiation of Sitobion avenae remains unclear. To address this issue, six S. avenae biotypes were tested in this study. Buchnera abundance varied among biotypes fed on different wheat/barley varieties (i.e., Zhong 4 wumang, 186-TM12-34; Dulihuang, Zaoshu No.3, Xiyin No.2). The reduction in Buchnera abundance through antibiotic (rifampicin) treatment altered the virulence of five S. avenae biotypes. Based on transcriptome analysis, the differential expression of three genes (i.e., LeuB, TrpE, and IlvD) related to leucine, tryptophan, isoleucine, and valine metabolism was detected between different biotypes. Principal component analysis showed that leucine and tryptophan deficiencies most significantly impacted nymph development duration and aphid fecundity. Additionally, a neighbor-joining phylogenetic tree indicated the genetic differentiation of Buchnera among different biotypes. These results suggest Buchnera-mediated amino acid metabolism is correlated with biotype differentiation in S. avenae, although the precise mechanisms by which Buchnera influences this differentiation require further investigation. This study can offer a theoretical basis for the development of resistant crops, leading to the sustainable control of this aphid and reduced reliance on chemical insecticides.

Graphical Abstract

1. Introduction

Utilizing the resistance of host plants to control insect pests serves as an effective control strategy, providing cost savings, supporting biocontrol efforts, and decreasing the reliance on potentially harmful insecticides [1]. The rapid emergence of new insect biotypes poses significant challenges to the effectiveness of resistant crops in pest management. For example, the resistance of wheat varieties with the Dn4 gene deployed in the United States in 1995 was overcome by a new biotype (RWA2) of Diuraphis noxia (Mordvilko) just eight years later [2]. Insect biotypes are generally described as groups within a species that can overcome the resistance of cultivated plants, which are effective against other groups of the same species. Around half of all insects exhibiting biotype differentiation are members of the Aphididae family [3]. Biotype divergence has been identified in numerous aphids that cause significant harm to agricultural production, including Aphis glycines (Matsumura), D. noxia, and Acyrthosiphon pisum (Harris) [4,5,6,7]. The finding that aphids are more prone to biotype divergence than other insects may be closely related to their parthenogenetic reproduction and, potentially, to the influence of endosymbionts [4,8,9].
Buchnera aphidicola (Enterobacteriales, Enterobacteriaceae), as a vital obligate endosymbiont, is distributed in most aphids [10,11]. While Buchnera provides essential amino acids (EAAs) and other nutrients critical for aphid survival and reproduction [12,13], it may also influence aphid feeding preferences and plant specialization through the modulation of amino acid metabolism, potentially contributing to biotype differentiation in aphids [1]. Recent studies provide evidence suggesting this possibility. For example, Buchnera can provide A. glycines biotype 2 with a more sufficient supply of EAAs, resulting in the ability of this biotype to overcome the resistance of soybean variety with the gene Rag1 [14,15]. Subsequent genome sequencing of Buchnera in A. glycines revealed that 19 SNPs were identified between biotypes 1 and 2, many of which were located in genes related to the metabolism of amino acids [16]. Meanwhile, many studies have indicated that the divergence in the amino acid metabolism of Buchnera in different biotypes of the same aphid might be related to the abundance and genetic variation of Buchnera [17,18,19].
In recent years, some studies have attempted to ascertain the specific amino acid metabolism and key genes involved in Buchnera-mediated aphid biotype divergence. Leucine and arginine metabolism were considered to be the critical amino acid metabolic pathways in the biotype differentiation of D. noxia and A. pisum, respectively [17,20]. This distinction may be related to the different compositions of free amino acids in the host plants that different species of aphids feed on, and another reasonable explanation is that significant genetic variations of Buchnera existed in different species of aphids [21,22]. So far, the molecular mechanism for the biotype differentiation of aphids mediated by Buchnera is still not fully elucidated, and the specific genes involved often remain unidentified.
The grain aphid Sitobion avenae (Fabricius) (Hemiptera: Aphididae) is a significant worldwide pest inflicting substantial economic losses in agriculture [23,24,25]. In our earlier research, several biotypes of S. avenae were identified by examining their specific virulence response profiles on multiple barley/wheat varieties [26]. Insufficient free amino acids in aphid-resistant wheat cultivars are an important factor in conferring resistance [27]. Therefore, we speculate that Buchnera, which can provide EAAs for host aphids, may be involved in the biotype differentiation of S. avenae. In this research, we characterized the Buchnera abundance of six S. avenae biotypes fed on different wheat/barley varieties, as well as the changes in the virulence response profiles of S. avenae biotypes after antibiotic treatment reduced the abundance of Buchnera. The differentially expressed genes of Buchnera between different biotypes were detected by RNA-seq. Then, six S. avenae biotypes were fed with artificial diets composed of different amino acids, and the differences in the life-history traits among different biotypes were compared. Finally, molecular marker technology was used to analyze the genetic variation of Buchnera between different S. avenae biotypes. The specific objectives are to (1) investigate the potential role of Buchnera in the biotype differentiation of S. avenae; (2) examine the influence of the abundance and genetic variation of Buchnera on the biotype differentiation of this aphid; and (3) identify the amino acid metabolism potentially involved in the biotype differentiation of S. avenae mediated by Buchnera.

2. Materials and Methods

2.1. Aphid Biotypes

In our previous study, multiple S. avenae biotypes (i.e., biotypes 1–5 and 7; Table S1) were identified based on their unique performance profiles on resistant wheat varieties (i.e., Zhong 4 wumang and 186-TM12-34) and barley varieties (i.e., Dulihuang, Zaoshu No.3, and Xiyin No.2). The collection and microsatellite information for all clones of the six biotypes selected in this study are shown in Table S2. Details on primer information and fragment size detection methods for each microsatellite locus are available in our previous study [26]. Under the conditions of 22 ± 1 °C temperature, 65 ± 5% relative humidity, and a 16:8 (L:D) h photoperiod, each aphid clone was reared in isolation on the wheat variety Aikang 58, known to be susceptible to S. avenae [26].

2.2. Detection of the Abundance of Buchnera in Six S. avenae Biotypes on Different Plants

Before this test, for each biotype, three first-instar nymphs from each clone were mixed together and raised for three generations on Aikang 58, forming a clonal complex of each biotype. One randomly chosen new-born first-instar nymph from the complex of each biotype was transferred onto single seedlings at the two-leaf stage of five resistant wheat/barley varieties (i.e., Zhong 4 wumang, 186-TM12-34, Dulihuang, Zaoshu No.3, and Xiyin No.2) and one susceptible control wheat variety (i.e., Aikang 58). These varieties were used in our previous study to identify S. avenae biotypes [26]. Under the above environmental conditions, five 5-day-old nymphs or wingless adults within 24 h were collected for DNA extraction as a single biological replicate. The abundance of Buchnera was measured by qRT-PCR, using the ratio of the copy number of the Buchnera-specific gene groEL to that of the aphid gene ef1α [28]. The amplification efficiencies of groEL and ef1α primers were 1.02 and 0.94, respectively, and their sequences are provided in Table S3. Each qRT-PCR reaction was carried out in a total volume of 20 μL, consisting of 10 μL SYBR Green Master Mix (UElandy, Suzhou, China), 1 μL DNA (100 ng/uL), 0.5 μL each forward and reverse primer (10 μM), and 8 μL ddH2O. The qRT-PCR cycling conditions included an initial denaturation at 95 °C for 2 min, then 45 cycles of amplification with denaturation at 95 °C for 10 s, annealing at 54 °C for 30 s, and extension at 72 °C for 30 s. The melt curve analysis at the annealing temperature showed no primer dimers or nonspecific amplification. All qRT-PCR assays were conducted using the CFX96 Real-Time System (Bio-Rad, Hercules, CA, USA). For each biotype under each treatment, four biological replicates and three technical replicates were included. Copy numbers were calculated for each gene in different samples based on a standard curve using the method described by Serteyn et al. [17].

2.3. Determination of the Virulence Response Profiles of Six S. avenae Biotypes on Wheat/Barley Varieties Before and After Rifampin Treatments

To minimize the potential influence of facultative endosymbionts in aphids, we selected a clone (i.e., clone 3, Table S2) from each biotype that was devoid of the most commonly characterized facultative endosymbionts for the subsequent tests. The most commonly characterized facultative endosymbionts (i.e., Hamiltonella defensa, Regiella insecticola, Rickettsia sp., Spiroplasma sp., Serratia symbiotica, Wolbachia pipientis) in S. avenae and the detection methods were referenced from Hu et al. [29] and Wang et al. [30]. All primer sequences are listed in Table S4. The electrophoresis detection results of facultative endosymbionts in clone 3 of each biotype before 72 h of antibiotic treatment are shown in Figure S1.
Referring to the method of Zhang et al. [31] and Colella et al. [32], rifampicin (Macklin Biochemical Co., Ltd., Shanghai, China) was added to the artificial diets, and the artificial diets were fed to aphids using an aphid feeder. The aphid feeder was constructed by stretching a thin membrane of Parafilm (Bemis, Neenah, WI, USA) over a transparent plastic tube of 30 mm diameter and 30 mm height, with 0.4 mL of the artificial diet (Table S5) added between two layers of Parafilm.
In order to determine the optimal concentration of rifampin that can effectively reduce Buchnera abundance and make aphids complete a normal generation, artificial diets containing different concentrations of rifampicin (0 μg/mL, 1 μg/mL, 2 μg/mL, 4 μg/mL, 8 μg/mL, 16 μg/mL) were prepared, and new-born first-instar nymphs (within 24 h) of three biotypes (i.e., biotypes 1–3) were maintained on these artificial diets. After 24 h, fifty nymphs were collected for DNA extraction as a single biological replicate. The abundance of Buchnera was detected according to the method described above. At the same time, 24 h after treatment, one aphid was transferred to a single plant seedling of Aikang 58. Test individuals were monitored daily for molting or reproductive events until 10 days after the onset of reproduction for each individual. Each treatment was repeated three times for each biotype.
Based on the above experimental results, the optimum concentration of rifampicin used in the test was determined. New-born first-instar nymphs of the six biotypes were fed with artificial diets containing selected concentrations of rifampicin and artificial diets without rifampicin, respectively. After 24 h, the abundance of Buchnera of each biotype was detected according to the above method to verify the effect of rifampicin treatment. Simultaneously, 24 h after antibiotic treatment with or without antibiotics, one aphid was transferred to a single plant seedling of each of the six varieties (i.e., Zhong 4 wumang, 186-TM12-34, Dulihuang, Zaoshu No.3, Xiyin No.2 and Aikang 58). The 10 d fecundities of all aphids were determined according to the method described above. In addition, the count of aphid individuals per plant was recorded 12 days following infestation. Each treatment was repeated four to six times for each biotype. Plant resistance to S. avenae was assessed using the aphid counts ratio, calculated as the number of aphids on each variety divided by the number on the susceptible control variety Aikang 58. Following Wang et al. [26], a variety was classified as resistant (R) if the value of the aphid counts ratio was less than 0.9 and as susceptible (S) if the value was 0.9 or greater.

2.4. Transcriptome Sequencing and Annotation of the Assembly

Because the virulence profiles of biotypes 1 and 3 differed most among all biotypes, three clones of biotypes 1 and 3 (clone 1–3, Table S2) were selected, and differentially expressed genes of Buchnera in these two biotypes were detected based on transcriptome analysis. Neonatal first-instar nymphs were transferred to seedlings at the two-leaf stage of the wheat cultivar Aikang 58 and reared according to the above conditions. Each time, ten wingless adult aphids emerging within 24 h were collected, placed in 1.5 mL RNase-free tubes, quickly frozen in liquid nitrogen, and stored at −80 °C. Each S. avenae biotype was subjected to three biological replicates.
Total RNA extraction, cDNA library construction, and quality assessment were performed following the protocol described by Huang et al. [33]. Based on the paired-end DNA sequencing technique, all cDNA libraries were sequenced on the Illumina HiSeq 2500 system (Illumina, Inc., San Diego, CA, USA) provided by Ovidson Gene Technology Co., Ltd., Beijing, China. The raw data had been deposited in the NCBI Sequence Read Archive (SRA) database under Accession ID: PRJNA575173. The software Fastp (v0.21.0) was used to remove low-quality reads (those with more than 50% of nucleotides having a Qphred score ≤ 20) and reads containing adapters, in order to generate clean reads. HISAT2 (v2.1.0) was used to construct an index for the B. aphidicola reference genome (NZ_CP029204.1) obtained from the NCBI genome database (https://www.ncbi.nlm.nih.gov/datasets/genome/NZ_CP029204.1) (accessed on 16 March 2024). Paired-end clean reads were then aligned to this reference genome using HISAT2 (v2.1.0). After alignment, StringTie (v2.1.5) was employed to calculate the read count values mapped to each gene, which represented the raw gene expression levels. The differentially expressed genes (DEGs) were identified using the R package DESeq2 (v1.10.1) based on the obtained matrix of raw counts for each gene. Genes were considered differentially expressed between the two biotypes if adjusted p values were <0.05 and fold change values were >2. Based on raw counts, a heatmap of DEGs was visualized using an online tool (https://www.omicshare.com/tools/home/report/reportheatmap.html) (accessed on 28 March 2024).

2.5. Verification of Target Amino Acid Metabolic Pathways in Buchnera Mediated Biotype Differentiation of S. avenae

The results of transcriptome analysis showed that the metabolism of leucine (Leu), tryptophan (Trp), isoleucine (Ile), and valine (Val) may represent crucial amino acid metabolic pathways for the Buchnera-mediated biotype differentiation of S. avenae. In the subsequent study, these amino acids (Leu, Trp, Ile, or Val) were individually removed from the full-nutrition artificial diet, and the full-nutrition artificial diet was used as the control group to feed six biotypes separately. To be more specific, within 24 h, newborn nymphs randomly selected from the clonal complex of each biotype were transferred to a separate aphid feeder and raised under the conditions described above. All artificial diets were replaced every two days. Ten-day fecundities and the developmental time of nymphs of test aphid individuals were recorded. Each biotype was tested 20 times under each artificial diet.

2.6. Phylogenetic Analysis of Buchnera Among Six S. avenae Biotypes

For each clone of six S. avenae biotypes, five adult aphid individuals were collected, and DNA was extracted according to the method described above. To gather adequate data for a robust phylogenetic reconstruction, we amplified and sequenced fragments of six Buchnera-derived genes (i.e., 16S rDNA, Gnd, AtpD, LeuB, IlvD and TrpE). 16S rDNA, Gnd, and AtpD were used to detect the genetic differentiation of Buchnera in previous studies [34,35,36]. Based on the results of transcriptome analysis, LeuB, IlvD and TrpE were considered to be important genes for Buchnera-mediated S. avenae biotype differentiation. All primers are listed in Table S3. The PCR total reaction volume was 50 μL, containing 2 μL DNA template, 25 μL 2 × Es Taq MasterMix (Cwbio, Taizhou, China), 21 μL ddH2O and 1 μL for each primer. The PCR conditions were as follows: an initial denaturation at 94 °C for 5 min, followed by 35 cycles of 94 °C for 30 s, 45–60 °C for 30 s, and 72 °C for 1–2 min, and a final extension at 72 °C for 10 min. The annealing temperatures of each specific primer set were as follows: 45 °C for AtpD, 56 °C for Gnd, LeuB, IlvD and TrpE, and 60 °C for 16S rDNA. PCR productions were gel-purified and then sequenced on an ABI 3730xl DNA Analyzer (Sangon, Shanghai, China).
Raw sequences were assembled in SeqMan II (DNAStar, Madison, WI, USA). Multiple alignments were performed with MEGA 5.0 and MAFFT 7.0 [37,38]. Gblocks 0.91b was used to remove unreliably aligned positions of 16S rDNA, Gnd, AtpD, LeuB, IlvD and TrpE sequences [39]. The NJ phylogenetic tree was constructed for Buchnera in different biotypes of S. avenae using MEGA 5.0 with 1000 bootstrap replicates [37].

2.7. Statistical Analysis

A three-way ANOVA was used to evaluate the effects of ‘biotype’, ‘aphid stage’, and ‘host plant’, as well as the effects of their interactions on Buchnera abundance. Student’s t-tests further analyzed Buchnera abundance differences across aphid developmental stages. For the effects of ‘biotype’ and ‘host plant’, one-way ANOVA with Tukey’s test (α = 0.05) was conducted for further comparison. Two-way ANOVA was used to analyze the effects of ‘aphid biotype’ and ‘artificial diet’, as well as the effects of their interactions on all life-history traits of S. avenae. Further comparisons of ‘biotype’ and ‘artificial diet’ effects on life-history traits were performed using one-way ANOVA with Tukey’s test (α = 0.05). Differences between other data sets were also analyzed with one-way ANOVA followed by Tukey’s test (α = 0.05). When needed, data were log-transformed to satisfy the assumptions of normality and homoscedasticity required for these analyses. Principal component analysis (PCA) was conducted using the 10-day fecundity data of S. avenae on different wheat/barley varieties. Additionally, based on PCA, separate analyses were conducted for the 10 d fecundities and the total nymphal developmental time of different biotypes on artificial diets. Pearson correlations between 10 d fecundity and the abundance of Buchnera were assessed. All the above analyses were carried out in the software SPSS Statistics 23 (IBM, Armonk, NY, USA).

3. Results

3.1. Effects of Biotype, Host Plant, and Aphid Stage on Buchnera Abundance of S. avenae

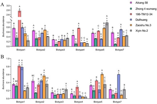
Biotype, aphid stage, host plant and their interactions all showed significant effects (p < 0.001) on Buchnera abundance (Table S6). Biotype, aphid stage and host plant accounted for 23.16%, 47.69% and 12.12% of the total variance, respectively. Their interactions contributed little to the total variance (2.50–7.64%).
Significant differences (F5,18 = 29.60–1073.95, p < 0.001) in the abundance of Buchnera for S. avenae biotypes were found on different host plants (Figure 1). For instance, biotype 1’s 5-day-old nymphs exhibited significantly greater Buchnera abundance on the 186-TM12-34 variety compared to other varieties. When fed on different host plants, the Buchnera abundance and virulence response profiles for some biotypes showed a certain consistency. For example, the Buchnera abundance of 5-day-old nymphs of biotype 2 on Zaoshu No.3 (susceptible to biotype 2) was significantly higher than on other resistant varieties (i.e., Zhong 4 wumang, 186-TM12-34, Dulihuang, and Xiyin No.2; resistance to biotype 2). This phenomenon was also observed in biotype 2 adults, biotype 3 nymphs, biotype 4 nymphs and adults, biotype 5 nymphs, and biotype 7 nymphs and adults.
Buchnera abundance also differed significantly between biotypes when fed on the same variety (F5,18 = 25.34–1682.87, p < 0.001). For example, when fed on Aikang 58 and 186-TM12-34, the abundance of Buchnera in biotype 1 was significantly higher than that in other biotypes (Figure 1A). In addition, combining the data on all host plants, 5-day-old nymphs had a significantly higher abundance of Buchnera than adults for all biotypes (t = 2.42–5.75, df = 46, p < 0.05; Table S7).

3.2. Differences in the Virulence Response Profiles of Six S. avenae Biotypes on Wheat/Barley Varieties Before and After Rifampin Treatments

After being fed on diets with 2 μg/mL rifampicin, Buchnera abundance decreased by about 67.7% compared with the control, and 10 d fecundity decreased to 43.3% of the control (Figure S2). This indicated that under the treatment of this concentration, the abundance of Buchnera decreased significantly, and the aphids had a certain fecundity. Therefore, rifampicin with a concentration of 2 μg/mL was selected to be added to artificial diets for subsequent antibiotic treatment experiments. Subsequent verification results (Figure S3) showed that for all biotypes, the abundance of Buchnera was detected to be significantly reduced under rifampicin treatments at this concentration (t = 17.29–41.71, df = 6, p < 0.001).
The resistance performance of the six biotypes on each wheat/barley variety before rifampicin treatments was consistent with the previous results (Table 1 and Table S1), which verified the original virulence response profile of the six biotypes selected in this study. Furthermore, each biotype showed lower 10 d fecundities on host varieties that exhibited a certain level of resistance (F5,30 = 22.58–160.41, p < 0.001; Figure 2A). After rifampicin treatment, except for biotype 1, the virulence profiles of the other five biotypes of S. avenae changed, and they lost the ability to overcome the resistance of some varieties. For example, biotype 2 lost its virulence to Zaoshu No.3, and biotype 3 lost the ability to overcome the resistance of Dulihuang, Zaoshu No.3 and Xiyin No.2. Overall, the virulence response profiles among the six biotypes of S. avenae became similar after antibiotic treatments. For each biotype, 10 d fecundities on the five resistant host varieties (i.e., Zhong 4 wumang, 186-TM12-34, Dulihuang, Zaoshu No.3, and Xiyin No.2) were significantly lower than those on Aikang 58 (F5,18 = 14.38–71.44, p < 0.001). Pearson correlation analysis showed significant positive correlations between aphid fecundity and Buchnera abundance in biotypes 1, 2, and 4 (Table S8; r = 0.889–0.967, p < 0.05).
Before rifampin treatment, PCA of the 10-day fecundities on the six wheat/barley varieties revealed that the first two principal components (PC1 and PC2) accounted for 75.11% of the overall variation (Table S9; 46.30% and 28.82% for PC1 and PC2, respectively). After the rifampin treatment, PC1 and PC2 explained 87.10% of the total variation (Table S9; 73.76% and 13.33% for PC1 and PC2, respectively). Before rifampin treatment, the contribution of the five resistant varieties to PC1 varied greatly (0.319–0.884), while with rifampin antibiotic treatment, the differences in their contribution to PC1 were smaller (0.805–0.944).

3.3. Identification of Differentially Expressed Genes in Buchnera Between Two S. avenae Biotypes

A total of 15 differentially expressed genes (DEGs; adjusted p values < 0.05, fold change values > 2) of Buchnera were detected between S. avenae biotypes 1 and 3 (Figure 3). In biotype 1, fourteen genes showed significant up-regulation compared to biotype 3, with log2(fold change) values ranging from 1.05 to 3.01, and one gene was down-regulated (log2(fold change) values being 1.18). Among them, three DEGs (i.e., 3-isopropylmalate dehydratase (LeuB, 75258545); dihydroxy-acid dehydratase (IlvD, 75259141); and anthranilate synthase component 1 (TrpE, 75258552)) were EAAs synthesis-related genes (i.e., LeuB related to Leu; TrpE related to Trp; IlvD related to Leu, Ile, and Val).

3.4. The Developmental Times of Nymphs and the Fecundity for S. avenae Biotypes Fed on Different Artificial Diets

The developmental times of nymphs and the 10-day fecundity of S. avenae were significantly influenced by artificial diets, biotypes, and their interaction (Table S10). Artificial diets and biotypes account for 22.69–66.44% and 22.00–67.13% of the total variance of each trait, respectively, and their interaction explained 4.64–11.36%. For each S. avenae biotype, significant differences were found in the 10 d fecundity of S. avenae clones after being fed on different artificial diets (F4,95 = 30.99–287.74, p < 0.001) (Figure 4). For example, biotypes 1 and 5 had significantly higher 10 d fecundity on the full-nutrient artificial diet compared to the nutrient-deficient artificial diets (i.e., Leu-free, Val-free, Ile-free, and Trp-free). Compared with the full-nutrient artificial diet, biotypes 2 and 3 showed similar fecundity on artificial diets lacking Val and Leu, respectively.
Significant differences were also found in the developmental time of first- to fourth-instar nymphs and the total developmental time of nymphs for each biotype fed with different artificial diets (Table 2). For biotypes 1, 4 and 7, the lack of any EAAs significantly prolonged their total nymphal developmental time, whereas for biotype 3, the total developmental time of nymphs remained unaffected by the missing amino acids in the artificial diets. The lack of Ile and Val significantly affected the total developmental time of nymphs of biotypes 2 and 5, respectively. The total developmental time of nymphs also differed significantly between biotypes when fed on the same artificial diet (Table 2). For example, when fed on the Leu-free artificial diet, the total nymphal developmental time of biotypes 1, 4, and 5 was significantly longer than that of other biotypes. The PCA of total nymphal developmental time on artificial diets revealed that the first two components (PC1 and PC2) accounted for 59.87% of the overall variation (Table 3; 41.90% and 17.97% for PC1 and PC2, respectively). In addition, PC1 was associated mainly with Leu. For 10 d fecundity PCA analysis, PC1 and PC2 explained 67.61% of the total variation (Table 3; 38.31% and 29.30% for PC1 and PC2, respectively), and Trp contributed the most to PC1. The high correlations of Leu and Trp with the development and reproduction traits of six biotypes suggested that they might be the key amino acids for the biotype differentiation of S. avenae.

3.5. Phylogenetic Relationships Among S. avenae Biotypes Based on the Gene Datasets of Buchnera

Except for 16S rDNA, the other five gene fragments were characterized by high AT content (Gnd, 74.4%; AtpD, 64.2%; LeuB, 70.1%; IlvD, 70.7%; TrpE, 71.5%; Table S11). For EAA-related genes (i.e., LeuB, IlvD, and TrpE), LeuB and TrpE were rich in variable (LeuB, 2.07%; TrpE, 1.60%) and parsimony informative sites (LeuB, 2.07%; TrpE, 1.60%). An NJ (neighbor-joining) phylogenetic tree based on the combined gene datasets was created to show the genetic relationships of Buchnera from six S. avenae biotypes (Figure 5). All samples formed two major branches, and all clones of biotypes 1, 2, and 5 clustered together, forming one clade. Another major clade included clones of biotypes 3, 4, and 7. Furthermore, all clones of biotypes 5 or 3 were clustered together, forming minor clades, respectively. For each of the other biotypes, Buchnera was also relatively closely genetically related among aphid clones, with most of the clones clustered together. The above results showed that Buchnera sequences in different clones of the same S. avenae biotype had little difference, and their genetic relationships were relatively close.

4. Discussion

Aphid populations are well-documented for their tendency towards rapid biotype differentiation [3]. As an important primary symbiont in aphids, Buchnera can play a critical role in the host adaptation of aphids by synthesizing EAAs [11]. However, the involvement of Buchnera in aphid biotype differentiation and the mechanisms have been less studied. In this research, the English grain aphid (S. avenae) served as a model organism to investigate these concerns. Previous studies, including ours, have identified multiple biotypes of this aphid [26,40]. The results of this study showed significant differences in the abundance of Buchnera among S. avenae biotypes (Figure 1 and Table S6). Aphids can obtain adequate nutrients by altering Buchnera abundance in response to deficient EAAs in resistant hosts [41,42]. The variability in the abundance of Buchnera among pea aphid A. pisum biotypes was found in a previous study [17]. The research results of Zhang et al. [18] on the abundance of Buchnera in Aphis gossypii (Glover) biotypes also showed that the biotype on cucumber contained more Buchnera than the biotype on cotton, and the higher abundance of Buchnera can provide more essential amino acids. The composition and contents of free amino acids in the phloem of different Triticeae crops are varied, and the less EAAs in resistant Triticeae crop varieties may be an important factor in aphid resistance [27]. Therefore, we speculate that the distinction in the virulence of S. avenae biotypes on resistant wheat/barley varieties may be related to the differences in the abundance of Buchnera in each biotype. Interestingly, in most cases, each biotype had a lower abundance of Buchnera on the resistant wheat/barley varieties than on the susceptible varieties. For example, both 5-day-old nymphs and adults of biotype 4 had a significantly higher abundance of Buchnera on 186-TM12-34 than other varieties. Furthermore, for all biotypes, we detected differences in the abundance of Buchnera in different stages of aphids. Specifically, the abundance of Buchnera in 5-day-old nymphs was significantly higher than that in adults (Table S7). This is consistent with a previous study showing that the stage of the aphid can affect the abundance of Buchnera [43]. This may be related to the fact that aphids require Buchnera to help to provide large nutrient reserves for growth and development, prior to eclosion. In this study, we also detected significant correlations between aphid fecundity and Buchnera abundance (Table S8).
To further clarify the role of Buchnera in the biotype divergence of S. avenae, we treated six biotypes with the antibiotic rifampicin to reduce the abundance of Buchnera and detected changes in their virulence response profiles on the five wheat/barley varieties. After antibiotic treatments, five biotypes (i.e., biotype 2–5 and 7) altered their unique virulence profiles on the wheat/barley cultivars, and the resistance performance on each host plant became similar to biotype 1. For example, biotype 2 lost its virulence to Zaoshu No.3, and biotype 3 lost the ability to overcome the resistance of Dulihuang, Zaoshu No.3 and Xiyin No.2. Changes in the virulence response profiles of these biotypes following antibiotic treatments were also verified by testing their life-history traits (i.e., 10 d fecundity) on these wheat/barley varieties. That is, after rifampicin treatments, the 10 d fecundity of each biotype on the susceptible control variety Aikang 58 was significantly higher than that on all five wheat/barley varieties (i.e., Zhong 4 wumang, 186-TM12-34, Dulihuang, Zaoshu No.3, and Xiyin No.2).
Furthermore, the results of principal component analysis (PCA) also indicate that, compared with before antibiotic treatment, after antibiotic treatment, the contributions of the five resistant varieties to the fecundity of S. avenae became more similar (Table S9). A reasonable explanation is that after the abundance of Buchnera was reduced, the ability of each biotype to synthesize EAAs was reduced, leading to the consistent performance of different biotypes on these resistant wheat/barley varieties. We also found that compared with the five resistant varieties, the 10 d fecundity of each biotype on the susceptible variety Aikang 58 was at a higher level. Susceptible Triticeae crop varieties can provide more sufficient EAAs for aphids [27]. EAAs contained in the phloem of Aikang 58 may be relatively sufficient for S. avenae, and the lower abundance of Buchnera can meet the needs of aphids’ growth and reproduction on this variety, but this needs to be further explored. Luna et al. [44] also used antibiotics to reduce the abundance of Buchnera in D. noxia biotype RWA2, and the virulence of this biotype on the wheat variety TAM 107 was weakened after treatments. This is consistent with the research findings of this study, and these results can provide evidence for Buchnera’s involvement in the differentiation of aphid biotypes. Rifampicin is usually selected to reduce the abundance of Buchnera. Based on preliminary experiments (Figure S2) and subsequent validation assays (Figure S3), we established the conditions of 2 μg/mL for 24 h for the rifampicin treatment. It is worth noting that in other studies [31,45], rifampicin was used at 50 μg/mL for 48 h to completely eliminate Buchnera. However, in this study, the goal of the rifampicin treatment was to reduce the abundance of Buchnera while allowing aphids to retain certain reproductive capabilities. If the concentration of rifampicin exceeds 2 μg/mL, the reproductive capacity of S. avenae cannot meet the requirements for subsequent virulence assays.
In order to identify the key genes and EAAs participating in the biotype differentiation of S. avenae mediated by Buchnera, the differentially expressed genes (DEGs) of Buchnera between biotypes 1 and 3 were detected by transcriptome analyses. Three DEGs encoding for anthranilate synthase component 1, 3-isopropylmalate dehydratase, and dihydroxy-acid dehydratase were found (Figure 3), involved in the synthesis of Trp, Leu, Ile, and Val [46,47]. These genes and EAA metabolism may contribute to the biotype differentiation of S. avenae. Based on the transcriptome analysis, one Leu metabolism-related gene of Buchnera in D. noxia biotype RWA2 was significantly up-regulated compared with the biotype RWA1. Therefore, the Leu metabolism of Buchnera was thought to have a critical role in biotype differentiation for this aphid [20]. In another study [17], Arg metabolism was considered to be an important metabolic pathway involved in the differentiation of A. pisum biotypes mediated by Buchnera, and the alanine aminotransferase differentially expressed in different biotypes of this aphid was the key to regulating Arg metabolism in Buchnera. For different species of aphids, the differences in EAA metabolism involved in the differentiation of biotypes mediated by Buchnera may be related to the different compositions of free EAAs in their host plants. Another reasonable explanation is that certain genetic variations of Buchnera exist among different species of aphids [21,22].
For the purpose of further clarifying the key EAA metabolism of Buchnera involved in the biotype differentiation of S. avenae, we removed the above-mentioned amino acids (i.e., Leu, Trp, Ile, and Val) from the full-nutrition artificial diet and compared the life-history traits of different biotypes fed on different artificial diets. The results of one-way ANOVA (Table 2) indicated that the life-history traits of different biotypes were varied on the above artificial diets. For example, compared with the full-nutrient artificial diet, the total developmental time of nymphs was significantly prolonged for S. avenae biotypes 1, 4, 5, and 7 fed on the Trp-free artificial diet. This is consistent with the research of Chen et al. [48]. However, for biotypes 2 and 3, a lack of Trp had little effect on their development. In a previous study, Val and Leu in artificial diets were considered dispensable for the reproduction of S. avenae [47], consistent with our results of 10 d fecundity of biotypes 2 and 3 in this study. However, for other biotypes, the role of these two amino acids in the reproduction of S. avenae was critical in this study. Different aphid biotypes may have different requirements for different EAAs in food, so it is also necessary to select as many biotypes or genotypes as possible for tests when configuring artificial diets for a certain aphid. Three-way ANOVA results showed that “biotype”, “artificial diet” and their interaction significantly affected the developmental time of nymphs and the fecundity of aphids (Table S10). Different biotypes of aphids showing variation in their fitness performance on artificial diets deficient in EAAs were also found in A. gossypii [28]. The above research results all indicate that different aphid biotypes have varying dependencies on essential amino acids (EAAs), which may lead to their specific virulence responses to host plants with different EAA compositions, and Buchnera in host aphids may mediate this process [27,28]. The study by Chung et al. [49] found significant associations between molecular variation in Buchnera and the amino acid requirements of the pea aphid A. pisum. In this study, a certain genetic differentiation of Buchnera was also detected between different S. avenae biotypes with different EAA requirements (Figure 5). This can supply additional evidence for the involvement of Buchnera in the biotype differentiation of S. avenae from another perspective and also provide new evidence for the parallel evolution hypothesis between aphids and Buchnera proposed in previous studies [22,50].
Principal component analysis (PCA) results (Table 3) showed that the artificial diets deficient in Leu and Trp had the greatest association with the total development duration of nymphs and aphid fecundity, respectively, suggesting that these two EAA metabolic pathways may play a critical role in the biotype differentiation of S. avenae mediated by Buchnera. In a previous study [16], molecular sequencing was used to detect mutations of Buchnera genes in different aphid biotypes to clarify the important genes of EAA metabolism involved in biotype differentiation. Interestingly, based on our sequencing analyses, high mutation rates were also detected at the LeuB and TrpE sites for different S. avenae biotypes in this research. All of the above suggests a potential role for the metabolism of two essential amino acids (i.e., Leu and Trp) and the associated synthesis genes (i.e., LeuB and TrpE) in the biotype differentiation of S. avenae mediated by Buchnera. In the future breeding of aphid-resistant varieties, the content of these two free amino acids in the phloem of plants should be considered.
Based on the above-mentioned results, we believe that this study suggests a potential role of Buchnera in S. avenae’s damage to host plants. Other studies indicate that horizontally transferred genes amiD and ldcA1, also detected in the bacteriocytes of S. avenae, can protect Buchnera from attacks by the host immune system [51,52]. Using the dsRNA of these two genes to reduce the abundance of Buchnera, through specific expression in transgenic plants or artificial spraying, may be a promising method for controlling S. avenae in the future. Aphids have multiple active regulatory mechanisms in the abundance and amino acid metabolism of Buchnera [13,51], but the variation in the regulation ability of different S. avenae biotypes is still unclear, as is their role in the differentiation of aphid biotypes, which needs to be the focus of future research.

5. Conclusions

In summary, this study clarified the potential role of Buchnera in the biotype differentiation of S. avenae through Buchnera abundance determination and antibiotic treatments. Transcriptome sequencing identified candidate genes involved in the metabolism of essential amino acids (EAAs) in Buchnera that are related to S. avenae biotype differentiation. Multi-locus molecular sequencing and life-history trait bioassays for aphids on various artificial diets further clarified the important roles of EAA (i.e., Leu and Trp) metabolic pathways in Buchnera-mediated S. avenae biotype differentiation. Our research is significant for elucidating the mechanism of biotype differentiation in S. avenae and deepening the understanding of Buchnera’s potential functions in aphid–plant interactions. These insights can provide new perspectives for developing more targeted and effective aphid control strategies, improving pest management practices and reducing reliance on chemical insecticides.

Supplementary Materials

The following supporting information can be downloaded at: https://www.mdpi.com/article/10.3390/insects15120980/s1, Table S1: The specific virulence profiles of the six Sitobion avenae biotypes selected for this study on resistant wheat/barley varieties; Table S2: Sample collection and genetic information for Sitobion avenae biotypes; Table S3: The sequences of primers used in this study; Table S4: Facultative endosymbionts examined in this study; Table S5: Formula of the full-nutrition artificial diet for Sitobion avenae; Table S6: Three-way analyses of variance for Buchnera abundance affected by host plant, biotype and developmental stage of Sitobion avenae; Table S7: Comparisons of Buchnera abundance in 5-day-old nymphs and adults for six Sitobion avenae biotypes; Table S8: Pearson correlation analyses between 10 d fecundity and Buchnera abundance for six biotypes of Sitobion avenae (5-day-old nymphs and adults); Table S9: Principal component analyses (PCA) of 10 d fecundity for six biotypes of Sitobion avenae on six varieties before and after rifampin treatments; Table S10: Two-way analyses of variance for the developmental times of nymphs and 10 d fecundity for Sitobion avenae affected by artificial diets and biotypes; Table S11: Characters of DNA fragments used in phylogenetic analyses; Figure S1: Electrophoretic detection of the facultative endosymbiosis for clone 3 of six Sitobion avenae biotypes; Figure S2: The differences in Buchnera abundance and 10 d fecundity of Sitobion avenae under rifampicin treatments; Figure S3: Changes in the abundance of Buchnera of six Sitobion avenae biotypes under rifampicin treatments.

Author Contributions

Designed research, Y.L., J.L., S.Z., D.W. and Y.H.; performed research, J.L., S.Z. and Y.L.; writing—review and editing, Y.L., J.L., D.W., S.Z., Q.Q., D.L., C.L. and S.H. All authors have read and agreed to the published version of the manuscript.

Funding

This work was supported by the National Natural Science Foundation of China (32102194), the Hebei Natural Science Foundation for Young Scholars (C2022204003), the Science Research Project of Hebei Education Department (QN2024136), the Hebei Province Dry Alkali Wheat Industry Technology System (HBCT2024030206), the Research Project of Basic Scientific Research Funding for Provincial Colleges and Universities in Hebei Province (KY2022045), and the Starting Scientific Research Foundation for the Introduced Talents of Hebei Agricultural University (YJ2020051).

Data Availability Statement

The original RNA-seq data have been uploaded to the NCBI_SRA database (PRJNA575173).

Conflicts of Interest

The authors declare no conflicts of interest.

References

  1. Yates, A.D.; Michel, A. Mechanisms of aphid adaptation to host plant resistance. Curr. Opin. Insect Sci. 2018, 26, 41–49. [Google Scholar] [CrossRef] [PubMed]
  2. Haley, S.D.; Peairs, F.B.; Walker, C.B.; Rudolph, J.B.; Randolph, T.L. Occurrence of a new Russian wheat aphid biotype in Colorado. Crop Sci. 2004, 44, 1589–1592. [Google Scholar] [CrossRef]
  3. Saxena, R.; Barrion, A. Biotypes of insect pests of agricultural crops. Int. J. Trop. Insect Sci. 1987, 8, 453–458. [Google Scholar] [CrossRef]
  4. Peccoud, J.; Mahéo, F.; De La Huerta, M.; Laurence, C.; Simon, J.C. Genetic characterisation of new host-specialised biotypes and novel associations with bacterial symbionts in the pea aphid complex. Insect Conserv. Divers. 2015, 8, 484–492. [Google Scholar] [CrossRef]
  5. Puterka, G.; Nicholson, S.; Brown, M.; Cooper, W.; Peairs, F.; Randolph, T. Characterization of eight Russian wheat aphid (Hemiptera: Aphididae) biotypes using two-category resistant-susceptible plant responses. J. Econ. Entomol. 2014, 107, 1274–1283. [Google Scholar] [CrossRef] [PubMed][Green Version]
  6. Kim, K.S.; Hill, C.B.; Hartman, G.L.; Mian, M.R.; Diers, B.W. Discovery of soybean aphid biotypes. Crop Sci. 2008, 48, 923–928. [Google Scholar] [CrossRef]
  7. Khanal, N.; Vitek, C.; Kariyat, R. The known and unknowns of aphid biotypes, and their role in mediating host plant defenses. Diversity 2023, 15, 186. [Google Scholar] [CrossRef]
  8. Oliver, K.M.; Degnan, P.H.; Burke, G.R.; Moran, N.A. Facultative symbionts in aphids and the horizontal transfer of ecologically important traits. Annu. Rev. Entomol. 2010, 55, 247–266. [Google Scholar] [CrossRef]
  9. Moran, N.A.; Wernegreen, J.J. Lifestyle evolution in symbiotic bacteria: Insights from genomics. Trends Ecol. Evol. 2000, 15, 321–326. [Google Scholar] [CrossRef]
  10. Braendle, C.; Miura, T.; Bickel, R.; Shingleton, A.W.; Kambhampati, S.; Stern, D.L. Developmental origin and evolution of bacteriocytes in the aphid–Buchnera symbiosis. PLoS Biol. 2003, 1, e21. [Google Scholar] [CrossRef]
  11. Douglas, A.; Prosser, W. Synthesis of the essential amino acid tryptophan in the pea aphid (Acyrthosiphon pisum) symbiosis. J. Insect Physiol. 1992, 38, 565–568. [Google Scholar] [CrossRef]
  12. Smith, T.E.; Moran, N.A. Coordination of host and symbiont gene expression reveals a metabolic tug-of-war between aphids and Buchnera. Proc. Natl. Acad. Sci. USA 2020, 117, 2113–2121. [Google Scholar] [CrossRef] [PubMed]
  13. Douglas, A. Nutritional interactions in insect-microbial symbioses: Aphids and their symbiotic bacteria Buchnera. Annu. Rev. Entomol. 1998, 43, 17–37. [Google Scholar] [CrossRef] [PubMed]
  14. Michel, A.P.; Mittapalli, O.; Mian, M.R.; Sudaric, A. Evolution of soybean aphid biotypes: Understanding and managing virulence to host-plant resistance. In Soybean-Molecular Aspects of Breeding; InTech: New York, NY, USA, 2011; pp. 355–372. [Google Scholar]
  15. Chiozza, M.V.; O’Neal, M.E.; MacIntosh, G.C. Constitutive and induced differential accumulation of amino acid in leaves of susceptible and resistant soybean plants in response to the soybean aphid (Hemiptera: Aphididae). Environ. Entomol. 2010, 39, 856–864. [Google Scholar] [CrossRef]
  16. Cassone, B.J.; Wenger, J.A.; Michel, A.P. Whole genome sequence of the soybean aphid endosymbiont Buchnera aphidicola and genetic differentiation among biotype-specific strains. J. Genom. 2015, 3, 85–94. [Google Scholar] [CrossRef][Green Version]
  17. Serteyn, L.; Bosquee, E.; Delatour, A.; Rubio-Melendez, M.E.; Vega-Muñoz, K.V.; Ramirez, C.C.; Francis, F. Multi-approach comparative study of the two most prevalent genotypes of pea aphid Acyrthosiphon pisum (Hemiptera: Aphididae) in Chile. Entomol. Sci. 2021, 24, 55–67. [Google Scholar] [CrossRef]
  18. Zhang, Y.; Cao, W.; Zhong, L.; Godfray, H.; Liu, X. Host plant determines the population size of an obligate symbiont (Buchnera aphidicola) in aphids. Appl. Environ. Microbiol. 2016, 82, 2336–2346. [Google Scholar] [CrossRef]
  19. Pinheiro, P.; Bereman, M.S.; Burd, J.; Pals, M.; Armstrong, S.; Howe, K.J.; Thannhauser, T.W.; MacCoss, M.J.; Gray, S.M.; Cilia, M. Evidence of the biochemical basis of host virulence in the greenbug aphid, Schizaphis graminum (Homoptera: Aphididae). J. Proteome Res. 2014, 13, 2094–2108. [Google Scholar] [CrossRef]
  20. Anathakrishnan, R.; Sinha, D.K.; Murugan, M.; Zhu, K.Y.; Chen, M.-S.; Zhu, Y.C.; Smith, C.M. Comparative gut transcriptome analysis reveals differences between virulent and avirulent Russian wheat aphids, Diuraphis noxia. Arthropod Plant Interact. 2014, 8, 79–88. [Google Scholar] [CrossRef][Green Version]
  21. Chong, R.A.; Park, H.; Moran, N.A. Genome evolution of the obligate endosymbiont Buchnera aphidicola. Mol. Biol. Evol. 2019, 36, 1481–1489. [Google Scholar] [CrossRef]
  22. Xu, T.; Chen, J.; Jiang, L.; Qiao, G. Historical and cospeciating associations between Cerataphidini aphids (Hemiptera: Aphididae: Hormaphidinae) and their primary endosymbiont Buchnera aphidicola. Zool. J. Linn. Soc. 2018, 182, 604–613. [Google Scholar] [CrossRef]
  23. Jiang, X.; Zhang, Q.; Qin, Y.; Yin, H.; Zhang, S.; Li, Q.; Zhang, Y.; Fan, J.; Chen, J. A chromosome-level draft genome of the grain aphid Sitobion miscanthi. Gigascience 2019, 8, giz101. [Google Scholar] [CrossRef] [PubMed]
  24. Wang, D.; Shi, X.; Liu, D.; Yang, Y.; Shang, Z. Transcriptome profiling revealed potentially critical roles for digestion and defense-related genes in insects’ use of resistant host plants: A case study with Sitobion avenae. Insects 2020, 11, 90. [Google Scholar] [CrossRef]
  25. Wang, D.; Liu, D.; Zhai, Y.; Zhang, R.; Shi, X. Clonal diversity and genetic differentiation of Sitobion avenae (Hemiptera: Aphididae) from wheat and barley in China. J. Econ. Entomol. 2019, 112, 1217–1226. [Google Scholar] [CrossRef]
  26. Wang, D.; Zhai, Y.; Liu, D.; Zhang, N.; Li, C.; Shi, X. Identification and genetic differentiation of Sitobion avenae (Hemiptera: Aphididae) biotypes in China. J. Econ. Entomol. 2020, 113, 407–417. [Google Scholar] [CrossRef] [PubMed]
  27. Lan, H.; Zhang, Z.F.; Wu, J.; Cao, H.H.; Liu, T.X. Performance and transcriptomic response of the English grain aphid, Sitobion avenae, feeding on resistant and susceptible wheat cultivars. J. Integr. Agric. 2021, 20, 178–190. [Google Scholar] [CrossRef]
  28. Tian, P.; Chang, C.; Miao, N.; Li, M.; Liu, X. Infections with Arsenophonus facultative endosymbionts alter performance of aphids (Aphis gossypii) on an amino-acid-deficient diet. Appl. Environ. Microbiol. 2019, 85, e01407–e01419. [Google Scholar] [CrossRef] [PubMed]
  29. Hu, Z.; Su, D.; Li, D.; Tong, Z.; Zhang, C.; Zhang, G.; Zhao, H.; Luo, C. Diversity of Secondary Endosymbionts among Different Geographical Populations of the Grain Aphid, Sitobion avenae (Fabricius) (Hemiptera: Aphididae) in China. Entomol. Gen. 2020, 40, 253–262. [Google Scholar] [CrossRef]
  30. Wang, Z.; Shen, Z.; Song, Y.; Liu, H.; Li, Z. Distribution and diversity of Wolbachia in different populations of the wheat aphid Sitobion miscanthi (Hemiptera: Aphididae) in China. Eur. J. Entomol. 2009, 106, 49–55. [Google Scholar] [CrossRef]
  31. Zhang, F.; Li, X.; Coates, B.; Zhou, X.; Cheng, D. Bacterial symbionts, Buchnera, and starvation on wing dimorphism in English grain aphid, Sitobion avenae (F.) (Homoptera: Aphididae). Front. Physiol. 2015, 6, 141203. [Google Scholar] [CrossRef]
  32. Colella, S.; Parisot, N.; Simonet, P.; Rahbé, Y.; Charles, H.; Febvay, G.; Calevro, F. Bacteriocyte reprogramming to cope with nutritional stress in a phloem sap feeding hemipteran, the pea aphid Acyrthosiphon pisum. Front. Physiol. 2018, 9, 1498. [Google Scholar] [CrossRef] [PubMed]
  33. Huang, X.; Liu, D.; Zhang, R.; Shi, X. Transcriptional responses in defense-related genes of Sitobion avenae (Hemiptera: Aphididae) feeding on wheat and barley. J. Econ. Entomol. 2019, 112, 382–395. [Google Scholar] [CrossRef] [PubMed]
  34. Nováková, E.; Hypša, V.; Klein, J.; Foottit, R.G.; von Dohlen, C.D.; Moran, N.A. Reconstructing the phylogeny of aphids (Hemiptera: Aphididae) using DNA of the obligate symbiont Buchnera aphidicola. Mol. Phylogenetics Evol. 2013, 68, 42–54. [Google Scholar] [CrossRef] [PubMed]
  35. Clark, M.A.; Moran, N.A.; Baumann, P. Sequence evolution in bacterial endosymbionts having extreme base compositions. Mol. Biol. Evol. 1999, 16, 1586–1598. [Google Scholar] [CrossRef]
  36. Baumann, L.; Clark, M.A.; Rouhbakhsh, D.; Baumann, P.; Moran, N.A.; Voegtlin, D.J. Endosymbionts (Buchnera) of the aphid Uroleucon sonchi contain plasmids with trpEG and remnants of trpE pseudogenes. Curr. Microbiol. 1997, 35, 18–21. [Google Scholar] [CrossRef]
  37. Tamura, K.; Peterson, D.; Peterson, N.; Stecher, G.; Nei, M.; Kumar, S. MEGA5: Molecular evolutionary genetics analysis using maximum likelihood, evolutionary distance, and maximum parsimony methods. Mol. Biol. Evol. 2011, 28, 2731–2739. [Google Scholar] [CrossRef]
  38. Katoh, K.; Standley, D.M. MAFFT multiple sequence alignment software version 7: Improvements in performance and usability. Mol. Biol. Evol. 2013, 30, 772–780. [Google Scholar] [CrossRef]
  39. Castresana, J. Selection of conserved blocks from multiple alignments for their use in phylogenetic analysis. Mol. Biol. Evol. 2000, 17, 540–552. [Google Scholar] [CrossRef] [PubMed]
  40. Xu, Z.; Chen, J.; Cheng, D.; Sun, J.; Liu, Y.; Francis, F. Discovery of English grain aphid (Hemiptera: Aphididae) biotypes in China. J. Econ. Entomol. 2011, 104, 1080–1086. [Google Scholar] [CrossRef]
  41. Simonet, P.; Gaget, K.; Balmand, S.; Ribeiro Lopes, M.; Parisot, N.; Buhler, K.; Duport, G.; Vulsteke, V.; Febvay, G.; Heddi, A. Bacteriocyte cell death in the pea aphid/Buchnera symbiotic system. Proc. Natl. Acad. Sci. USA 2018, 115, E1819–E1828. [Google Scholar] [CrossRef]
  42. Nishikori, K.; Morioka, K.; Kubo, T.; Morioka, M. Age-and morph-dependent activation of the lysosomal system and Buchnera degradation in aphid endosymbiosis. J. Insect Physiol. 2009, 55, 351–357. [Google Scholar] [CrossRef]
  43. Vogel, K.J.; Moran, N.A. Effect of host genotype on symbiont titer in the aphid-Buchnera symbiosis. Insects 2011, 2, 423–434. [Google Scholar] [CrossRef]
  44. Luna, E.; van Eck, L.; Campillo, T.; Weinroth, M.; Metcalf, J.; Perez-Quintero, A.L.; Botha, A.-M.; Thannhauser, T.W.; Pappin, D.; Tisserat, N.A. Bacteria associated with Russian wheat aphid (Diuraphis noxia) enhance aphid virulence to wheat. Phytobiomes 2018, 2, 151–164. [Google Scholar] [CrossRef]
  45. Li, X.; Li, X.; Yan, W.; Coates, B.; Zhou, X.; Wang, C.; Haifeng, G.; Zhang, Y.; Zhu, X. Selection of reference genes for RT-qPCR analysis of wing dimorphism in English grain aphid, Sitobion avenae (Hemiptera: Aphididae). J. Econ. Entomol. 2022, 115, 313–324. [Google Scholar] [CrossRef]
  46. Li, Q.; Fan, J.; Chen, Y.; Hou, M.; Chen, J. ilvE as a potential RNAi target to inhibit amino acid synthesis to control the wheat aphid Sitobion miscanthi. Entomol. Gen. 2022, 43, 177–185. [Google Scholar] [CrossRef]
  47. Shigenobu, S.; Watanabe, H.; Hattori, M.; Sakaki, Y.; Ishikawa, H. Genome sequence of the endocellular bacterial symbiont of aphids Buchnera sp. APS. Nature 2000, 407, 81–86. [Google Scholar] [CrossRef]
  48. Chen, J.; Ni, H.; Ding, H.; Sun, J. Studies on a chemically defined diet of English grain aphid. Sci. Agric. Sin. 2000, 33, 54–59. [Google Scholar]
  49. Chung, S.H.; Parker, B.J.; Blow, F.; Brisson, J.A.; Douglas, A.E. Host and symbiont genetic determinants of nutritional phenotype in a natural population of the pea aphid. Mol. Ecol. 2020, 29, 848–858. [Google Scholar] [CrossRef]
  50. Liu, L.; Li, X.Y.; Huang, X.L.; Qiao, G.X. Evolutionary relationships of Pemphigus and allied genera (Hemiptera: Aphididae: Eriosomatinae) and their primary endosymbiont, Buchnera aphidicola. Insect Sci. 2014, 21, 301–312. [Google Scholar] [CrossRef]
  51. Chung, S.H.; Jing, X.; Luo, Y.; Douglas, A.E. Targeting symbiosis-related insect genes by RNAi in the pea aphid-Buchnera symbiosis. Insect Biochem. Mol. Biol. 2018, 95, 55–63. [Google Scholar] [CrossRef]
  52. Smith, T.E.; Li, Y.; Perreau, J.; Moran, N.A. Elucidation of host and symbiont contributions to peptidoglycan metabolism based on comparative genomics of eight aphid subfamilies and their Buchnera. PLoS Genet. 2022, 18, e1010195. [Google Scholar] [CrossRef]
Figure 1. The Buchnera abundance in six Sitobion avenae biotypes ((A), 5-day-old nymphs; (B), adults) on different host plants. Error bars indicate ± SE; Different uppercase letters above the bars indicate significant differences in Buchnera abundance for the same biotype on different host plants, and lowercase letters indicate significant differences in Buchnera abundance among six biotypes on the same plant (α = 0.05, ANOVA followed by Tukey’s tests).
Figure 1. The Buchnera abundance in six Sitobion avenae biotypes ((A), 5-day-old nymphs; (B), adults) on different host plants. Error bars indicate ± SE; Different uppercase letters above the bars indicate significant differences in Buchnera abundance for the same biotype on different host plants, and lowercase letters indicate significant differences in Buchnera abundance among six biotypes on the same plant (α = 0.05, ANOVA followed by Tukey’s tests).
Insects 15 00980 g001
Figure 2. Comparisons of 10 d fecundity for six Sitobion avenae biotypes on different varieties ((A), before the rifampicin treatment; (B), after the rifampicin treatment). Error bars indicate ± SE; Different uppercase letters above the bars indicate significant differences in the fecundity for the same biotype on different host plants, and lowercase letters indicate significant differences in fecundity among six biotypes on the same plant (α = 0.05, ANOVA followed by Tukey’s tests).
Figure 2. Comparisons of 10 d fecundity for six Sitobion avenae biotypes on different varieties ((A), before the rifampicin treatment; (B), after the rifampicin treatment). Error bars indicate ± SE; Different uppercase letters above the bars indicate significant differences in the fecundity for the same biotype on different host plants, and lowercase letters indicate significant differences in fecundity among six biotypes on the same plant (α = 0.05, ANOVA followed by Tukey’s tests).
Insects 15 00980 g002
Figure 3. A heatmap of DEGs of Buchnera between two Sitobion avenae biotypes (genes with expression higher and lower than the mean are indicated by red and blue, respectively).
Figure 3. A heatmap of DEGs of Buchnera between two Sitobion avenae biotypes (genes with expression higher and lower than the mean are indicated by red and blue, respectively).
Insects 15 00980 g003
Figure 4. Comparisons of 10 d fecundity for six Sitobion avenae biotypes on different artificial diets. Error bars indicate ± SE; Different uppercase letters above the bars indicate significant differences in the fecundity for the same biotype on different artificial diets, and lowercase letters indicate significant differences in fecundity among six biotypes on the same artificial diet (α = 0.05, ANOVA followed by Tukey’s tests).
Figure 4. Comparisons of 10 d fecundity for six Sitobion avenae biotypes on different artificial diets. Error bars indicate ± SE; Different uppercase letters above the bars indicate significant differences in the fecundity for the same biotype on different artificial diets, and lowercase letters indicate significant differences in fecundity among six biotypes on the same artificial diet (α = 0.05, ANOVA followed by Tukey’s tests).
Insects 15 00980 g004
Figure 5. A neighbor-joining dendrogram based on the combined 16S rDNA, Gnd, AtpD, LeuB, IlvD, TrpE datasets of Buchnera from six Sitobion avenae biotypes.
Figure 5. A neighbor-joining dendrogram based on the combined 16S rDNA, Gnd, AtpD, LeuB, IlvD, TrpE datasets of Buchnera from six Sitobion avenae biotypes.
Insects 15 00980 g005
Table 1. Response of five wheat/barley varieties to six Sitobion avenae biotypes before and after the rifampin treatment.
Table 1. Response of five wheat/barley varieties to six Sitobion avenae biotypes before and after the rifampin treatment.
BiotypesWheat/Barley Varieties
Zhong 4 Wumang186-TM12-34DulihuangZaoshu No.3Xiyin No.2
Biotype 1R 0.47 a
(R 0.42) b
R 0.53
(R 0.50)
R 0.44
(R 0.58)
R 0.50
(R 0.67)
R 0.47
(R 0.58)
Biotype 2R 0.41
(R 0.52)
R 0.52
(R 0.38)
R 0.65
(R 0.41)
S 1.02
(R 0.45)
R 0.52
(R 0.48)
Biotype 3R 0.82
(R 0.70)
R 0.78
(R 0.53)
S 1.69
(R 0.67)
S 1.76
(R 0.77)
S 1.73
(R 0.70)
Biotype 4R 0.60
(R 0.63)
S 1.01
(R 0.32)
R 0.54
(R 0.58)
R 0.38
(R 0.53)
R 0.45
(R 0.42)
Biotype 5R 0.30
(R 0.32)
R 0.32
(R 0.29)
R 0.73
(R 0.43)
S 1.03
(R 0.39)
S 1.13
(R 0.32)
Biotype 7R 0.51
(R 0.36)
R 0.43
(R 0.33)
S 1.02
(R 0.39)
R 0.42
(R 0.33)
R 0.52
(R 0.27)
Note: R, resistant; S, susceptible; The value represents the ratio of aphid counts (>0.9 indicates susceptivity and the opposite indicates resistance); a represents before the rifampin treatment, b represents after the rifampin treatment.
Table 2. Comparisons of the developmental times of nymphs (mean ± SE) for six Sitobion avenae biotypes on different artificial diets.
Table 2. Comparisons of the developmental times of nymphs (mean ± SE) for six Sitobion avenae biotypes on different artificial diets.
Instar Duration of NymphsArtificial DietsBiotype 1Biotype 2Biotype 3Biotype 4Biotype 5Biotype 7F5,114p
DT1 (d)Full nutrition2.40 ± 0.11Aab2.20 ± 0.09 ABb2.35 ± 0.11 ABab2.65 ± 0.11 Ca2.30 ± 0.11 Aab2.10 ± 0.07 Cb3.5200.005
Leu-free2.45 ± 0.11 Ab2.40 ± 0.11 Ab2.50 ± 0.11 Ab3.55 ± 0.11 Aa2.20 ± 0.09 Ab2.50 ± 0.11 ABb18.714<0.001
Val-free2.50 ± 0.11 Aa2.00 ± 0.00 Bc2.00 ± 0.00 Bc2.45 ± 0.11 Cab2.40 ± 0.11 Aab2.15 ± 0.08 BCbc6.853<0.001
Ile-free2.70 ± 0.11 Aa2.35 ± 0.11 Aabc2.25 ± 0.10 ABbc2.60 ± 0.511 Cab2.10 ± 0.12 Ac2.25 ± 0.10 ABCbc4.479<0.001
Trp-free2.55 ± 0.11 Ab2.40 ± 0.11 Ab2.55 ± 0.11 Ab3.15 ± 0.08 Ba2.25 ± 0.16 Ab2.55 ± 0.11 Ab6.690<0.001
F4,951.0533.2315.02318.2590.8564.395//
p0.3840.0160.001<0.0010.4940.003//
DT2 (d)Full nutrition2.20 ± 0.12 Ba1.90 ± 0.12 BCa2.25 ± 0.10 ABa2.30 ± 0.13 Ca2.00 ± 0.10 Ca2.05 ± 0.05 Ba2.1710.062
Leu-free2.95 ± 0.11 Aa2.15 ± 0.08 Bb2.15 ± 0.08 ABb2.75 ± 0.14 ABa2.60 ± 0.11 ABa2.15 ± 0.08 Bb11.460<0.001
Val-free3.05 ± 0.14 Aa2.55 ± 0.11 Aab2.45 ± 0.15 Ab2.85 ± 0.13 ABab2.90 ± 0.12 Aab2.55 ± 0.11 Aab3.4510.006
Ile-free2.65 ± 0.11 Aa1.60 ± 0.11 Cc2.25 ± 0.10 ABab2.55 ± 0.11 BCab2.40 ± 0.11 BCab2.20 ± 0.10 Bb12.144<0.001
Trp-free2.70 ± 0.11 Ab1.85 ± 0.08 BCe2.00 ± 0.00 Bde3.00 ± 0.00 Aa2.40 ± 0.11 BCc2.05 ± 0.08 Bcd31.047<0.001
F4,958.03011.8922.7005.5438.4794.951//
p<0.001<0.0010.035<0.001<0.0010.001//
DT3 (d)Full nutrition2.40 ± 0.11 Bab2.30 ± 0.11 ABab2.15 ± 0.08 Bab2.40 ± 0.11 Cab2.55 ± 0.14 Ba2.05 ± 0.05 Bb3.1420.011
Leu-free3.20 ± 0.12 Aa2.60 ± 0.11 Abc2.30 ± 0.11 ABbc2.65 ± 0.22 BCbc2.80 ± 0.09 ABab2.15 ± 0.08 Bc8.212<0.001
Val-free3.30 ± 0.11 Aa2.20 ± 0.09 ABc2.65 ± 0.15 Ab3.35 ± 0.11 Aa3.10 ± 0.07 Aa2.55 ± 0.11 Abc17.857<0.001
Ile-free2.65 ± 0.11 Ba2.00 ± 0.00 Bc2.50 ± 0.20 ABab2.70 ± 0.11 BCa2.55 ± 0.11 Bab2.15 ± 0.11 Bbc5.537<0.001
Trp-free2.25 ± 0.12 Bb2.55 ± 0.17 Ab2.10 ± 0.07 Bb3.15 ± 0.21 ABa2.50 ± 0.14 Bb2.05 ± 0.05 Bb8.731<0.001
F4, 9517.1975.0893.2115.9075.0685.857//
p<0.001<0.0010.016<0.001<0.001<0.001//
DT4 (d)Full nutrition2.60 ± 0.11 Bb3.50 ± 0.14 ABa2.60 ± 0.11 Bb2.35 ± 0.15 Cb3.80 ± 0.14 Aa2.25 ± 0.10 Cb26.021<0.001
Leu-free3.40 ± 0.15 Aab3.15 ± 0.15 BCbc3.20 ± 0.16 Abc3.10 ± 0.22 ABbc3.85 ± 0.13 Aa2.60 ± 0.11 Bc6.822<0.001
Val-free3.20 ± 0.09 Aab3.00 ± 0.10 Cbc2.75 ± 0.12 ABc3.10 ± 0.07 ABabc3.50 ± 0.15 Aa3.10 ± 0.07 Aabc5.391<0.001
Ile-free2.75 ± 0.09 Bb3.00 ± 0.13 Cab2.90 ± 0.16 ABab2.70 ± 0.11 BCb3.40 ± 0.20 Aa2.70 ± 0.11 Bb3.8620.003
Trp-free2.75 ± 0.12 Bb3.70 ± 0.11 Aa2.90 ± 0.07 ABb3.50 ± 0.17 Aa4.00 ± 0.22 Aa2.90 ± 0.07 ABb14.061<0.001
F4,958.4346.3553.0008.4372.15511.969//
p<0.001<0.0010.022<0.0010.080<0.001//
DT (d)Full nutrition9.60 ± 0.15 Cb9.90 ± 0.18 ABb9.35 ± 0.24 Ab9.70 ± 0.18 Db10.65 ± 0.21 BCa8.45 ± 0.11 Cc15.351<0.001
Leu-free12.00 ± 0.25 Aa10.30 ± 0.16 ABb10.15 ± 0.15 Ab12.05 ± 0.29 Ba11.45 ± 0.14ABa9.40 ± 0.15 Bc29.953<0.001
Val-free12.05 ± 0.21 Aa9.75 ± 0.18 Bb9.85 ± 0.25 Ab11.75 ± 0.18 Ba11.90 ± 0.26 Aa10.35 ± 0.11 Ab27.556<0.001
Ile-free10.75 ± 0.18 Ba8.95 ± 0.17 Cd9.90 ± 0.23 Abc10.55 ± 0.21 Cab10.45 ± 0.23 Cab9.30 ± 0.18 Bcd13.140<0.001
Trp-free10.25 ± 0.19 Bc10.50 ± 0.15 Ac9.55 ± 0.11 Ad12.80 ± 0.09 Aa11.15 ± 0.24 ABCb9.65 ± 0.11 Bd57.118<0.001
F4,9529.43412.7642.31637.6867.10525.383//
p<0.001<0.0010.063<0.001<0.001<0.001//
Note: DT1 to DT4, represent the developmental time of first- to fourth-instar nymphs; DT, represents the total developmental time of nymphs; Different letters within a column (uppercase letters) and a row (lowercase letters) indicate significant differences among artificial diets and biotypes (α = 0.05, ANOVA followed by Tukey’s tests), respectively.
Table 3. Principal component analysis (PCA) of the total developmental time of nymph and 10 d fecundity for six Sitobion avenae biotypes on artificial diets.
Table 3. Principal component analysis (PCA) of the total developmental time of nymph and 10 d fecundity for six Sitobion avenae biotypes on artificial diets.
Diet TypesThe Total Developmental Time of NymphThe 10-Day Fecundity
PC1PC2PC3PC1PC2PC3
Correlation with principal components
Full nutrition0.4830.7180.4670.7110.485−0.270
Leu-free0.801−0.100−0.018−0.1790.837−0.309
Val-free0.665−0.128−0.3890.1670.6590.707
Ile-free0.6840.194−0.3820.776−0.2960.338
Trp-free0.556−0.5650.5550.865−0.087−0.282
Variance explained in PCA (%)
Percentage of principal components (%)41.9017.9716.4838.3129.3017.26
Cumulative percentage (%)41.9059.8776.3538.3167.6184.86
Disclaimer/Publisher’s Note: The statements, opinions and data contained in all publications are solely those of the individual author(s) and contributor(s) and not of MDPI and/or the editor(s). MDPI and/or the editor(s) disclaim responsibility for any injury to people or property resulting from any ideas, methods, instructions or products referred to in the content.

Share and Cite

MDPI and ACS Style

Lan, Y.; Li, J.; Zhang, S.; Qin, Q.; Liu, D.; Luo, C.; Han, S.; Wang, D.; He, Y. Potential Involvement of Buchnera aphidicola (Enterobacteriales, Enterobacteriaceae) in Biotype Differentiation of Sitobion avenae (Hemiptera: Aphididae). Insects 2024, 15, 980. https://doi.org/10.3390/insects15120980

AMA Style

Lan Y, Li J, Zhang S, Qin Q, Liu D, Luo C, Han S, Wang D, He Y. Potential Involvement of Buchnera aphidicola (Enterobacteriales, Enterobacteriaceae) in Biotype Differentiation of Sitobion avenae (Hemiptera: Aphididae). Insects. 2024; 15(12):980. https://doi.org/10.3390/insects15120980

Chicago/Turabian Style

Lan, Yanyan, Jingpeng Li, Shuo Zhang, Qiuju Qin, Deguang Liu, Chen Luo, Shipeng Han, Da Wang, and Yunzhuan He. 2024. "Potential Involvement of Buchnera aphidicola (Enterobacteriales, Enterobacteriaceae) in Biotype Differentiation of Sitobion avenae (Hemiptera: Aphididae)" Insects 15, no. 12: 980. https://doi.org/10.3390/insects15120980

APA Style

Lan, Y., Li, J., Zhang, S., Qin, Q., Liu, D., Luo, C., Han, S., Wang, D., & He, Y. (2024). Potential Involvement of Buchnera aphidicola (Enterobacteriales, Enterobacteriaceae) in Biotype Differentiation of Sitobion avenae (Hemiptera: Aphididae). Insects, 15(12), 980. https://doi.org/10.3390/insects15120980

Note that from the first issue of 2016, this journal uses article numbers instead of page numbers. See further details here.

Article Metrics

Back to TopTop