Development of Necrobia ruficollis (Fabricius) (Coleoptera: Cleridae) under Different Constant Temperatures
Abstract
Simple Summary
Abstract
1. Introduction
2. Materials and Methods
2.1. Colony Establishment
2.2. Observations of Development Duration
2.3. The Determination of Larval Morphological Indexes
2.4. Data Analysis
3. Results
3.1. Developmental Duration of N. ruficollis and Isomorphen Diagram
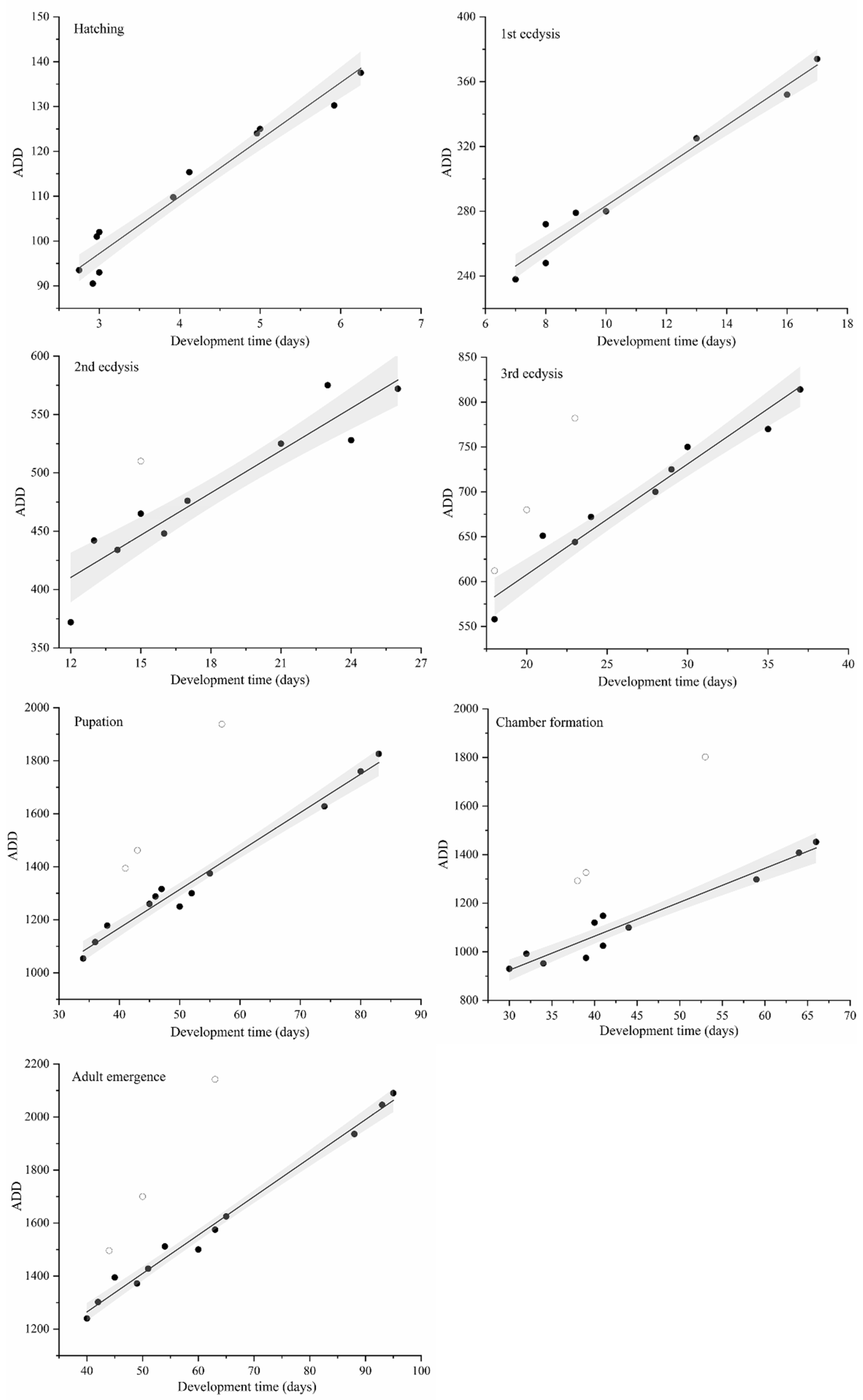
3.2. Thermal Summation Constant and Developmental Threshold Temperature of N. ruficollis
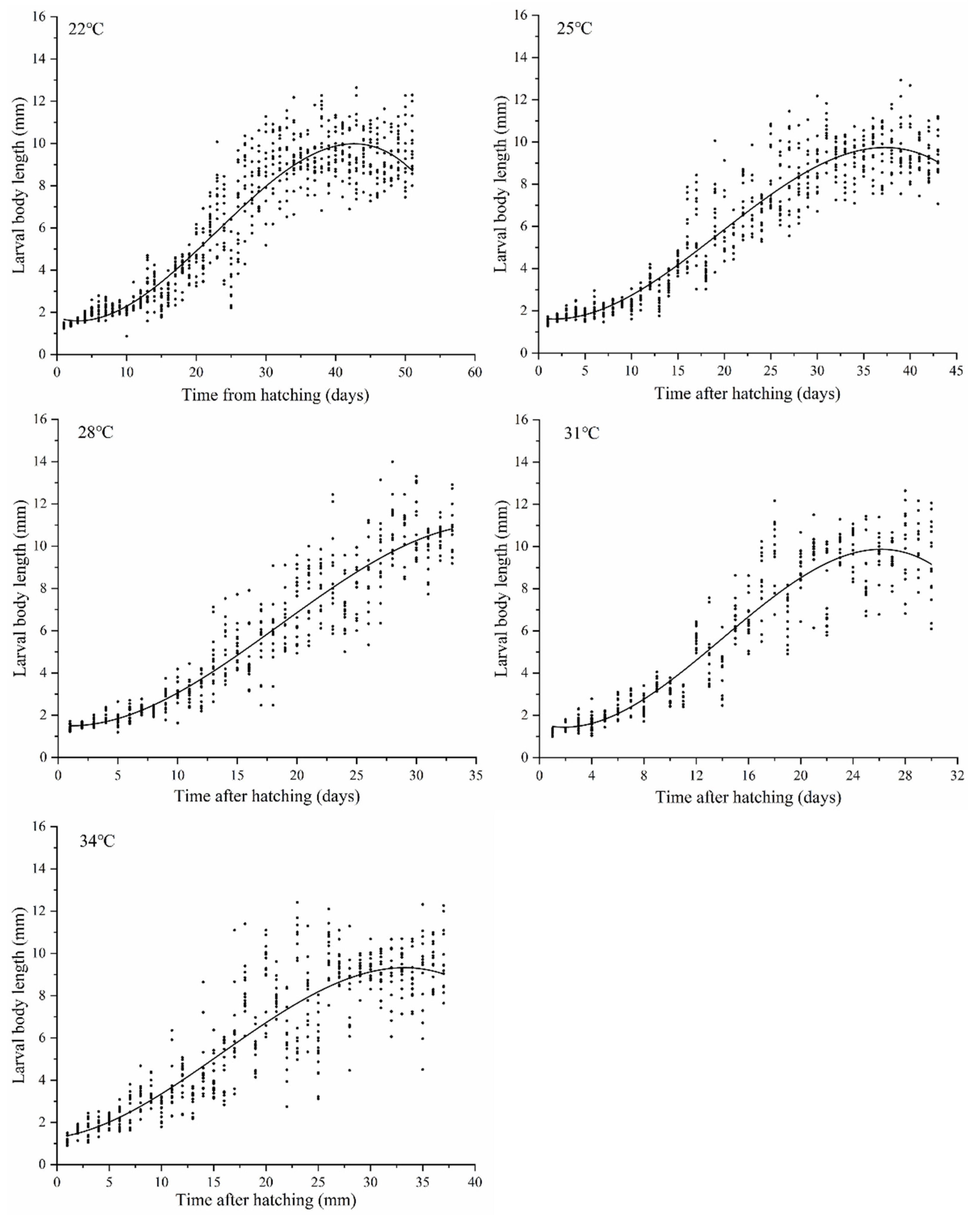
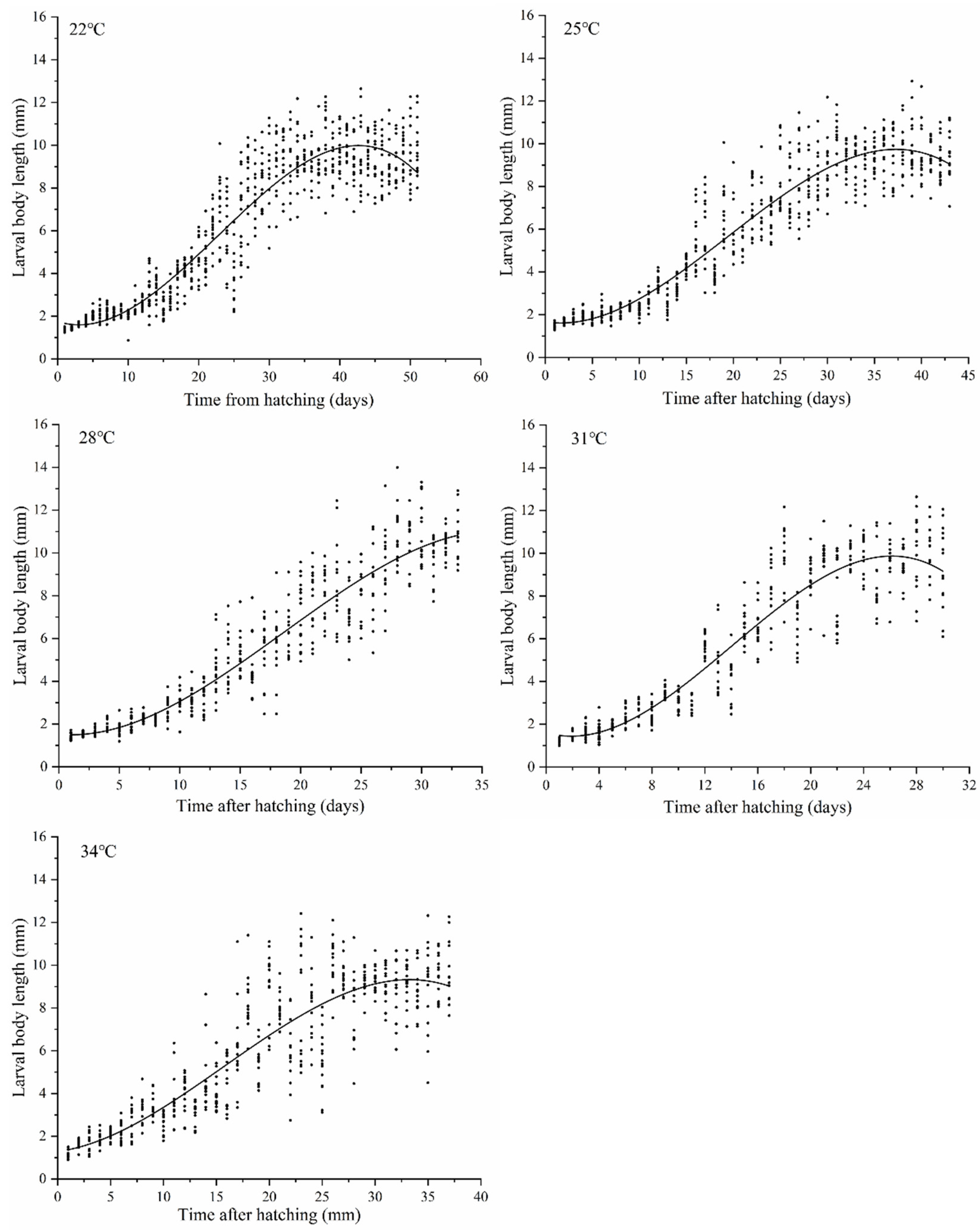
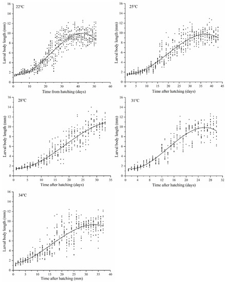
3.3. The Larval Body Length Changes in N. ruficollis and the Isomegalen Diagram
3.4. Larval Instar Estimation of N. ruficollis
4. Discussion
5. Conclusions
Author Contributions
Funding
Institutional Review Board Statement
Informed Consent Statement
Data Availability Statement
Conflicts of Interest
References
- Huntington, T.E.; Weidner, L.M.; Hall, R.D. Introduction: Current Perceptions and Status of Forensic Entomology. In Forensic Entomology: The Utility of Arthropods in Legal Investigations; Byrd, J.H., Tomberlin, J.K., Eds.; CRC Press: New York, NY, USA, 2019; pp. 23–34. [Google Scholar]
- Wang, Y.; Wang, Y.H.; Wang, M.; Xu, W.; Zhang, Y.N.; Wang, J.F. Forensic entomology in China and its challenges. Insects 2021, 12, 230. [Google Scholar] [CrossRef]
- Dekeirsschieter, J.; Frederickx, C.; Verheggen, F.J.; Boxho, P.; Haubruge, E. Forensic entomology investigations from doctor Marcel Leclercq (1924–2008): A review of cases from 1969 to 2005. J. Med. Entomol. 2013, 50, 935–954. [Google Scholar] [CrossRef] [PubMed]
- Kulshrestha, P.; Satpathy, D.K. Use of beetles in forensic entomology. Forensic Sci. Int. 2001, 120, 15–17. [Google Scholar] [CrossRef]
- Castro, C.P.E.; García, M.D.; Silva, P.D.M.; Silva, I.F.E.; Serrano, A. Coleoptera of forensic interest: A study of seasonal community composition and succession in Lisbon, Portugal. Forensic Sci. Int. 2013, 232, 73–83. [Google Scholar] [CrossRef]
- Amendt, J.; Richards, C.S.; Campobasso, C.P.; Zehner, R.; Hall, M.J.R. Forensic entomology: Applications and limitations. Forensic Sci. Med. Pathol. 2011, 7, 379–392. [Google Scholar] [CrossRef]
- Greenberg, B.; Kunich, J.C. Entomology and the Law: Flies as Forensic Indicators; Cambridge University Press: New York, NY, USA, 2002; p. 306. [Google Scholar]
- Gruner, S.V.; Slone, D.H.; Capinera, J.L.; Turco, M.P. Development of the oriental latrine fly, Chrysomya megacephala (Diptera: Calliphoridae), at five constant temperatures. J. Med. Entomol. 2017, 54, 290–298. [Google Scholar] [CrossRef] [PubMed]
- Kotzé, Z.; Villet, M.H.; Weldon, C.W. Effect of temperature on development of the blowfly, Lucilia cuprina (Wiedemann) (Diptera: Calliphoridae). Int. J. Legal Med. 2015, 129, 1155–1162. [Google Scholar] [CrossRef]
- Russo, A.; Cocuzza, G.E.; Vasta, M.C.; Simola, M.; Virone, G. Life fertility tables of Piophila casei L. (Diptera: Piophilidae) reared at five different temperatures. Environ. Entomol. 2006, 35, 194–200. [Google Scholar] [CrossRef]
- Grassberger, M.; Reiter, C. Effect of temperature on development of the forensically important holarctic blow fly Protophormia terraenovae (Robineau-Desvoidy) (Diptera: Calliphoridae). Forensic Sci. Int. 2002, 128, 177–182. [Google Scholar] [CrossRef]
- Kocarek, P. Decomposition and Coleoptera succession on exposed carrion of small mammal in Opava, the Czech Republic. Eur. J. Soil Biol. 2003, 39, 31–45. [Google Scholar] [CrossRef]
- Souza, A.M.D.; Linhares, A.X. Diptera and Coleoptera of potential forensic importance in southeastern Brazil: Relative abundance and seasonality. Med. Vet. Entomol. 1997, 11, 8–12. [Google Scholar] [CrossRef] [PubMed]
- Mayer, A.C.G.; Vasconcelos, S.D. Necrophagous beetles associated with carcasses in a semi-arid environment in Northeastern Brazil: Implications for forensic entomology. Forensic Sci. Int. 2013, 226, 41–45. [Google Scholar] [CrossRef] [PubMed]
- Abouzied, E.M. Insect colonization and succession on rabbit carcasses in southwestern mountains of the Kingdom of Saudi Arabia. J. Med. Entomol. 2014, 51, 1168–1174. [Google Scholar] [CrossRef] [PubMed]
- Voss, S.C.; Cook, D.F.; Dadour, I.R. Decomposition and insect succession of clothed and unclothed carcasses in Western Australia. Forensic Sci. Int. 2011, 211, 67–75. [Google Scholar] [CrossRef]
- Özdemir, S.; Sert, O. Determination of Coleoptera fauna on carcasses in Ankara province, Turkey. Forensic Sci. Int. 2009, 183, 24–32. [Google Scholar] [CrossRef] [PubMed]
- Midgley, J.M.; Richards, C.S.; Villet, M.H. The Utility of Coleoptera in Forensic Investigations. In Current Concepts in Forensic Entomology; Amendt, J., Goff, M.L., Campobasso, C.P., Grassberger, M., Eds.; Springer: Dordrecht, The Netherlands, 2009; pp. 57–68. [Google Scholar]
- Amendt, J.; Campobasso, C.P.; Gaudry, E.; Reiter, C.; LeBlanc, H.N.; Hall, M.J.R. Best practice in forensic entomology—standards and guidelines. Int. J. Legal Med. 2007, 121, 90–104. [Google Scholar] [CrossRef] [PubMed]
- Bonacci, T.; Mendicino, F.; Bonelli, D.; Carlomagno, F.; Curia, G.; Scapoli, C.; Pezzi, M. Investigations on arthropods associated with decay stages of buried animals in Italy. Insects 2021, 12, 311. [Google Scholar] [CrossRef]
- Grassberger, M.; Frank, C. Initial study of arthropod succession on pig carrion in a central European urban habitat. J. Med. Entomol. 2004, 41, 511–523. [Google Scholar] [CrossRef]
- Velásquez, Y.; Viloria, A.L. Effects of temperature on the development of the Neotropical carrion beetle Oxelytrum discicolle (Brullé, 1840) (Coleoptera: Silphidae). Forensic Sci. Int. 2009, 185, 107–109. [Google Scholar] [CrossRef][Green Version]
- Frątczak, K.; Matuszewski, S. Instar determination in forensically useful beetles Necrodes littoralis (Silphidae) and Creophilus maxillosus (Staphylinidae). Forensic Sci. Int. 2014, 241, 20–26. [Google Scholar] [CrossRef]
- Lin, S.W.; Shiao, S.F. Life history data on the fly parasitoids Aleochara nigra Kraatz and A. asiatica Kraatz (Coleoptera: Staphylinidae), and their potential application in forensic entomology. Forensic Sci. Int. 2013, 232, 46–55. [Google Scholar] [CrossRef] [PubMed]
- Frątczak-Łagiewska, K.; Matuszewski, S. Sex-specific developmental models for Creophilus maxillosus (L.) (Coleoptera: Staphylinidae): Searching for larger accuracy of insect age estimates. Int. J. Legal Med. 2018, 132, 887–895. [Google Scholar] [CrossRef] [PubMed]
- Wang, Y.; Wang, M.; Hu, G.L.; Xu, W.; Wang, Y.H.; Wang, J.F. Temperature-dependent development of Omosita colon at constant temperature and its implication for PMImin estimation. J. Forensic Legal Med. 2020, 72, 101946. [Google Scholar] [CrossRef] [PubMed]
- Lambiase, S.; Murgia, G.; Sacchi, R.; Ghitti, M.; di Lucia, V. Effects of different temperatures on the development of Dermestes frischii and Dermestes undulatus (Coleoptera, Dermestidae): Comparison between species. J. Forensic Sci. 2018, 63, 469–473. [Google Scholar] [CrossRef] [PubMed]
- Zanetti, N.I.; Visciarelli, E.C.; Centeno, N.D. The effect of temperature and laboratory rearing conditions on the development of Dermestes maculatus (Coleoptera: Dermestidae). J. Forensic Sci. 2016, 61, 375–381. [Google Scholar] [CrossRef] [PubMed]
- Jakubec, P. Thermal summation model and instar determination of all developmental stages of necrophagous beetle, Sciodrepoides watsoni (Spence) (Coleoptera: Leiodidae: Cholevinae). PeerJ 2016, 4, e1944. [Google Scholar] [CrossRef] [PubMed]
- Caneparo, M.F.C.; Fischer, M.L.; Almeida, L.M. Effect of temperature on the life cycle of Euspilotus azureus (Coleoptera: Histeridae), a predator of forensic importance. Florida Entomol. 2017, 100, 795–801. [Google Scholar] [CrossRef]
- Zanetti, N.I.; Costantino, A.; Lazzarini, N.; Ferrero, A.A.; Centeno, N.D. Dermestes maculatus (Coleoptera: Dermestidae) development under fluoxetine effect using two drug administration models. J. Forensic Sci. 2021, 66, 245–254. [Google Scholar] [CrossRef]
- Qubaiová, J.; Jakubec, P.; Montoya-Molina, S.; Novák, M.; Šuláková, H. Influence of diet on development and survival of Thanatophilus rugosus (Coleoptera: Silphidae). J. Med. Entomol. 2021, 58, 2124–2129. [Google Scholar] [CrossRef] [PubMed]
- Fontenot, E.A.; Arthur, F.H.; Hartzer, K.L. Effect of diet and refugia on development of Dermestes maculatus DeGeer reared in a laboratory. J. Pest Sci. 2015, 88, 113–119. [Google Scholar] [CrossRef]
- Frątczak-Łagiewska, K.; Matuszewski, S. The quality of developmental reference data in forensic entomology: Detrimental effects of multiple, in vivo measurements in Creophilus maxillosus L. (Coleoptera: Staphylinidae). Forensic Sci. Int. 2019, 298, 316–322. [Google Scholar] [CrossRef]
- Zanetti, N.I.; Ferrero, A.A.; Centeno, N.D. Type of wood and larval density: Two factors to consider in Dermestes maculatus (Coleoptera: Dermestidae) pupation. Rev. Soc. Entomol. Arge. 2020, 79, 35–42. [Google Scholar] [CrossRef]
- Zhao, Z.G. Household insects and their regulation. J. Bijie Teach. Coll. 1994, 4, 30–40. [Google Scholar]
- Lin, W.J.; Lin, J.F.; Lin, X.; Ruan, Q. Control of mites in fish meal by aluminum phosphide interval fumigation. Grain. Storage 1994, 6, 11–16. [Google Scholar]
- Meng, F.M.; Ren, L.P.; Shang, Y.J.; Chen, W.; Cai, J.F.; Guo, Y.D. The complete mitochondria genome of a forensic related beetle, Necrobia ruficollis (Fabricius, 1775). Mitochondrial DNA B 2019, 4, 1396–1397. [Google Scholar] [CrossRef]
- Early, M.; Goff, M.L. Arthropod succession patterns in exposed carrion on the island of Oahu, Hawaiian-Islands, USA. J. Med. Entomol. 1986, 23, 520–531. [Google Scholar] [CrossRef]
- Lyu, Z.; Wan, L.H.; Yang, Y.Q.; Tang, R.; Xu, L.Z. A checklist of beetles (Insecta, Coleoptera) on pig carcasses in the suburban area of southwestern China: A preliminary study and its forensic relevance. J. Forensic Legal Med. 2016, 41, 42–48. [Google Scholar] [CrossRef]
- Scott, H. Notes on the biology of Necrobia ruficollis fabr. (Coleoptera: Cleridae). Ann. Appl. Biol. 1919, 6, 101–115. [Google Scholar] [CrossRef]
- Yadav, J.S.; Dange, M.P. On the cytology of two species of Necrobia (Oliv.) (Coleoptera: Cleridae). Genome 1989, 32, 165–167. [Google Scholar] [CrossRef]
- Hu, G.L.; Wang, M.; Wang, Y.; Tang, H.H.; Chen, R.F.; Zhang, Y.N.; Zhao, Y.L.; Jin, J.Y.; Wang, Y.F.; Wu, M.W.; et al. Development of Necrobia rufipes (De Geer, 1775) (Coleoptera: Cleridae) under constant temperatures and its implication in forensic entomology. Forensic Sci. Int. 2020, 311, 110275. [Google Scholar] [CrossRef]
- Zhang, S.F.; Shi, S.F.; Shi, Z.W.; Xue, G.H. Atlas of Beetles Associated with Stored Products; China Agriculture Press: Beijing, China, 2008; p. 102. [Google Scholar]
- Ikemoto, T.; Takai, K. A new linearized formula for the law of total effective temperature and the evaluation of line-fitting methods with both variables subject to error. Environ. Entomol. 2000, 29, 671–682. [Google Scholar] [CrossRef]
- Shi, P.; Ikemoto, T.; Egami, C.; Sun, Y.; Ge, F. A modified program for estimating the parameters of the SSI model. Environ. Entomol. 2011, 40, 462–469. [Google Scholar] [CrossRef]
- Novák, M.; Frątczak-Łagiewska, K.; Mądra-Bielewicz, A.; Matuszewski, S. Eye-background contrast as a quantitative marker for pupal age in a forensically important carrion beetle Necrodes littoralis L. (Silphidae). Sci. Rep.-UK 2020, 10, 14494. [Google Scholar] [CrossRef]
- Montoya-Molina, S.; Jakubec, P.; Qubaiová, J.; Novák, M.; Šuláková, H.; Růžička, J. Developmental models of the forensically important carrion beetle, Thanatophilus sinuatus (Coleoptera: Silphidae). J. Med. Entomol. 2021, 58, 1041–1047. [Google Scholar] [CrossRef] [PubMed]
- Wang, J.F.; Li, Z.G.; Chen, Y.C.; Chen, Q.S.; Yin, X.H. The succession and development of insects on pig carcasses and their significances in estimating PMI in south China. Forensic Sci. Int. 2008, 179, 11–18. [Google Scholar] [CrossRef]
- Milosavljevic, I.; McCalla, K.A.; Ratkowsky, D.A.; Hoddle, M.S. Effects of constant and fluctuating temperatures on development rates and longevity of Diaphorencyrtus aligarhensis (Hymenoptera: Encyrtidae). J. Econ. Entomol. 2019, 112, 1062–1072. [Google Scholar] [CrossRef] [PubMed]
- McCalla, K.A.; Keçeci, M.; Milosavljević, I.; Ratkowsky, D.A.; Hoddle, M.S. The influence of temperature variation on life history parameters and thermal performance curves of Tamarixia radiata (Hymenoptera: Eulophidae), a parasitoid of the Asian citrus psyllid (Hemiptera: Liviidae). J. Econ. Entomol. 2019, 112, 1560–1574. [Google Scholar] [CrossRef]
- Wu, X.J.; Liu, S.S.; Zheng, Z.L. The influence of variable temperature upon rate of development in two insects. Entomol. Knowl. 1994, 4, 237–240. [Google Scholar]
- Hagstrum, D.W.; Leach, C.E. Role of constant and fluctuating temperatures in determining development time and fecundity of 3 species of stored-products Coleoptera. Ann. Entomol. Soc. Am. 1973, 66, 407–410. [Google Scholar] [CrossRef]
- Hagstrum, D.W.; Milliken, G.A. Modeling differences in insect developmental times between constant and fluctuating temperatures. Ann. Entomol. Soc. Am. 1991, 84, 369–379. [Google Scholar] [CrossRef]
- Byrd, J.H.; Butler, J.F. Effects of temperature on Chrysomya rufifacies (Diptera: Calliphoridae) development. J. Med. Entomol. 1997, 34, 353–358. [Google Scholar] [CrossRef] [PubMed]
- Byrd, J.H.; Butler, J.F. Effects of temperature on Cochliomyia macellaria (Diptera: Calliphoridae) development. J. Med. Entomol. 1996, 33, 901–905. [Google Scholar] [CrossRef] [PubMed]
- Byrd, J.H.; Butler, J.F. Effects of temperature on Sarcophaga haemorrhoidalis (Diptera: Sarcophagidae) development. J. Med. Entomol. 1998, 35, 694–698. [Google Scholar] [CrossRef] [PubMed]







| Developmental Stages | Temperature (°C) | |||||
|---|---|---|---|---|---|---|
| 22 | 25 | 28 | 31 | 34 | ||
| Hatching | min | 6.14 ± 0.16 | 4.97 ± 0.02 | 3.99 ± 0.09 | 2.97 ± 0.04 | 2.91 ± 0.11 |
| 50% individuals | 6.28 ± 0.20 | 5.11 ± 0.04 | 4.15 ± 0.12 | 3.05 ± 0.04 | 2.94 ± 0.14 | |
| max | 6.72 ± 0.39 | 5.27 ± 0.08 | 4.25 ± 0.07 | 3.11 ± 0.08 | 3.11 ± 0.08 | |
| 1st ecdysis | min | 16.33 ± 0.47 | 13.00 ± 0.00 | 10.00 ± 0.00 | 8.33 ± 0.47 | 7.67 ± 0.47 |
| 50% individuals | 18.67 ± 0.94 | 14.00 ± 0.81 | 11.33 ± 0.47 | 9.00 ± 0.82 | 9.33 ± 0.47 | |
| max | 21.33 ± 2.05 | 15.00 ± 0.82 | 12.24 ± 0.55 | 10.33 ± 1.25 | 10.33 ± 0.47 | |
| 2nd ecdysis | min | 25.33 ± 0.94 | 21.67 ± 0.94 | 16.67 ± 0.47 | 13.67 ± 1.25 | 14.33 ± 0.94 |
| 50% individuals | 28.33 ± 1.25 | 23.33 ± 1.24 | 18.00 ± 0.00 | 14.67 ± 1.25 | 16.33 ± 2.05 | |
| max | 30.33 ± 1.89 | 24.67 ± 1.25 | 29.00 ± 0.00 | 15.67 ± 1.25 | 18.00 ± 2.16 | |
| 3rd ecdysis | min | 36.33 ± 0.94 | 29.00 ± 0.82 | 23.67 ± 0.47 | 19.00 ± 1.41 | 20.33 ± 2.05 |
| 50% individuals | 42.00 ± 0.82 | 31.33 ± 0.93 | 26.00 ± 1.63 | 21.00 ± 1.41 | 23.33 ± 4.78 | |
| max | 50.33 ± 3.09 | 33.00 ± 1.41 | 27.33 ± 1.69 | 22.67 ± 1.89 | 26.67 ± 5.18 | |
| Chamber formation | min | 63.00 ± 2.94 | 41.33 ± 2.05 | 38.33 ± 3.09 | 30.67 ± 0.94 | 43.33 ± 6.85 |
| 50% individuals | 70.00 ± 0.00 | 46.00 ± 3.27 | 51.00 ± 5.72 | 35.00 ± 2.16 | 44.67 ± 8.73 | |
| max | 82.00 ± 3.56 | 57.33 ± 9.10 | 68.67 ± 4.99 | 42.33 ± 4.11 | 47.67 ± 6.60 | |
| Pupation | min | 79.00 ± 3.74 | 52.33 ± 2.05 | 46.00 ± 0.82 | 36.00 ± 1.63 | 47.00 ± 7.12 |
| 50% individuals | 80.33 ± 2.49 | 59.67 ± 1.70 | 57.33 ± 3.40 | 40.67 ± 0.47 | 49.67 ± 8.05 | |
| max | 85.67 ± 3.86 | 66.33 ± 6.85 | 74.67 ± 3.40 | 49.67 ± 1.70 | 52.33 ± 6.18 | |
| Adult emergence | Min | 92.00 ± 2.94 | 62.67 ± 2.05 | 51.33 ± 2.05 | 42.33 ± 2.05 | 52.33 ± 7.93 |
| 50% individuals | 93.00 ± 1.63 | 70.67 ± 0.94 | 65.33 ± 3.40 | 47.33 ± 0.94 | 56.67 ± 8.73 | |
| max | 96.33 ± 0.94 | 76.33 ± 6.13 | 82.67 ± 2.87 | 57.00 ± 1.63 | 59.00 ± 7.12 | |
| Developmental Stage | K ± SE (Degree Days) | D0 ± SE (°C) | R2 |
|---|---|---|---|
| Hatching | 59.07 ± 3.17 | 12.71 ± 0.72 | 0.96 |
| 1st ecdysis | 159.34 ± 7.61 | 12.41 ± 0.66 | 0.96 |
| 2nd ecdysis | 265.37 ± 22.57 | 12.08 ± 1.16 | 0.90 |
| 3rd ecdysis | 361.42 ± 23.46 | 12.31 ± 0.84 | 0.95 |
| Chamber formation | 505.58 ± 48.64 | 13.96 ± 1.08 | 0.94 |
| Pupation | 588.72 ± 37.61 | 14.51 ± 0.67 | 0.97 |
| Adult emergence | 684.12 ± 33.85 | 14.51 ± 0.52 | 0.99 |
| Parameter (Unit) | Hatching | 1st Ecdysis | 2nd Ecdysis | 3rd Ecdysis | Chamber Formation | Pupation | Adult Emergence |
|---|---|---|---|---|---|---|---|
| TΦ (°C) | 23.32 | 23.41 | 23.13 | 22.91 | 25.80 | 25.98 | 25.90 |
| ρΦ (day−1) | 0.18 | 0.69 | 0.41 | 0.29 | 0.30 | 0.19 | 0.17 |
| ΔHA (cal/mol) | 1.36 × 104 | 1.33 × 104 | 1.38 × 104 | 1.30 × 104 | 1.42 × 104 | 1.53 × 104 | 1.54 × 104 |
| ΔHL (cal/mol) | −1.02 × 106 | −1.49 × 105 | −5.78 × 105 | −2.03 × 105 | −8.11 × 104 | −7.82 × 104 | −7.47 × 104 |
| ΔHH (cal/mol) | 5.41 × 105 | 1.21 × 105 | 5.22 × 105 | 1.84 × 105 | 1.24 × 105 | 1.17 × 105 | 1.07 × 105 |
| TL (°C) | 13.54 | 13.22 | 13.69 | 12.60 | 14.38 | 14.67 | 14.61 |
| TH (°C) | 34.32 | 36.63 | 34.27 | 35.08 | 34.44 | 34.72 | 34.94 |
| χ2 | 4.32 × 10−3 | 2.98 × 10−3 | 2.05 × 10−3 | 2.52 × 10−3 | 2.12 × 10−3 | 1.01 × 10−3 | 6.91 × 10−4 |
| R2 | 0.984 | 0.965 | 0.958 | 0.914 | 0.890 | 0.947 | 0.956 |
| Temperature (°C) | Simulation Equation | df | R2 |
|---|---|---|---|
| 22 | L = −2.695 × 10−4T3 + 0.018T2 − 0.104T + 1.751 | 761 | 0.869 |
| 25 | L = −3.589 × 10−4T3 + 0.021T2 − 0.066T + 1.668 | 641 | 0.882 |
| 28 | L = −4.418 × 10−4T3 + 0.025T2 − 0.048T + 1.522 | 491 | 0.879 |
| 31 | L = −1.040 × 10−3T3 + 0.050T2 − 0.176T + 1.605 | 446 | 0.857 |
| 34 | L = −3.778 × 10−4T3 + 0.018T2 + 0.066T + 1.287 | 551 | 0.785 |
| Morphological Indexes | Instar | Mean ± SD | Range | Sample Size |
|---|---|---|---|---|
| The widths of head capsule | 1st | 0.16 ± 0.04 | 0.05–0.36 | 360 |
| 2nd | 0.29 ± 0.06 | 0.17–0.44 | 270 | |
| 3rd | 0.40 ± 0.09 | 0.23–0.62 | 269 | |
| 4th | 0.53 ± 0.09 | 0.32–0.83 | 586 | |
| The distance of urogomphi | 1st | 0.14 ± 0.05 | 0.07–0.25 | 360 |
| 2nd | 0.28 ± 0.10 | 0.14–0.60 | 270 | |
| 3rd | 0.44 ± 0.13 | 0.20–0.79 | 269 | |
| 4th | 0.60 ± 0.15 | 0.27–0.91 | 586 |
| Instar | Sample Size | Prediction of Classification | Precision Rate | |||
|---|---|---|---|---|---|---|
| 1st | 2nd | 3rd | 4th | |||
| 1st | 360 | 358 | 2 | 0 | 0 | 99.44% |
| 2nd | 270 | 24 | 204 | 42 | 0 | 75.56% |
| 3rd | 269 | 0 | 49 | 159 | 61 | 59.11% |
| 4th | 586 | 0 | 0 | 53 | 533 | 90.96% |
| Total | 1485 | 382 | 255 | 254 | 594 | 84.44% |
Publisher’s Note: MDPI stays neutral with regard to jurisdictional claims in published maps and institutional affiliations. |
© 2022 by the authors. Licensee MDPI, Basel, Switzerland. This article is an open access article distributed under the terms and conditions of the Creative Commons Attribution (CC BY) license (https://creativecommons.org/licenses/by/4.0/).
Share and Cite
Wang, Y.; Li, L.; Hu, G.; Kang, C.; Guo, Y.; Zhang, Y.; Wang, Y.; Wang, J. Development of Necrobia ruficollis (Fabricius) (Coleoptera: Cleridae) under Different Constant Temperatures. Insects 2022, 13, 319. https://doi.org/10.3390/insects13040319
Wang Y, Li L, Hu G, Kang C, Guo Y, Zhang Y, Wang Y, Wang J. Development of Necrobia ruficollis (Fabricius) (Coleoptera: Cleridae) under Different Constant Temperatures. Insects. 2022; 13(4):319. https://doi.org/10.3390/insects13040319
Chicago/Turabian StyleWang, Yinghui, Liangliang Li, Gengwang Hu, Chengtao Kang, Yi Guo, Yanan Zhang, Yu Wang, and Jiangfeng Wang. 2022. "Development of Necrobia ruficollis (Fabricius) (Coleoptera: Cleridae) under Different Constant Temperatures" Insects 13, no. 4: 319. https://doi.org/10.3390/insects13040319
APA StyleWang, Y., Li, L., Hu, G., Kang, C., Guo, Y., Zhang, Y., Wang, Y., & Wang, J. (2022). Development of Necrobia ruficollis (Fabricius) (Coleoptera: Cleridae) under Different Constant Temperatures. Insects, 13(4), 319. https://doi.org/10.3390/insects13040319

