Simple Summary
Many spider mites are important agricultural pests in both fields and greenhouses worldwide and are diversified in their host plant range. How spider mites perceive their suitable host plants remains not completely clear. In this study, we found that spider mites cannot locate suitable host plants by volatile odours from a long distance, but they can use olfactory sensation in combination with gustatory sensation to make a precise selection for suitable host plants at a short distance. Highly polyphagous species showed strong sensitivity in sensing suitable host plants rather than the expected lowered sensitivity. We also found that the similarity among the five spider mite species in their performance in perceiving suitable host plants was highly correlated with their relative phylogenetic relationship.
Abstract
Spider mites belonging to the genus Tetranychus infest many important agricultural crops in both fields and greenhouses worldwide and are diversified in their host plant range. How spider mites perceive their suitable host plants remains not completely clear. Here, through two-host-choice designs (bean vs. tomato, and bean vs. eggplant), we tested the efficacies of the olfactory and gustatory systems of five spider mite species (T. urticae, T. truncatus, T. pueraricola, T. piercei, and T. evansi), which differ in host plant range in sensing their suitable host plant, by Y-tube olfactometer and two-choice disc experiments. We found that spider mites cannot locate their suitable host plants by volatile odours from a long distance, but they can use olfactory sensation in combination with gustatory sensation to select suitable host plants at a short distance. Highly polyphagous species displayed strong sensitivity in sensing suitable host plants rather than the lowered sensitivity we expected. Intriguingly, our principal component analyses (PCAs) showed that the similarity among five spider mite species in the performance of perceiving suitable host plants was highly correlated with their relative phylogenetic relationships, suggesting a close relationship between the chemosensing system and the speciation of spider mites. Our results highlight the necessity of further work on the chemosensing system in relation to host plant range and speciation of spider mites.
1. Introduction
Spider mites belonging to the genus Tetranychus comprise many important agricultural pests, damaging a wide range of crops and ornamental plants. For instance, the two-spotted spider mite Tetranychus urticae has been considered one of the most destructive agricultural pests in the world [1] and can feed on more than 1150 plant species from 140 different plant families [2]. Additionally, several other species also commonly occur in the field, such as Tetranychus kanzawai, Tetranychus truncatus, Tetranychus pueraricola, and Tetranychus evansi [3,4,5,6,7].
Currently, 154 species are documented in the Tetranychus genus [8]. They exhibit high diversity in terms of host plant range, from a near specialist (Tetranychus lintearius) to an extreme generalist (T. urticae) [8], providing a suitable model to investigate the evolution of diet breadth and the underlying mechanisms. How do spider mites sense their suitable host plants? Studies regarding this fundamental question are scarce. Unlike insects, which commonly use antennae to perceive suitable plants by their volatiles, spider mites lack antennae. Gotoh et al. [9] studied the abilities of two host races of T. urticae (tomato and cucumber) to discriminate their respective hosts via a Y-tube olfactometer and two-choice disc experiments. They found that the two races can significantly perceive their respective favourite hosts in the two-choice disc experiment. In contrast, only the tomato host race displayed a weak preference for tomato in the Y-tube olfactometer experiment. Therefore, they considered that T. urticae could not perceive plants by plant volatiles alone but by both volatile and contact cues. As T. urticae is an extreme generalist, it might be unnecessary to discriminate against its favourite host plant when facing different host plants. Alternatively, the low genetic divergence between the two host races may not render a significant divergent preference for favourite plants. Furthermore, it remains unclear how other Tetranychus species (e.g., T. evansi) with a relatively narrower host range than T. urticae perceive suitable hosts.
In China, eight Tetranychus species commonly occur in the field, according to our previous extensive investigation, which covered 317 populations from 58 host plants (most plants are crops) during 2008–2017 [3]. Among them, T. truncatus was the predominant species, with an incidence of 45.7%, followed by T. pueraricola (21.4%), T. kanzawai (12.5%) and T. urticae (including both green and red, 4.5%) [3]. The remains include Tetranychus ludeni, Tetranychus macfarlanei, and Tetranychus piercei. The first three dominant species, T. truncatus, T. pueraricola and T. kanzawai, were much richer in the host plant range than the remaining species in China. The three species were found on 30 (for T. truncatus), 24 (for T. pueraricola) and 18 (for T. kanzawai) out of the 58 host plant species we investigated. Despite the extreme polyphagous nature of T. urticae, it was only found on seven host plant species for the green form and on 13 species for the red form, which is probably due to its invasive status in China and the loss of genetic variation after invasion [10]. Tetranychus piercei is a tropical and warm subtropical species of Southeast Asia and the Indonesian region, having a much narrower host range and mainly occurring on woody plants. We only found this species on eight out of the 58 plant species during our investigation [3]. It is an important species of banana [11] in China. Recently, we found a new invader, T. evansi, emerging as a new threat to solanaceous crops [12]. This species is only found on tomatoes in our recent investigation (data not published) and was widely considered a solanaceous specialist [13,14].
In the laboratory, T. urticae, T. pueraricola, T. truncatus, and T. piercei are more easily expanded on bean plants than on eggplants or tomatoes, indicating that bean plants are a more suitable host than the two others for these four species. In contrast, T. evansi has the highest fitness in tomatoes. Here, we ask the following questions: (1) How do spider mites perceive their suitable host plants by smell or taste? (2) Does the selectivity vary among species with different ranges and preferences of host plants? Specifically, whether highly polyphagous species displays lowered sensitivity in sensing suitable host plants than those with narrow host ranges? To answer these questions, we compared the host selectivity of five Tetranychus species with different ranges and preferences in their host plants using a Y-tube olfactometer and two-choice disc bioassays.
2. Materials and Methods
2.1. Experimental Plants
Tomato (Solanum lycopersicum) and eggplant (Solanum melongena) were grown individually in plastic pots 10 cm in diameter. Plants 10–30 cm in height (before the flowering stage) were used for the experiments. Kidney bean plants (Phaseolus vulgaris) were grown in plastic pots (30 × 30 × 20 cm). Kidney bean plants that were three to four weeks old (before the flowering stage) were used for spider mite rearing and experiments. All plants were grown in a greenhouse provided by Nanjing Agricultural University, with a long day photoperiod (16 L:8 D), temperature (25 ± 1) °C, and relative humidity (60 ± 10)%.
2.2. Spider Mites
Tetranychus urticae (green form), T. truncatus, T. pueraricola and T. piercei were reared on kidney bean plants placed in cages. T. evansi was reared on tomato plants in a cage. These spider mites were identified through a molecular approach. Briefly, we amplified and sequenced the nuclear ribosomal transcribed spacer (ITS) region according to Ge et al. [15] and then blasted these sequences against NCBI “nr” nucleotide sequence database. Sampling information is shown in Table 1. All spider mites were maintained in a greenhouse, which is provided by Nanjing Agricultural University, with long day photoperiod (16 L:8 D), temperature (25 ± 1) °C, and relative humidity (60 ± 10)%.
Table 1.
Sampling information of spider mites used in this study.
2.3. Y-Tube Olfactometer Experiments
We performed the olfactory selection test following Gotoh et al. [9] with slight modification under conditions of 25± °C, 30 ± 10% R.H. (Figure 1). We adopted a glass Y-tube olfactometer with a 0.5 cm uniform diameter, 5 cm trunk length, 5 cm branch length, and 75° branch angle. The two arms were connected to the bottle, and the leaves of fresh host plants with the same growth condition and weight of 2.35 ± 0.15 g (the maximum limit that the bottle can accommodate without damaging the plant materials) were selected as the odour source. The incision part of the leaves was wrapped with moist absorbable cotton, and the outer part was wrapped with a layer of aluminium foil to avoid leaf wilting due to water loss. The air was purified by activated carbon and humidified with distilled water. The rate of airflow was adjusted to 300 mL/min, and the air was blown for 15 min before the test to flush the olfactometer.
Figure 1.
Schematic of the Y type olfactory device.
At the commencement of the experiment, the spider mites were individually positioned on the starting point 2 cm from the opening of the Y-tube. When the spider mites reached the point beyond 1/2 of an arm and remained for more than 15 s or reached the outlet, the “choice” of odour that they moved towards was recorded. A spider mite was recorded as having no selection response if it did not make a choice within 5 min. After every fifth bioassay, we exchanged the arm containing the exposed odour with an arm containing the control odour. Chambers were cleaned and rinsed thoroughly in water after each observation. Each spider mite was tested only once in the experiment, and a total of 40 effective spider mites were tested in each group.
2.4. Two-Choice Disc Bioassay
The choice test for spider mites was performed in plastic Petri dishes (15 cm diameter). A 1.5 cm diameter circular piece of host plant leaf was cut and placed in a Petri dish, which was lined at the bottom with thick soaked absorbent cotton. Parafilm was cut into a rectangle with a length of 4 cm and a width of 1 cm. The two sides of the rectangle touched the leaves of the kidney bean leaf disc and the other host plants. Twenty adult spider mite females, which were starved for two hours before the experiment, were introduced at the centre of the parafilm. The experiment was repeated eight times for each treatment. The number of mites on each leaf disc was recorded at 2, 6, 12, 24, 36, 48 and 72 h. The Petri dishes were placed into a climate-controlled cabinet at 25 ± 1 °C and 16 L:8 D.
2.5. Data Analysis
We performed χ2 tests in IBM SPSS Statistics 22 to analyse mite preference behaviours for both the Y-tube olfactometer experiments and two-choice disc experiment data. Significances were determined at three α levels, namely 0.05, 0.01 and 0.001. All graphs were plotted using GraphPad Prism 8 software. To further decipher the similarities among the five spider mites in response to the three tested plant species, we performed principal component analyses (PCA) for the two-choice disc experiment data and the combination of two-choice disc experiment data (averaged over the eight replicates for each species) and Y-tube olfactometer experiment data. This analysis was conducted in R v.4.1.0.
3. Results
3.1. Performance in Y-Type Olfactometer Bioassay
Our χ2 tests indicated no significant preference when the five spider mites were offered the choices between bean and tomato or between bean and eggplant (Figure 2, p > 0.05). Although without significance, all species showed a trend of preference for odour from bean plants to that from tomato plants, except T. piercei, which displayed a weak preference for odour from tomatoes when offered the choice between beans and tomatoes. Even though T. evansi showed an apparent preference for Solanaceae in the field [16], it displayed no significant preference for odour from tomato or eggplant plants. In contrast, the species tended to prefer odour from bean plants to odour from tomato or eggplant plants. The results suggest that the five species of spider mites cannot accurately distinguish between the volatile odours of the three host plants tested based on olfactory action alone.
Figure 2.
Olfactory selection of five species of spider mites (A) between bean and tomato and (B) between bean and eggplant plants. TuG, Tpu, Ttr, Tpi and Te represent T. urticae (green form), T. pueraricola, T. truncatus, T. piercei and T. evansi, respectively. The numbers of individuals selected for each plant are labelled in the brackets near the bars. NC, number of individuals that made no selection.
3.2. Performance in Two-Choice Disc Bioassays
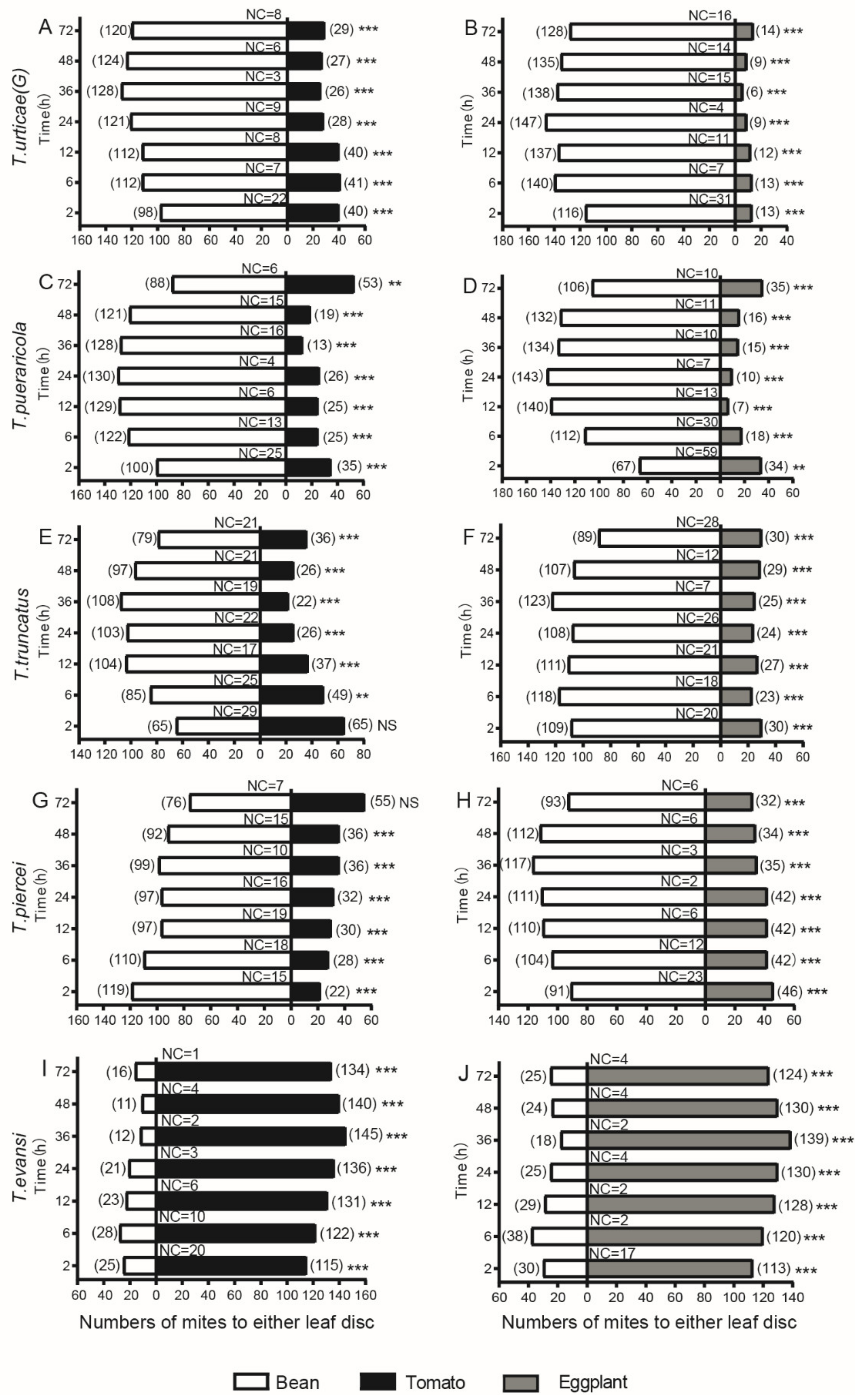
The five species showed clear preferences for suitable plants in the two sets of two-choice disc bioassays. Tetranychus evansi showed a significant preference for the two Solanaceae species when offered choices between beans and tomatoes or beans and eggplants across all time points (Figure 3I,J). However, the remaining four species showed a significant preference for the beans, except for T. truncatus at 2 h and T. piercei at 72 h when offered the choice between beans and tomatoes (Figure 3C,G). Although the four species all preferred beans, they varied in the extent of preference. We noticed a pattern: young evolutionary species tend to be more sensitive to perceiving suitable plants.
Figure 3.
Selectivity of five species of spider mites to bean and tomato within 72 h. **, *** represent p < 0.01 and p < 0.001, respectively; NS, no significant difference; NC, number of individuals that made no selection. (A,B) for T. urticae; (C,D) for T. pueraricola; (E,F) for T. truncates; (G,H) for T. piercei; (I,J) for T. evansi.
To further visualise the differences intuitively among the five species in their performances in the two sets of two-choice disc bioassays, we also performed PCAs on the data of each set. The first two PCs consistently accounted for 91.86% of the total variations in both two-choice disc bioassays (Figure 4A,B). Consistent with our observation, the five species can be divided into two groups based on their performance in the two sets of two-choice disc bioassays, particularly in the choice between beans and eggplants. Tetranyhus evansi constituted one group that diverged from the other species because it preferred the two Solanaceae species. The remaining four species constituted the other group, with shallow divergence among each other. We noticed that T. piercei and T. truncatus were much closer to T. evansi than the other two species, as shown in Figure 4A, particularly in the choice between beans and tomatoes, likely due to their lower preference for beans than T. urticae and T. pueraricola.
Figure 4.
PCA results of host selection of spider mites. (A) PCA of leaf disc selection of bean and tomato by spider mites. (B) PCA of leaf disc selection of bean and eggplant by spider mites. (C) PCA of leaf disc selection and Y-tube olfactory selection. (D) Relative positions of five species of spider mites in phylogenetic trees inferred by DNA sequences. The tree was depicted according to the previous phylogenetic studies using 18S and 28S rRNA genes, mitochondrial cytochrome c oxidase subunit 1 gene [17], RNA-Seq data [18] and mitochondrial genome [19] with a maximum likelihood method.
3.3. Overall Performance
To explore the difference in overall performance among the five species, we also performed a PCA by combining the two-choice disc and Y olfactometer bioassays. The first two PCs accounted for 94.73% of the total variation (Figure 4C). Tetranyhus evansi, which was highly different from the other four species in selection behaviour due to the strong preference for the two solanaceous plants in the two-choice disc bioassays, is separated along PC1. Tetranyhus urticae, T. pueraricola and T. truncatus, which displayed high sensitivity in recognising suitable plants (bean) in the two-choice disc bioassays, were clustered together (Figure 4C,D), and T. urticae and T. pueraricola were the most proximate in the PCA plot. Tetranyhus piercei was much closer to the cluster consisting of T. urticae, T. pueraricola, and T. truncatus than to T. evansi but was separated from the three species along PC2.
4. Discussion
In phytophagous insects, chemosensory perception, including olfaction and gustation, plays a critical role in host-plant selection [20,21], in which olfaction is usually responsible for host orientation, and gustation is responsible for host selection [22,23,24]. Compared to insects, spider mites lack antennae and have more limited mobility, with potential repercussions on the evolution of chemosensing [25]. In support of this, our Y-type olfactometer bioassay results showed that the five spider mites could not orientate suitable host plants by volatile odours, indicating that olfactory sensation did not play a key role in sensing host plants from long distances by spider mites. However, its function of assisting gustatory sensation in sensing host plants cannot be ruled out.
Spider mites have neuron-rich setae harbouring cuticular pores on the palpa and legs [26] that are reminiscent of functionally characterised chemosensory sensilla present on insect appendages [27]. In our two-choice disc bioassays, we also observed that spider mites randomly wandered on the bridge between the two discs at the beginning and determined whether to climb on the leaf once they touched the leaf with their fore legs. This phenomenon probably indicates that spider mites can sense volatile odours over short distances using their forelegs. However, after they climbed on the leaf disc, considerable proportions of spider mites chose to leave. This also reflects that spider mites not only rely on olfactory sensation for initial host plant selection but also use gustatory sensation for more precise selection. This characteristic might have evolved in concert with the passive dispersal propensity of spider mites, in which spider mites primarily rely on wind and human activities over long distances [28,29].
We expected that more polyphagous species may have decreased sensitivity in perceiving suitable host plants, considering that they possess a strong ability to adapt to new host plants; thus, it is not necessary for them to recognise their suitable host plants. As opposed to our expectation, although extremely polyphagous, T. urticae perceives their suitable host plants most sensitively. This is probably linked to the massive number of gustatory receptors in the T. urticae genome [25]. A total of 689 gustatory receptors were identified, and the genomic distribution of T. urticae gustatory receptors indicates recurring bursts of lineage-specific proliferation [25]. As only one complete genome is available for the Tetranychus genus to date, more genomes will help dissect the relationships between gustatory receptors and feeding preferences from an evolutionary perspective.
The positions of the five spider mite species in the PCA plot were highly associated with their relative phylogenetic relationships previously inferred by nuclear and mitochondrial DNA sequences (Figure 4C,D) [17,18,19]. This result probably reflects a close relationship between the chemosensing systems and speciation of spider mites. A substantial proportion of speciation events in insect herbivores can be attributed to shifts towards novel host plant taxa [30]. Host races have also been widely identified in a myriad of generalist herbivores [31,32], including T.urticae [33]. However, the role of the chemosensing system in forming process receives little attention. Function alternation of the chemosensing system might promote divergence in host choice or preference in nature, thus decreasing the opportunity for co-occurrence on the same host plants, restricting gene flow between taxa with divergent chemosensing systems and promoting genetic differentiation. Theoretically, this is expected to be more pronounced in the formation of sympatric host races in generalist taxa. Therefore, the role of the chemosensing systems in host range variation and host plant-associated speciation of spider mites needs to be investigated in the future.
5. Conclusions
Collectively, we found that spider mites cannot locate suitable host plants based on volatile odours from long distances, but they can use olfactory sensation in combination with gustatory sensation to make a precise selection for suitable host plants over short distances. The similarity in performance in selecting suitable host plants among the five spider mite species was highly correlated with their relative phylogenetic relationships. Highly polyphagous species displayed strong sensitivity in sensing suitable host plants rather than lowered sensitivity as expected. Our results highlight the necessity of future work on the chemosensing system in relation to host plant range and speciation of spider mites.
Author Contributions
Conceptualisation, J.-T.S., Q.-Q.H. and X.-F.X.; data curation, J.-T.S. and Q.-Q.H.; formal analysis, J.-T.S. and Q.-Q.H.; funding acquisition, J.-T.S.; investigation, J.-T.S.; methodology, Q.-Q.H., X.-Y.Y. and J.-T.S.; project administration, J.-T.S.; resources, J.-T.S.; supervision, J.-T.S.; validation, J.-T.S. and Q.-Q.H.; writing—original draft, J.-T.S. and Q.-Q.H.; writing—review and editing, J.-T.S., X.-Y.H. and J.-P.Z. All authors have read and agreed to the published version of the manuscript.
Funding
This work was supported by the National Natural Science Foundation of China (grant No. U2003112, 32020103011, 32161143014).
Institutional Review Board Statement
Not applicable.
Data Availability Statement
The data that support the findings of this study are available from the corresponding author upon reasonable request.
Conflicts of Interest
The authors declare no conflict of interest.
References
- Van Leeuwen, T.; Vontas, J.; Tsagkarakou, A.; Dermauw, W.; Tirry, L. Acaricide resistance mechanisms in the two-spotted spider mite Tetranychus urticae and other important Acari: A review. Insect Biochem. Mol. Biol. 2010, 40, 563–572. [Google Scholar] [CrossRef] [PubMed] [Green Version]
- Migeon, A.; Dorkeld, F. A Comprehensive Database for the Tetranychidae; Montpellier. 2015. Available online: http://www1.montpellier.inra.fr/CBGP/spmweb (accessed on 28 July 2022).
- Jin, P.Y.; Tian, L.; Chen, L.; Hong, X.Y. Spider mites of agricultural importance in China, with focus on species composition during the last decade (2008–2017). Syst. Appl. Acarol. 2018, 23, 2087–2098. [Google Scholar] [CrossRef]
- Jin, P.-Y.; Sun, J.-T.; Hoffmann, A.; Guo, Y.-F.; Zhou, J.-C.; Zhu, Y.-X.; Chen, L.; Hong, X.-Y. Phylogenetic signals in pest abundance and distribution range of spider mites. BMC Evol. Biol. 2019, 19, 223. [Google Scholar] [CrossRef] [PubMed] [Green Version]
- Ho, C.C. Spider-mite problems and control in Taiwan. Exp. Appl. Acarol. 2000, 24, 453–462. [Google Scholar] [CrossRef]
- Takafuji, A.; Ozawa, A.; Nemoto, H.; Gotoh, T. Spider mites of Japan: Their biology and control. Exp. Appl. Acarol. 2000, 24, 319–335. [Google Scholar] [CrossRef]
- Islam, M.T.; Jahan, M.; Gotoh, T.; Ullah, M.S. Host-dependent life history and life table parameters of Tetranychus truncatus (Acari: Tetranychidae). Syst. Appl. Acarol. 2017, 22, 2068–2082. [Google Scholar] [CrossRef]
- Seeman, O.D.; Beard, J.J. Identification of exotic pest and Australian native and naturalised species of Tetranychus (Acari: Tetranychidae). Zootaxa 2011, 2961, 1–72. [Google Scholar] [CrossRef] [Green Version]
- Gotoh, T.; Bruin, J.; Sabelis, M.W.; Menken, S.B.J. Host race formation in Tetranychus urticae: Genetic differentiation, host-plant preference, and mate choice in a tomato and a cucumber strain. Entomol. Exp. Appl. 1993, 68, 171–178. [Google Scholar] [CrossRef]
- Sun, J.T.; Lian, C.; Navajas, M.; Hong, X.Y. Microsatellites reveal a strong subdivision of genetic structure in Chinese populations of the mite Tetranychus urticae Koch (Acari: Tetranychidae). BMC Genet. 2012, 13, 8. [Google Scholar] [CrossRef] [Green Version]
- Fu, Y.; Zhang, F.; Peng, Z.; Liu, K.; Jin, Q. The effects of temperature on the development and reproduction of Tectranychus Tetranychus piercei McGregor (Acari: Tetranychidae) in banana. Syst. Appl. Acarol. 2002, 7, 69–76. [Google Scholar] [CrossRef]
- Tian, L.; Jin, P.Y.; Sun, C.P.; Hong, X.Y. First distribution record of the tomato red spider mite Tetranychus evansi (Acari: Tetranychidae) in mainland China. Syst. Appl. Acarol. 2019, 24, 965–970. [Google Scholar] [CrossRef]
- Navajas, M.; de Moraes, G.J.; Auger, P.; Migeon, A. Review of the invasion of Tetranychus evansi: Biology, colonization pathways, potential expansion and prospects for biological control. Exp. Appl. Acarol. 2013, 59, 43–65. [Google Scholar] [CrossRef]
- Santamaria, M.E.; Auger, P.; Martinez, M.; Migeon, A.; Castanera, P.; Diaz, I.; Navajas, M.; Ortego, F. Host plant use by two distinct lineages of the tomato red spider mite, Tetranychus evansi, differing in their distribution range. J. Pest Sci. 2018, 91, 169–179. [Google Scholar] [CrossRef]
- Ge, C.; Ding, X.-L.; Zhang, J.-P.; Hong, X.-Y. Tetranychus urticae (green form) on Gossypium hirsutum in China: Two records confirmed by aedeagus morphology and RFLP analysis. Syst. Appl. Acarol. 2013, 18, 239–244. [Google Scholar]
- Boubou, A.; Migeon, A.; Roderick, G.K.; Navajas, M. Recent emergence and worldwide spread of the red tomato spider mite, Tetranychus evansi: Genetic variation and multiple cryptic invasions. Biol. Invasions 2011, 13, 81–92. [Google Scholar] [CrossRef] [Green Version]
- Matsuda, T.; Morishita, M.; Hinomoto, N.; Gotoh, T. Phylogenetic analysis of the spider mite sub-family Tetranychinae (Acari: Tetranychidae) based on the mitochondrial COI gene and the 18s and the 5′ end of the 28s rrna genes indicates that several genera are polyphyletic. PLoS ONE 2014, 9, e108672. [Google Scholar] [CrossRef] [Green Version]
- Matsuda, T.; Kozaki, T.; Ishii, K.; Gotoh, T. Phylogeny of the spider mite sub-family Tetranychinae (Acari: Tetranychidae) inferred from RNA-Seq data. PLoS ONE 2018, 13, e0203136. [Google Scholar] [CrossRef] [Green Version]
- Sun, J.-T.; Lin, J.-H.; Zhang, Q.; Zhao, D.-S.; Chen, L.; Gao, W.-N.; Xue, X.-F.; Hong, X.-Y. The mitochondrial genome of the red tomato spider mite, Tetranychus evansi Baker & Pritchard (Acari: Tetranychidae) and its implications for phylogenetic analysis. Syst. Appl. Acarol. 2019, 24, 1724–1735. [Google Scholar] [CrossRef]
- Ozaki, M. Feeding behavior regulation in the fly: Effect of a noxious substance through the taste and olfactory neurons. Chem. Senses 2005, 30 (Suppl. S1), i289–i290. [Google Scholar] [CrossRef]
- Fujii, S.; Yavuz, A.; Slone, J.; Jagge, C.; Song, X.; Amrein, H. Drosophila sugar receptors in sweet taste perception, olfaction, and internal nutrient sensing. Curr. Biol. 2015, 25, 621–627. [Google Scholar] [CrossRef] [Green Version]
- DeGennaro, M.; McBride, C.S.; Seeholzer, L.; Nakagawa, T.; Dennis, E.J.; Goldman, C.; Jasinskiene, N.; James, A.A.; Vosshall, L.B. orco mutant mosquitoes lose strong preference for humans and are not repelled by volatile DEET. Nature 2013, 498, 487–491. [Google Scholar] [CrossRef] [PubMed]
- Liman, E.R.; Zhang, Y.V.; Montell, C. Peripheral coding of taste. Neuron 2014, 81, 984–1000. [Google Scholar] [CrossRef] [PubMed] [Green Version]
- Zhang, Z.J.; Zhang, S.S.; Niu, B.L.; Ji, D.F.; Liu, X.J.; Li, M.W.; Bai, H.; Palli, S.R.; Wang, C.Z.; Tan, A.J. A determining factor for insect feeding preference in the silkworm, Bombyx mori. PLoS Biol. 2019, 17, e3000162. [Google Scholar] [CrossRef] [Green Version]
- Ngoc, P.C.; Greenhalgh, R.; Dermauw, W.; Rombauts, S.; Bajda, S.; Zhurov, V.; Grbic, M.; Van de Peer, Y.; Van Leeuwen, T.; Rouze, P.; et al. Complex evolutionary dynamics of massively expanded chemosensory receptor families in an extreme generalist chelicerate herbivore. Genome Biol. Evol. 2016, 8, 3323–3339. [Google Scholar] [CrossRef] [PubMed] [Green Version]
- Bostanian, N.J.; Morrison, F.O. Morphology and ultrastructure of sense organs in the twospotted spider mite (Acarina: Tetranychidae). Ann. Entomol. Soc. Am. 1973, 66, 379–383. [Google Scholar] [CrossRef]
- Sanchez-Gracia, A.; Vieira, F.G.; Rozas, J. Molecular evolution of the major chemosensory gene families in insects. Heredity 2009, 103, 208–216. [Google Scholar] [CrossRef] [PubMed]
- Smitley, D.R.; Kennedy, G.G. Aerial dispersal of the two-spotted spider mite (Tetranychus urticae) from field corn. Exp. Appl. Acarol. 1988, 5, 33–46. [Google Scholar] [CrossRef]
- Grafton-Cardwell, E.E.; Granett, J.; Normington, S.M. Influence of dispersal from almonds on the population dynamics and acaricide resistance frequencies of spider mites infesting neighboring cotton. Exp. Appl. Acarol. 1991, 10, 187–212. [Google Scholar] [CrossRef]
- Dres, M.; Mallet, J. Host races in plant-feeding insects and their importance in sympatric speciation. Philos. Trans. R. Soc. B 2002, 357, 471–492. [Google Scholar] [CrossRef] [Green Version]
- Forbes, A.A.; Devine, S.N.; Hippee, A.C.; Tvedte, E.S.; Ward, A.K.G.; Widmayer, H.A.; Wilson, C.J. Revisiting the particular role of host shifts in initiating insect speciation. Evolution 2017, 71, 1126–1137. [Google Scholar] [CrossRef]
- Peccoud, J.; Ollivier, A.; Plantegenest, M.; Simon, J.C. A continuum of genetic divergence from sympatric host races to species in the pea aphid complex. Proc. Natl. Acad. Sci. USA 2009, 106, 7495–7500. [Google Scholar] [CrossRef] [Green Version]
- Villacis-Perez, E.; Snoeck, S.; Kurlovs, A.H.; Clark, R.M.; Breeuwer, J.A.J.; Van Leeuwen, T. Adaptive divergence and post-zygotic barriers to gene flow between sympatric populations of a herbivorous mite. Commun. Biol. 2021, 4, 853. [Google Scholar] [CrossRef]
Publisher’s Note: MDPI stays neutral with regard to jurisdictional claims in published maps and institutional affiliations. |
© 2022 by the authors. Licensee MDPI, Basel, Switzerland. This article is an open access article distributed under the terms and conditions of the Creative Commons Attribution (CC BY) license (https://creativecommons.org/licenses/by/4.0/).



