Overcoming Immune Deficiency with Allogrooming
Abstract
Simple Summary
Abstract
1. Introduction
2. Methods
2.1. Study Organisms
2.2. Survivorship and Alarm Response for Groups of Twelve
2.3. Survivorship and Allogrooming for Pairs and Singletons
2.4. In Vitro Antifungal Activity
2.5. Statistics
3. Results
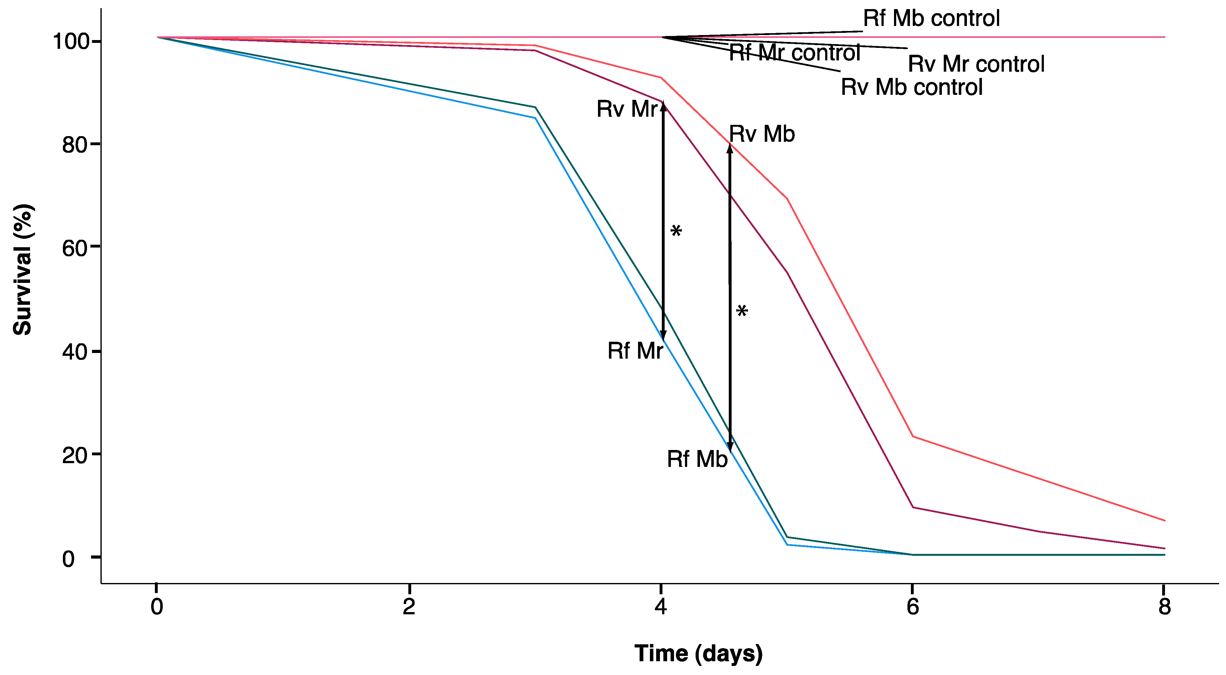
3.1. Survivorship and Alarm of Challenged Groups of Twelve
3.2. Survivorship of Challenged Pairs and Singletons
3.3. Antifungal Activity of Crude Extracts
3.4. Allogrooming among Challenged Pairs
4. Discussion
5. Conclusions
Author Contributions
Funding
Institutional Review Board Statement
Data Availability Statement
Acknowledgments
Conflicts of Interest
References
- Cremer, S.; Pull, C.D.; Fuerst, M.A. Social immunity: Emergence and evolution of colony-level disease protection. Annu. Rev. Entomol. 2018, 63, 105–123. [Google Scholar] [CrossRef] [PubMed]
- Cremer, S.; Armitage, S.A.; Schmid-Hempel, P. Social immunity. Curr. Biol. 2007, 17, R693–R702. [Google Scholar] [CrossRef] [PubMed]
- Evans, J.D.; Aronstein, K.; Chen, Y.P.; Hetru, C.; Imler, J.L.; Jiang, H.; Kanost, M.; Thompson, G.J.; Zou, Z.; Hultmark, D. Immune pathways and defence mechanisms in honey bees Apis mellifera. Insect Mol. Biol. 2006, 15, 645–656. [Google Scholar] [CrossRef] [PubMed]
- Harpur, B.A.; Zayed, A. Accelerated evolution of innate immunity proteins in social insects: Adaptive evolution or relaxed constraint? Mol. Biol. Evol. 2013, 30, 1665–1674. [Google Scholar] [CrossRef] [PubMed]
- He, S.; Sieksmeyer, T.; Che, Y.; Mora, M.A.E.; Stiblik, P.; Banasiak, R.; Harrison, M.C.; Šobotník, J.; Wang, Z.; Johnston, P.R.; et al. Evidence for reduced immune gene diversity and activity during the evolution of termites. Proc. R. Soc. Ser. B 2021, 288, 20203168. [Google Scholar] [CrossRef]
- Bulmer, M.S.; Stefano, A.M. Termite eusociality and contrasting selective pressure on social and innate immunity. Behav. Ecol. Sociobiol. 2022, 76, 1–12. [Google Scholar] [CrossRef]
- Yanagawa, A.; Shimizu, S. Resistance of the termite, Coptotermes formosanus Shiraki to Metarhizium anisopliae due to grooming. BioControl 2007, 52, 75–85. [Google Scholar] [CrossRef]
- Rosengaus, R.B.; Traniello, J.F.; Bulmer, M.S. Ecology, behavior and evolution of disease resistance in termites. In Biology of Termites: A Modern Synthesis; Bignell, D.E., Roisin, Y., Lo, N., Eds.; Springer: London, UK, 2011; pp. 165–192. [Google Scholar]
- Zhukovskaya, M.; Yanagawa, A.; Forschler, B.T. Grooming behavior as a mechanism of insect disease defense. Insects 2013, 4, 609–630. [Google Scholar] [CrossRef]
- Milner, R.J. Selection and characterization of strains of Metarhizium anisopliae for control of soil insects in Australia. In Biological Control of Locusts and Grasshoppers; Lomer, C.J., Prior, C., Eds.; CAB International: Wallingford, UK, 1991; pp. 200–207. [Google Scholar]
- Traniello, J.F.; Leuthold, R.H. Behavior and ecology of foraging in termites. In Termites: Evolution, Sociality, Symbioses, Ecology; Abe, T., Bignell, D.E., Higashi, M., Higashi, T., Abe, Y., Eds.; Springer: Dordrecht, The Netherlands, 2000; pp. 141–168. [Google Scholar]
- Vargo, E.; Husseneder, C. Biology of subterranean termites: Insights from molecular studies of Reticulitermes and Coptotermes. Annu. Rev. Entomol. 2009, 54, 379–403. [Google Scholar] [CrossRef]
- Abe, T. Evolution of life types in termites. In Evolution and Coadaptation in Biotic Communities; Kowana, S., Connell, J.H., Hidaka, T., Eds.; University of Tokyo Press: Tokyo, Japan, 1987; pp. 128–148. [Google Scholar]
- Shellman-Reeve, J.S. The spectrum of eusociality in termites. In The Evolution of Social Behavior in Insects and Arachnids; Choe, J.C., Crespi, B.J., Eds.; Cambridge University Press: Cambridge, UK, 1997; pp. 52–93. [Google Scholar]
- Griffiths, H.M.; Eggleton, P.; Hemming-Schroeder, N.; Swinfield, T.; Woon, J.S.; Allison, S.D.; Coomes, D.A.; Ashton, L.A.; Parr, C.L. Carbon flux and forest dynamics: Increased deadwood decomposition in tropical rainforest tree-fall canopy gaps. Glob. Chang. Biol. 2001, 27, 1601–1613. [Google Scholar] [CrossRef]
- Guo, C.; Tuo, B.; Ci, H.; Yan, E.R.; Cornelissen, J.H. Dynamic feedbacks among tree functional traits, termite populations and deadwood turnover. J. Ecol. 2021, 109, 578–1590. [Google Scholar] [CrossRef]
- Zanne, A.E.; Flores-Moreno, H.; Powell, J.R.; Cornwell, W.K.; Dalling, J.W.; Austin, A.T.; Classen, A.T.; Eggleton, P.; Okada, K.I.; Parr, C.L.; et al. Termite sensitivity to temperature affects global wood decay rates. Science 2022, 377, 1440–1444. [Google Scholar] [CrossRef] [PubMed]
- Liu, L.; Wang, W.; Liu, Y.; Sun, P.; Lei, C.; Huang, Q. The influence of allogrooming behavior on individual innate immunity in the subterranean termite Reticulitermes chinensis (Isoptera: Rhinotermitidae). J. Insect Sci. 2019, 19, 6. [Google Scholar] [CrossRef] [PubMed]
- Polizzi, J.M.; Forschler, B.T. Intra-and interspecific agonism in Reticulitermes flavipes (Kollar) and R. virginicus (Banks) and effects of arena and group size in laboratory assays. Insectes Sociaux 1998, 45, 43–49. [Google Scholar] [CrossRef]
- Hamilton, C.; Lay, F.; Bulmer, M.S. Subterranean termite prophylactic secretions and external antifungal defenses. J. Insect Physiol. 2011, 57, 1259–1266. [Google Scholar] [CrossRef]
- Rosengaus, R.B.; Jordan, C.; Lefebvre, M.L.; Traniello, J.F.A. Pathogen alarm behavior in a termite: A new form of communication in social insects. Sci. Nat. 1999, 86, 544–548. [Google Scholar] [CrossRef]
- Myles, T.G. Alarm, aggregation, and defense by Reticulitermes flavipes in response to a naturally occurring isolate of Metarhizium anisopliae. Sociobiology 2002, 40, 243–256. [Google Scholar]
- Bulmer, M.S.; Franco, B.A.; Fields, E.G. Subterranean termite social alarm and hygienic responses to fungal pathogens. Insects 2019, 10, 240. [Google Scholar] [CrossRef]
- Denier, D.; Bulmer, M.S. Variation in subterranean termite susceptibility to fatal infections by local Metarhizium soil isolates. Insectes Sociaux 2015, 62, 219–226. [Google Scholar] [CrossRef]
- Bischoff, J.F.; Rehner, S.A.; Humber, R.A. A multilocus phylogeny of the Metarhizium anisopliae lineage. Mycologia 2018, 101, 512–530. [Google Scholar] [CrossRef]
- Rosengaus, R.B.; Schultheis, K.F.; Yalonetskaya, A.; Bulmer, M.S.; DuComb, W.S.; Benson, R.W.; Thottam, J.P.; Godoy-Carter, V. Symbiont-derived β-1, 3-glucanases in a social insect: Mutualism beyond nutrition. Front. Microbiol. 2014, 5, 607. [Google Scholar] [CrossRef] [PubMed]
- Hamilton, C.; Bulmer, M.S. Molecular antifungal defenses in subterranean termites: RNA interference reveals in vivo roles of termicins and GNBPs against a naturally encountered pathogen. Dev. Comp. Immunol. 2012, 36, 372–377. [Google Scholar] [CrossRef] [PubMed]
- Bulmer, M.S.; Lay, F.; Hamilton, C. Adaptive evolution in subterranean termite antifungal peptides. Insect Mol. Biol. 2010, 19, 669–674. [Google Scholar] [CrossRef] [PubMed]
- Bulmer, M.S.; Crozier, R.H. Duplication and diversifying selection among termite antifungal peptides. Mol. Biol. Evol. 2004, 21, 2256–2264. [Google Scholar] [CrossRef]
- Moran, M.N.; Aguero, C.M.; Eyer, P.A.; Vargo, E.L. Rescue strategy in a termite: Workers exposed to a fungal pathogen are reintegrated into the colony. Front. Ecol. Evol. 2022, 10, 840223. [Google Scholar] [CrossRef]
- Davis, H.E.; Meconcelli, S.; Radek, R.; McMahon, D.P. Termites shape their collective behavioural response based on stage of infection. Sci. Rep. 2018, 8, 14433. [Google Scholar] [CrossRef]






Disclaimer/Publisher’s Note: The statements, opinions and data contained in all publications are solely those of the individual author(s) and contributor(s) and not of MDPI and/or the editor(s). MDPI and/or the editor(s) disclaim responsibility for any injury to people or property resulting from any ideas, methods, instructions or products referred to in the content. |
© 2023 by the authors. Licensee MDPI, Basel, Switzerland. This article is an open access article distributed under the terms and conditions of the Creative Commons Attribution (CC BY) license (https://creativecommons.org/licenses/by/4.0/).
Share and Cite
Bulmer, M.S.; Franco, B.A.; Biswas, A.; Greenbaum, S.F. Overcoming Immune Deficiency with Allogrooming. Insects 2023, 14, 128. https://doi.org/10.3390/insects14020128
Bulmer MS, Franco BA, Biswas A, Greenbaum SF. Overcoming Immune Deficiency with Allogrooming. Insects. 2023; 14(2):128. https://doi.org/10.3390/insects14020128
Chicago/Turabian StyleBulmer, Mark S., Bruno A. Franco, Aditi Biswas, and Samantha F. Greenbaum. 2023. "Overcoming Immune Deficiency with Allogrooming" Insects 14, no. 2: 128. https://doi.org/10.3390/insects14020128
APA StyleBulmer, M. S., Franco, B. A., Biswas, A., & Greenbaum, S. F. (2023). Overcoming Immune Deficiency with Allogrooming. Insects, 14(2), 128. https://doi.org/10.3390/insects14020128
