Effects of Aqueous Extracts of Endophyte-Infected Grass Achnatherum inebrians on Growth and Development of Pea Aphid Acyrthosiphon pisum
Abstract
:Simple Summary
Abstract
1. Introduction
2. Materials and Methods
2.1. Preparation of Aqueous Extracts from E+ and E− Plants
2.2. Origin, Rearing and Preparation of the Pea Aphids
2.3. Bioassay
2.4. Statistical Analysis
3. Results
3.1. Alkaloid Content
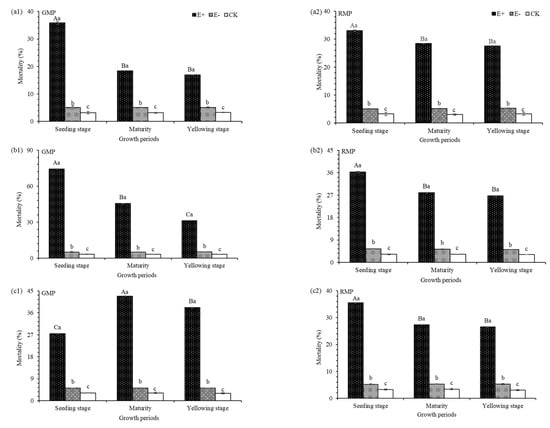
3.2. Mortality
3.3. The 1st Instar of F1 Pea Aphids
3.4. The 2nd Instar of F1 Pea Aphids
3.5. The 3rd Instar of the F1 Pea Aphids
3.6. The 4th Instar of the F1 Pea Aphids
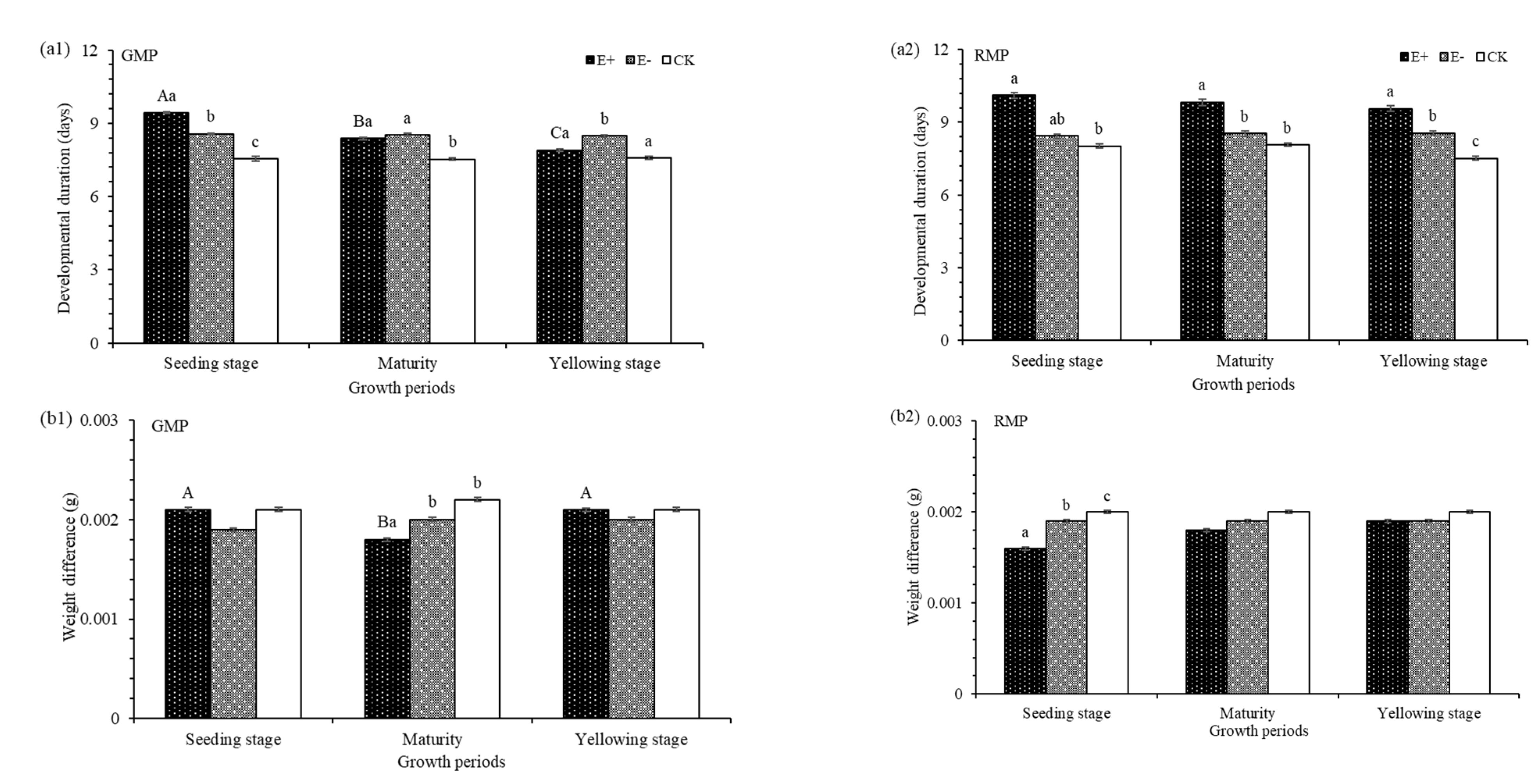
3.7. The Biological Parameters of the F1 Pea Aphids
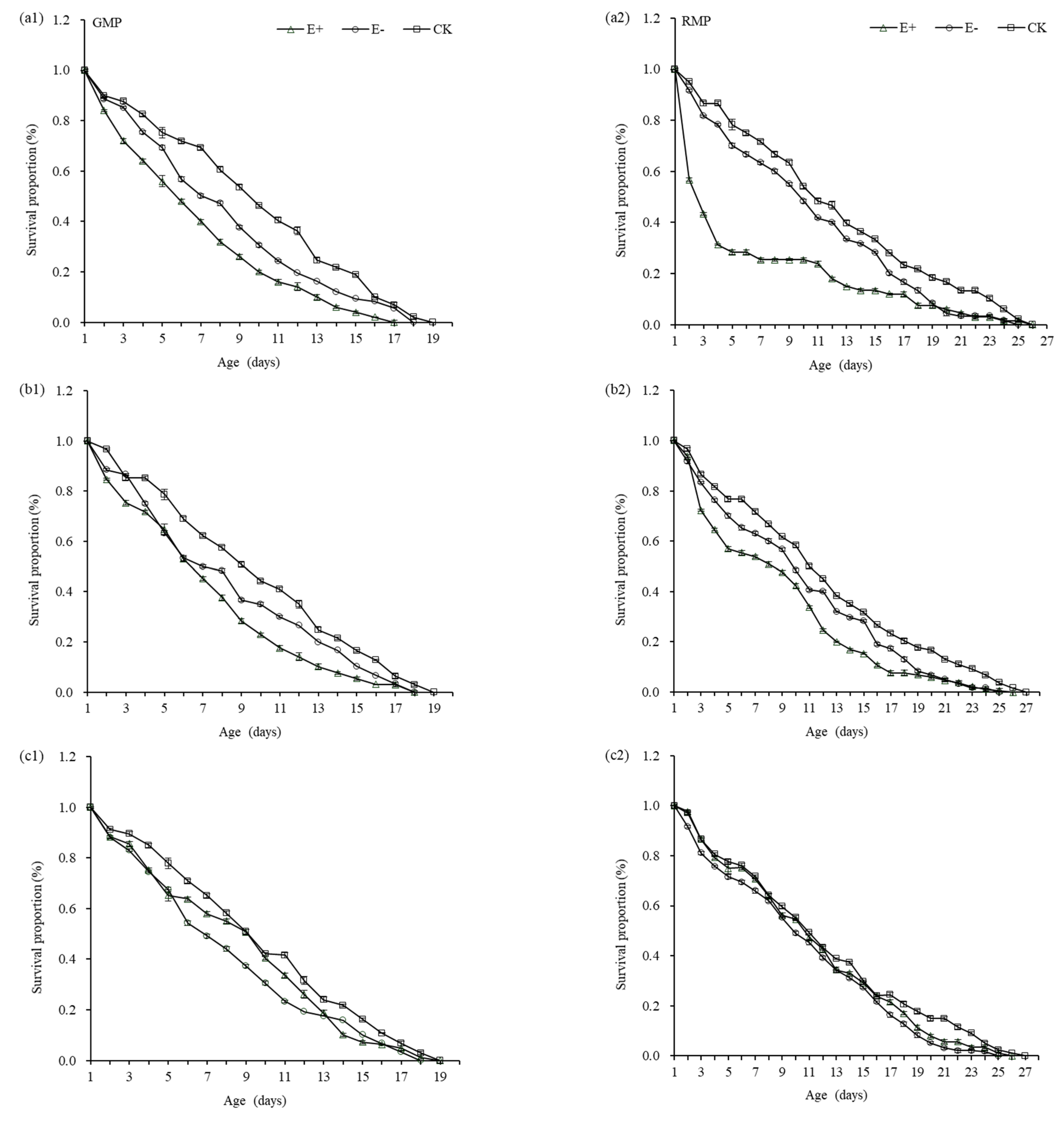
3.8. The Longevity and SP of the F1 Pea Aphids
4. Discussion
5. Conclusions
Author Contributions
Funding
Institutional Review Board Statement
Informed Consent Statement
Data Availability Statement
Conflicts of Interest
References
- Sun, Y.F.; Qiao, H.L.; Ling, Y.; Yang, S.X.; Rui, C.H.; Pelosi, P.; Yang, X.L. New analogues of (E)-β-farnesene with insecticidal activity and binding affinity to aphid odorant-binding proteins. J. Food Chem. 2011, 59, 2456–2461. [Google Scholar] [CrossRef]
- Filomena, D.B.; Lea, R.; Daniele, B.; Annalisa, G.; Terenzio, C.; Yu, F.S.; Patrizia, F. Expression pattern analysis of odorant-binding proteins in the pea aphid Acyrthosiphon pisum. Insect Sci. 2015, 22, 220–234. [Google Scholar]
- Du, S.Q.; Yang, Z.K.; Qin, Y.G.; Wang, S.S.; Duan, H.X.; Yang, X.L. Computational investigation of the molecular conformation-dependent binding mode of (E)-β-farnesene analogs with a heterocycle to aphid odorant-binding proteins. J. Mol. Modeling 2018, 24, 70. [Google Scholar] [CrossRef]
- Wu, J.X. Agricultural Entomology (Northern version). In Ecological Basis of Pest Control; China Agriculture Press: Beijing, China, 1999; pp. 40–45. [Google Scholar]
- Shi, Z.C. Important poisonous plants in Chinese Grassland, In Study Toxicol. Mech. Phytotoxin 1997, 166–176. [Google Scholar]
- Yao, X.; Chai, Q.; Chen, T.; Chen, Z.; Wei, X.; Bao, G.; Song, M.; Wei, W.; Zhang, X.; Li, C.; et al. Disturbance by grazing and the presence of rodents facilitates the dominance of the unpalatable grass Achnatherum inebrians in alpine meadows of northern China. Rangel. J. 2019, 41, 301–312. [Google Scholar] [CrossRef]
- Miles, C.O.; Lane, G.A.; diMenna, M.E.; Garthwaite, I.; Piper, E.L.; Ball, O.J.P.; Latch, G.C.M.; Allen, J.M.; Hunt, M.B.; Bush, L.P.; et al. High levels of ergonovine and lysergic acid amide in toxic Achnatherum inebrians accompany infection by an Acremonium-like endophytic fungus. J. Agric. Food Chem. 1996, 44, 1285–1290. [Google Scholar] [CrossRef]
- Zhang, X.X.; Li, C.J.; Nan, Z.B. Effects of cadmium stress on growth and anti-oxidative systems in Achnatherum inebrians symbiotic with Neotyphodium gansuense. J. Hazard. Mater. 2010, 175, 703–709. [Google Scholar] [CrossRef] [PubMed]
- Ma, Y.L.; Li, C.J. Effect of the contact activity and population parameters of aqueous extracts of the Achnatherum inebrians against the pea aphid Acyrthosiphon pisum. Acta Ecol. Sin. 2021, 41, 1492–1500. [Google Scholar]
- Clement, S.L.; Bradley, V.L.; Elberson, L.R.; Bragg, D.E.; Phillips, T.D. Cereal leaf beetle colonizes grass germplasm nurseries and impacts seed production activities. Forage Grazinglands 2009, 12. [Google Scholar] [CrossRef] [Green Version]
- Clement, S.L.; Elberson, L.R. Variable effects of grass-Neotyphodium associations on cereal leaf beetle (Coleoptera: Chrysomelidae) feeding, development and survival. J. Entomol. Sci. 2010, 45, 197–203. [Google Scholar] [CrossRef] [Green Version]
- Clement, S.L.; Hu, J.G.; Stewart, A.V.; Wang, B.; Elberson, L.R. Detrimental and neutral effects of a wild grass-fungal endophyte symbiotum on insect preference and performance. J. Insect Sci. 2011, 11, 77. [Google Scholar] [CrossRef]
- Shiba, T.; Sasaki, T.; Kasai, E. Resistance to the rice leaf bug (Trigonotylus caelestialium) is conferred by Neotyphodium endophyte infection of Italian ryegrass (Lolium multiflorum). Jpn. Soc. Grassl. Sci. 2007, 53, 205–209. [Google Scholar] [CrossRef]
- Roditakis, E.; Vasakis, E.; Grispou, M.; Stavrakaki, M.; Nauen, R.; Gravouil, M.; Bassi, A. First report of Tuta absoluta resistance to diamide insecticides. J. Pest Sci. 2015, 88, 9–16. [Google Scholar] [CrossRef]
- Soares, M.A.; Campos, M.R.; Passos, L.C.; Carvalho, G.A.; Haro, M.M.; Lavoir, A.V.; Biondi, A.; Zappala, L.; Desneux, N. Botanical insect cide and natural enemies: A potential combination for pest management against Tuta absoluta. J. Pest Sci. 2019, 92, 1433–1443. [Google Scholar] [CrossRef] [Green Version]
- Mossa, A.T.H. Green pesticides: Essential oils as biopesticides in insect-pest management. Environ. Sci. Technol. 2016, 9, 354–378. [Google Scholar] [CrossRef] [Green Version]
- Regnault-Roger, C.; Vincent, C.; Arnasson, J.T. Essential oils in insect control: Low-risk products in a high-stakes world. Annu. Rev. Entomol. 2012, 57, 405–425. [Google Scholar] [CrossRef] [PubMed]
- Campos, M.R.; Biondi, A.; Adiga, A.; Guedes, R.N.C.; Desneux, N. From the Western Palaearctic region to beyond: Tuta absoluta 10 years after invading Europe. Journal of Pest Science 2017, 90, 787–796. [Google Scholar] [CrossRef]
- Hiremath, I.G.; Ahn, Y.J.; Kim, S.I. Insecticidal activity of Indian plant extracts against Nilaparvata lugens (Homoptera: Delphacidae). Appl. Entomol. Zool. 1997, 32, 159–166. [Google Scholar] [CrossRef] [Green Version]
- Breuer, M.; Schmidt, G.H. Influence of a short period treatment with Melia azedarach extract on food intake and growth of the larvae of Spodoptera frugiperda (J. E. Smith) (Lep., Noctuidae). J. Plant Dis. Prot. 1995, 102, 633–654. [Google Scholar]
- Dimock, M.B.; Renwick, J.A.A. Oviposition by field populations of Pieris rapae (Lepidoptera: Pieridae) deterred by an extract of a wild crucifer. Environ. Entomol. 1991, 20, 802–806. [Google Scholar] [CrossRef]
- El-Ibrashy, M.T. Sterilization of the Egyptian cotton leafworm Spodoptera littoralis (Boisd.) with a foliage extract of Podocarpus gracilior. J. Appl. Entomol. 1974, 75, 107–109. [Google Scholar] [CrossRef]
- Hermawan, W.; Kajiyama, S.; Tsukuda, R.; Fujisaki, K.; Koboyashi, A.; Nakasuji, F. Antifeedant and antioviposition activities of the fraction of extract from a tropical plant, Andrographis paniculata (Acanthaceae), against the diamondback moth, Plutella xylostella (Lepidoptera:Yponomeutidae). Appl. Entomol. Zoolgy 1994, 29, 533–538. [Google Scholar] [CrossRef] [Green Version]
- Li, C.J.; Nan, Z.B.; Zhang, C.J.; Zhang, C.Y.; Zhang, Y.H. Effects of drunken horse grass infected with endophyte on Chinese rabbit. J. Agric. Sci. Technol. 2009, 11, 84–90. [Google Scholar]
- Shivendra, S. Effects of aqueous extract of neem seed kernel and azadirachtin on the fecundity, fertility and post-embryonic development. J. Appl. Entomol. 2003, 127, 540–547. [Google Scholar]
- Liang, Y.; Wang, H.C.; Li, C.J.; Nan, Z.B.; Li, F.D. Effects of feeding drunken horse grass infected with Epichloë gansuensis endophyte on animal performance, clinical symptoms and physiological parameters in sheep. BMC Vet. Res. 2017, 13, 223–229. [Google Scholar] [CrossRef] [Green Version]
- Biondi, A.; Desneux, N.; Siscaro, G.; Zappalà, L. Using organic-certified rather than synthetic pesticides may not be safer for biological control agents: Selectivity and side effects of 14 pesticides on the predator Orius laevigatus. Chemosphere 2012, 87, 803–812. [Google Scholar] [CrossRef] [PubMed]
- Gou, Y.P.; Guo, S.F.; Wang, G.; Liu, C.Z. Effects of short-term heat stress on the growth and development of Bradysia cellarum and Bradysia impatiens. J. Appl. Entomol. 2020, 144, 315–321. [Google Scholar] [CrossRef]
- Zhao, F.; Xing, K.; Ary, A.H.; Ma, C.S. The importance of timing of heat events for predicting the dynamics of aphid pest populations. Pest Manag. Sci. 2019, 75, 1866–1874. [Google Scholar] [CrossRef]
- Chi, B.J.; Zhang, X.H.; Shi, Q.H.; Wang, N.X.; Liu, L. Colored plastic films affect demographic characteristics of Aphis gossypii on cucumber plants. Int. J. Pest Manag. 2018, 64, 338–347. [Google Scholar] [CrossRef]
- Hu, Z.Q.; Kang, J.X.; Zhao, H.Y.; Tang, X.C.; Hu, X.S. Effect of UV-B radiation on biological characteristics of two body color of Sitobion apenae (Fab) offspring. Acta Ecol. Sin. 2010, 30, 1812–1816. [Google Scholar]
- Grace, J.B.; Anderson, T.M.; Ollf, H.; Scheiner, S.M. On the specification of structural equation models for ecological systems. Ecol. Monogr. 2010, 80, 67–87. [Google Scholar] [CrossRef] [Green Version]
- Li, X.Z.; Yao, X.; Li, C.J.; Nan, Z.B. Potential analysis of grass endophytes Neotyphodium as biocontrol agents. Chin. J. Plant Ecol. 2015, 39, 621–634. [Google Scholar]
- Blankenship, J.D.; Spiering, M.J.; Wilkinson, H.H.; Fannin, F.F.; Bush, L.P.; Schardl, C.L. Production of loline alkaloids by the grass endophyte, Neotyphodium uncinatum, in defined media. Phytochemistry 2001, 58, 395–401. [Google Scholar] [CrossRef]
- Li, C.J.; Nan, Z.B.; Volker, H.P.; Dapprich, P.D.; Liu, Y. A new Neotyphodium species symbiotic with drunken horse grass (Achnatherum inebrians) in China. Mycotaxon 2004, 90, 141–147. [Google Scholar]
- Zhang, X.X.; Li, C.J.; Nan, Z.B.; Matthew, C. Neotyphodium endophyte increases Achnatherum inebrians (drunken horse grass) resistance to herbivores and seed predators. Weed Res. 2012, 52, 70–78. [Google Scholar] [CrossRef]
- Gouvêa, S.M.; Carvalho, G.A.; Fidelis, E.G.; Ribeiro, A.V.; Farias, E.S.; Picanço, M.C. Effects of paracress (Acmella oleracea) extracts on the aphids Myzus persicae and Lipaphis erysimi and two natural enemies. Ind. Crops Prod. 2019, 128, 399–404. [Google Scholar] [CrossRef]
- Gao, P.; Liu, S.G.; Hou, T.P.; Hou, R.T.; Gao, R. Study on biological activity of daphnetin against aphid. Acta Ecol. Sinca 2001, 28, 265–268. [Google Scholar]
- Liu, H.P.; Zhang, T.W.; Liu, C.Z.; Yang, L.Q. Toxicity of ochamaejasmin 1.6% EW and its mixuere with three kinds of bactericides against Acyrthosiphon Pisum. Mod. Agrochem. 2019, 18, 42–44. [Google Scholar]
- Thieme, T.; Heimbach, U. Development and reproductive of cereal aphids (Homoptera: Aphididae) on winter wheat cultivals. IOBC/WPRS Bull. 1996, 19, 1–8. [Google Scholar]
- Zhong, G.H.; Hu, M.Y.; Weng, Q.F.; Ma, A.Q.; Xu, W.S. Laboratory and field evaluations of extracts from Rhododendron molle flowers as insect growth regulator to imported cabbage worm, Pieris rapae L. (Lepidoptera:Pieridae). J. Appl. Entomol. 2001, 125, 563–569. [Google Scholar] [CrossRef]
- Yu, Q.; Feng, Y.T.; Du, E.Q.; Guo, X.J.; Guo, G.M.; Zhang, R.X. Effects of different sub-lethal concentrations of two pesticides on growth, development and fecundity of Grapholita molesta (Busck). Plant Prot. 2018, 44, 101–104. [Google Scholar]
- You, L.; Wang, G.L.; Tian, S.G.; Wei, H.Y. Sublethal effects of four low-toxicity insecticides on the development and reproduction of the diamondback moth, Plutella xylostella (Lepidoptera: Plutellidae). Acta Phytophylacica Sin. 2013, 6, 551–556. [Google Scholar]
- Quan, L.F.; Zhang, H.J.; Sun, L.; Li, Y.Y.; Yan, W.T.; Yue, Q.; Qiu, G.S. Research advances in sublethal effect of pesticide. J. Agric. 2016, 6, 33–38. [Google Scholar]
- Wang, X.Q.; Liu, C.Z.; Qi, F.P.; Li, Y.H. Effects of sublethal dosage of imidacloprid on the growth, development and population, parameter of two color morphs of pea aphid. Acta Agrestia Sin. 2014, 22, 1110–1116. [Google Scholar]






| Alkaloids (mg/kg) | Seeding Stage | Maturity | Yellowing Stage | |||
|---|---|---|---|---|---|---|
| E+ | E− | E+ | E− | E+ | E− | |
| ergometrine | 19.60 | ND | 12.80 | ND | 6.30 | ND |
| ergonovine | ND | ND | ND | ND | ND | ND |
| Morphs | Factors | df (x, y) 1 | 24 h | 48 h | 72 h | |||
|---|---|---|---|---|---|---|---|---|
| F | p | F | p | F | p | |||
| GMP | G | 2, 891 | 326.39 | <0.001 | 4124.51 | <0.001 | 739.96 | <0.001 |
| T | 2, 891 | 3212.62 | <0.001 | 54931.30 | <0.001 | 36638.42 | <0.001 | |
| G∗T | 4, 891 | 340.69 | <0.001 | 4127.97 | <0.001 | 736.76 | <0.001 | |
| RMP | G | 2, 891 | 28.80 | <0.001 | 123.16 | <0.001 | 224.36 | <0.001 |
| T | 2, 891 | 6868.93 | <0.001 | 12811.79 | <0.001 | 18077.88 | <0.001 | |
| G∗T | 4, 891 | 31.77 | <0.001 | 121.66 | <0.001 | 225.07 | <0.001 | |
| Morphs | Factors | 1st Instar | 2nd Instar | 3rd Instar | 4th Instar | ||||||||
|---|---|---|---|---|---|---|---|---|---|---|---|---|---|
| df (x, y) | F | p | df (x, y) | F | p | df (x, y) | F | p | df (x, y) | F | p | ||
| GMP | G | 2, 544 | 7.07 | 0.001 | 2, 379 | 39.82 | <0.001 | 2, 316 | 22.16 | <0.001 | 2, 288 | 4.54 | 0.011 |
| T | 2, 544 | 14.31 | <0.002 | 2, 379 | 28.02 | <0.001 | 2, 316 | 31.19 | <0.001 | 2, 288 | 17.72 | <0.001 | |
| G∗T | 4, 544 | 2.68 | 0.031 | 4, 379 | 10.46 | <0.001 | 4, 316 | 6.51 | <0.001 | 4, 288 | 2.37 | 0.053 | |
| RMP | G | 2, 613 | 2.25 | 0.106 | 2, 459 | 14.78 | <0.001 | 2, 404 | 8.81 | <0.001 | 2, 354 | 0.46 | 0.630 |
| T | 2, 613 | 25.55 | <0.001 | 2, 459 | 12.21 | <0.001 | 2, 404 | 5.14 | 0.006 | 2, 354 | 10.41 | <0.001 | |
| G∗T | 4, 613 | 1.35 | 0.252 | 4, 459 | 1.740 | 0.140 | 4, 404 | 4.54 | 0.001 | 4, 354 | 4.18 | 0.003 | |
| Morphs | Factors | df (x, y) | Developmental Duration (DD) | Weight Difference (WD) | Mean Relative Growth Rate (MRGR) | |||
|---|---|---|---|---|---|---|---|---|
| F | p | F | p | F | p | |||
| GMP | G | 2, 230 | 45.55 | <0.001 | 5.98 | 0.003 | 82.45 | <0.001 |
| T | 2, 230 | 117.27 | <0.001 | 3.69 | 0.026 | 41.40 | <0.001 | |
| G∗T | 4, 230 | 24.30 | <0.001 | 8.79 | <0.001 | 6.31 | <0.001 | |
| RMP | G | 2, 318 | 15.34 | <0.001 | 0.39 | 0.675 | 3.15 | <0.044 |
| T | 2, 318 | 181.36 | <0.001 | 2.52 | 0.082 | 61.10 | <0.001 | |
| G∗T | 4, 318 | 5.67 | <0.001 | 0.46 | 0.768 | 2.78 | 0.027 | |
| Morphs | Factors | Longevity | Survival Proportion | ||||
|---|---|---|---|---|---|---|---|
| df (x, y) | F | p | df (x, y) | F | p | ||
| GMP | G | 2, 200 | 11.86 | <0.001 | 2, 164 | 0.168 | 0.846 |
| T | 2, 200 | 15.89 | <0.001 | 2, 164 | 0.544 | 0.581 | |
| G∗T | 4, 200 | 2.41 | 0.051 | 4, 164 | 0.041 | 0.997 | |
| RMP | G | 2, 299 | 1.13 | 0.326 | 2, 225 | 1.661 | 0.192 |
| T | 2, 299 | 10.12 | <0.001 | 2, 225 | 5.777 | 0.004 | |
| G∗T | 4, 299 | 0.261 | 0.903 | 4, 225 | 0.302 | 0.876 | |
Publisher’s Note: MDPI stays neutral with regard to jurisdictional claims in published maps and institutional affiliations. |
© 2021 by the authors. Licensee MDPI, Basel, Switzerland. This article is an open access article distributed under the terms and conditions of the Creative Commons Attribution (CC BY) license (https://creativecommons.org/licenses/by/4.0/).
Share and Cite
Ma, Y.; Li, C.; White, J.F. Effects of Aqueous Extracts of Endophyte-Infected Grass Achnatherum inebrians on Growth and Development of Pea Aphid Acyrthosiphon pisum. Insects 2021, 12, 944. https://doi.org/10.3390/insects12100944
Ma Y, Li C, White JF. Effects of Aqueous Extracts of Endophyte-Infected Grass Achnatherum inebrians on Growth and Development of Pea Aphid Acyrthosiphon pisum. Insects. 2021; 12(10):944. https://doi.org/10.3390/insects12100944
Chicago/Turabian StyleMa, Yaling, Chunjie Li, and James F. White. 2021. "Effects of Aqueous Extracts of Endophyte-Infected Grass Achnatherum inebrians on Growth and Development of Pea Aphid Acyrthosiphon pisum" Insects 12, no. 10: 944. https://doi.org/10.3390/insects12100944
APA StyleMa, Y., Li, C., & White, J. F. (2021). Effects of Aqueous Extracts of Endophyte-Infected Grass Achnatherum inebrians on Growth and Development of Pea Aphid Acyrthosiphon pisum. Insects, 12(10), 944. https://doi.org/10.3390/insects12100944

