Abstract
Preventive maintenance treatments are widely applied to asphalt pavements to mitigate deterioration and extend service life. This study evaluated four common technologies: a high-elasticity ultra-thin overlay, an Stone Mastic Asphalt (SMA)-10 thin overlay, micro-surfacing (MS-III), and a chip seal. Laboratory testing focused on skid resistance, surface texture, and low-temperature cracking resistance. Skid resistance was measured with a tire–pavement dynamic friction analyzer under controlled load and speed, while surface macrotexture was assessed using a laser scanner. Low-temperature cracking resistance was determined through three-point bending beam tests at −10 °C. The results showed that chip seal achieved the highest initial friction and texture depth, immediately enhancing skid resistance but exhibiting rapid texture loss and gradual friction decay. Micro-surfacing also demonstrated good initial skid resistance but experienced a sharp reduction of over 30% due to fine aggregate polishing. By contrast, the high-elastic ultra-thin overlay and SMA thin overlay provided more stable skid resistance, lower long-term friction loss, and excellent crack resistance. The polymer-modified ultra-thin overlay achieved the highest low-temperature bending strain ≈40% higher than untreated pavement, indicating superior crack resistance, followed by the SMA thin overlay. Micro-surfacing with a chip seal layer only slightly improved low-temperature performance. Overall, the high-elastic ultra-thin overlay proved to be the most balanced preventive maintenance option under heavy-load traffic and cold climate conditions, combining durable skid resistance with enhanced crack resistance.
1. Introduction
Increasing traffic volume and extreme climatic conditions have exacerbated the deterioration of high-volume highway pavements, posing a threat to driving safety and pavement life [,,,,,]. Ensuring adequate skid resistance is critical to road safety, as insufficient pavement friction increases the risk of accidents. Therefore, preventive maintenance has become a widely adopted strategy in pavement management to restore pavement condition, delay deterioration, and extend pavement service life [,,]. Unlike large-scale repairs, preventive maintenance (PM) treatment is carried out early in the pavement’s service life to treat minor surface defects in a cost-effective manner and maintain its functional performance [,,]. Common asphalt pavement preventive maintenance techniques include thin overlay, surface sealing, and regeneration. Among them, microsurfacing is a commonly used preventive maintenance technique that has been widely used in the United States, Europe, and other regions since the 1980s due to its cost-effectiveness and rapidity [,,]. In China, microsurfacing has been widely used as an effective pavement texture and skid resistance method in the past few decades [,,]. However, thin surface layers such as microsurfacing may exhibit faster polishing and texture loss under sustained truck traffic, which has prompted the development of more robust thin overlay technologies. Ultra-thin asphalt overlays, such as NovaChip and other types [], have gained popularity in the pavement maintenance field due to their rapid application and improved performance. These ultra-thin overlays use graded sand and gravel or mastic mixes and modified binders and have been used in many countries, including China, due to their economic and engineering benefits [,,]. Recent studies have shown that the use of high-quality aggregates and polymer-modified binders in ultra-thin wearing layers can significantly improve skid resistance and overall durability [,,].
To evaluate and compare the effectiveness of different preventive maintenance measures, several performance aspects need to be considered: skid resistance, surface texture, and crack resistance. Pavement skid resistance depends on a combination of microtexture and macrotexture and deteriorates over time under traffic abrasion [,,]. High-friction surface treatment technologies, such as specialized seal coatings with abrasion-resistant aggregates, can initially provide very high skid resistance values. However, their long-term performance may be limited by aggregate loss and wear, especially under heavy traffic conditions. Advanced friction measurement equipment has been developed to study tire–pavement interactions in detail. In this study, a tire–pavement dynamic tribometer (TDFA) was used—a real-time testing system that measures the dynamic coefficient of friction between a rubber tire and a pavement specimen under controlled slip and load conditions []. Previous studies using the TDFA have shown a strong correlation between the actual tire–pavement contact area and the dynamic coefficient of friction. This emphasizes the role of surface texture in improving the skid resistance of wet pavement, as greater macrotexture depth helps maintain friction at higher speeds by reducing the thickness of the water film. Besides friction, surface texture depth serves as an important indicator of pavement performance. It is usually quantified by parameters such as mean profile depth (MPD) obtained by laser texture scanners []. In this study, an laser texture scanner was used to capture the pavement profile. The LTS 9400 device can accurately scan the pavement and calculate macrotexture indicators such as MPD by creating a 3D surface model based on the laser measurements. This non-contact laser method can provide accurate texture depth data that can be correlated with skid resistance and wear progression [].
Another key aspect of pavement performance is cracking resistance [,,], especially in cold regions with large temperature fluctuations such as North China. Asphalt pavements are prone to low-temperature cracking due to subfreezing temperatures and harsh climate in winter. Therefore, evaluating the low-temperature cracking resistance of preventive maintenance treatments is crucial to extend the service life of pavements in this region. Enhanced low-temperature flexibility and tensile strain capacity help pavements withstand thermal shrinkage stress without cracking. Polymer-modified binders are often used in thin overlays to improve the high and low-temperature performance of asphalt mixtures. The objective of this study is to establish an integrated tribological workflow, TDFA wet-friction testing at controlled slip with cumulative wear, laser-based macrotexture, wheel-tracking DS at 60 °C, and −10 °C bending, to quantify and explain long-term friction stability of four PM treatments and to relate coefficient of friction (COF) decay to texture evolution and structural performance. In this study, the low-temperature performance of each maintenance treatment was evaluated using a −10 °C three-point bending beam test, which is widely used to characterize the fracture performance of asphalt mixtures under thermal stress. Beam specimens were prepared from pavement samples and tested for fracture strain and stiffness modulus. Higher fracture strain and lower stiffness indicate better resistance to low-temperature cracking. In this study, the road performance of several preventive maintenance treatments was comprehensively evaluated by combining the results of friction, texture, and bending tests. The goal is to determine which treatments provide the most durable skid resistance and structural benefits for highway asphalt pavements in heavy truck and cold climate conditions in Shanxi. The results will help guide maintenance decisions to ensure safe, long-term pavement performance.
2. Materials and Methods
2.1. Preventive Maintenance Treatments and Materials
All preventive–maintenance mixtures in this study used diabase as the coarse aggregate—a hard, polish-resistant crushed stone commonly used on Shanxi highways. Figure 1 shows an example of diabase aggregate. The physical and mechanical properties of the coarse aggregate were evaluated according to the China Highway Engineering Aggregate Test Specification (JTG F42-2005) []. All properties met the technical requirements of various preventive maintenance treatments. For example, the aggregate crushing value was 10.6%, the Los Angeles abrasion value was 9.4%, and the polished stone value was 51.4. These results show that the selected diabase aggregate has excellent strength and wear resistance, providing a suitable material basis for surface treatment. Details are shown in Table 1.

Figure 1.
Laboratory specimens aggregte gradtion of the four preventive maintenance treatments.

Table 1.
Technical requirements and test results of aggregate quality.
According to the Test Methods for Asphalt and Asphalt Mixtures in Highway Engineering (JTG E20-2011) [], a dense graded asphalt concrete mixture (AC-13) was designed and prepared as the benchmark mixture for asphalt mixtures on highway trunk lines. The gradation curve of the AC-13 mixture is shown in Figure 1, and the optimum asphalt content is determined to be 4.5%. In addition to the benchmark mixture, four other preventive maintenance treatment measures were designed in accordance with the Technical Specifications for Preventive Maintenance of Highways issued in 2021, including:
- High-elastic ultra-thin overlay;
- Micro-surfacing (Type MS-III);
- Frictional surface treatment (chip seal);
- Thin SMA overlay (SMA-10).
Note that the chip seal treatment does not follow a conventional gradation design due to its use of single-sized aggregate. The gradation curves for the remaining treatments are shown in Figure 1, with corresponding asphalt contents of 6.3% for the high-elastic overlay, 11.2% for micro-surfacing, and 6.3% for the SMA-10 mixture.
Four different preventive maintenance treatments for asphalt pavements were investigated: (1) highly elastic ultra-thin overlay, (2) SMA-10 thin overlay, (3) MS-III micro surfacing, and (4) skid resistance chip seal. The ultra-thin overlay is a polymer-modified ultra-thin asphalt concrete wearing course, approximately 1.5 cm thick, applied as a gap-graded mix. The mix incorporates a highly modified asphalt binder to increase elasticity and viscosity, designed to improve crack resistance and friction durability. The second treatment, SMA-10 thin overlay, is an approximately 2 cm thick layer of mastic asphalt applied as a thin overlay. The SMA mix has a stone-on-stone skeleton structure with a high binder content and fiber stabilizers and is known for its good rutting resistance and crack mitigation properties. This thin overlay, with an Styrene–Butadiene–Styrene (SBS)-modified asphalt binder, is a slightly thicker preventive overlay that also restores some of the pavement’s structural capacity. The third treatment, MS-III micro surfacing, is a cold-applied slurry seal made from a quick-setting polymer-modified emulsified asphalt mixed with fine aggregate and mineral fillers. This study used an MS-III gradation and applied the micro surfacing in one pass with a thickness of about 1 cm. Micro surfacing is designed to fill shallow surface damage, seal surface voids to reduce permeability, and restore surface texture and skid resistance. Finally, chip seal is a thin-layer surface treatment specifically designed to improve skid resistance. In local practice, this treatment involves spraying a layer of polymer-modified asphalt emulsion, followed by spreading a layer of coarse, high-friction aggregate, which is then rolled in and embedded. The chip seal is a one-stone-thick surface layer focused on skid resistance; after rolling and curing, the consolidated layer height is typically 5–8 mm. In this study, a single-size, highly polish-resistant aggregate layer approximately 1 cm thick was used as the chip seal. The same diabase aggregate was used for all four treatments, and the binder was selected based on each technology: the two overlay mixes used an SBS-modified hot asphalt binder, while the micro surfacing and chip seal used a cationic polymer-modified asphalt emulsion that met the relevant specifications. Figure 2 shows laboratory-prepared samples of the four preventive maintenance surface types.

Figure 2.
Molded specimens of various preventive maintenance treatments. (a). AC-13 mainline pavement (b). High-elastic ultra-thin overlay (c). SMA-10 thin overlay (d). MS-III microsurfacing (e). Skid resistance seal coat overlay.
2.2. Skid Resistance Testing with TDFA
The skid resistance of the original and treated pavements was evaluated using a Tire-Pavement Dynamic Friction Analyzer (TDFA) (Source: Professor Yu Miao Research Group, Chongqing Jiaotong University, Chongqing, China) [,]. The TDFA is a laboratory device that uses a real pneumatic tire to impose a controlled rolling-sliding contact on a circular pavement specimen at a set vertical load, speed and slip ratio. In this study, pavement slab specimens from each curing treatment were mounted in the TDFA. The tests were conducted with a vertical load of 2.0 kN applied to the test tire and at a constant test speed of 20 km/h. A slip ratio of 15% was chosen to induce a mild brake-slip condition, which has been found to produce representative peak friction conditions and is sensitive to pavement macrotexture. The rotating arm of the TDFA accelerates the tire and then wets the test surface. The device measures the friction and normal force between the tire and the road surface in real time, from which the dynamic coefficient of friction (DFC) is continuously calculated. For each pavement sample, the TDFA test was conducted in multiple stages corresponding to the cumulative wear cycles applied to the surface. An innovative feature of the TDFA is its ability to simulate long-term traffic polishing by subjecting each specimen to repeated rolling–sliding passes of the pneumatic test tire along the same track. In this study, each sample was subjected to up to 220,000 rotational friction cycles to represent long-term traffic wear. Friction measurements were recorded at specified intervals to observe the trend of the gradual decay of skid resistance as the surface wears. All tests were conducted in wet conditions at room temperature (~20 °C). TDFA’s software allows precise regulation of speed, load, and slip, and captures the DFC at each cycle stage in real time. The main output of these tests is the coefficient of friction (COF or DFC) of each treatment at a speed of 20 km/h as a function of the number of polishing cycles. This allows a direct comparison of the skid resistance durability of the four maintenance treatments.
2.3. Surface Texture Measurement
The surface macrotextures before and after different levels of wear were measured using an Ames LTS-9400 laser texture scanner (LASER TEXTURE SCANNER MODEL 9400HD) to quantify the texture changes corresponding to the friction tests. The LTS-9400 is a high-resolution laser profilometer that scans the pavement and generates a 3D digital model of the texture. It profiles the surface by emitting laser light and detecting the reflected signal, measuring the time of flight and intensity, with a vertical resolution of up to 0.003 mm. For each pavement sample, two regions were defined for texture scanning: (a) the worn wheel path where TDFA tire contact occurred, and (b) an unworn reference region on the sample that did not undergo friction cycles. Each region was an 80 mm × 40 mm rectangle on the surface. The LTS scanner was set to collect a dense grid of data points covering each region spacing 0.2 mm in one direction and approximately 0.0063 mm in orthogonal sampling, per the capabilities of the device. Scans were performed at multiple wear cycle milestones corresponding to the friction test intervals 0, 4 k, 8 k, …, 220 k cycles. From the 3D texture data, the mean profile depth (MPD) for each scan was calculated according to ASTM E1845 []: West Conshohocken, PA, USA, 2015.). MPD represents the average depth of the pavement macrotexture and is a standard parameter for quantifying texture related to skid resistance and drainage. The initial MPD (MPD0) of each surface was obtained from the unworn area, while the progressively worn MPD was obtained from the wheel track scans. In addition, a pavement wear index (PWI) was defined to evaluate texture degradation. The PWI was calculated by converting the ratio of the current MPD to the initial MPD of each surface into a percentage. Therefore, PWI = (MPDa/MPD0) × 100%. Higher PWIs indicate more texture retained, while lower PWIs indicate significant texture loss. By plotting the MPD and PWI versus the number of friction cycles, the wear resistance of the surface texture of each preventive maintenance treatment can be compared. Laser texturing measurements are particularly important for interpreting friction variations, as reducing macrotexture tends to reduce wet friction at high speeds. The measure area configuration is shown in Figure 3 and the scanning example is displayed in Figure 4.

Figure 3.
Measurement area configuration diagram.

Figure 4.
Scanning examples under different abrasion cycles ((a–i) represent abrasion cycles of 0; 4000; 8000; 12,000; 16,000; 40,000; 80,000; 200,000; and 220,000, respectively).
2.4. Low-Temperature Bending Beam Test
To evaluate the crack resistance of each curing treatment, low-temperature bending tests were conducted on composite beam specimens. Small beam specimens (250 mm × 30 mm × 40 mm) were cut from the layered pavement slabs—each beam contained the original 4 cm asphalt layer and the preventive curing layer above. For comparison, beams with unmodified original AC-13 surface were also tested as controls. The bending beam tests followed the low temperature semi-static bending procedure of the Chinese standard JTG E20 [] or ASTM D7460 []. Each beam was simply supported in a servo-controlled loading frame in a hot chamber with one span. The test temperature was set to −10 °C. Before the test, the specimens were preconditioned at −10 °C for at least 3 h to ensure uniform temperature throughout the test. The load was applied at the mid-span of the beam with a controlled displacement at a rate of 50 mm/min until the specimen broke. During the test, the load and the central deflection were recorded. From the load-deflection data, two key parameters were determined: the flexural tensile strain at failure and the flexural stiffness modulus at failure. The failure strain was calculated from the geometry of the beam, the mid-span deflection at failure, and the span length. The flexural stiffness was calculated as the ratio of stress to strain at failure. Five replicate beams were tested for each treatment and the average was reported for increased reliability. A higher strain at failure indicates that the beam can withstand greater bending deformation before cracking and therefore has better resistance to low-temperature cracking. Lower failure stiffness is also generally associated with better stress relaxation capacity, which in turn means better resistance to hot cracking. By comparing the failure strain and flexural stiffness modulus of the treated and control groups, the relative improvement in low-temperature cracking resistance brought about by each preventive maintenance action can be quantified. The low-temperature bending beam test setup is illustrated in Figure 5.

Figure 5.
Low-temperature bending beam test.
2.5. High-Temperature Rutting Test
High temperature stability was evaluated using a wheel track rutting test, which measures the ability of a pavement to resist permanent deformation at elevated temperatures. Each pavement slab specimen was subjected to repeated loading by a small steel wheel at 60 °C following a standard wheel track test procedure (JTG E20) []. The depth of rutting formed by the specimen within a given number of times was recorded, and the dynamic stability (DS) was calculated as the number of wheel tracks per millimeter of rutting depth during the steady-state rutting phase. The higher the DS value, the greater the rutting resistance. For each maintenance treatment, the DS was obtained and compared. The test provides an indicator of the ability of each preventive maintenance measure to resist plastic deformation under heavy traffic conditions at elevated temperatures.
3. Results and Discussion
3.1. Skid Resistance Performance
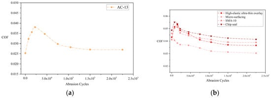
At 20 km/h, all treatments began with a similar COF, but their polishing trajectories diverged under accelerated wear. In the 0–80 k cycles, micro-surfacing showed the fastest COF decline, while the SMA and ultra-thin overlays decreased gradually; chip seal started highest but turned downward after ~40–80 k cycles. In the 160–220 k cycles, COF stabilized for all treatments, with the ultra-thin overlay exhibiting the lowest long-term COF decay, consistent across 30 and 40 km/h in Figure 6, Figure 7 and Figure 8. Figure 6 shows the decay of the COF of the four surfaces at 20 km/h with increasing TDFA wear cycles. In the early stages of polishing, the skid resistance seal coating exhibited the highest friction. Its COF started at about 0.05 and remained high relative to the other COFs during initial wear, which was attributed to the large macrotexture provided by its single-size coarse aggregate layer. The initial friction of the high-elastic ultra-thin overlay and SMA thin overlay was slightly lower, while the initial COF of the micro-surface was similar to that of the SMA thin overlay. However, friction at the microsurface drops rapidly in the early stages, dropping by about 10.6% after only 15,000 cycles, stabilizing at around 0.042.

Figure 6.
Friction coefficient (COF) decay behavior at 20 km/h. (a) AC-13. (b) Various preventive maintenance treatments.

Figure 7.
Friction coefficient (COF) decay behavior at 30 km/h. (a) AC-13. (b) various preventive maintenance treatments.

Figure 8.
Friction coefficient (COF) decay behavior at 40 km/h. (a) AC-13. (b) Various preventive maintenance treatments.
In contrast, friction for the high-elastic ultra-thin overlay and SMA overlay drops more gradually, remaining around 0.043–0.047 in the mid-term. The anti- chip seal initially maintains the highest friction, but after about 40,000–80,000 cycles, its friction drops significantly. Subsequently, as the exposed coarse aggregate begins to be polished, some aggregate begins to be lost. This time point corresponds to a transition in the friction behavior of the seal: its initial high friction advantage weakens with prolonged polishing as the surface macrotexture wears, increasing the tire contact area and thus accelerating the wear of the microtexture. In the later stages of the test, as the surface is fully polished, all four treatments approach a steady-state friction coefficient. The high-elastic ultra-thin overlay maintained the highest equilibrium friction coefficient of about 0.0398, slightly higher than the SMA thin overlay and the chip seal. The micro-surfacing overlay stabilized at the lowest friction coefficient. At the end of 220,000 cycles, the long-term friction performance was ranked as follows: high-elastic ultra-thin overlay > SMA thin overlay > chip seal > microsurfacing. The microsurfacing overlay had the largest total percentage decrease in friction coefficient from initial to steady state, with a decrease of about 42.5%. This large decrease was attributed to the fine aggregate mixture of the micro-surfacing: its initial friction was provided by the microstructure of the fine aggregate and some macrostructure, but the microstructure gradually weakened as the sharp edges of the fine particles were worn by traffic. In addition, the micro-surfacing surface was densely packed with low macro-porosity; once polished, the remaining macrostructure was limited, resulting in a reduction in friction to a low level.
On the other hand, the high-elastic ultra-thin overlay had the lowest friction loss of all treatments, its COF dropped by only about 15–20% over 220,000 cycles. This indicates excellent anti-slip durability, likely due to its strong coarse aggregate skeleton and the polymer-modified binder’s ability to better retain aggregate and microtexture under wear. The SMA thin overlay also performed well, reducing total friction by about 20–25%. The chip seal showed a greater decrease in friction loss, but because it started from the highest point, it still maintained a relatively high absolute friction level. These findings are consistent with expectations: treatments with coarser, harder aggregates and thicker binder films tend to retain microtexture longer, while fine-textured slurry seals lose anti-slip properties quickly after the initial service period. This trade-off between initial friction and wear rate can be clearly seen in our results: the skid resistance chip seal achieved the highest initial skid resistance number but suffered from continued aggregate loss, while the highly resilient ultra-thin overlay provided a more balanced performance—with slightly lower initial friction than the seal coat but better retention over time. The difference in skid resistance behavior can be further explained by the pavement surface texture. Our TDFA tests at 20 km/h highlighted the contribution of microtexture to friction, but the evolution of macrotexture still plays a crucial role in how friction decreases. In the new conditions, all treatments started with high pavement skid resistance index values. Interestingly, in the mid-stage, the friction of the skid resistance chip seal began to drop sharply at 20 km/h; this is because at low speeds, the rough surface initially produces higher friction but also leads to faster wear of aggregate and binder. At a driving speed of 20 km/h, the increase in contact time per revolution allows for a more complete interaction between the tire and the protruding aggregates of the seal layer, which accelerates their wear. As a result, after about 80,000 cycles, the aggregates on the surface of the seal layer have fallen off or become smooth, significantly reducing friction.
The friction coefficients of the high-elastic ultra-thin overlays and SMA overlays remained steadily decreasing without abrupt changes, indicating stable wear behavior. By the final stage at 160,000 to 220,000 cycles, all surfaces entered a stable polishing stage with minimal friction coefficient changes. At this stage, the skid resistance seal layer still had the highest COF, probably because some embedded coarse aggregate continued to provide microtexture, while the microsurface had the lowest friction coefficient due to its smooth and filled surface voids. From a maintenance perspective, the skid resistance results show that the skid resistance seal coating is effective in quickly improving the friction coefficient on smooth pavement. Its limitation is service life: within a few years of heavy traffic, resurfacing or replacement may be required as the surface texture deteriorates. The high-viscosity high-elastic ultra-thin overlays and SMA thin overlays showed more durable skid resistance performance, which is consistent with their more robust nature. These overlays retained texture and friction, and their skid resistance performance remained at acceptable levels even after extensive simulated wear. This suggests that for high-volume highways, these polymer-modified overlay treatments can provide longer-lasting safety benefits. Under wet conditions, raising the test speed from 20 to 30 and 40 km/h reduces the absolute COF for all treatments.
Under all three test conditions in Figure 6, the high elastic ultra-thin overlay showed the best stability. From the initial to the final stage of wear, its COF loss rate was about 4.6%, while that of the thin overlay was about 7.8%. The skid resistance seal overlay showed excellent skid resistance performance in the initial and middle stages of wear, and was suitable for rapid restoration of pavement skid resistance performance. However, due to factors such as insufficient aggregate bite and limited construction thickness, the resistance to permanent deformation was poor, it was easy to spall, and the surface texture stability was insufficient, resulting in a significant decrease in the friction coefficient in the later stage, with an overall friction coefficient attenuation rate of about 15.7%; due to factors such as fine grading, the macro texture of MS-III micro-surfacing was worn quickly, resulting in a sharp decrease in the friction coefficient in the early wear stage, and the final friction coefficient attenuation rate was about 31.7%. In summary, considering skid resistance performance alone, the chip seal is most suitable for immediate skid resistance restoration, while the high elastic ultra-thin overlay has the best long-term skid resistance stability in preventive maintenance applications. Across 20, 30, and 40 km/h, the high-elastic ultra-thin overlay shows the lowest long-term COF decay, outperforming SMA, chip seal, and micro-surfacing after 220,000 cycles, as shown in Figure 6, Figure 7 and Figure 8. Although chip seal exhibits higher initial COF, its later decline is larger, consistent with its post-80k PWI reduction in Figure 9b.

Figure 9.
PWI and MPD attenuation patterns of different preventive maintenance techniques: (a) MPD deterioration behavior; (b) PWI deterioration behavior.
3.2. Surface Texture and Wear Resistance
The trends in surface macrotexture measured by the laser scanner support and help explain the friction results presented above. Figure 9a depicts the mean profile depth (MPD) of the four maintenance surfaces as a function of polishing cycle number, and Figure 9b shows the corresponding pavement wear index (PWI) as a function of cycle number. All surfaces had relatively high macrotexture when newly constructed, but their initial MPD values varied. SMA-10 had the largest initial MPD, reflecting its coarse-textured monolithic layer. The initial MPD of the highly elastic ultrathin overburden was approximately 1.6 mm, as an interstitial graded mix, it also provided considerable macrotexture. The initial macrotexture of the chip seal was slightly lower because of its relatively compact surface. The microsurfacing showed the smallest initial MPD, consistent with its fine aggregate mixture, which produces a densely packed surface with fewer macroscale voids. In the early wear stages, the MPD and derived PWI fluctuate as some of the initial roughness is knocked off and the surface “embeds.” However, by 40,000 cycles, the differences become more pronounced. At 40,000 cycles, the PWI at the microsurface has dropped to less than 86.5%, indicating a loss of more than 10% in texture depth. The SMA thin overlay also shows a drop at 40,000 cycles but then stabilizes at around 87%. The ultra-thin overlay and sealant still have PWIs close to 93% at 40,000 cycles, meaning there is minimal initial texture loss.
As polishing continued into the mid-stage, a clear pattern emerged: the MPDs of the three treatments approached a plateau, meaning that their macro-textures had reached a relatively stable state with little further change. The micro-surfacing plateaued at the lowest macro-texture, having lost a significant portion of its initial texture. The SMA overlay plateaued at MPD ≈ 1.55 mm, and the ultra-thin overlay plateaued at MPD ≈ 1.4 mm. In contrast, the anti-slip seal coating had not stabilized after 80,000 cycles; its PWI continued to decrease as the cycles progressed. This reflects the gradual loss of its coarse aggregate particles under continued wear. This unstable texture aligns with its highest long-term COF decay seen in Figure 6, Figure 7 and Figure 8, clarifying the mechanism behind its limited long-term skid resistance effectiveness. Even at later stages, the seals continued to lose macrotexture: large aggregates were removed or further embedded, reducing the surface roughness. By 220,000 cycles, the MPD of the crushed stone seal had dropped to about 1.2 mm, making it virtually as smooth as the microsurfacing in terms of macrotexture. The other three treatments showed little change after 80,000 cycles; for example, the ultra-thin overlay still maintained an MPD of about 1.42 mm with a PWI of about 89.5% of the original at 220,000 cycles, demonstrating its excellent wear resistance. The SMA overlay also retained much of its macrotexture, except for the initial drop. The microsurfacing started out with low macrotexture and ended up being almost completely smooth on a macroscale with the MPD of about 1.11 mm.
These measurements confirm that the microsurfacing was prone to rapid macrotexture loss under wear due to its fine gradation and low stone retention, while the highly resilient ultra-thin overlay was the most wear-resistant, retaining its macrotexture depth far better than the other overlays. Combining friction and texture evidence, initially, the high MPD of the skid resistance seal gives it a friction advantage. However, its macrotexture advantage gradually weakens with increasing traffic volume, as shown by the continued decline in MPD. The ultra-thin overlay and SMA overlay provide more stable macrotexture throughout the life of the pavement, which translates into more stable skid resistance performance. In particular, the highly resilient ultra-thin overlay has the lowest rate of texture loss—its PWI remains above 90% even after extensive wear—and correspondingly, it shows the smallest rate of friction loss. This suggests that for heavy truck routes, polymer-modified thin overlays can maintain skid resistance performance and texture better over the long term than fine mortar seals or chip seals without structural binders. Overall, the wear resistance ranking in the long term was high elastic ultra-thin overlay ≈ SMA thin overlay > micro-surfacing > skid resistance seal. It is noteworthy that the skid resistance seal was very effective in the short term but ultimately resulted in the most severe texture degradation, while micro-surfacing, although initially wearing faster, did not further degrade the texture after becoming smooth. These findings confirm other studies that show that microsurfacing generally meets minimum skid resistance requirements initially but polishes faster than coarse overlay. These findings are also consistent with the understanding that aggregate gradation and binder properties determine wear: the success of ultra-thin overlays is attributed to their interstitial gradation, hard aggregate structure, and tough binders that can firmly anchor aggregate. Meanwhile, chip seals do not have the interlocking effect of coarse aggregates, but rely on a thin emulsified film, which makes aggregates more susceptible to mechanical loss. The practical implication is that for maintenance treatments on high-volume roads, those with proven macro-texture retention should be given priority.
3.3. Low-Temperature Cracking Resistance
Figure 7 summarizes the results of the cold bending tests on the original pavement beams and the pavement beams treated with various preventive curing methods. The key parameters compared were the mid-span failure deflection, the corresponding tensile strain at failure, and the bending stiffness at failure. The average failure strain and stiffness for each case are plotted in Figure 10. The original AC-13 pavement beams failed at −10 °C with an average mid-span deflection of approximately 0.52 mm, corresponding to a tensile strain at failure of 2811 µε. This reflects the baseline cold crack resistance of the existing asphalt mixture. When the preventive curing layers were introduced, varying degrees of improvement in cold-temperature flexibility were observed. The effect was most pronounced with the highly elastic ultra-thin overlay: beams with this 1.5 cm thick overlay failed at an average deflection of approximately 0.86 mm, significantly higher than the control. The corresponding failure strain jumped to 3950 µε, approximately 40% higher than the untreated surface. This indicates a significant increase in thermal bending resistance—the ultra-thin overlay provides additional flexibility and delays crack initiation. The SMA-10 thin overlay also significantly improves low-temperature performance. The beam with a 4 cm thick SMA overlay failed at a deflection of about 0.75 mm and a failure strain of about 3495 µε. This is about 24% higher than the strain in the control group.

Figure 10.
Low-temperature beam bending test results. (a) Deflection vs. flexural tensile strength; (b) flexural strain vs. flexural stiffness modulus.
In the high-elastic ultra-thin overlay and SMA-10 thin overlay, the composite beam can withstand more bending before tensile cracking initiates at the bottom surface due to the presence of a relatively thick and soft overlay on the original pavement. In addition, these overlays can also share some of the strain that would otherwise be concentrated on the original overlay, thereby relieving some of the thermal stress. In contrast, micro-surfacing (MS-III) and skid resistance sealing treatments did not significantly improve the low-temperature crack resistance of the pavement structure. The failure deflection of the microsurfaced beams increased only slightly, to about 0.56 mm, corresponding to a failure strain of about 2900–3000 µε. Similarly, the average failure deflection of the non-slip sealed beams was about 0.625 mm, with a strain of about 3050 µε, only slightly higher than the original 2811 µε. In essence, microsurfacing and the thin seal layer did not significantly change the low-temperature fracture behavior of the beams.
The bending stiffness modulus results are consistent with the strain observations. The high-elastic ultra-thin overlay beams had the lowest failure stiffness in all cases, which means that they maintained high flexibility until the fracture point. The SMA overlay beams also had relatively low stiffness at failure. On the other hand, the stiffness values of the micro-surfacing and skid resistance seal beams were close to the control group, indicating that these treatments did not significantly reduce the brittleness of the pavement at low temperatures. Therefore, the ranking of low-temperature crack resistance can be summarized as: high-elastic ultra-thin overlay > SMA thin overlay > skid resistance seal ≈ micro-surfacing ≈ control group. The excellent performance of the ultra-thin overlay is attributed to its material and thickness. The polymer-modified asphalt used maintained higher ductility at low temperatures, thereby delaying fracture—it is well known that polymer modification can improve the low-temperature strain tolerance of the binder. In addition, despite being only about 1.5 cm thick, the ultra-thin overlay was applied using a spray paver and therefore had a very strong bond with the underlying pavement and could effectively act as a tensile reinforcement on the tensile side of the beam. The 2 cm SMA overlay is even thicker and contributes more to the moment of inertia of the section; it also uses a modified binder, which improves its own low-temperature properties. The results show that adding a high-quality thin overlay can significantly improve the pavement’s resistance to thermal cracking. This is a crucial benefit in cold regions: these overlays not only restore the pavement’s condition, but also delay the lateral and block cracking that can occur in the old asphalt layer during winter.
In contrast, treatments that focus on microsurfacing and chip seals are not designed to significantly change structural or thermal cracking behavior. Our testing confirmed that microsurfacing and thin skid seals provide little to no improvement in cold-temperature strain capacity. They may seal the surface against moisture intrusion thus reducing freeze–thaw damage, but the pavement’s inherent thermal cracking tendency remains largely unchanged. In practice, this means that if the pavement is at risk for cold-temperature cracking, simply applying microsurfacing will not prevent cracking in cold weather—a thin hot-mix overlay, especially one with a softer binder, will be more effective. The highly elastic, ultra-thin overlay in our study was essentially similar to the optimized thin overlay, significantly increasing the strain at break. Overall, the bending beam results highlight an important distinction: preventive maintenance treatments differ in whether they are primarily functional or also structural. Microsurfacing and surface seals are functional but do not enhance structural or cracking resistance. In contrast, thin overlays can improve structural performance and mitigate cracking. For cold climates where winter cracking is a concern, the use of a highly elastic overlay can prevent the initiation and propagation of early cracks, thereby extending the service life of the pavement.
In addition to the initial cold tests, the beams were evaluated after freeze–thaw cycles to measure their durability. Figure 11 shows the strain to failure of the beams for each treatment before and after 10 freeze–thaw cycles. After freeze–thaw cycles, the cold bending properties of all specimens decreased, but the magnitude of the decrease varied. The control beams showed the most significant decrease in strain to failure. The HVHE ultra-thin overlay composite beams showed the smallest decrease, with the strain to failure decreasing from 3950 µε to 3611 µε, a decrease of only about 10.3%. The SMA thin overlay showed a slightly higher decrease. The microsurfacing and skid resistance seal treatments performed moderately well, with a strain reduction of about 15%. These results show that the polymer-modified overlays retain better low-temperature crack resistance after freeze–thaw aging, while the original pavement and thin surface seals are more affected by freeze–thaw cycles. In other words, the improved flexibility brought by HVHE and SMA overlays is relatively durable under thermal cycles, further highlighting their advantages in cold regions.

Figure 11.
Comparison of test results before and after freeze–thaw cycles. (a) Flexural tensile strain comparison; (b) stiffness modulus comparison.
3.4. High-Temperature Rutting Resistance
The results of the high temperature wheel tracking test showed that there were significant differences in the rutting performance of the different treatments. Figure 12 shows the dynamic stability of the original pavement and each preventive maintenance surface measured at 60 °C. Compared with the control, the three thick overlays greatly improved the DS, while the micro-surfacing showed little improvement in this regard. The high elastic ultra-thin overlay had the highest DS of about 8223 times/mm, followed by the SMA-10 thin overlay at about 7848 times/mm. The skid resistance seal layer also improved the rutting resistance of the control pavement to about 6456 times/mm. In contrast, the DS of the MS-III micro-surfacing was only about 4554 times/mm, slightly lower than the original untreated pavement. The significantly poorer rutting resistance of the microsurfacing can be attributed to its fine aggregate structure and lower thickness—while it creates a smooth surface, it does not significantly enhance the pavement’s resistance to deformation and, in fact, acts more like a soft layer that is more susceptible to rutting under load. Other treatments, especially polymer-modified overlays, significantly improve the pavement’s resistance to rutting by adding a stable, high-strength overlay. The superior flexural strength of the high-elastic ultra-thin overlay is due to its hard and elastic binder and strong aggregate skeleton, which resist plastic deformation even in high summer temperatures. The thin SMA overlay also has significant stiffness and rutting resistance due to its stone-on-stone aggregate structure and fiber-reinforced binder. In contrast, the tightly graded thin layer of the microsurfacing lacks the internal structure to carry heavy loads without deformation, explaining the slight decrease in DS relative to the original surface. In summary, all preventive maintenance techniques except micro-surfacing improved the high temperature stability of the pavement, with the highest increase for the high elastic ultra-thin overlay. Micro-surfacing is not intended for structural improvement, and the results of this study confirm that its application should be limited to pavements where rutting is not a major concern.

Figure 12.
High-temperature stability of different treatments.
4. Conclusions
This study comprehensively evaluated four preventive maintenance treatments for asphalt pavements—high-viscosity, high-elasticity, ultra-thin overlays, SMA-10 thin overlays, MS-III microsurfacing, and skid seals—with a focus on skid resistance, pavement structural durability, and low-temperature crack resistance. Based on the test results and analysis, the following conclusions were drawn:
The SMA-10 thin overlay also achieved significant improvements in skid resistance retention and low-temperature crack resistance. It performed almost as well as the high-elastic overlay in most aspects and significantly improved its high-temperature rutting resistance. SMA thin-layer overlay is a viable preventative maintenance option for high-volume routes.
The SMA-10 thin overlay also provided significant improvements in both skid resistance retention and low-temperature cracking resistance. It performed almost as well as the high-elastic overlay in most aspects and substantially increased high-temperature rutting resistance. SMA thin overlays are a viable preventive maintenance option for high-volume routes.
Chip seal has the highest initial skid resistance and macrotexture depth, making it effective for immediate safety improvements on slippery roads. However, it experiences rapid texture wear and friction decay, and its thin aggregate layer provides little structural benefit. This treatment is best used for short-term skid resistance improvements on accident-prone roads or as an emergency measure; if used on busy roads, agencies should plan to repave or replace them within a few years.
MS-III micro surfacing provides a slight initial improvement in skid resistance, but friction decreases most rapidly during polishing because its fine aggregate matrix is quickly smeared. It does not significantly improve low-temperature cracking resistance or rutting resistance. Micro surfacing is best used on low- and medium-volume roads or as part of a regular maintenance cycle and can be reapplied every few years. The advantages are cost-effectiveness and quick construction, but on heavily trafficked, highly stressed highways, they should not be expected to maintain performance over the long term without modification.
Overall, polymer-modified thin overlays are recommended as the primary preventive maintenance strategy for highways in areas with heavy truck traffic and severe winters to maximize long-term pavement performance and safety. Micro-surfacing can be used on roads with lower traffic volumes and as a short-term improvement measure, especially where budgets are limited. High-friction seals should only be used for localized treatments that require an immediate improvement in skid resistance, but it should be noted that their benefits are short-lived and must be supplemented with more permanent measures. By selecting treatments based on specific site conditions and using a multi-criteria approach, highway authorities can optimize their preventive maintenance programs. This study used a controlled tribological workflow to compare PM treatments under fixed contact conditions, TDFA testing with a 2.0 kN vertical load, 15% slip, wet contact, and discrete speeds and compressed service through cumulative wear. These settings prioritize reproducibility but do not span the full range of field axle loads, water-film thicknesses, temperatures, and speed distributions. Surface metrology focused on macrotexture; microtexture parameters and hydrodynamic film measurements were not directly quantified. Materials were intentionally constrained, and laboratory panels may not capture construction variability in situ. Future work will broaden the tribological map, incorporate microtexture metrics alongside MPD/PWI, extend testing across temperatures, perform field validation on instrumented sections, and expand materials. Coupling friction/texture evolution with rutting and low-temperature cracking will support multi-criteria optimization in practice.
Author Contributions
The authors confirm their contribution to the paper as follows: study conception and design: X.H., M.Y. and D.J.; data collection: F.K., Y.L., R.W., X.H., M.Y. and D.J.; analysis and interpretation of results: F.K., R.W., X.H. and D.J.; draft manuscript preparation: F.K., Y.L., X.H. and D.J. All authors have read and agreed to the published version of the manuscript.
Funding
This work is financially supported by science and technology project of Shanxi Communications Holding Group Co., Ltd. (No. 2021-JKKJ-9) and Key technology project of transportation industry in 2022 (No. 2022-MS4–108).
Data Availability Statement
The datasets generated during analyzed during the current study are available from the corresponding author on reasonable request.
Conflicts of Interest
Authors Fansheng Kong, Yalong Li, Ruilin Wang, were employed by the company Shanxi Transportation Technology Research & Development Co., Ltd. The remaining authors declare that the research was conducted in the absence of any commercial or financial relationships that could be construed as a potential conflict of interest.
References
- Chen, Y.; Liao, Z.; Chen, L.; Ma, T.; Tighe, S.; Li, N. Design and Evaluation of Ultra-Thin Overlay with High Viscosity and High Elasticity. Eng. Proc. 2023, 36, 59. [Google Scholar]
- Ding, L.; Wang, X.; Zhang, K.; Zhang, M.; Yang, J.; Chen, Z.J.C.; Materials, B. Durability evaluation of easy compaction and high-durability ultra-thin overlay. Constr. Build. Mater. 2021, 302, 124407. [Google Scholar] [CrossRef]
- Luo, X.; Wang, F.; Gong, H.; Tao, J.; Qiu, X.; Wang, N. Effectiveness evaluation of preventive maintenance treatments on asphalt pavement performance using LTPP data. Int. J. Pavement Res. Technol. 2022, 15, 1139–1154. [Google Scholar] [CrossRef]
- Giustozzi, F.; Crispino, M.; Flintsch, G. Multi-attribute life cycle assessment of preventive maintenance treatments on road pavements for achieving environmental sustainability. Int. J. Life Cycle Assess. 2012, 17, 409–419. [Google Scholar] [CrossRef]
- Pomoni, M.; Plati, C.; Loizos, A.; Yannis, G. Investigation of pavement skid resistance and macrotexture on a long-term basis. Int. J. Pavement Eng. 2022, 23, 1060–1069. [Google Scholar] [CrossRef]
- Jin, D.; Wang, J.; You, L.; Ge, D.; Liu, C.; Liu, H.; You, Z. Waste cathode-ray-tube glass powder modified asphalt materials: Preparation and characterization. J. Clean. Prod. 2021, 314, 127949. [Google Scholar]
- Gao, J.; Fan, J.; Gao, C.; Song, L. Friction Prediction in Asphalt Pavements: The Role of Separated Macro-and Micro-Texture Parameters Under Dry and Wet Conditions. Lubricants 2025, 13, 138. [Google Scholar] [CrossRef]
- Hicks, R.G.; Moulthrop, J.S.; Daleiden, J. Selecting a preventive maintenance treatment for flexible pavements. Transp. Res. Rec. 1999, 1680, 1–12. [Google Scholar] [CrossRef]
- Khattak, M.J.; Alrashidi, M. Performance of preventive maintenance treatments of flexible pavements. Int. J. Pavement Res. Technol. 2013, 6, 184. [Google Scholar]
- Liu, X.; Yin, C. 3D Reconstruction of Asphalt Pavement Macro-Texture Based on Convolutional Neural Network and Monocular Image Depth Estimation. Appl. Sci. 2025, 15, 4684. [Google Scholar] [CrossRef]
- Wood, T.; Olson, R.; Lukanen, E.; Wendel, M.; Watson, M. Preventive Maintenance Best Management Practices of Hot Mix Asphalt Pavements; Minnesota Department of Transportation: Saint Paul, MN, USA, 2009. [Google Scholar]
- Hajj, E.Y.; Loria, L.; Sebaaly, P.E. Performance evaluation of asphalt pavement preservation activities. Transp. Res. Rec. 2010, 2150, 36–46. [Google Scholar] [CrossRef]
- Balzano, F.; Tataranni, P.; Woodward, D.; Sangiorgi, C.J.J.o.T.; Engineering, T. Laboratory surface texture analysis of road pavements using a mobile phone camera based close-range photogrammetry technique. J. Traffic Transp. Eng. 2025, 12, 447–461. [Google Scholar] [CrossRef]
- Brown, E.R. Preventive Maintenance of Asphalt Concrete Pavements; National Center for Asphalt Technology: Auburn, AL, USA, 1988. [Google Scholar]
- Dong, Q.; Huang, B. Failure probability of resurfaced preventive maintenance treatments: Investigation into long-term pavement performance program. Transp. Res. Rec. 2015, 2481, 65–74. [Google Scholar] [CrossRef]
- Dan, H.-C.; Bai, G.-W.; Zhu, Z.-H.; Liu, X.; Cao, W. An improved computation method for asphalt pavement texture depth based on multiocular vision 3D reconstruction technology. Constr. Build. Mater. 2022, 321, 126427. [Google Scholar] [CrossRef]
- Li, F.; Feng, J.; Li, Y.; Zhou, S. Preventive Maintenance Technology for Asphalt Pavement; Springer: Berlin/Heidelberg, Germany, 2021. [Google Scholar]
- Lee, S.-Y.; Choi, J.-S.; Le, T.H.M. Unraveling the optimal strategies for asphalt pavement longevity through preventive maintenance: A case study in South Korea. Case Stud. Constr. Mater. 2024, 21, e03464. [Google Scholar] [CrossRef]
- Russell, M.A.; Pierce, L.M.; Uhlmeyer, J.S.; Anderson, K.W. NovaChip: Experimental Feature Report WA 01-01, WA-RD 697.1; Washington State Department of Transportation: Olympia, WA, USA, 2008.
- Guo, M.; Zhang, R.; Du, X.; Liu, P. A state-of-the-art review on the functionality of ultra-thin overlays towards a future low carbon road maintenance. Engineering 2024, 32, 82–98. [Google Scholar] [CrossRef]
- Zhang, Y.; van de Ven, M.; Molenaar, A.; Wu, S. Preventive maintenance of porous asphalt concrete using surface treatment technology. Mater. Des. 2016, 99, 262–272. [Google Scholar] [CrossRef]
- Li, X.; Ye, J.; Badjona, Y.; Chen, Y.; Luo, S.; Song, X.; Zhang, H.; Yao, H.; Yang, L.; You, L.; et al. Preparation and performance of colored Ultra-Thin overlay for preventive maintenance. Constr. Build. Mater. 2020, 249, 118619. [Google Scholar] [CrossRef]
- Zheng, M.; Chen, W.; Ding, X.; Zhang, W.; Yu, S. Comprehensive life cycle environmental assessment of preventive maintenance techniques for asphalt pavement. Sustainability 2021, 13, 4887. [Google Scholar] [CrossRef]
- Zhan, Y.; Luo, Z.; Lin, X.; Nie, Z.; Deng, Q.; Qiu, Y.; Wang, T. Pavement preventive maintenance decision-making for high antiwear and optimized skid resistance performance. Constr. Build. Mater. 2023, 400, 132757. [Google Scholar] [CrossRef]
- Chen, D.H.; Won, M.; Chen, X.; Zhou, W. Design improvements to enhance the performance of thin and ultra-thin concrete overlays in Texas. Constr. Build. Mater. 2016, 116, 1–14. [Google Scholar] [CrossRef]
- Jia, Y.; Wang, J.; Gao, Y.; Yang, M.; Zhou, W. Assessment of short-term improvement effectiveness of preventive maintenance treatments on pavement performance using LTPP data. J. Transp. Eng. Part B Pavements 2020, 146, 04020048. [Google Scholar] [CrossRef]
- Wang, W.; Liu, B.; Jin, D.; Yu, M.; Zeng, J. Durability Investigation of Ultra-Thin Polyurethane Wearing Course for Asphalt Pavement. Materials 2024, 17, 4977. [Google Scholar] [CrossRef]
- Praticò, F.G.; Vaiana, R. A study on the relationship between mean texture depth and mean profile depth of asphalt pavements. Constr. Build. Mater. 2015, 101, 72–79. [Google Scholar] [CrossRef]
- Li, Y.; Zou, Z.; Zhang, J.; He, Y.; Huang, G.; Li, J. Refined evaluation methods for preventive maintenance of project-level asphalt pavement based on confusion-regression model. Constr. Build. Mater. 2023, 403, 133105. [Google Scholar] [CrossRef]
- Wang, S.; Zhou, H.; Chen, X.; Gong, M.; Hong, J.; Shi, X. Fatigue resistance and cracking mechanism of semi-flexible pavement mixture. Materials 2021, 14, 5277. [Google Scholar] [CrossRef] [PubMed]
- Alsheyab, M.A.; Khasawneh, M.A.; Abualia, A.; Sawalha, A. A critical review of fatigue cracking in asphalt concrete pavement: A challenge to pavement durability. Innov. Infrastruct. Solut. 2024, 9, 386. [Google Scholar] [CrossRef]
- Xu, B.; Li, M.; Liu, S.; Fang, J.; Ding, R.; Cao, D. Performance analysis of different type preventive maintenance materials for porous asphalt based on high viscosity modified asphalt. Constr. Build. Mater. 2018, 191, 320–329. [Google Scholar] [CrossRef]
- JTGE42-2005; Specifications for Design of Highway Asphalt Pavement. Ministry of Communications of the People’s Republic of China, China Communications Press: Beijing, China, 2005.
- JTG E20-2011; Standard Test Methods of Bitumen and Bituminous Mixtures for Highway Engineering. Ministry of Transport of the People’s Republic of China, China Communications Press: Beijing, China, 2011.
- Yu, M.; Jin, D.; Liu, Y.; You, Z.; Li, Y. Performance evaluation of surface treatment waste glass as aggregate in asphalt mixture. Case Stud. Constr. Mater. 2024, 21, e03767. [Google Scholar] [CrossRef]
- ASTM E1845-15; Standard Practice for Calculating Pavement Macrotexture Mean Profile Depth. ASTM International: West Conshohocken, PA, USA, 2015.
- ASTM D7460-10; Standard Test Method for Determining Fatigue Failure of Compacted Asphalt Concrete Subjected to Repeated Flexural Bending. ASTM International: West Conshohocken, PA, USA, 2010.
Disclaimer/Publisher’s Note: The statements, opinions and data contained in all publications are solely those of the individual author(s) and contributor(s) and not of MDPI and/or the editor(s). MDPI and/or the editor(s) disclaim responsibility for any injury to people or property resulting from any ideas, methods, instructions or products referred to in the content. |
© 2025 by the authors. Licensee MDPI, Basel, Switzerland. This article is an open access article distributed under the terms and conditions of the Creative Commons Attribution (CC BY) license (https://creativecommons.org/licenses/by/4.0/).