Does Tap Water Quality Compromise the Production of Aedes Mosquitoes in Genetic Control Projects?
Abstract
Simple Summary
Abstract
1. Introduction
2. Materials and Methods
2.1. Source of Experimental Mosquitoes
2.2. Preparation of Water Media and Determination of Their Hardness/Electrical Conductivity and pH
2.3. Assessment of the Effects of Water Treatments on Larval Development and Adult Quality
2.4. Assessment of the Effects of Water Treatments on Larval Development and Production with Low Food Quantity
2.5. Statistical Analysis
3. Results
3.1. Hardness, Electrical Conductivity and pH of the Rearing Media
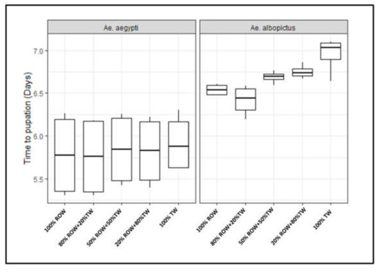
3.2. Effects of Water Treatments on Time to Pupation
3.3. Effects of Water Treatments on Pupal Production, Emergence Rate and Adult Production
3.4. Effects of Water Treatments on Adult Body Size
3.5. Effects of Water Treatments on Adult Longevity
3.6. Effects of Water Treatments on Time to Pupation, Pupation and Emergence Rates at Low Feeding Amounts
4. Discussion
5. Conclusions
Supplementary Materials
Author Contributions
Funding
Data Availability Statement
Conflicts of Interest
References
- Gillis, P.; Mitchell, R.; Schwalb, A.; McNichols, K.; Mackie, G.; Wood, C.; Ackerman, J. Sensitivity of the glochidia (larvae) of freshwater mussels to copper: Assessing the effect of water hardness and dissolved organic carbon on the sensitivity of endangered species. Aquat. Toxicol. 2008, 88, 137–145. [Google Scholar] [CrossRef] [PubMed]
- Oyewole, I.; Momoh, O.; Anyasor, G. Physico-chemical characteristics of Anopheles breeding sites: Impact on fecundity and progeny development. Afr. J. Environ. Sci. Technol. 2009, 3, 447–452. [Google Scholar]
- Mwangangi, J.; Mbogo, C.; Muturi, E.; Nzovu, J.; Kabiru, E.; Githure, J.; Novak, R.; Beier, J. Influence of biological and physico-chemical characteristics of larval habitats on the body size of Anopheles gambiae mosquitoes (Diptera: Culicidae) along the Kenyan coast. J. Vect. Borne Dis. 2007, 44, 122–127. [Google Scholar]
- Minakawa, N.; Mutero, C.; Githure, J.; Beier, J.; Yan, G. Spatial distribution and habitat characterization of anopheline mosquito larvae in western Kenya. Am. J. Trop. Med. Hyg. 1999, 61, 1010–1016. [Google Scholar] [CrossRef]
- Olayemi, I.; Omalu, I.; Famotele, O.; Shegna, S.; Idris, B. Distribution of mosquito larvae in relation to physico-chemical characteristics of breeding habitats in Minna, north central Nigeria. Rev. Infect. 2010, 1, 49–53. [Google Scholar]
- Dejenie, T.; Yohannes, M.; Assmelash, T. Characterization of mosquito breeding sites in and in the vicinity of Tigray microdams. Ethiop. J. Health Sci. 2011, 21, 57–66. [Google Scholar] [CrossRef]
- Kenea, O.; Balkew, M.; Gebre-Michael, T. Environmental factors associated with larval habitats of anopheline mosquitoes (Diptera: Culicidae) in irrigation and major drainage areas in the middle course of the Rift Valley, central Ethiopia. J. Vect. Borne Dis. 2011, 48, 85–92. [Google Scholar]
- Cohen, A. Ecology of insect rearing systems: A mini-review of insect rearing papers from 1906–2017. Adv. Entomol. 2018, 6, 86–115. [Google Scholar] [CrossRef]
- Zheng, X.; Zhang, D.; Li, Y.; Yang, C.; Wu, Y.; Liang, X.; Liang, Y.; Pan, X.; Hu, L.; Sun, Q.; et al. Incompatible and sterile insect techniques combined eliminate mosquitoes. Nature 2019, 572, 56–61. [Google Scholar] [CrossRef]
- Crawford, J.; Clarke, D.; Criswell, V.; Desnoyer, M.; Cornel, D.; Deegan, B.; Gong, K.; Hopkins, K.; Howell, P.; Hyde, J.; et al. Efficient production of male Wolbachia-infected Aedes aegypti mosquitoes enables large-scale suppression of wild populations. Nat. Biotechnol. 2020, 38, 482–492. [Google Scholar] [CrossRef]
- Spitzen, J.; Takken, W. Malaria mosquito rearing—Maintaining quality and quantity of laboratory-reared insects. Proc. Neth. Entomol. Soc. Meet. 2005, 16, 95–100. [Google Scholar]
- Alam, J.B.; Islam, M.R.; Muyen, Z.; Mamun, M.; Islam, S. Water quality parameters along rivers. Int. J. Environ. Sci. Tech. 2007, 4, 159–167. [Google Scholar] [CrossRef]
- Gorde, S.P.; Jadhav, M.V. Assessment of water quality parameters: A review. Int. J. Eng. Res. Appl. 2013, 3, 2029–2035. [Google Scholar]
- Rahmanian, N.; Ali, S.H.B.; Homayoonfard, M.; Ali, N.J.; Rehan, M.; Sadef, Y.; Nizami, S.S. Analysis of physiochemical parameters to evaluate the drinking water quality in the State of Perak, Malaysia. J. Chem. 2015. [Google Scholar] [CrossRef]
- Milad, K.; Mohammed, S.; Seyed, A. Effects of water hardness on egg hatchability and larval viability of angelfish (Pterophyllum scalare). Int. J. Res. Fish. Aquac. 2011, 1, 6–10. [Google Scholar]
- Luo, S.; Wu, B.; Xiong, X.; Wang, J. Effects of total hardness and calcium:magnesium ratio of water during early stages of rare minnows (Gobiocypris rarus). Comp. Med. 2016, 66, 181–187. [Google Scholar]
- Byrne, C.; Troy, D.; Buckley, D. Postmortem changes in muscle electrical properties of bovine M. longissimus dorsi and their relationship to meat quality attributes and pH fall. Meat Sci. 2000, 54, 23–34. [Google Scholar]
- Rodier, J. Analysis of Water; Edition Dunod: Paris, France, 1976. [Google Scholar]
- Lounibos, L. Invasions by insect vectors of human disease. Ann. Rev. Entomol. 2002, 47, 233–266. [Google Scholar] [CrossRef]
- Bellini, R.; Medici, A.; Puggioli, A.; Balestrino, F.; Carrieri, M. Pilot field trials with Aedes albopictus irradiated sterile males in Italian urban areas. J. Med. Entomol. 2013, 50, 317–325. [Google Scholar] [CrossRef]
- Pleydell, D.; Bouyer, J. Biopesticies improve efficiency of the sterile insect technique for controlling mosquito-driven dengue epidemics. Comm. Biol. 2019, 2, 201. [Google Scholar] [CrossRef]
- Bouyer, J.; Yamada, H.; Pereira, R.; Bourtzis, K.; Vreysen, M. Phased conditional approach for mosquito management using sterile insect technique. Trends Parasitol. 2020, 36, 325–336. [Google Scholar] [CrossRef] [PubMed]
- WHO; IAEA. Guidance Framework for Testing the Sterile Insect Technique (SIT) as a Vector Control Tool against Aedes-Borne Diseases; WHO: Geneva, Switzerland; IAEA: Vienna, Austria, 2020; p. 190. [Google Scholar]
- Mamai, W.; Hood-Nowotny, R.; Maiga, H.; Ali, A.; Somda, N.B.; Soma, D.; Yamada, H.; Lees, R.; Gilles, J. Reverse osmosis and ultrafiltration for recovery and reuse of larval rearing water in Anopheles arabiensis mass production: Effect of water quality on larval development and fitness of emerging adults. Acta Trop. 2017, 170, 126–133. [Google Scholar] [PubMed]
- Mamai, W.; Lobb, L.; Somda, N.B.; Maiga, H.; Yamada, H.; Lees, R.; Bouyer, J.; Gilles, J. Optimization of mass-rearing methods for Anopheles arabiensis larval stages: Effects of rearing water temperature and larval density on mosquito life-history traits. J. Econ. Entomol. 2018, 111, 2383–2390. [Google Scholar] [CrossRef] [PubMed]
- Profitós, J.; Mouhaman, A.; Lee, S.; Garabed, R.; Moritz, M.; Piperata, B.; Tien, J.; Bisesi, M.; Lee, J. Muddying the waters: A new area of concern for drinking water contamination in Cameroon. Int. J. Environ. Res. Public Health 2014, 11, 12454–12472. [Google Scholar] [CrossRef] [PubMed]
- FAO; IAEA. Guidelines for Standardised Mass Rearing for Anopheles Mosquitoes, Version 1.0. 2017. Available online: http://www-naweb.iaea.org/nafa/ipc/public/manuals-ipc.html (accessed on 20 May 2020).
- FAO; IAEA. Guidelines for Mass-Rearing of Aedes Mosquitoes. Version 1.0. 2020. Available online: http://www-naweb.iaea.org/nafa/ipc/public/manuals-ipc.html (accessed on 20 May 2020).
- Udhayakumar, R.; Manivannan, P.; Raghu, K.; Vaideki, S. Assessment of physico-chemical characteristics of water in Tamilnadu. Ecotox. Environal. Safe. 2016, 134, 474–477. [Google Scholar] [CrossRef]
- Toure, A.; Wenbiao, D.; Keita, Z. An investigation of some water quality properties from different sources in Pelengana commune, Segou, Mali. J. Water. Sanit. Hyg. Dev. 2018, 8, 449–458. [Google Scholar] [CrossRef]
- Akpodiete, N.; Diabate, A.; Tripet, F. Effect of water source and feed regime on development and phenotypic quality in Anopheles gambiae (s.l.): Prospects for improved mass-rearing techniques towards release programmes. Parasite Vect. 2019, 12, 210. [Google Scholar] [CrossRef]
- Ukubuiwe, A.; Ojianwuna, C.; Olayemi, I.; Arimoro, F.; Ukubuiwe, C. Quantifying the roles of water pH and hardness levels in development and biological fitness indices of Culex quinquefasciatus Say (Diptera: Culicidae). J. Basic. Appl. Zool. 2020, 81, 5. [Google Scholar] [CrossRef]
- Maïga, H.; Mamai, W.; Somda, N.B.B.; Konczal, A.; Wallner, T.; Herranz, G.; Herrero, R.; Yamada, H.; Bouyer, J. Reducing the cost and assessing the performance of a novel adult mass-rearing cage for the dengue, chikungunya, yellow fever and Zika vector, Aedes aegypti (Linnaeus). PLoS. Negl. Trop. Dis. 2019, 13, e0007775. [Google Scholar] [CrossRef]
- Mamai, W.; Somda, N.B.; Maiga, H.; Konczal, A.; Wallner, T.; Bakhoum, M.; Yamada, H.; Bouyer, J. Black soldier fly (Hermetia illucens) larvae powder as a larval diet ingredient for mass-rearing Aedes mosquitoes. Parasite 2019, 26, 57. [Google Scholar] [CrossRef]
- Mamai, W.; Maiga, H.; Somda, N.B.; Wallner, T.; Konczal, A.; Yamada, H.; Bouyer, J. Aedes aegypti larval development and pupal production in the FAO/IAEA mass-rearing rack and factors influencing sex sorting efficiency. Parasite 2020, 27, 43. [Google Scholar] [CrossRef] [PubMed]
- Somda, N.B.; Maïga, H.; Mamai, W.; Yamada, H.; Ali, A.; Konczal, A.; Gnankiné, O.; Diabaté, A.; Sanon, A.; Dabiré, K.; et al. Insects to feed insects-feeding Aedes mosquitoes with flies for laboratory rearing. Sci. Rep. 2019, 9, 11403. [Google Scholar] [CrossRef] [PubMed]
- Laird, N.; Ware, J. Random-effects models for longitudinal data. Biometrics 1982, 38, 963–974. [Google Scholar] [CrossRef] [PubMed]
- WHO. Hardness in Drinking-Water: Background Document for Development of WHO Guidelines for Drinking-Water Quality. 2011. Available online: https://apps.who.int/iris/handle/10665/70168 (accessed on 10 June 2020).
- Muirhead-Thomson, R. The ecology of vector snail habitats and mosquito breedings-places: The experimental approach to basic problems. Bull. World Health Organ. 1958, 19, 637–659. [Google Scholar]
- Briegel, H. Physiological bases of mosquito ecology. J. Vector. Ecol. 2003, 28, 1–11. [Google Scholar]
- Mutero, C.; Ng’ang’a, P.; Wekoyela, P.; Githure, J.; Konradsen, F. Ammonium sulphate fertilizer increases larval populations of Anopheles arabiensis and culicine mosquitoes in rice fields. Acta Trop. 2004, 89, 187–192. [Google Scholar]
- Mwangangia, J.; Mbogo, C.; Muturi, E.; Nzovu, J.; Githure, J.; Noboru, G.; Novak, M.; John, C. Spatial distribution and habitat characterisation of Anopheles larvae along the Kenyan coast. J. Vect. Borne Dis. 2007, 44, 44–51. [Google Scholar]
- Muturi, J.; Mwangangi, J.; Shililu, J.; Jacob, G.; Mbogo, C.; Githure, J.; Novak, J.J. Environmental factors associated with the distribution of Anopheles arabiensis and Culex quinquefasciatus in a rice agroecosystem in Mwea, Kenya. J. Vect. Ecol. 2008, 33, 56–63. [Google Scholar] [CrossRef]
- Beukeboom, L. Size matters in insects—An introduction. Entomol. Exp. Appl. 2018, 166, 2–3. [Google Scholar] [CrossRef]
- FAO; IAEA; USDA. Product Quality Control for Sterile Mass-Reared and Released Tephritid Fruit Flies, Version 6.0; FAO: Rome, Italy; IAEA: Vienna, Austria; USDA: Washington, DC, USA, 2014.
- Hurd, H.; Hogg, J.; Renshaw, M. Interactions between bloodfeeding, fecundity and infection in mosquitoes. Parasitol. Today. 1995, 11, 411–416. [Google Scholar] [CrossRef]
- Ramasamy, R.; Surendran, S.; Jude, P.; Dharshini, S.; Vinobaba, M. Larval development of Aedes aegypti and Aedes albopictus in peri-urban brackish water and its implications for transmission of arboviral diseases. PLoS. Negl. Trop. Dis. 2011, 5, e1369. [Google Scholar] [CrossRef] [PubMed]
- Brady, O.; Johansson, M.; Guerra, C.; Bhatt, S.; Golding, N.; Pigott, D.; Delatte, H.; Grech, M.; Leisnham, P.; Maciel-de-Freitas, R.; et al. Modelling adult Aedes aegypti and Aedes albopictus survival at different temperatures in laboratory and field settings. Parasite Vect. 2013, 6, 351. [Google Scholar] [CrossRef] [PubMed]
- Braks, M.; Honório, N.; Lounibos, L.; Lourenço-De-Oliveira, R.; Juliano, S. Interspecific competition between two invasive species of container mosquitoes, Aedes aegypti and Aedes albopictus (Diptera: Culicidae), in Brazil. Ann. Entomol. Soc. Am. 2004, 97, 130–139. [Google Scholar] [CrossRef]
- Wigglesworth, V. The adaptation of mosquito larvae to salt water. J. Exp. Biol. 1933, 10, 27–37. [Google Scholar]
- Yasin, M.; Ketema, T.; Bacha, K. Physico-chemical and bacteriological quality of drinking water of different sources, Jimma zone, Southwest Ethiopia. BMC Res. Notes 2015, 8, 541. [Google Scholar] [CrossRef] [PubMed]
- De-Giglio, O.; Quaranta, A.; Lovero, G.; Caggiano, G.; Montagna, M. Mineral water or tap water? An endless debate. Ann. Ig. 2015, 27, 58–65. [Google Scholar] [PubMed]
- Donini, A.; Gaidhu, M.; Strasberg, D.; O’Donnell, M. Changing salinity induces alterations in hemolymph ion concentrations and Na+ and Cl- transport kinetics of the anal papillae in the larval mosquito, Aedes aegypti. J. Basic. Appl. Zool. 2007, 210, 983–992. [Google Scholar] [CrossRef]
- Bradley, T.; Phillips, J. The secretion of hyperosmotic fluid by the rectum of a saline-water mosquito larva, Aedes taeniorhynchus. J. Exp. Biol. 1975, 63, 331–342. [Google Scholar]
- Bradley, T.; Phillips, J. The effect of external salinity on drinking rates and rectal secretion in the larvae of the saline-water mosquito larva, Aedes taeniarhynchus. J. Exp. Biol. 1977, 66, 97–110. [Google Scholar]
- Nicholson, S.; Leader, J. The permeability to water of the cuticle of the larva of Opifexfucus (Hutton) (Diptera, Culicidae). J. Exp. Biol. 1974, 60, 593–604. [Google Scholar]
- Charmantier, G.; Charmantier-Daures, M.; Towle, D. Osmotic and Ionic Regulation in Aquatic Arthropods. In Osmotic and Ionic Regulation: Cells and Animals; Evans, D.H., Ed.; CRC Press: Boca Raton, FL, USA, 2009. [Google Scholar]
- Kengne, P.; Charmantier, G.; Blondeau-Bidet, E.; Costantini, C.; Ayala, D. Tolerance of disease-vector mosquitoes to brackish water and their osmoregulatory ability. Ecosphere 2019, 10, e02783. [Google Scholar] [CrossRef]
- Rono, M.; Muturi, C.; Ochieng, R.; Mwakubabanya, R.; Wachira, F.; Mwangangi, J.; Kinyanjui, S.; Njunge, J.; Mireji, P. Cadmium tolerance pathway in Anopheles gambiae senso stricto. Acta Trop. 2019, 198, 105033. [Google Scholar] [PubMed]
- Botella-Cruz, M.; Pallarés, S.; Millán, A.; Velasco, J. Role of cuticle hydrocarbons composition in the salinity tolerance of aquatic beetles. J. Insect Physiol. 2019, 117, 103899. [Google Scholar] [CrossRef] [PubMed]
- Kourghi, M.; Nourmohammadi, S.; Pei, J.; Qiu, J.; McGaughey, S.; Tyerman, S.; Byrt, C.; Yool, A. Divalent cations regulate the ion conductance properties of diverse classes of aquaporins. Int. J. Mol. Sci. 2017, 18, 2323. [Google Scholar] [CrossRef] [PubMed]
- Bouyer, J.; Culbert, N.; Dicko, A.; Gomez-Pacheco, M.; Virginio, J.; Pedrosa, M.; Garziera, L.; Macedo-Pinto, A.; Klaptocz, A.; Germann, J.; et al. Field performance of sterile male mosquitoes released from an uncrewed aerial vehicle. Sci. Robot. 2020, 5, eaba6251. [Google Scholar] [CrossRef] [PubMed]



| Parameters | 100% ROW | 80%ROW + 20%TW | 50%ROW + 50%TW | 20%ROW + 80%TW | 100% TW | |
|---|---|---|---|---|---|---|
| Hardness Dosatest® hardness test strips | (mmol/m3) | 0–0.3 | 0.7–1.2 | 1.4–2.5 | 2.8–3.7 | 3.7–4 |
| (mg/L CaCO3) | 0–30.03 | 70.06–120.11 | 140.13–250.23 | 280.25–370.33 | 370.33–400.36 | |
| Conductivity | (µS/cm) | 11.04 ± 0.01 | 154.53 ± 0.10 | 368.45 ± 0.14 | 557.83 ± 0.17 | 686.50 ± 0.23 |
| pH | 5.85 ± 0.005 | 6.82 ± 0.005 | 7.09 ± 0.005 | 7.24 ± 0.006 | 7.32 ± 0.006 | |
| Species | Sex | Parameters | 100% ROW | 80%ROW + 20%TW | 50%ROW + 50%TW | 20%ROW + 80%TW | 100% TW |
|---|---|---|---|---|---|---|---|
| Ae. aegypti | Males | Mean | 23.05 ± 3.12 | 23.68 ± 3.28 | 23.88 ± 4.06 | 28.08 ± 6.47 | 23.05 ± 4.91 |
| Median | 24 | 22 | 23 | 28.5 | 24 | ||
| Females | Mean | 25.50 ± 4.75 | 25.73 ± 3.43 | 26.86 ± 3.25 | 24.70 ± 3.64 | 25.25 ± 3.85 | |
| Median | 27 | 27 | 27 | 27 | 24 | ||
| Ae. albopictus | Males | Mean | 39.00 ± 7.36 | 34.90 ± 4.88 | 36.70 ± 6.50 | 30.00 ± 6.35 | 32.21 ± 4.92 |
| Median | 42 | 31 | 38 | 30 | 34 | ||
| Females | Mean | 39.50 ± 6.43 | 43.51 ± 5.70 | 38.90 ± 4.84 | 35.24 ± 5.60 | 34.21 ± 6.65 | |
| Median | 41.5 | 43 | 41 | 37 | 36 |
| Species | 100% ROW | 80%ROW + 20%TW | 50%ROW + 50%TW | 20%ROW + 80%TW | 100% TW | |
|---|---|---|---|---|---|---|
| Aedes aegypti | Time to pupation | 7.09 ± 0.08 a | 7.22 ± 0.04 a | 7.26 ± 0.08 a | 7.22 ± 0.08 a | 7.04 ± 0.15 a |
| Pupation % | 77.93 ± 3.74 a | 62.56 ± 712 b | 64.63 ± 3.67 b | 51.06 ± 6.26 b | 52.38 ± 6.22 b | |
| Emergence % | 98.48 ± 0.42 a | 98.92 ± 0.40 a | 98.50 ± 0.30 a | 98.36 ± 0.37 a | 98.68 ± 0.41 a | |
| Aedes albopictus | Time to pupation | 7.97 ± 0.05 a | 8.06 ± 0.03 a | 7.94 ± 0.01 a | 8.24 ± 0.04 b | 8.21 ± 0.11 b |
| Pupation % | 89.88 ± 1.19 a | 87.13 ± 1.30 b | 83.67 ± 1.48 b | 83.75 ± 2.09 b | 74.00 ± 9.26 b | |
| Emergence % | 99.01 ± 0.85 a | 99.51 ± 0.33 a | 98.53 ± 1.70 a | 99.46 ± 0.36 a | 99.51 ± 0.34 a |
Publisher’s Note: MDPI stays neutral with regard to jurisdictional claims in published maps and institutional affiliations. |
© 2021 by the authors. Licensee MDPI, Basel, Switzerland. This article is an open access article distributed under the terms and conditions of the Creative Commons Attribution (CC BY) license (http://creativecommons.org/licenses/by/4.0/).
Share and Cite
Mamai, W.; Maiga, H.; Bimbilé Somda, N.S.; Wallner, T.; Masso, O.B.; Resch, C.; Yamada, H.; Bouyer, J. Does Tap Water Quality Compromise the Production of Aedes Mosquitoes in Genetic Control Projects? Insects 2021, 12, 57. https://doi.org/10.3390/insects12010057
Mamai W, Maiga H, Bimbilé Somda NS, Wallner T, Masso OB, Resch C, Yamada H, Bouyer J. Does Tap Water Quality Compromise the Production of Aedes Mosquitoes in Genetic Control Projects? Insects. 2021; 12(1):57. https://doi.org/10.3390/insects12010057
Chicago/Turabian StyleMamai, Wadaka, Hamidou Maiga, Nanwintoum Sévérin Bimbilé Somda, Thomas Wallner, Odet Bueno Masso, Christian Resch, Hanano Yamada, and Jérémy Bouyer. 2021. "Does Tap Water Quality Compromise the Production of Aedes Mosquitoes in Genetic Control Projects?" Insects 12, no. 1: 57. https://doi.org/10.3390/insects12010057
APA StyleMamai, W., Maiga, H., Bimbilé Somda, N. S., Wallner, T., Masso, O. B., Resch, C., Yamada, H., & Bouyer, J. (2021). Does Tap Water Quality Compromise the Production of Aedes Mosquitoes in Genetic Control Projects? Insects, 12(1), 57. https://doi.org/10.3390/insects12010057

