Accumulation and Transmission of ‘Candidatus Liberibacter solanacearum’ Haplotypes by the Nymphs of Two Psyllid Vectors
Abstract
Simple Summary
Abstract
1. Introduction
2. Materials and Methods
2.1. Plants and Psyllid Colonies
2.2. Midgut Dissections and LsoA and LsoB Quantification in Guts
2.3. LsoA and LsoB Transmission Experiments
2.4. LsoD Transmission Experiments
2.5. Lso Detection in Tomato and Celery Plants
2.6. Statistical Analysis
3. Results
3.1. LsoA and LsoB Titer in the Gut of Potato Psyllid Nymphs
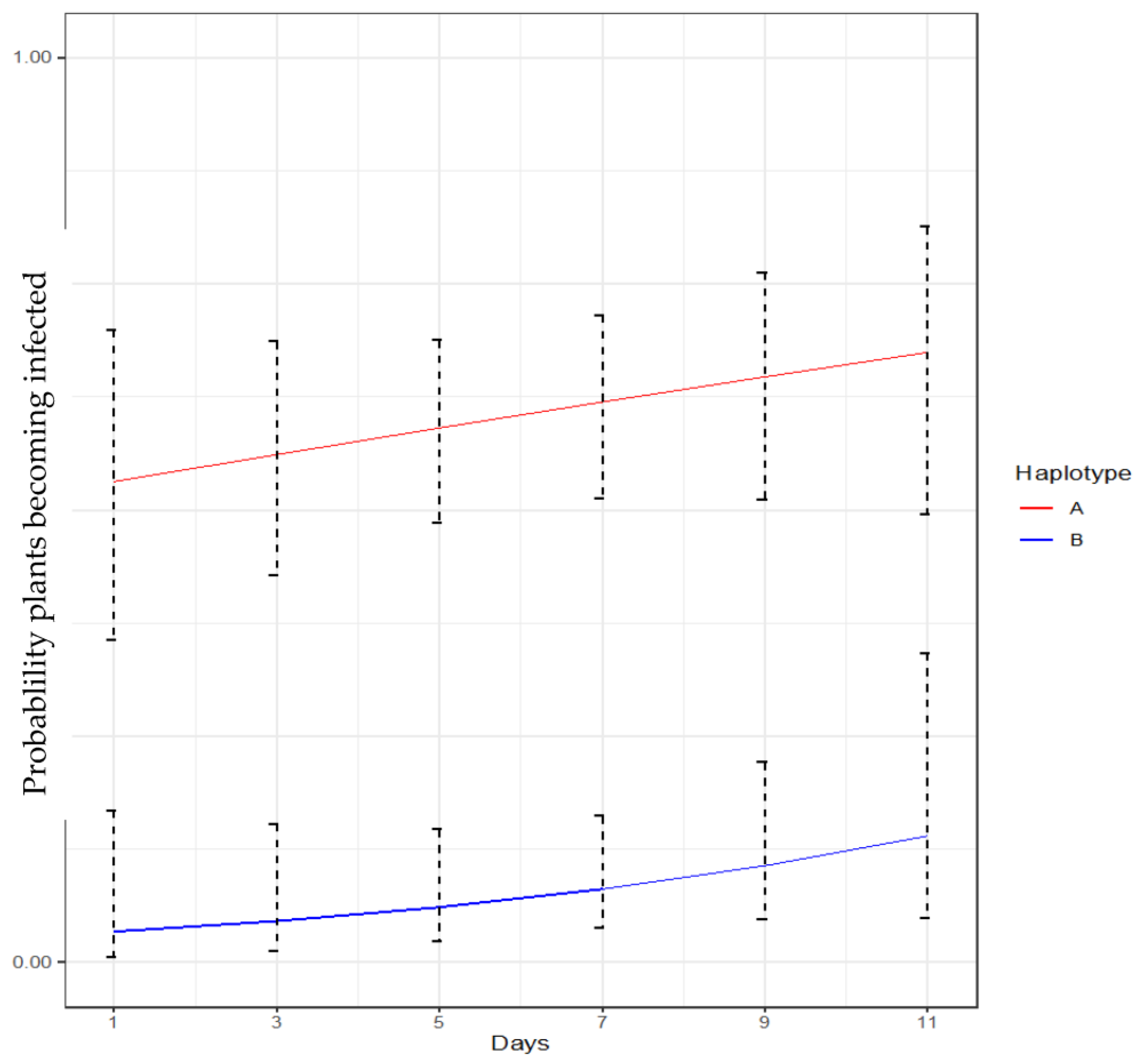
3.2. LsoA and LsoB Transmission by Potato Psyllid Nymphs
3.3. LsoD Transmission by Carrot Psyllid Nymphs
4. Discussion
5. Conclusions
Author Contributions
Funding
Data Availability Statement
Acknowledgments
Conflicts of Interest
References
- Munyaneza, J.; Crosslin, J.; Upton, J. Association of Bactericera cockerelli (Homoptera: Psyllidae) with “zebra chip,” a new potato disease in southwestern United States and Mexico. J. Econ. Entomol. 2007, 100, 656–663. [Google Scholar] [CrossRef] [PubMed]
- Jagoueix, S.; Bove, J.-M.; Garnier, M. The phloem-limited bacterium of greening disease of citrus is a member of the α subdivision of the Proteobacteria. Int. J. Syst. Evol. Microbiol. 1994, 44, 379–386. [Google Scholar] [CrossRef] [PubMed]
- Nelson, W.R.; Fisher, T.W.; Munyaneza, J.E. Haplotypes of “Candidatus Liberibacter solanacearum” suggest long-standing separation. Eur. J. Plant Pathol. 2011, 130, 5–12. [Google Scholar] [CrossRef]
- Glynn, J.; Islam, M.; Bai, Y.; Lan, S.; Wen, A.; Gudmestad, N.; Civerolo, E.; Lin, H. Multilocus sequence typing of ‘Candidatus Liberibacter solanacearum’ isolates from North America and New Zealand. J. Plant Pathol. 2012, 94, 223–228. [Google Scholar]
- Lin, H.; Islam, M.S.; Bai, Y.; Wen, A.; Lan, S.; Gudmestad, N.C.; Civerolo, E.L. Genetic diversity of ‘Cadidatus Liberibacter solanacearum’ strains in the United States and Mexico revealed by simple sequence repeat markers. Eur. J. Plant Pathol. 2012, 132, 297–308. [Google Scholar] [CrossRef]
- Teresani, G.R.; Bertolini, E.; Alfaro-Fernández, A.; Martínez, C.; Tanaka, F.A.O.; Kitajima, E.W.; Roselló, M.; Sanjuan, S.; Ferrándiz, J.C.; López, M.M. Association of ‘Candidatus Liberibacter solanacearum’ with a vegetative disorder of celery in Spain and development of a real-time PCR method for its detection. Phytopathology 2014, 104, 804–811. [Google Scholar] [CrossRef] [PubMed]
- Nelson, W.R.; Sengoda, V.G.; Alfaro-Fernandez, A.O.; Font, M.I.; Crosslin, J.M.; Munyaneza, J.E. A new haplotype of “Candidatus Liberibacter solanacearum” identified in the Mediterranean region. Eur. J. Plant Pathol. 2013, 135, 633–639. [Google Scholar] [CrossRef]
- Haapalainen, M.; Latvala, S.; Wickström, A.; Wang, J.; Pirhonen, M.; Nissinen, A.I. A novel haplotype of ‘Candidatus Liberibacter solanacearum’ found in Apiaceae and Polygonaceae family plants. Eur. J. Plant Pathol. 2020, 156, 413–423. [Google Scholar] [CrossRef]
- Haapalainen, M.; Wang, J.; Latvala, S.; Lehtonen, M.T.; Pirhonen, M.; Nissinen, A. Genetic variation of ‘Candidatus Liberibacter solanacearum’ haplotype C and identification of a novel haplotype from Trioza urticae and stinging nettle. Phytopathology 2018, 108, 925–934. [Google Scholar] [CrossRef]
- Swisher Grimm, K.; Garczynski, S. Identification of a new haplotype of ‘Candidatus Liberibacter solanacearum’ in Solanum tuberosum. Plant Dis. 2019, 103, 468–474. [Google Scholar] [CrossRef]
- Munyaneza, J.E.; Goolsby, J.A.; Crosslin, J.M.; Upton, J.E. Further evidence that zebra chip potato disease in the lower Rio Grande Valley of Texas is associated with Bactericera cockerelli. Subtrop. Plant Sci. 2007, 59, 30–37. [Google Scholar]
- Munyaneza, J.E.; Buchman, J.L.; Sengoda, V.G.; Fisher, T.W.; Pearson, C.C. Susceptibility of selected potato varieties to zebra chip potato disease. Am. J. Potato Res. 2011, 88, 435–440. [Google Scholar] [CrossRef]
- Mustafa, T.; Horton, D.R.; Cooper, W.R.; Swisher, K.D.; Zack, R.S.; Pappu, H.R.; Munyaneza, J.E. Use of electrical penetration graph technology to examine transmission of ‘Candidatus Liberibacter solanacearum’ to potato by three haplotypes of potato psyllid (Bactericera cockerelli; Hemiptera: Triozidae). PLoS ONE 2015, 10, e0138946. [Google Scholar] [CrossRef] [PubMed]
- Mawassi, M.; Dror, O.; Bar-Joseph, M.; Piasezky, A.; Sjölund, J.; Levitzky, N.; Shoshana, N.; Meslenin, L.; Haviv, S.; Porat, C. ‘Candidatus Liberibacter solanacearum’ is tightly associated with carrot yellows symptoms in Israel and transmitted by the prevalent psyllid vector Bactericera trigonica. Phytopathology 2018, 108, 1056–1066. [Google Scholar] [CrossRef] [PubMed]
- Munyaneza, J.; Fisher, T.; Sengoda, V.; Garczynski, S.; Nissinen, A.; Lemmetty, A. First Report of “Candidatus Liberibacter solanacearum” Associated with Psyllid-Affected Carrots in Europe. Plant Dis. 2010, 94, 639. [Google Scholar] [CrossRef] [PubMed]
- Tahzima, R.; Maes, M.; Achbani, E.; Swisher, K.; Munyaneza, J.; De Jonghe, K. First report of ‘Candidatus Liberibacter solanacearum’ on carrot in Africa. Plant Dis. 2014, 98, 1426. [Google Scholar] [CrossRef] [PubMed]
- Cicero, J.M.; Fisher, T.W.; Qureshi, J.A.; Stansly, P.A.; Brown, J.K. Colonization and intrusive invasion of potato psyllid by ‘Candidatus Liberibacter solanacearum’. Phytopathology 2017, 107, 36–49. [Google Scholar] [CrossRef]
- Cooper, W.R.; Sengoda, V.G.; Munyaneza, J.E. Localization of ‘Candidatus Liberibacter solanacearum’ (Rhizobiales: Rhizobiaceae) in Bactericera cockerelli (Hemiptera: Triozidae). Ann. Entomol. Soc. Am. 2014, 107, 204–210. [Google Scholar] [CrossRef]
- Vereijssen, J.; Smith, G.R.; Weintraub, P.G. Bactericera cockerelli (Hemiptera: Triozidae) and Candidatus Liberibacter solanacearum in potatoes in New Zealand: Biology, transmission, and implications for management. J. Integr. Pest Manag. 2018, 9, 13. [Google Scholar] [CrossRef]
- Cicero, J.M. Stylet biogenesis in Bactericera cockerelli (Hemiptera: Triozidae). Arthropod Struct. Dev. 2017, 46, 644–661. [Google Scholar] [CrossRef]
- Sengoda, V.G.; Cooper, W.R.; Swisher, K.D.; Henne, D.C.; Munyaneza, J.E. Latent period and transmission of “Candidatus Liberibacter solanacearum” by the potato psyllid Bactericera cockerelli (Hemiptera: Triozidae). PLoS ONE 2014, 9, e93475. [Google Scholar] [CrossRef] [PubMed]
- Fisher, T.W.; Vyas, M.; He, R.; Nelson, W.; Cicero, J.M.; Willer, M.; Kim, R.; Kramer, R.; May, G.A.; Crow, J.A. Comparison of potato and Asian citrus psyllid adult and nymph transcriptomes identified vector transcripts with potential involvement in circulative, propagative Liberibacter transmission. Pathogens 2014, 3, 875–907. [Google Scholar] [CrossRef] [PubMed]
- Ohnishi, J.; Kitamura, T.; Terami, F.; Honda, K.-i. A selective barrier in the midgut epithelial cell membrane of the nonvector whitefly Trialeurodes vaporariorum to Tomato yellow leaf curl virus uptake. J. Gen. Plant Pathol. 2009, 75, 131–139. [Google Scholar] [CrossRef]
- Jassar, O.; Ghanim, M. Association of endoplasmic reticulum associated degradation (ERAD) with the transmission of Liberibacter solanacearum by its psyllid vector. Insect Mol. Biol. 2023, 32, 436–449. [Google Scholar] [CrossRef] [PubMed]
- Tang, X.-T.; Fortuna, K.; Mendoza Herrera, A.; Tamborindeguy, C. Liberibacter, a preemptive bacterium: Apoptotic response repression in the host gut at the early infection to facilitate its acquisition and transmission. Front. Microbiol. 2020, 11, 589509. [Google Scholar] [CrossRef] [PubMed]
- Tang, X.-T.; Levy, J.; Tamborindeguy, C. Potato psyllids mount distinct gut responses against two different ‘Candidatus Liberibacter solanacearum’ haplotypes. PLoS ONE 2023, 18, e0287396. [Google Scholar] [CrossRef] [PubMed]
- Abdullah, N. Life history of the potato psyllid Bactericera cockerelli (Homoptera: Psyllidae) in controlled environment agriculture in Arizona. Afr. J. Agric. Res. 2008, 3, 060–067. [Google Scholar]
- Butler, C.D.; Trumble, J.T. The potato psyllid, Bactericera cockerelli (Sulc) (Hemiptera: Triozidae): Life history, relationship to plant diseases, and management strategies. Terr. Arthropod Rev. 2012, 5, 87–111. [Google Scholar] [CrossRef]
- Inoue, H.; Ohnishi, J.; Ito, T.; Tomimura, K.; Miyata, S.; Iwanami, T.; Ashihara, W. Enhanced proliferation and efficient transmission of Candidatus Liberibacter asiaticus by adult Diaphorina citri after acquisition feeding in the nymphal stage. Ann. Appl. Biol. 2009, 155, 29–36. [Google Scholar] [CrossRef]
- Tang, X.-T.; Longnecker, M.; Tamborindeguy, C. Acquisition and transmission of two ‘Candidatus Liberibacter solanacearum’ haplotypes by the tomato psyllid Bactericera cockerelli. Sci. Rep. 2020, 10, 14000. [Google Scholar] [CrossRef]
- Sengoda, V.G.; Buchman, J.L.; Henne, D.C.; Pappu, H.R.; Munyaneza, J.E. “Candidatus Liberibacter solanacearum” titer over time in Bactericera cockerelli (Hemiptera: Triozidae) after acquisition from infected potato and tomato plants. J. Econ. Entomol. 2013, 106, 1964–1972. [Google Scholar] [CrossRef] [PubMed]
- Buchman, J.L.; Sengoda, V.G.; Munyaneza, J.E. Vector transmission efficiency of liberibacter by Bactericera cockerelli (Hemiptera: Triozidae) in zebra chip potato disease: Effects of psyllid life stage and inoculation access period. J. Econ. Entomol. 2011, 104, 1486–1495. [Google Scholar] [CrossRef] [PubMed]
- Li, W.; Abad, J.A.; French-Monar, R.D.; Rascoe, J.; Wen, A.; Gudmestad, N.C.; Secor, G.A.; Lee, M.; Duan, Y.; Levy, L. Multiplex real-time PCR for detection, identification and quantification of ‘Candidatus Liberibacter solanacearum’in potato plants with zebra chip. J. Microbiol. Methods 2009, 78, 59–65. [Google Scholar] [CrossRef] [PubMed]
- Sarkar, P.; Kontsedalov, S.; Lebedev, G.; Ghanim, M. The actin cytoskeleton mediates transmission of “Candidatus Liberibacter solanacearum” by the carrot psyllid. Appl. Environ. Microbiol. 2021, 87, e02393-20. [Google Scholar] [CrossRef] [PubMed]
- Li, W.; Hartung, J.S.; Levy, L. Quantitative real-time PCR for detection and identification of Candidatus Liberibacter species associated with citrus huanglongbing. J. Microbiol. Methods 2006, 66, 104–115. [Google Scholar] [CrossRef] [PubMed]
- Nachappa, P.; Levy, J.; Pierson, E.; Tamborindeguy, C. Correlation between “Candidatus Liberibacter solanacearum” infection levels and fecundity in its psyllid vector. J. Invertebr. Pathol. 2014, 115, 55–61. [Google Scholar] [CrossRef]
- Levy, J.; Ravindran, A.; Gross, D.; Tamborindeguy, C.; Pierson, E. Translocation of ‘Candidatus Liberibacter solanacearum’, the zebra chip pathogen, in potato and tomato. Phytopathology 2011, 101, 1285–1291. [Google Scholar] [CrossRef]
- Munyaneza, J.E.; Mustafa, T.; Fisher, T.W.; Sengoda, V.G.; Horton, D.R. Assessing the likelihood of transmission of Candidatus Liberibacter solanacearum to carrot by potato psyllid, Bactericera cockerelli (Hemiptera: Triozidae). PLoS ONE 2016, 11, e0161016. [Google Scholar] [CrossRef]
- Grimm, K.D.S.; Horton, D.R.; Lewis, T.M.; Garczynski, S.F.; Jensen, A.S.; Charlton, B.A. Identification of three new ‘Candidatus Liberibacter solanacearum’ haplotypes in four psyllid species (Hemiptera: Psylloidea). Sci. Rep. 2022, 12, 20618. [Google Scholar] [CrossRef]
- Tang, X.-T.; Tamborindeguy, C. Identification of Autophagy-Related Genes in the Potato Psyllid, Bactericera cockerelli and Their Expression Profile in Response to ‘Candidatus Liberibacter Solanacearum’ in the Gut. Insects 2021, 12, 1073. [Google Scholar] [CrossRef]
- Sarkar, P.; Ghanim, M. Interaction of Liberibacter solanacearum with host psyllid vitellogenin and its association with autophagy. Microbiol. Spectr. 2022, 10, e01577-22. [Google Scholar] [CrossRef] [PubMed]
- Tang, X.-T.; Tamborindeguy, C. No evidence of apoptotic response of the potato psyllid Bactericera cockerelli to “Candidatus Liberibacter solanacearum” at the gut interface. Infect. Immun. 2019, 88, e00242-19. [Google Scholar] [CrossRef] [PubMed]
- Oh, J.; Tamborindeguy, C. Treatment of Rapamycin and Evaluation of an Autophagic Response in the Gut of Bactericera cockerelli (Sulč). Insects 2023, 14, 142. [Google Scholar] [CrossRef] [PubMed]
- Rashed, A.; Nash, T.; Paetzold, L.; Workneh, F.; Rush, C. Transmission efficiency of ‘Candidatus Liberibacter solanacearum’ and potato zebra chip disease progress in relation to pathogen titer, vector numbers, and feeding sites. Phytopathology 2012, 102, 1079–1085. [Google Scholar] [CrossRef] [PubMed][Green Version]
- Ammar, E.-D.; Ramos, J.E.; Hall, D.G.; Dawson, W.O.; Shatters Jr, R.G. Acquisition, replication and inoculation of Candidatus Liberibacter asiaticus following various acquisition periods on huanglongbing-infected citrus by nymphs and adults of the Asian citrus psyllid. PLoS ONE 2016, 11, e0159594. [Google Scholar] [CrossRef] [PubMed]
- Sandanayaka, W.; Moreno, A.; Tooman, L.; Page-Weir, N.; Fereres, A. Stylet penetration activities linked to the acquisition and inoculation of C andidatus L iberibacter solanacearum by its vector tomato potato psyllid. Entomol. Exp. Appl. 2014, 151, 170–181. [Google Scholar] [CrossRef]
- Sandanayaka, W.; Tooman, L.; Hewett, R. The impact of post acquisition period on detection of Candidatus Liberibacter solanacearum in tomato potato psyllid. N. Z. Plant Prot. 2013, 66, 365–373. [Google Scholar] [CrossRef]
- Ghanim, M.; Fattah-Hosseini, S.; Levy, A.; Cilia, M. Morphological abnormalities and cell death in the Asian citrus psyllid (Diaphorina citri) midgut associated with Candidatus Liberibacter asiaticus. Sci. Rep. 2016, 6, 33418. [Google Scholar] [CrossRef]
- Yao, J.; Saenkham, P.; Levy, J.; Ibanez, F.; Noroy, C.; Mendoza, A.; Huot, O.; Meyer, D.F.; Tamborindeguy, C. Interactions “Candidatus Liberibacter solanacearum”—Bactericera cockerelli: Haplotype effect on vector fitness and gene expression analyses. Front. Cell. Infect. Microbiol. 2016, 6, 62. [Google Scholar] [CrossRef]
- Hansen, A.; Trumble, J.; Stouthamer, R.; Paine, T. A new huanglongbing species,“Candidatus Liberibacter psyllaurous,” found to infect tomato and potato, is vectored by the psyllid Bactericera cockerelli (Sulc). Appl. Environ. Microbiol. 2008, 74, 5862–5865. [Google Scholar] [CrossRef]
- Dahan, J.; Wenninger, E.J.; Thompson, B.D.; Eid, S.; Olsen, N.; Karasev, A.V. Prevalence of ‘Candidatus Liberibacter solanacearum’ haplotypes in potato tubers and psyllid vectors in Idaho from 2012 to 2018. Plant Dis. 2019, 103, 2587–2591. [Google Scholar] [CrossRef] [PubMed]
- Wen, A.; Johnson, C.; Gudmestad, N.C. Development of a PCR assay for the rapid detection and differentiation of ‘Candidatus Liberibacter solanacearum’ haplotypes and their spatiotemporal distribution in the United States. Am. J. Potato Res. 2013, 90, 229–236. [Google Scholar] [CrossRef]



| LsoA | Days Post-Transfer | |||||||
|---|---|---|---|---|---|---|---|---|
| Sample | 1 | 3 | 5 | 7 | 9 | 11 | 13 | 15 |
| 1 | + | + | − | − | −YA | +YA | + | − |
| 2 | − | + | − | + | + | +YA | +YA | + |
| 3 | + | + | + | − | +YA | +YA | + | − |
| 4 | + | + | + | + | +YA | +YA | + | + |
| 5 | − | + | + | + | − | +YA | +YA | + |
| 6 | + | − | + | − | − | +YA | +YA | + |
| 7 | − | − | + (L/R) | + | + | −YA | +YA | + |
| 8 | − | + | − | + | − | −YA | − | + |
| 9 | + | + | − | + (D/R) | +YA | +YA | + | − |
| 10 | − | − | − | + | − | − | + | +YA |
| 11 | − | + | + | − | + | + | + | −YA |
| 12 | − | − | − | + | + | +YA | +YA | + |
| 13 | − | + | + | − | + | − | +YA | +YA |
| 14 | + | + | + | + | + | − | −YA | +YA |
| 15 | + | − | − | + | + | + | +YA | +YA |
| 16 | + (L/R) | − | + | − | − | + | −YA | +YA |
| Total % | 50% | 63% | 56% | 63% | 63% | 69% | 81% | 75% |
| LsoB | Days Post-Transfer | |||||||
|---|---|---|---|---|---|---|---|---|
| Sample | 1 | 3 | 5 | 7 | 9 | 11 | 13 | 15 |
| 1 | − | − | − | − | + | − | −YA | −YA |
| 2 | − | − | − | − | − | − | −YA | −YA |
| 3 | − | − | − | − | − | − | +YA | +YA |
| 4 | − | − | + | − | − | + | − | +YA |
| 5 | − | − | + | + | − | − | −YA | −YA |
| 6 | − | − | − | − | − | − | − | −YA |
| 7 | − | − | − | − | − | − | −YA | −YA |
| 8 | − | − | + | − | − | − | − | −YA (L) |
| 9 | − | − | − | − | − | + | −YA | −YA |
| 10 | − | − | − | − | − | − | −YA | −YA |
| 11 | − | − | − | − | − | − | −YA | −YA |
| 12 | − | − | − | − | − | − | −YA | −YA |
| 13 | − | − | − | − | − | − | +YA | +YA |
| 14 | − | − | − | − | − | − | − | −YA |
| 15 | − | − | − | − | − | − | − | +YA |
| Total % | 0% | 0% | 20% | 7% | 7% | 13% | 13% | 33% |
| Plant | Group 1 0–1 Days (3) | Group 2 2–3 Days (3) | Group 3 4–5 Days (4) | Group 4 7–8 Days (4) | Group 5 9–10 Days (4) | Group 6 11–13 Days (4) | Group 7 14–15 Days (4) | Group 8 16–17 Days (4) |
|---|---|---|---|---|---|---|---|---|
| A—0 day | 0% | 0% | 0% | 0% | 0% | 0% | 0% | 0% |
| B—2 days | 0% | 0% | 0% | 0% | 25% | 0% | 0% | 0% |
| C—4 days | 0% | 0% | 0% | 0% | 75% | 0% | 50% | ** |
| D—7 days | 0% | 0% | 50% | 0% | 75% | 50% | ** | |
| E—9 days | 0% | 33% | 75% | 75% | 75% | 25% | ||
| F—11 days | 0% | 33% | 75% | 75% | ** | ** | ||
| G—14 days | 0% | 33% | 75% | ** | ||||
| H—16 days | 0% | 33% | ** | |||||
| I—18 days | 33% | 33% | ||||||
| J—20 days | 33% | ** | ||||||
| K—22 days | 0% |
Disclaimer/Publisher’s Note: The statements, opinions and data contained in all publications are solely those of the individual author(s) and contributor(s) and not of MDPI and/or the editor(s). MDPI and/or the editor(s) disclaim responsibility for any injury to people or property resulting from any ideas, methods, instructions or products referred to in the content. |
© 2023 by the authors. Licensee MDPI, Basel, Switzerland. This article is an open access article distributed under the terms and conditions of the Creative Commons Attribution (CC BY) license (https://creativecommons.org/licenses/by/4.0/).
Share and Cite
Oh, J.; Mendoza Herrera, M.A.; Leal-Galvan, B.; Kontsedalov, S.; Ghanim, M.; Tamborindeguy, C. Accumulation and Transmission of ‘Candidatus Liberibacter solanacearum’ Haplotypes by the Nymphs of Two Psyllid Vectors. Insects 2023, 14, 956. https://doi.org/10.3390/insects14120956
Oh J, Mendoza Herrera MA, Leal-Galvan B, Kontsedalov S, Ghanim M, Tamborindeguy C. Accumulation and Transmission of ‘Candidatus Liberibacter solanacearum’ Haplotypes by the Nymphs of Two Psyllid Vectors. Insects. 2023; 14(12):956. https://doi.org/10.3390/insects14120956
Chicago/Turabian StyleOh, Junepyo, Maria Azucena Mendoza Herrera, Brenda Leal-Galvan, Svetlana Kontsedalov, Murad Ghanim, and Cecilia Tamborindeguy. 2023. "Accumulation and Transmission of ‘Candidatus Liberibacter solanacearum’ Haplotypes by the Nymphs of Two Psyllid Vectors" Insects 14, no. 12: 956. https://doi.org/10.3390/insects14120956
APA StyleOh, J., Mendoza Herrera, M. A., Leal-Galvan, B., Kontsedalov, S., Ghanim, M., & Tamborindeguy, C. (2023). Accumulation and Transmission of ‘Candidatus Liberibacter solanacearum’ Haplotypes by the Nymphs of Two Psyllid Vectors. Insects, 14(12), 956. https://doi.org/10.3390/insects14120956

