Simple Summary
Although they affect most parameters that influence insect presence and development, spatial and scale effects are not normally considered in forensic entomology. Here, we documented the spatial dynamics of an important forensic taxon, the Calliphoridae, in the Greater Moncton area of New Brunswick, Canada. Results indicated that regional aggregation patterns of Calliphoridae differed among species and that the spatial relationship between species varied between aggregation and spatial anticorrelation. Overall, this study suggests that the dynamics of forensic insects in space differ in many ways among species, highlighting the importance for forensic entomology to consider spatial effects.
Abstract
Spatial and scale effects have barely been considered in forensic entomology, despite their pervasive influence on most of the parameters affecting the development of insect larval stages and the progression of insect succession on cadavers. Here, we used smoothing/interpolation techniques and semivariograms to document the spatial dynamics of sarcosaprophageous Calliphoridae, an important forensic taxon, in the Greater Moncton area in New Brunswick, Canada. Results indicated that the spatial dynamics of Calliphoridae differed between species, some species showing strong patterns of regional aggregation while others did not. Multivariate spatial correlations indicated that interspecific relationships in space varied widely, ranging from local and large-scale aggregation to spatial anticorrelation between species. Overall, this study suggested that even within a restricted timescale, the spatial dynamics of Calliphoridae can operate at many scales, manifest in different patterns, and be attributed to multiple different causes. We stress that forensic entomology has much to benefit from the use of spatial analysis because many important forensic questions, both at the fundamental and practical levels, require a spatial solution.
1. Introduction
A fundamental question in forensic entomology is whether certain environmental parameters affect the ability to draw entomological inferences from insects. Thus, several parameters that are mostly abiotic in nature were extensively documented for their influence on the development of insect larval stages and on the progression of insect succession on necromass [1,2]. Spatial and scale effects, however, have barely been considered in forensic entomology [3,4,5,6,7,8], despite their pervasive effects on most of the biotic and abiotic parameters affecting insect occurrence and development. Space here refers to the place where the organisms involved in decomposition interact with each other and with the abiotic environment [9]. The area of expertise concerned with spatial and scale effects is spatial statistics [10], which provides rigorous techniques for drawing inferences about spatially distributed objects, such as cadavers in a field.
Forensic entomology has much to gain from the implementation of spatial statistics into its protocols because field data in forensic science are intrinsically composed of several layers of spatial structure. For example, at the local scale, entomological data can be influenced by spatial effects due to heterogeneity in field conditions [11,12], microclimate [13], and movement between cadavers/carcasses of organisms that can synchronize carcass dynamics (i.e., forensic species of interest, predators, parasitoids, scavengers; [14,15]). A small-scale spatial structure is to be expected if cadavers/carcasses are in close proximity to each other, as is often the case in body farms or small field sites. At larger scales, spatial effects may occur due to responses to climatic conditions [16], metapopulation and metacommunity dynamics, source-sink dynamics [17] and habitat specialization of forensic species of interest [18]. Many other situations are susceptible to producing a spatial pattern and failure to consider spatial layers can lead, for example, to underestimation of the influence of spatial dynamics on processes, to misattribution of spatial effects to other sources of variation [19], to inaccurate mechanistic inference, to erroneous projections from the data, such as when estimating the postmortem interval, etc.
The objective of this paper is to demonstrate what can be gained from the use of spatial statistics in forensic entomology. Using georeferenced data from a trapping study on Diptera of forensic interest, we map the regional distribution of species through smoothing and interpolation techniques. The latter techniques work on the premise that “Everything is related to everything else, but near things are more related than distant things” [20]. Next, we investigate autocorrelation at the population level and interspecific level using scatterplots of spatial dependence called semivariograms [21]. We then discuss what has been gained by examining the spatial dynamics of forensic species and offer some recommendations for the inclusion of spatial statistics in the field of forensic entomology.
2. Materials and Methods
2.1. Source of Data
The data used in the following analyses are from a study carried out in the Greater Moncton area in New Brunswick, Canada [22]. Briefly, nine sampling sites were established on three linear transects, each containing an urban, a periurban and a forest site. The study area was thus configured as a triangular shape (Figure 1a). The minimum distance between two sampling sites was 1.1 km. “Flies Be Gone” commercial traps modified to accommodate a bait of 60 g of minced pork liver were hung approximately 2.13 m from the ground at each sampling site to recover Diptera of forensic interest and prevent recovery of ground-dwelling arthropods. While use of bait traps as substitutes for carrion is disputed due to their inaccurate representation of carcasses/cadavers and the variability associated with the bait used [23,24], they remain efficient tools to document regional fauna of sarcosaprophageous Calliphoridae species of forensic interest [23,25]. Every 3–4 days from May to November 2019, traps were recovered, and a new trap was set up. Most of the collected specimens were sarcosaprophageous calliphorids (Diptera: Calliphoridae), also known as blow flies. Calliphorids feed on vertebrate carcasses, are often the most abundant early colonizers of this substrate in terrestrial ecosystems and are frequently used to deduce clues about a cadaver, including the postmortem interval [1,26]. Hereinafter, only Calliphoridae will be discussed. Calliphoridae specimens were identified using the current literature (i.e., [27,28,29]).
Figure 1.
Map of study area (a) and estimated density (b–e) for the four most abundant Calliphoridae species during late summer 2019 in the Greater Moncton area, New Brunswick, Canada. Sampling sites are illustrated using white dots. Data used to generate this figure are a subset of a previously published study [22].
2.2. Statistical Analyses
Analyses were carried out using R version 4.1.1 [30]. Care was taken to ensure that data and models satisfied all assumptions of the respective analyses. The dataset of Calliphoridae species was separated into four subsets (early spring, late spring/early summer, late summer, and fall). These subsets corresponded to clusters where species and their abundance were more consistent based on a multivariate regression tree [31] carried out using the mvpart function and including Julian dates as a continuous factor. Here, for convenience, we modeled the four species collected in greater abundance using late summer data (i.e., Julian dates 197–256; mid-July to early-September) because the frequency of zeros is reduced in this subset and because homicides are more frequent during this period in North America [32]. These four species accounted for nearly 98% of Calliphoridae specimens during this period.
Calliphoridae abundance was log10 + 1 transformed for the analyses. The values obtained were mapped by inverse distance weighting (IDW) using the idw function in gstat. The formula used was:
where Zj and Zi represent the density estimate at any given spatial coordinate and at a sample point in space, respectively; dij represents distance between an estimated spatial j point and a sample point i; and p represents the power parameter. The latter was determined for each individual species by selecting the integer with the lowest value of jackknifed root mean squared error.
Semivariograms and crossvariograms were calculated using gstat. A semivariogram [33] is half a variogram, the latter being a function describing the degree of spatial dependence of a spatial process. Semivariograms illustrate the level of statistical dependency as distance between sampling sites increases. Crossvariograms display the values of the semivariograms for the combination of two specific variables and are thus the equivalent of a multivariate spatial correlation. Positive crossvariogram values indicate autocorrelation between variables at a given distance, negative values indicate anticorrelation while null values indicate that there is no correlation structure between these variables at this distance. For each semivariogram and crossvariogram, the trend was estimated using a one-way additive model with the mgcv function.
3. Results
Figure 1 presents IDW estimations of the spatial distribution of four abundant Calliphoridae. Calliphora livida (Hall) exhibited greater densities on the outskirts of the study area (i.e., the corners of the triangle; Figure 1b). Lucilia illustris (Meigen) exhibited low densities on the westernmost longitudes and high densities on the easternmost longitudes of the study area (Figure 1c). Lucilia sericata (Meigen) was mostly concentrated within the center of the study area (Figure 1d). Phormia regina (Meigen) densities were similar to that of L. illustris but the former exhibited densities close to the extreme values less often (Figure 1e).
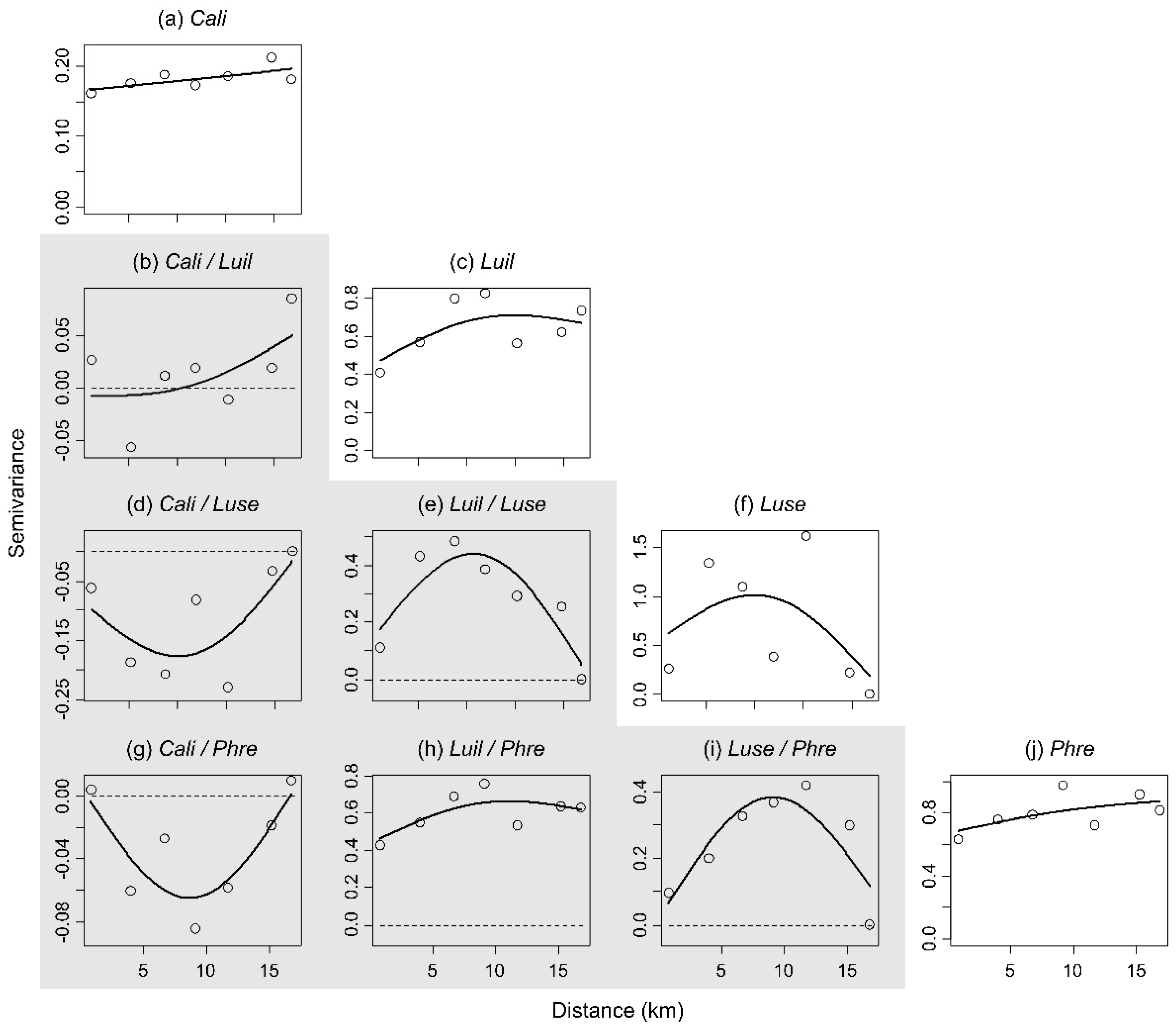
Figure 2 presents semivariograms and crossvariograms displaying the statistical dependency within and between species, respectively. The semivariograms (Figure 2a,c,f,j) indicated that C. livida, L. illustris and P. regina exhibited decaying statistical dependency. For C. livida and P. regina, this autocorrelation spanned the range of distances but was not very substantial (i.e., there was only a small increase in semivariance with increasing distance) (Figure 2a,j). For L. illustris, autocorrelation was more substantial but disappeared at half the range (Figure 2c). Lucilia sericata exhibited an atypical autocorrelation pattern that did not reach a plateau but instead displayed a strong autocorrelation at distances < 5 and >14 km and a weaker autocorrelation at intermediate distances (Figure 2f).
Figure 2.
Semivariograms (a,c,f,j) and crossvariograms (gray area; b,d,e,g–i) for the four most abundant Calliphoridae species during late summer 2019 in the Greater Moncton area, New Brunswick, Canada. Cali, Luil, Luse and Phre represent C. livida, L. illustris, L. sericata and P. regina, respectively. Data used to generate this figure are a subset of a previously published study [22].
Crossvariograms were produced to display the spatial relationships between the four species of Calliphoridae (Figure 2b,d,e,g–i). Here, four patterns were observable: (i) no structure or association at a small distance and increasing autocorrelation with increasing distance (Figure 2b); indicates that when one species is locally abundant, the other species has high densities in distant areas; (ii) no structure or association at short and long distances but autocorrelation at intermediate distances (Figure 2e,i); indicates that when one species is locally abundant, the other species is abundant in surrounding areas; (iii) no structure or association at short and long distances but anticorrelation at intermediate distances (Figure 2d,g); indicates that when one species is locally abundant, the other species has low densities in surrounding areas; and (iv) strong positive autocorrelation at all distances (Figure 2h); indicates that when L. illustris is abundant, P. regina is generally abundant in plots of the study area; the reverse is also true.
4. Discussion
Space and time are the two variables at the origin of all variation because, ultimately, even abiotic variability is driven by these variables. While time has been of great concern to forensic entomologists as evidenced by the importance of research on the postmortem interval, the period of insect activity [34] and the pre-appearance interval [35], space remains an essentially unexplored dimension (but see [5,6,7,8]). To our knowledge, this study presents the first analysis of regional spatial dynamics in forensic entomology. This analysis suggested that even within a restricted timescale, spatial dynamics of forensic species can operate at many scales, manifest in different patterns, and be attributed to multiple different causes.
4.1. Spatial Dynamics of Calliphoridae Species
Both the IDW distributions and the autocorrelation ranges of the semivariograms differed among the four Calliphoridae species, suggesting that their distributions are determined by ecological factors acting at different spatial scales. The IDW distribution of C. livida indicated that the species was associated with the forest area on the map while the semivariance of its distribution identified by the semivariogram remained essentially constant at all distances. By contrast, L. illustris exhibited patterns of spatial aggregation/patchiness in both the IDW distribution (i.e., higher densities in the east of the study area) and the semivariogram (i.e., positive autocorrelation at distances < 7–8 km). Because the area of high density did not correspond to the landscape configuration (e.g., urban, periurban, or forested area; Figure 1a), it appears that mechanisms other than habitat association are structuring the spatial dynamics of this species. If we look for differentiating characteristics of these high-density sites, they all seemed to have a high degree of naturality relative to their landscape configuration. Indeed, the two urban and periurban sites most dense in L. illustris had nature parks and forested woodlands in their vicinity, respectively. In contrast, the other urban site did not have a nature park and the other periurban site was surrounded by grassland instead of woodland. These nearby natural environments perhaps provide resources and/or microhabitats favorable to this species. The IDW distribution of L. sericata showed high and contrasting densities in the central part of the study area, which is urbanized, as well as strong positive autocorrelation between close or distant sites. This autocorrelation pattern is apparent on the IDW distribution, with the closer points showing similar densities while the farther points (i.e., the three corners of the triangle) also show similar densities (Figure 1d). This is an indication that habitat specialization plays a major role in the distribution of L. sericata, a result that can be explained by the strong synanthropy of this species [36,37]. While temporally variable, we can speculate that there is a higher density of garbage in urban than in other habitats and suggest that studies examining the effects of garbage density on Calliphoridae could potentially be of ecological and forensic interest. The last of the species, P. regina, had a similar spatial distribution to L. illustris although it was more uniform and its semivariance, as identified by the semivariogram, was essentially constant at all distances. In summary, both Lucilia species showed an aggregated short-range distribution pattern influenced by local processes but C. livida and P. regina did not. Considering that aggregation patterns were previously detected in Lucilia [4], this suggests that such a mechanism may play a particularly strong role in the spatial structure of species from this genus.
Alternatively, when the semivariance of different species was combined to examine their interrelationships in space (i.e., the crossvariograms), a much more convoluted story emerged. Calliphora livida exhibited anticorrelation with L. sericata and P. regina, and a positive autocorrelation at long distances with L. illustris. In accordance, low densities of C. livida were documented where other species were most abundant (and vice versa) in IDW distributions. This negative spatial relationship between C. livida and all other species thus resulted in interspecific spatial segregation. As C. livida is best suited for weather conditions colder than those of late summer [22,38], the species apparently favored habitats that were not as optimal for its interspecific competitors. This demonstrates how seasonality and biotic interactions such as competition may play a role in the spatial partitioning of species [39]. The positive aggregation at the intermediate range seen on the crossvariograms of L. sericata with L. illustris and P. regina can be explained by the fact that the eastern zone of the abundance of the latter two species is at an approximately intermediate distance from the center of the triangle where L. sericata is abundant. This spatial pattern is apparently an artifact of two or more processes that independently structured each species. Habitat specialization is the most likely mechanism for L. sericata while other mechanisms such as resources distribution are more likely for L. illustris and P. regina (see below). The crossvariogram of L. illustris and P. regina displayed the strongest autocorrelation of all species pairs and remained so at all distances. In simple terms, this means that when one species is abundant in late summer, the other is also consistently abundant at all distances in our study area. The reverse is also true. This suggests that key factors structuring spatial/ecological distribution are shared by these two species. Although these spatial patterns are evident, their cause cannot be determined in the present analysis and further work will be required to identify the factors involved. If we venture to speculate on this phenomenon, we can hypothesize that the synchronized spatial dynamics of these two habitat generalists in our study area [22] is due to patchy resources based on two reasons: (i) their primary resource, carrion, is ephemeral and therefore dispersed in space and time [40], and (ii) they are dominant competitors in our study area [23,41]. The less pronounced spatial aggregation of P. regina relative to L. illustris may be explained by the greater ecological plasticity of the former (e.g., its ability to feed on dung [27]) and/or by the fact that it is a late colonizer of carrion in our study area compared to L. illustris [41]. These two mechanisms are also consistent with what the semivariograms suggested, namely that the spatial dynamics of L. illustris and P. regina operate at different scales.
4.2. Contribution of Spatial Statistics to Forensic Science
Most studies examining species distribution report qualitative associations of species to environmental variables that are implicitly spatial (e.g., habitat, altitude; [7,37,42]). However, the local density of a species can vary within and among habitats [6], thus rendering studies that fail to account for spatial heterogeneity potentially unreliable. Indeed, our spatial analysis indicated that processes other than simple environmental/habitat associations govern the regional distribution of all Calliphoridae species studied but L. sericata.
As was demonstrated, the two spatial analyses presented here can be useful (i) to display the spatial distribution of species, which can be informative when predicting the occurrence of Calliphoridae in a forensic context, and (ii) to expose patterns of species aggregation/segregation, which can uncover mechanisms not typically explored in forensic entomology. Spatial analyses lend themselves well to visualizing spatial structure, which is probably more important in the applied context of forensic entomology than the reasons for that structure since it will affect inference (e.g., cadaver relocation) regardless of underlying causes.
This study used regional data and offers little information on small-scale spatial analysis. In the experimental context of forensic entomology, small-scale effects are likely to bias results, especially if cadavers/carcasses or forensic insect traps are located close to each other. Biotic interactions (e.g., competition, predation), which can be major drivers of processes at this scale [43], can also lead to movement of species according to gradients of microhabitat suitability thus causing interspecific aggregation/segregation patterns (e.g., [44]). Such local spatial effects might even generate an artificial but consistent pattern of insect succession that would not be present in isolated carcasses. We therefore emphasize the need for small-scale spatial studies of autocorrelation in forensic entomology.
Spatial effects also extend beyond the regional scale. At larger scales, it is possible to examine whether insect species assembly is governed by the same factors in different geographic areas. Species that are highly structured by habitat variables, such as L. sericata, are likely to be similarly structured in other areas. Conversely, species that are not structured by strong habitat associations are likely to be more affected by metapopulation and metacommunity dynamics and source-sink dynamics. In addition, different patterns and processes operate at many scales [45], and as scale increases, the spatial non-stationarity of a given variable generally increases [46]. Taken together, these factors can contribute to greater variation, which can overrule the effects of causal relationships studied at large scales. On the other hand, when variables are chosen wisely and space is well accounted for, multi-regional studies can be more powerful in identifying causal relationships. We argue that forensic entomology would benefit from such ecological studies, which would allow for a better understanding of the relationships between species and their environment and the large-scale processes that influence the distribution of species of forensic interest.
4.3. Recommendations for Forensic Entomology
Based on what was reported herein, we are issuing the following recommendations:
- The thumb rule of using a minimum distance of 50 m between carcasses (e.g., [3,8,47,48]) to achieve some independence amongst experimental units needs to be re-evaluated using approaches documenting distance-dependent autocorrelation while accounting for time dependence associated with repeated sampling (e.g., spatio-temporal semivariograms). Although the 50 m distance limits larval movement between carcasses [15], it does not preclude synchronization of carcass dynamics through the movement of Diptera and Coleoptera adults from one carcass to another. The documentation in the current study of strong autocorrelation patterns in L. illustris and L. sericata under distances of a few kilometers indicates that the potential for this to occur is very real. The intention here is not to make forensic experiments any harder but rather to understand the consequences of the methodology used on the dynamics of decomposition and the organisms involved.
- Researchers should consider georeferencing experimental units at all scales (i.e., both the position of cadavers/carcasses in the field and the position of study sites for larger-scale projects). Multi-site studies cannot afford to ignore spatial and scale effects as these may be more influential than the variables under study.
- If researchers are not comfortable with spatial statistics, they can also choose other ways to incorporate spatial effects into their statistical models. For example, additive models lend themselves very well to the inclusion of geographic coordinates and autoregressive structures using, for example, tensor product smoothing. It is also possible to check the autocorrelation of residuals in most statistical procedures. Spatial analysis can be complex, but it is not necessary to know every facet of it to account for spatial interdependence.
5. Conclusions
It is often said that correlation does not imply causation. Similarly, spatial autocorrelation does not imply spatial causality because processes occurring at different scales can combine to create autocorrelation. Griffith [49] defines spatial autocorrelation as “a surrogate for unobserved geographical variables.” Thus, spatial analysis is not an end but rather a means to generate new hypotheses and better decipher the behavior of a system. In this sense, forensic entomology has much to benefit from the use of spatial statistics because many important questions, both at the fundamental and practical levels, require a spatial solution. As evidence of this, it is useful to note that other fields of forensics (e.g., [50,51,52]), the field of criminology (e.g., [53]), and other fields studying decomposition (e.g., [54,55,56]) have already adopted spatial methods.
Author Contributions
Conceptualization, D.R.B. and G.M.; methodology, D.R.B. and G.M.; formal analysis, D.R.B. and G.M.; data curation, D.R.B.; writing—original draft preparation, D.R.B. and G.M.; supervision, G.M.; project administration, G.M.; funding acquisition, G.M. All authors have read and agreed to the published version of the manuscript.
Funding
This research was funded by The Natural Sciences and Engineering Research Council of Canada, grant number DDG-2020-00021.
Institutional Review Board Statement
Ethical review and approval for this study were waived by the ethical committee of our university because the study is carried out using published data.
Data Availability Statement
The data presented in this study are available on request from the corresponding author. The data are not publicly available due to ongoing further studies and unfinished manuscripts.
Acknowledgments
The authors would like to thank C. Losier, N. Hammami, L, Tousignant and three anonymous reviewers for comments on a previous version of the manuscript.
Conflicts of Interest
The authors declare no conflict of interest. The funders had no role in the design of the study; in the collection, analyses, or interpretation of data; in the writing of the manuscript, or in the decision to publish the results.
References
- Byrd, J.H.; Castner, J.L. Forensic Entomology: The Utility of Arthropods in Legal Investigations; CRC Press: Boca Raton, FL, USA, 2001; p. 387. [Google Scholar]
- Campobasso, C.P.; Di Vella, G.; Introna, F. Factors affecting decomposition and diptera colonization. Forensic Sci. Int. 2001, 120, 18–27. [Google Scholar] [CrossRef]
- Moreau, G.; Michaud, J.-P.; Schoenly, K.G. Experimental design, inferential statistics, and computer modeling. In Forensic Entomology: International Dimensions and Frontiers; Tomberlin, J.K., Benbow, M.E., Eds.; CRC Press: Boca Raton, FL, USA; Taylor & Francis Group: Abingdon on Thames, UK, 2015; pp. 205–230. [Google Scholar]
- Moreau, G. The Pitfalls in the Path of Probabilistic Inference in Forensic Entomology: A Review. Insects 2021, 12, 240. [Google Scholar] [CrossRef]
- Cruickshank, I.; Wall, R. Aggregation and habitat use by Lucilia blowflies (Diptera: Calliphoridae) in pasture. Bull. Entomol. Res. 2002, 92, 153–158. [Google Scholar] [CrossRef]
- Charabidze, D.; Gosselin, M.; Hedouin, V. Use of necrophagous insects as evidence of cadaver relocation: Myth or reality? PeerJ 2017, 5, e3506. [Google Scholar] [CrossRef]
- Zabala, J.; Díaz, B.; Saloña-Bordas, M.I. Seasonal blowfly distribution and abundance in fragmented landscapes. Is it useful in forensic inference about where a corpse has been decaying? PLoS ONE 2014, 9, e99668. [Google Scholar] [CrossRef]
- Perez, A.E.; Haskell, N.H.; Wells, J.D. Commonly used intercarcass distances appear to be sufficient to ensure independence of carrion insect succession pattern. Ann. Entomol. Soc. Am. 2015, 109, 72–80. [Google Scholar] [CrossRef]
- Nestel, D.; Carvalho, J.; Nemny-Lavy, E. The Spatial Dimension in the Ecology of Insect Pests and its Relevance to Pest Management. In Insect Pest Management; Horowitz, A.R., Ishaaya, I., Eds.; Springer: Berlin/Heidelberg, Germany, 2004; pp. 45–63. [Google Scholar]
- Griffith, D. Towards a theory of spatial statistics. Geogr. Anal. 2010, 12, 325–339. [Google Scholar] [CrossRef]
- Goguen, J.; Moreau, G. Exogenous and endogenous factors acting on the spatial distribution of a chrysomelid in extensively managed blueberry fields. Agric. For. Entomol. 2014, 17, 181–187. [Google Scholar] [CrossRef]
- Schoenly, K.G.; Michaud, J.-P.; Moreau, G. Design and Analysis of Field Studies in Carrion Ecology. In Carrion Ecology, Evolution and Their Applications; Benbow, M.E., Tomberlin, J.K., Tarone, A.M., Eds.; CRC Press: Boca Raton, FL, USA, 2015; pp. 129–148. [Google Scholar]
- Kautz, M.; Schopf, R.; Ohser, J. The “sun-effect”: Microclimatic alterations predispose forest edges to bark beetle infestations. Eur. J. For. Res. 2013, 132, 453–465. [Google Scholar] [CrossRef]
- Leibold, M.A.; Holyoak, M.; Mouquet, N.; Amarasekare, P.; Chase, J.M.; Hoopes, M.F.; Holt, R.D.; Shurin, J.B.; Law, R.; Tilman, D.; et al. The metacommunity concept: A framework for multi-scale community ecology. Ecol. Lett. 2004, 7, 601–613. [Google Scholar] [CrossRef]
- Lewis, A.J.; Benbow, M.E. When entomological evidence crawls away: Phormia regina en masse larval dispersal. J. Med. Entomol. 2011, 48, 1112–1119. [Google Scholar] [CrossRef]
- Fortin, M.J. Spatial Statistics in Landscape Ecology. In Landscape Ecological Analysis; Klopatek, J., Gardner, R., Eds.; Springer: New York, NY, USA, 1999; pp. 253–279. [Google Scholar]
- Amarasekare, P.; Nisbet, R.M. Spatial heterogeneity, source-sink dynamics, and the local coexistence of competing species. Am. Nat. 2001, 158, 572–584. [Google Scholar] [CrossRef] [PubMed]
- Michaud, J.-P.; Majka, C.G.; Privé, J.-P.; Moreau, G. Natural and anthropogenic changes in the insect fauna associated with carcasses in the North American Maritime lowlands. Forensic Sci. Int. 2010, 202, 64–70. [Google Scholar] [CrossRef] [PubMed][Green Version]
- Lichstein, J.W.; Simons, T.R.; Shriner, S.A.; Franzreb, K.E. Spatial autocorrelation and autoregressive models in ecology. Ecol. Monogr. 2002, 72, 445–463. [Google Scholar] [CrossRef]
- Tobler, W.R. A Computer Movie Simulating Urban Growth in the Detroit Region. Econ. Geogr. 1970, 46, 234. [Google Scholar] [CrossRef]
- Cressie, N. Statistics for Spatial Data; Wiley: New York, NY, USA, 1991. [Google Scholar]
- Boudreau, D.R.; Hammami, N.; Moreau, G. Environmental and evolutionary factors favouring the coexistence of sarcosaprophagous Calliphoridae species competing for animal necromass. Ecol. Entomol. 2021, 46, 1293–1300. [Google Scholar] [CrossRef]
- LeBlanc, K.; Boudreau, D.; Moreau, G. Small bait traps may not accurately reflect the composition of necrophagous Diptera associated to remains. Insects 2021, 12, 261. [Google Scholar] [CrossRef]
- Vilte, R.; Gleiser, R.M.; Horenstein, M.B. Necrophagous fly assembly: Evaluation of species bait preference in field experiments. J. Med. Entomol. 2019, 57, 437–442. [Google Scholar] [CrossRef] [PubMed]
- Weidner, L.M.; Gemmellaro, M.D.; Tomberlin, J.K.; Hamilton, G.C. Evaluation of bait traps as a means to predict initial blow fly (Diptera: Calliphoridae) communities associated with decomposing swine remains in New Jersey, USA. Forensic Sci. Int. 2017, 278, 95–100. [Google Scholar] [CrossRef]
- Catts, E.P.; Goff, M.L. Forensic entomology in criminal investigations. Ann. Rev. Entomol. 1992, 37, 253–272. [Google Scholar] [CrossRef]
- Marshall, S.A.; Whitworth, T.; Roscoe, L. Blow flies (Diptera; Calliphoridae) of eastern Canada with a key to Calliphoridae subfamilies and genera of eastern North America, and a key to the eastern Canadian species of Calliphorinae, Luciliinae and Chrysomyiinae. Can. J. Arthropod. Identif. 2011, 11. [Google Scholar] [CrossRef]
- Tantawi, T.I.; Whitworth, T. First record of L. bufonivora Moniez, 1876 (Diptera: Calliphoridae) from North America and key to North American species of the L. bufonivora species group. Zootaxa 2014, 3881, 101–124. [Google Scholar] [CrossRef] [PubMed]
- Jones, N.; Whitworth, T.; Marshall, S.A. Blow flies of North America: Keys to the subfamilies and genera of Calliphoridae, and to the species of the subfamilies Calliphorinae, Luciliinae and Chrysomyinae. Can. J. Arthropod Identif. 2019, 39, 1–191. [Google Scholar] [CrossRef]
- R Core Team. R: A Language and Environment for Statistical Computing; R Foundation for Statistical Computing: Vienna, Austria, 2019; Available online: http://www.R-project.org/ (accessed on 17 December 2021).
- De’Ath, G. Multivariate regression trees: A new technique for modeling species–environment relationships. Ecology 2002, 83, 1105–1117. [Google Scholar] [CrossRef]
- Rock, D.; Greenberg, D.M.; Hallmayer, J. cyclical changes of homicide rates. J. Interpers. Violence 2003, 18, 942–955. [Google Scholar] [CrossRef] [PubMed]
- Matheron, G. Principles of geostatistics. Econ. Geol. 1963, 58, 1246–1266. [Google Scholar] [CrossRef]
- Campobasso, C.P.; Introna, F. The forensic entomologist in the context of the forensic pathologist’s role. Forensic Sci. Int. 2001, 120, 132–139. [Google Scholar] [CrossRef]
- Matuszewski, S. Estimating the pre-appearance interval from temperature in Necrodes littoralis L. (Coleoptera: Silphidae). Forensic Sci. Int. 2011, 212, 180–188. [Google Scholar] [CrossRef]
- Simpson, G.; Strongman, D.B. Carrion insects on pig carcasses at a rural and an urban site in Nova Scotia. Can. Soc. Forensic Sci. J. 2002, 35, 123–143. [Google Scholar] [CrossRef]
- Brundage, A.; Bros, S.; Honda, J.Y. Seasonal and habitat abundance and distribution of some forensically important blow flies (Diptera: Calliphoridae) in Central California. Forensic Sci. Int. 2011, 212, 115–120. [Google Scholar] [CrossRef]
- Johnson, M.D. Seasonal and microseral variations in the insect populations on carrion. Am. Midl. Nat. 1975, 93, 79. [Google Scholar] [CrossRef]
- Woodcock, B.A.; Watt, A.D.; Leather, S.R. Aggregation, habitat quality and coexistence: A case study on carrion fly communities in slug cadavers. J. Anim. Ecol. 2002, 71, 131–140. [Google Scholar] [CrossRef]
- Kouki, J.; Hanski, I. Population aggregation facilitates coexistence of many competing carrion fly species. Oikos 1995, 72, 223. [Google Scholar] [CrossRef]
- Michaud, J.-P.; Moreau, G. Predicting the visitation of carcasses by carrion-related insects under different rates of degree-day accumulation. Forensic Sci. Int. 2009, 185, 78–83. [Google Scholar] [CrossRef]
- Baz, A.; Cifrian, B.; Díaz-Äranda, L.M.; Martín-Vega, D. The distribution of adult blow-flies (Diptera: Calliphoridae) along an altitudinal gradient in Central Spain. Ann. Société Entomol. Fr. 2007, 43, 289–296. [Google Scholar] [CrossRef]
- Ricklefs, R.E. Community diversity: Relative roles of local and regional processes. Science 1987, 235, 167–171. [Google Scholar] [CrossRef]
- Lutz, L.; Amendt, J.; Moreau, G. Carcass concealment alters assemblages and reproduction of forensically important beetles. Forensic Sci. Int. 2018, 291, 124–132. [Google Scholar] [CrossRef]
- Levin, S. The Problem of pattern and scale in ecology: The Robert H. MacArthur award lecture. Ecology 1992, 73, 1943–1967. [Google Scholar] [CrossRef]
- Rollinson, C.R.; Finley, A.O.; Alexander, M.R.; Banerjee, S.; Hamil, K.-A.D.; E Koenig, L.; Locke, D.H.; DeMarche, M.L.; Tingley, M.W.; Wheeler, K.; et al. Working across space and time: Nonstationarity in ecological research and application. Front. Ecol. Environ. 2021, 19, 66–72. [Google Scholar] [CrossRef]
- Anderson, G.S.; Van Laerhoven, S.L. Initial studies on insect succession on carrion in south western British Columbia. J. Forensic Sci. 1996, 41, 617–625. [Google Scholar] [CrossRef]
- Bourel, B.; Luck, M.-B.; Hedouin, V.; Cailliez, J.-C.; Derout, D.; Gosset, D. Necrophilous insect succession on rabbit carrion in sand dune habitats in Northern France. J. Med. Entomol. 1999, 36, 420–425. [Google Scholar] [CrossRef]
- Griffith, D.A. What is spatial autocorrelation? Reflections on the past 25 years of spatial statistics. L’Espace Géographique 1992, 21, 265–280. [Google Scholar] [CrossRef]
- Manhein, M.H.; Listi, G.A.; Leitner, M. The application of geographic information systems and spatial analysis to assess dumped and subsequently scattered human remains. J. Forensic Sci. 2006, 51, 469–474. [Google Scholar] [CrossRef]
- Abraham, J.; Champod, C.; Lennard, C.; Roux, C. Spatial analysis of corresponding fingerprint features from match and close non-match populations. Forensic Sci. Int. 2013, 230, 87–98. [Google Scholar] [CrossRef] [PubMed]
- Tuller, H.; Hofmeister, U.; Tuller, H.; Hofmeister, U. Spatial analysis of mass grave mapping data to assist in the reassociation of disarticulated and commingled human remains. In Commingled Human Remains: Methods in Recovery Analysis and Identification; Adams., B.J., Byrd, J.E., Eds.; Academic Press: San Diego, CA, USA, 2014; pp. 7–32. [Google Scholar]
- Groff, E.R.; Lockwood, B. Criminogenic facilities and crime across street segments in Philadelphia. J. Res. Crime Delinq. 2014, 51, 277–314. [Google Scholar] [CrossRef]
- Sabetta, L.; Zaccarelli, N.; Mancinelli, G.; Mandrone, S.; Salvatori, R.; Costantini, M.L.; Zurlini, G.; Rossi, L. Mapping litter decomposition by remote-detected indicators. Ann. Geophys. 2009, 49, 219–226. [Google Scholar] [CrossRef]
- Louzada, J.; Lima, A.P.; Matavelli, R.; Zambaldi, L.; Barlow, J. Community structure of dung beetles in Amazonian savannas: Role of fire disturbance, vegetation and landscape structure. Landsc. Ecol. 2010, 25, 631–641. [Google Scholar] [CrossRef]
- Mourant, A.; LeComte, N.; Moreau, G. Size matters: When resource accessibility by ecosystem engineering elicits wood-boring beetle demographic responses. Ecol. Evol. 2021, 11, 784–795. [Google Scholar] [CrossRef] [PubMed]
Publisher’s Note: MDPI stays neutral with regard to jurisdictional claims in published maps and institutional affiliations. |
© 2021 by the authors. Licensee MDPI, Basel, Switzerland. This article is an open access article distributed under the terms and conditions of the Creative Commons Attribution (CC BY) license (https://creativecommons.org/licenses/by/4.0/).

