A Non-Invasive Method of Estimating Populations of Tomicus Piniperda on Scots Pine (Pinus Sylvestris L.)
Abstract
Simple Summary
Abstract
1. Introduction
- i.
- the number of T. piniperda sawdust points on the sixth stem section covering 2.5% of the total length;
- ii.
- the length of the stem section with bark thickness greater than 7 mm;
- iii.
- the stand structure.
2. Materials and Methods
2.1. Study Area
2.2. Fallen Shoots
2.3. Analyses of Trap Trees
- -
- the stem diameter in the bark at the thicker and thinner ends;
- -
- the total length of the stem;
- -
- the length of the stem in thick bark (grey colour) and thin bark (red colour) and the bark transition area (grey and red colours).
2.4. Procedure for Selecting Explanatory Variables for Construction of the T. piniperda Population Model
- Parameters of infestation of the upper section of stems (the number of T. piniperda maternal tunnels in the kth section of a P. sylvestris trap tree for k = 1, 2, …, 40; each section covers 2.5% of the total length).
- Stem features:
- -
- the stem diameter in the bark at the thicker end;
- -
- the diameter and bark thickness at breast height;
- -
- bark thickness measured at the midpoint of the kth 2.5% stem unit of the trap tree;
- -
- length of the stem in thick bark, in thin bark, and in the bark transition area.
- Habitat features:
- -
- stand structure (mixed and homogeneous Scots pine stands);
- -
- site forest type (coniferous forest, broadleaved forest).
- site forest type: 0 (broadleaved forest), 1 (coniferous forest);
- stand structure: 0 (mixed Scots pine stands), 1 (homogeneous Scots pine stands).
- -
- the Shapiro–Wilk test was used to check whether the residuals were normally distributed;
- -
- the homoscedasticity of the distribution of regression residuals was analysed using White’s test [26]—Equation (6):
3. Results
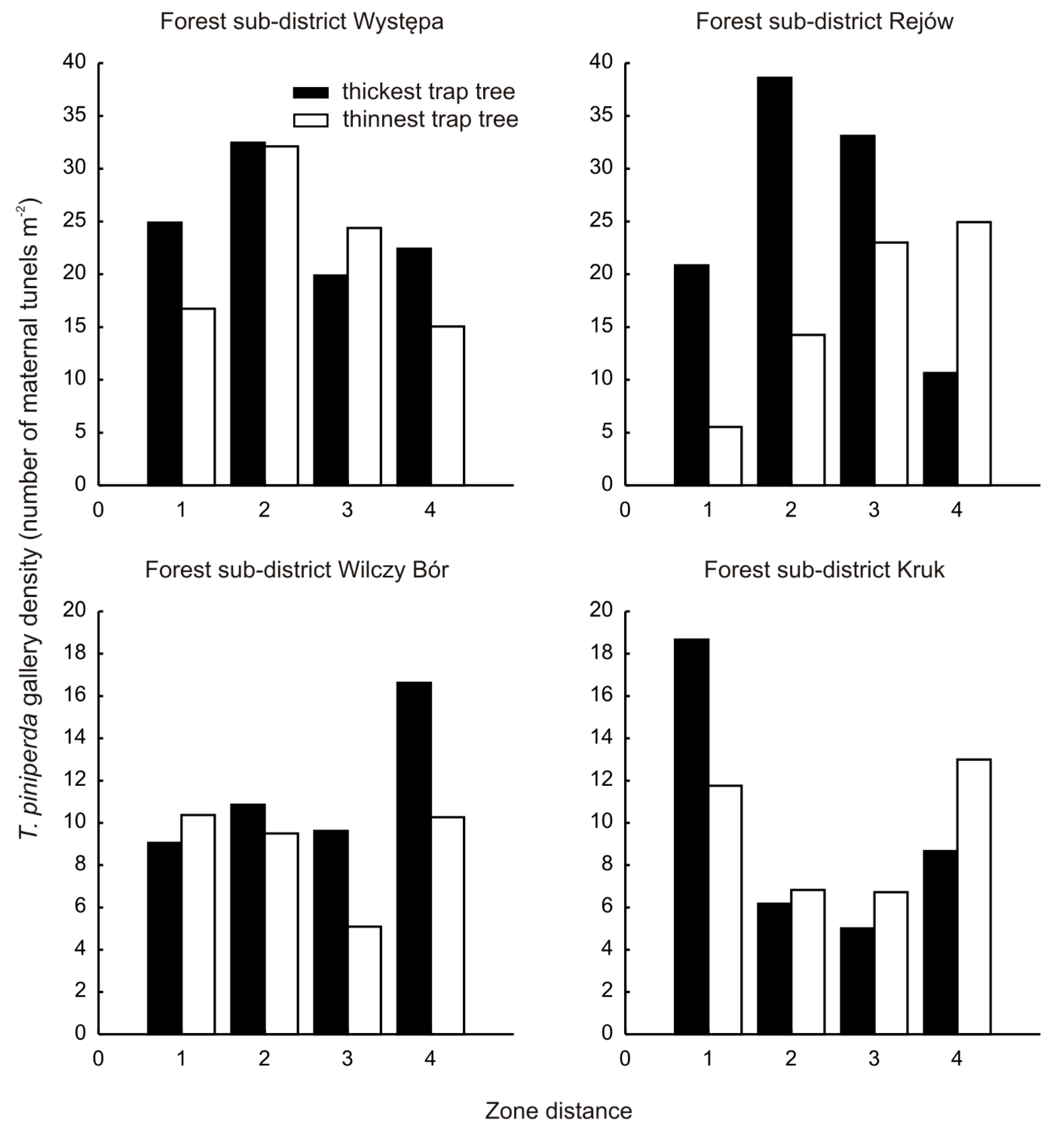
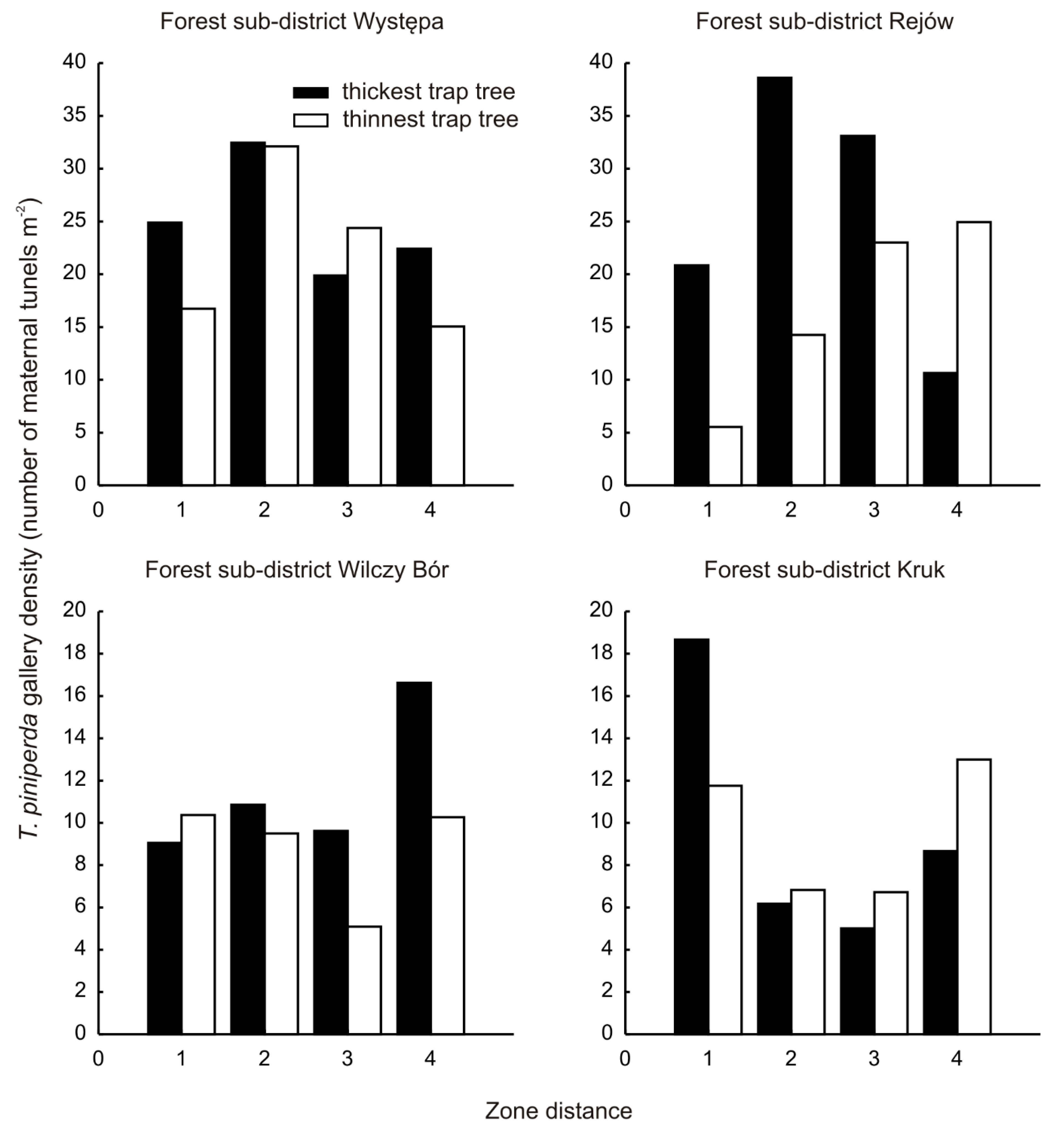
3.1. Analysis of the Infestation of Trap Trees by T. piniperda
3.2. Model for Estimating T. piniperda Populations on Trap Trees
4. Discussion
4.1. Baseline Level Pine Shoot Beetles W Stands
4.2. A Population Size Model for T. piniperda
- division of trap trees into stem units covering 2.5% of the total length, starting from the thicker end. The sixth stem unit is then marked out. For a 30 m long trap tree, this is a unit of length 75 cm located 3.75–4.5 m from the thicker end of the stem;
- division of the perimeter of the sixth unit into two equal parts (upper and lower sections);
- counting of sawdust points on the upper section.
- identification of a unit with bark thickness greater than 7 mm;
- measurement of the length of the part of the stem with bark thickness greater than 7 mm. The measurement covers the section from the thicker end of the stem to the further end of the unit, determined in step 1.
5. Conclusions
Author Contributions
Funding
Institutional Review Board Statement
Informed Consent Statement
Data Availability Statement
Acknowledgments
Conflicts of Interest
References
- The Intergovernmental Panel on Climate Change. Summary for Policymakers. In Global Warming of 1.5 °C. An IPCC Special Report on the Impacts of Global Warming of 1.5 °C above Pre-Industrial Levels and Related Global Greenhouse Gas Emission Pathways, in the Context of Strengthening the Global Response to the Threat of Climate Change, Sustainable Development, and Efforts to Eradicate Poverty; Masson-Delmotte, V., Zhai, P., Pörtner, H.-O., Roberts, D., Skea, J., Shukla, P.R., Pirani, A., Moufouma-Okia, W., Péan, C., Pidcock, R., et al., Eds.; Cambridge University Press: Cambridge, UK; New York, NY, USA, 2018; pp. 3–24. [Google Scholar] [CrossRef]
- Raffa, K.F.; Grégoire, J.C.; Lindgren, B.S. Natural history and ecology of bark beetles. In Bark Beetles: Biology and Ecology of Native and Invasive Species; Vega, F.E., Hofstetter, R.W., Eds.; Elsevier Academic Press: Amsterdam, The Netherlands, 2015; pp. 1–40. [Google Scholar] [CrossRef]
- Wermelinger, B. Ecology and management of the spruce bark beetle Ips typographus–A review of recent research. For. Ecol. Manag. 2004, 202, 67–82. [Google Scholar] [CrossRef]
- Bentz, B.J.; Logan, J.; MacMahon, J.; Wood, D.; Allen, C.; Carroll, A.; Hansen, M.; Hicke, J.; Joyce, L.; Macfarlane, W.; et al. Bark Beetle Outbreaks in Western North America: Causes and Consequences; University of Utah Press: Salt Lake City, UT, USA, 2009; pp. 1–42. [Google Scholar]
- Lieutier, F.; Långström, B.; Faccoli, M. The Genus Tomicus. In Bark Beetles: Biology and Ecology of Native and Invasive Species; Vega, F.E., Hofstetter, R.W., Eds.; Elsevier Academic Press: Amsterdam, The Netherlands, 2015; pp. 371–426. [Google Scholar]
- Öhrn, P.; Björklund, N.; Långström, B. Occurrence, performance and shoot damage of Tomicus piniperda in pine stands in southern Sweden after storm-felling. J. Appl. Entomol. 2018, 142, 854–861. [Google Scholar] [CrossRef]
- Borkowski, A. Regression equations for estimating populations of Tomicus piniperda (L.) on Scots pine (Pinus sylvestris L.). For. Ecol. Manag. 2019, 453, 117578. [Google Scholar] [CrossRef]
- Långström, B.; Hellqvist, C. Induced and spontaneous attacks by pine shoot beetles on young Scots pine trees: Tree mortality and beetle performance. J. Appl. Entomol. 1993, 115, 25–36. [Google Scholar] [CrossRef]
- Cedervind, J.; Pettersson, M.; Långström, B. Attack dynamics of the pine shoot beetle Tomicus piniperda (Col.: Scolytidae) in Scots pine stands defoliated by Bupalus piniaria (Lep.: Geometridae). Agric. For. Entomol. 2003, 5, 253–261. [Google Scholar] [CrossRef]
- Grégoire, J.C.; Evans, H.F. Damage and control of BAWBILT organisms an overview. In Bark and Wood Boring Insects in Living Trees in Europe, a Synthesis; Lieutier, F., Day, K.R., Battisti, A., Grégoire, J.C., Evans, H.F., Eds.; Springer: Dordrecht, The Netherlands, 2004; pp. 19–37. [Google Scholar] [CrossRef]
- Byers, J.A.; Lanne, B.S.; Löfqvist, J.; Schlyter, F.; Bergström, G. Olfactory recognition of host-tree susceptibility by pine shoot beetles. Naturwissenschaften 1985, 72, 324–326. [Google Scholar] [CrossRef]
- Poland, T.M.; Groot, P.; Burke, S.; Wakarchuk, D.; Haack, R.A.; Nott, R.; Scarr, T. Development of an improved attractive lure for the pine shoot beetle, Tomicus piniperda (Coleoptera: Scolytidae). Agric. For. Entomol. 2003, 5, 293–300. [Google Scholar] [CrossRef]
- Poland, T.M.; Groot, P.; Haack, R.A.; Czokajlo, D. Evaluation of semiochemicals potentially synergistic to α-pinene for trapping the larger European pine shoot beetle, Tomicus piniperda (Col., Scolytidae). J. Appl. Entomol. 2004, 128, 639–644. [Google Scholar] [CrossRef]
- Michalski, J.; Witkowski, Z. Untersuchungen uber den einfluss des regenerations- und reifungsfrasses von Blastophagus piniperda L. jungen kiefernbestandes. XI Int. Congr. Entomol. 1962, 9, 258–260. [Google Scholar]
- Långström, B.; Hellqvist, C. Spatial distribution of crown damage and growth losses caused by recurrent attacks of pine shoot beetles in pine stands surrounding a pulp mill in southern Sweden. J. Appl. Entomol. 1990, 110, 261–269. [Google Scholar] [CrossRef]
- Borkowski, A. Threats to pine stands by the pine shoot beetles Tomicus piniperda (L.) and T. minor (Hart.) around a sawmill in southern Poland. J. Appl. Entomol. 2001, 125, 489–492. [Google Scholar] [CrossRef]
- Bouhot, L.; Lieutier, F.; Debouzie, D. Spatial and temporal distribution of attacks by Tomicus piniperda L. and Ips sexdentatus Boern. (Col., Scolytidae) on Pinus sylvestris. J. Appl. Entomol. 1988, 106, 356–371. [Google Scholar] [CrossRef]
- Forest Data Bank in Poland. Available online: https://www.bdl.lasy.gov.pl (accessed on 1 September 2021).
- Barak, A.V.; McGrevy, D.; Tokaya, G. Dispersal and re-capture of marked, overwintering Tomicus piniperda (L.) (Coleoptera: Scolytidae) from Scotch pine bolts. Great Lakes Entomol. 2000, 33, 69–80. Available online: https://scholar.valpo.edu/tgle/vol33/iss2/1 (accessed on 18 January 2018).
- Cochran, W.G. Sampling Techniques; Wiley: New York, NY, USA, 1977; pp. 1–600. [Google Scholar]
- Borkowski, A.; Skrzecz, I. Ecological segregation of bark beetles (Col., Curculionidae, Scolytinae) in Scots pine. Ecol. Res. 2016, 31, 135–144. [Google Scholar] [CrossRef]
- Sokal, R.R.; Rohlf, F.J. Biometry: The Principles and Practice of Statistics in Biological Research, 4th ed; Freeman, W. H. and Co.: New York, NY, USA, 2012; pp. 1–887. [Google Scholar]
- StatSoft Inc. Statistica for Windows; StatSoft Inc.: Tulsa, OK, USA, 2020. [Google Scholar]
- Chatterjee, S.; Hadi, A.S. Regression Analysis by Example; Wiley: Hoboken, NJ, USA, 2012. [Google Scholar]
- Kutner, M.H.; Nachtsheim, C.J.; Neter, J. Applied Linear Regression Models; McGraw-Hill Irwin: New York, NY, USA, 2004. [Google Scholar]
- White, H. A Heteroskedasticity-Consistent Covariance Matrix Estimator and a Direct Test for Heteroskedasticity. Econometrica 1980, 48, 817–838. Available online: https://www.jstor.org/stable/1912934 (accessed on 16 October 2021). [CrossRef]
- Adlard, P.G. Myth and reality in growth estimation. For. Ecol. Manag. 1995, 71, 171–176. [Google Scholar] [CrossRef]
- Soares, P.; Tome, M.; Skovsgaard, J.P.; Vanclay, J.V. Evaluating a growth model for forest management using continuous forest inventory data. For. Ecol. Manag. 1995, 71, 251–265. [Google Scholar] [CrossRef]
- Kozak, A.; Kozak, R. Does cross validation provide additional information in the evaluation of regression models? Can. J. For. Res. 2003, 33, 976–987. [Google Scholar] [CrossRef]
- Ehnström, B.; Långström, B.; Hellqvist, C. Insects in burned forests—Forest protection and faunal conservation (preliminary results). Entomol. Fenn. 1995, 6, 109–117. [Google Scholar] [CrossRef]
- Sauvard, D.; Lieutier, F.; Lévieux, J. Repartition spatiale et dispersion de Tomicus piniperda L. (Coleoptera: Scolytidae) en fôret d’Orléans. Ann. For. Sci. 1987, 44, 417–434. [Google Scholar] [CrossRef]
- Poland, T.M.; Haack, R.A.; Petrice, T.R. Dispersal of Tomicus piniperda (Coleoptera: Scolytidae) from operational and simulated mill yards. Can. Entomol. 2000, 132, 853–866. [Google Scholar] [CrossRef]
- Borkowski, A. A spatial distribution of losses in growth of trees caused by feeding of pine shoot beetles Tomicus piniperda and T. minor (Col., Scolytidae) in Scots pine stands growing within the range of influence of a timber yard in southern Poland. J. For. Sci. 2006, 52, 130–135. [Google Scholar] [CrossRef]
- Långström, B. Distribution of pine shoot beetle attacks within the crown of Scots pine. Stud. For. Suec. 1980, 154, 1–25. [Google Scholar]
- Långström, B. Within-tree development of Tomicus minor (Col., Scolytidae) in wind-thrown pine. Acta Entomol. Fenn. 1983, 42, 42–46. [Google Scholar]
- McCullough, D.G.; Smitley, D.R. Evaluation of insecticides to reduce maturation feeding by Tomicus piniperda (Coleoptera: Scolytidae) in Scotch pine. J. Econ. Entomol. 1995, 5, 693–699. [Google Scholar] [CrossRef]
- Haack, R.A.; Lawrence, R.K.; Heaton, G.C. Tomicus piniperda (Coleoptera: Scolytidae) shoot-feeding characteristics and overwintering behavior in Scots pine christmas trees. J. Econ. Entomol. 2001, 94, 422–429. [Google Scholar] [CrossRef]
- Kauffman, W.C.; Waltz, R.D.; Cummings, R.B. Shoot feeding and overwintering behavior of Tomicus piniperda (Coleoptera: Scolytidae): Implications for management and regulation. J. Econ. Entomol. 1998, 91, 182–190. [Google Scholar] [CrossRef]
- Haack, R.A.; Lawrence, R.K.; Heaton, G.C. Seasonal shoot-feeding by Tomicus piniperda (Coleoptera: Scolytidae) in Michigan. Great Lakes Entomol. 2000, 33, 1–8. [Google Scholar]
- Ryall, K.L.; Smith, S.M. Brood production and shoot feeding by Tomicus piniperda (Coleoptera: Scolytidae). Can. Entomol. 2000, 132, 939–949. [Google Scholar] [CrossRef]
- Bakke, A. Ecological studies on bark beetles (Coleoptera Scolytidae) associated with Scots pine (Pinus sylvestris) in Norway with particular reference to the influence of temperature. Medd. Nor. Skog. 1968, 21, 443–602. [Google Scholar]
- Saarenmaa, H. Modeling the spatial pattern and intraspecific competition in Tomicus piniperda (Coleoptera: Scolytidae). Comm. Inst. For. Fenn. 1983, 118, 1–40. [Google Scholar]
- Långström, B. Windthrown Scots pines as brood material for Tomicus piniperda and Tomicus minor. Silva Fenn. 1984, 18, 187–198. [Google Scholar] [CrossRef]
- Långström, B. Attack density and brood production of Tomicus piniperda in thinned Pinus sylvestris stems as related to felling date and latitude in Sweden. Scand. J. For. Res. 1986, 1, 351–357. [Google Scholar] [CrossRef]
- Annila, E.; Heikkila, R. Breeding efficiency in Tomicus piniperda and shoot damage after late autumn thinning of young Pinus sylvestris stands. Scand. J. For. Res. 1991, 6, 197–207. [Google Scholar] [CrossRef]
- Luitjes, J. The development of insects in timber windthrown by the gales of 1972 and 1973 in the Netherlands. Zeit. Pflan. Pflanz. 1976, 83, 87–95. [Google Scholar]
- Annila, E.; Petäistö, R.L. Insect attack on windthrown trees after the December 1975 storm in western Finland. Comm. Inst. For. Fenn. 1978, 94, 1–24. [Google Scholar]
- Gilbert, M.; Nageleisen, L.M.; Franklin, A.; Grégoire, J.C. Post storm surveys reveal large-scale spatial patterns and influences of site factors, forest structure and diversity in endemic bark-beetle populations. Lands. Ecol. 2005, 20, 35–49. [Google Scholar] [CrossRef]
- Komonen, A.; Laatikainen, A.; Similä, M.; Martikainen, P. Ytimennävertäjien kasvainsyönti trombin kaataman suojelumännikön ympäristössä Höytiäisen saaressa Pohjois-Karjalassa. Metsätieteen Aikakauskirja 2009, 2, 127–134. [Google Scholar] [CrossRef][Green Version]



| Forest Sub-District | Sample Plot No 1 | Distance from the Edge of the Stand (m) | Forest Type Site 2 | Age of Pine (Years) 3 | Structures of Forest Stands (Tree Species in 10 ths) 4 | |
|---|---|---|---|---|---|---|
| Single-Storied | Two-Storied | |||||
| Występa | W1, 2 | 0, 400 | FCF | 98 | Ps 10 | |
| W3, 4 | 800, 1200 | FMCF | 96 | Ps 10 | ||
| Rejów | R1 | 0 | FMCF | 85 | Ps 10 | |
| R2 | 400 | FMCF | 85 | Ps 10 | ||
| R3, 4 | 800, 1200 | FMCF | 85 | Ps 10 | ||
| Wilczy Bór | WB1, 2 | 400, 800 | MMCF | 89 | Ps 9, Bp 1 | Bp 4, Pa 2, Qr 2, Aa 2 |
| WB3 | 1200 | MMBF | 79 | Ps 10 | Pa 5, Qr 2, Bp 2, Aa 1 | |
| WB4 | 1600 | MMCF | 84 | Ps 10 | Aa 5, Pa 3, Bp 1, Qr 1 | |
| Kruk | K1 | 400 | FMBF | 100 | Ps 9, Qr 1 | Qr 9, Aa 1 |
| K2 | 800 | FMBF | 110 | Ps 7, Qr 2, Aa 1 | Aa 6, Qr 4 | |
| K3 | 1200 | FMBF | 105 | Ps 6, Aa 2, Qr 1 | Aa 9, Qr 1 | |
| K4 | 1600 | FMBF | 95 | Ps 5, Qr 3, Aa 2 | Aa 9, Qr 1 | |
| Sample Plot 1 | Trap Tree 2 | Length of the Trunk (m) | Diameter Outsider Bark at Thicker End (cm) | Diameter at Breast Height (cm) | Thickness of the Dbh Bark (mm) | Length of the Bark Transition Area on the Trunk (m) |
|---|---|---|---|---|---|---|
| W1 | ttc | 22.0 | 31.75 | 27.00 | 19.01 | 5.7–7.7 |
| ttn | 17.0 | 27.25 | 20.25 | 14.94 | 2.5–4.2 | |
| W2 | ttc | 26.2 | 42.75 | 39.75 | 32.98 | 6.6–13.0 |
| ttn | 21.6 | 30.75 | 22.75 | 21.89 | 4.3–6.5 | |
| W3 | ttc | 29.0 | 55.5 | 43.00 | 26.41 | 11.0–17.0 |
| ttn | 22.6 | 31.0 | 26.50 | 16.63 | 4.7–6.8 | |
| W4 | ttc | 26.0 | 33.5 | 28.50 | 19.71 | 6.0–8.4 |
| ttn | 22.8 | 27.75 | 22.25 | 17.18 | 7.1–8.6 | |
| R1 | ttc | 23.2 | 30.75 | 25.00 | 22.80 | 3.2–4.7 |
| ttn | 19.2 | 20.75 | 17.75 | 11.22 | 3.1–7.2 | |
| R2 | ttc | 29.6 | 51.75 | 45.25 | 21.31 | 8.1–13.2 |
| ttn | 25.6 | 23.75 | 21.00 | 13.07 | 3.8–5.9 | |
| R3 | ttc | 28.0 | 52.00 | 45.50 | 28.37 | 8.9–12.1 |
| ttn | 24.8 | 31.25 | 27.00 | 16.14 | 3.5–5.7 | |
| R4 | ttc | 27.2 | 35.25 | 30.25 | 18.01 | 3.3–4.4 |
| ttn | 21.2 | 26.25 | 21.75 | 8.71 | 8.1–10.3 | |
| WB1 | ttc | 25.6 | 35.25 | 32.25 | 19.05 | 4.4–6.1 |
| ttn | 22.0 | 26.25 | 20.75 | 10.97 | 3.5–5.3 | |
| WB2 | ttc | 27.6 | 48.50 | 41.75 | 21.97 | 8.5–12.0 |
| ttn | 24.4 | 32.50 | 24.50 | 17.64 | 7.3–9.1 | |
| WB3 | ttc | 28.4 | 57.00 | 49.25 | 20.95 | 7.5–10.6 |
| ttn | 22.8 | 30.25 | 25.50 | 17.12 | 8.0–10.0 | |
| WB4 | ttc | 24.8 | 33.75 | 30.75 | 19.34 | 6.5–7.9 |
| ttn | 24.0 | 27.0 | 23.75 | 19.47 | 8.5–11.3 | |
| K1 | ttc | 30.4 | 55.75 | 50.50 | 40.72 | 9.1–13.1 |
| ttn | 26.4 | 33.25 | 30.75 | 18.57 | 7.9–10.8 | |
| K2 | ttc | 29.5 | 47.0 | 40.25 | 28.51 | 8.3–12.1 |
| ttn | 25.5 | 40.0 | 33.75 | 18.21 | 6.8–10.5 | |
| K3 | ttc | 31.2 | 67.0 | 53.00 | 20.88 | 8.0–12.0 |
| ttn | 26.8 | 40.0 | 34.00 | 21.78 | 7.5–10.0 | |
| K4 | ttc | 27.6 | 60.0 | 47.25 | 38.97 | 6.4–8.6 |
| ttn | 22.0 | 29.5 | 24.5 | 15.41 | 5.6–9.0 |
| No. Equation | Name of Variable | Value of Parameter | SE | Value t-Statistics | Probability Level | VIF | R | R2adj | RMSE | ANOVA | Mean Relative Error of Estimation (%) | |
|---|---|---|---|---|---|---|---|---|---|---|---|---|
| F-Value | p-Level | |||||||||||
| 8 | Intercept | 20.912 | 21.6419 | 0.9663 | 0.342 | 0.9321 | 0.8645 | 75.214 | 198.77 | <0.001 | 28.7 | |
| N6 | 25.094 | 1.7799 | 14.0985 | <0.001 | ||||||||
| 9 | Intercept | −67.466 | 24.4905 | −2.7548 | 0.010 | |||||||
| N6 | 22.690 | 1.4338 | 15.8250 | <0.001 | 1.14 | 0.9631 | 0.9226 | 56.850 | 185.72 | <0.001 | 21.7 | |
| tb | 19.480 | 4.0194 | 4.8489 | <0.001 | ||||||||
| 10 | Intercept | −94.137 | 25.3328 | −3.7160 | <0.001 | 0.9694 | 0.9333 | 52.754 | 145.68 | <0.001 | 20.1 | |
| N6 | 20.941 | 1.5195 | 13.7817 | <0.001 | 1.48 | |||||||
| tb | 22.601 | 3.9518 | 5.7192 | <0.001 | 1.28 | |||||||
| fs | 51.315 | 21.5349 | 2.3829 | 0.024 | 1.33 | |||||||
Publisher’s Note: MDPI stays neutral with regard to jurisdictional claims in published maps and institutional affiliations. |
© 2022 by the authors. Licensee MDPI, Basel, Switzerland. This article is an open access article distributed under the terms and conditions of the Creative Commons Attribution (CC BY) license (https://creativecommons.org/licenses/by/4.0/).
Share and Cite
Zubek, K.; Czerwik-Marcinkowska, J.; Borkowski, A. A Non-Invasive Method of Estimating Populations of Tomicus Piniperda on Scots Pine (Pinus Sylvestris L.). Insects 2022, 13, 1071. https://doi.org/10.3390/insects13111071
Zubek K, Czerwik-Marcinkowska J, Borkowski A. A Non-Invasive Method of Estimating Populations of Tomicus Piniperda on Scots Pine (Pinus Sylvestris L.). Insects. 2022; 13(11):1071. https://doi.org/10.3390/insects13111071
Chicago/Turabian StyleZubek, Karol, Joanna Czerwik-Marcinkowska, and Andrzej Borkowski. 2022. "A Non-Invasive Method of Estimating Populations of Tomicus Piniperda on Scots Pine (Pinus Sylvestris L.)" Insects 13, no. 11: 1071. https://doi.org/10.3390/insects13111071
APA StyleZubek, K., Czerwik-Marcinkowska, J., & Borkowski, A. (2022). A Non-Invasive Method of Estimating Populations of Tomicus Piniperda on Scots Pine (Pinus Sylvestris L.). Insects, 13(11), 1071. https://doi.org/10.3390/insects13111071

