Probing Gamma-Ray Burst VHE Emission with the Southern Wide-Field-of-View Gamma-Ray Observatory
Abstract
1. Introduction
2. Theoretical Framework
3. VHE Properties of GRBs
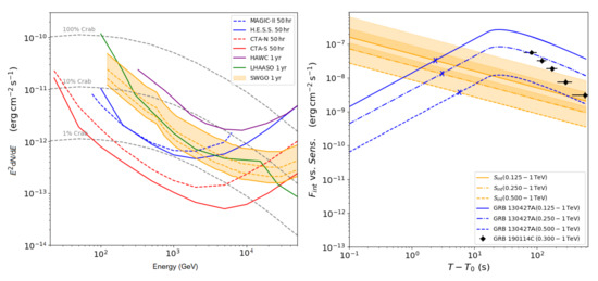
4. Monitoring GRBs with SWGO
5. Conclusions
Author Contributions
Funding
Institutional Review Board Statement
Informed Consent Statement
Data Availability Statement
Acknowledgments
Conflicts of Interest
Abbreviations
| 2FLGC | 2nd Fermi-LAT Gamma-ray burst Catalogue |
| BH | Black Hole |
| CTA | Cherenkov Telescope Array |
| GRB | Gamma-Ray Burst |
| GW | Gravitational Wave |
| EAS | Extensive Air Shower |
| FoV | Field of View |
| H.E.S.S. | High-Energy Stereoscopic System |
| HE | High Energy |
| HAWC | High-Altitude Water Cherenkov |
| IACT | Imaging Atmospheric Cherenkov Telescope |
| LHAASO | Large High-Altitude Air Shower Observatory |
| MAGIC | Major Atmospheric Gamma-ray Imaging Cherenkov |
| NS | Neutron Star |
| SWGO | Southern Wide-field-of-view Gamma-ray Observatory |
| VHE | Very High Energy |
| WCD | Water Cherenkov Detector |
References
- MAGIC Collaboration. Teraelectronvolt emission from the γ-ray burst GRB 190114C. Nature 2019, 575, 455–458. [Google Scholar] [CrossRef] [PubMed]
- Abdalla, H.; Adam, R.; Aharonian, F.; Ait Benkhali, F.; Angüner, E.O.; Arakawa, M.; Arcaro, C.; Armand, C.; Ashkar, H.; Backes, M.; et al. A very-high-energy component deep in the γ-ray burst afterglow. Nature 2019, 575, 464–467. [Google Scholar] [CrossRef] [PubMed]
- Fishman, G.J.; Meegan, C.A. Gamma-Ray Bursts. Annu. Rev. Astron. Astrophys. 1995, 33, 415–458. [Google Scholar] [CrossRef]
- Metzger, M.R.; Djorgovski, S.G.; Kulkarni, S.R.; Steidel, C.C.; Adelberger, K.L.; Frail, D.A.; Costa, E.; Frontera, F. Spectral constraints on the redshift of the optical counterpart to the γ-ray burst of 8 May 1997. Nature 1997, 387, 878–880. [Google Scholar] [CrossRef]
- Kulkarni, S.R.; Djorgovski, S.G.; Ramaprakash, A.N.; Goodrich, R.; Bloom, J.S.; Adelberger, K.L.; Kundic, T.; Lubin, L.; Frail, D.A.; Frontera, F.; et al. Identification of a host galaxy at redshift z = 3.42 for the γ-ray burst of 14 December 1997. Nature 1998, 393, 35–39. [Google Scholar] [CrossRef]
- Woosley, S.E. Gamma-Ray Bursts from Stellar Mass Accretion Disks around Black Holes. Astrophys. J. 1993, 405, 273. [Google Scholar] [CrossRef]
- Eichler, D.; Livio, M.; Piran, T.; Schramm, D.N. Nucleosynthesis, neutrino bursts and γ-rays from coalescing neutron stars. Nature 1989, 340, 126–128. [Google Scholar] [CrossRef]
- Nakar, E.; Piran, T. Temporal properties of short gamma-ray bursts. Mon. Not. R. Astron. Soc. 2002, 330, 920–926. [Google Scholar] [CrossRef]
- Mazets, E.P.; Golenetskii, S.V.; Ilinskii, V.N.; Panov, V.N.; Aptekar, R.L.; Gurian, I.A.; Proskura, M.P.; Sokolov, I.A.; Sokolova, Z.I.; Kharitonova, T.V. Catalog of cosmic gamma-ray bursts from the KONUS experiment data. Astrophys. Space Sci. 1981, 80, 3–83. [Google Scholar] [CrossRef]
- Norris, J.P.; Cline, T.L.; Desai, U.D.; Teegarden, B.J. Frequency of fast, narrow γ-ray bursts. Nature 1984, 308, 434–435. [Google Scholar] [CrossRef]
- Kouveliotou, C.; Meegan, C.A.; Fishman, G.J.; Bhat, N.P.; Briggs, M.S.; Koshut, T.M.; Paciesas, W.S.; Pendleton, G.N. Identification of Two Classes of Gamma-Ray Bursts. Astrophys. J. Lett. 1993, 413, L101. [Google Scholar] [CrossRef]
- Galama, T.J.; Vreeswijk, P.M.; van Paradijs, J.; Kouveliotou, C.; Augusteijn, T.; Böhnhardt, H.; Brewer, J.P.; Doublier, V.; Gonzalez, J.-F.; Leibundgut, B.; et al. An unusual supernova in the error box of the γ-ray burst of 25 April 1998. Nature 1998, 395, 670–672. [Google Scholar] [CrossRef]
- Bloom, J.S.; Kulkarni, S.R.; Djorgovski, S.G.; Eichelberger, A.C.; Côté, P.; Blakeslee, J.P.; Odewahn, S.C.; Harrison, F.A.; Frail, D.A.; Filippenko, A.V.; et al. The unusual afterglow of the γ-ray burst of 26 March 1998 as evidence for a supernova connection. Nature 1999, 401, 453–456. [Google Scholar] [CrossRef]
- Li, L.X.; Paczyński, B. Transient Events from Neutron Star Mergers. Astrophys. J. Lett. 1998, 507, L59–L62. [Google Scholar] [CrossRef]
- Abbott, B.P.; Abbott, R.; Abbott, T.D.; Acernese, F.; Adams, C.; Adams, T.; Addesso, P.; Adhikari, R.X.; Adya, V.B.; Affeldt, C.; et al. Multi-messenger Observations of a Binary Neutron Star Merger. Astrophys. J. Lett. 2017, 848, L12. [Google Scholar] [CrossRef]
- Abbott, B.P.; Abbott, R.; Abbott, T.D.; Acernese, F.; Ackley, K.; Adams, C.; Adams, T.; Addesso, P.; Adhikari, R.X.; Adya, V.B.; et al. Gravitational Waves and Gamma-Rays from a Binary Neutron Star Merger: GW170817 and GRB 170817A. Astrophys. J. Lett. 2017, 848, L13. [Google Scholar] [CrossRef]
- Cowperthwaite, P.S.; Berger, E.; Villar, V.A.; Metzger, B.D.; Nicholl, M.; Chornock, R.; Blanchard, P.K.; Fong, W.; Margutti, R.; Soares-Santos, M.; et al. The Electromagnetic Counterpart of the Binary Neutron Star Merger LIGO/Virgo GW170817. II. UV, Optical, and Near-infrared Light Curves and Comparison to Kilonova Models. Astrophys. J. Lett. 2017, 848, L17. [Google Scholar] [CrossRef]
- Katz, J.I. Delayed Hard Photons from Gamma-Ray Bursts. Astrophys. J. Lett. 1994, 432, L27. [Google Scholar] [CrossRef]
- Rees, M.J.; Meszaros, P. Unsteady Outflow Models for Cosmological Gamma-Ray Bursts. Astrophys. J. Lett. 1994, 430, L93. [Google Scholar] [CrossRef]
- Tavani, M. Shock Emission Model for Gamma-Ray Bursts. Phys. Rev. Lett. 1996, 76, 3478–3481. [Google Scholar] [CrossRef]
- Walker, K.C.; Schaefer, B.E.; Fenimore, E.E. Gamma-Ray Bursts Have Millisecond Variability. Astrophys. J. 2000, 537, 264–269. [Google Scholar] [CrossRef]
- Ghisellini, G.; Celotti, A. Quasi-thermal Comptonization and Gamma-Ray Bursts. Astrophys. J. Lett. 1999, 511, L93–L96. [Google Scholar] [CrossRef]
- Band, D.; Matteson, J.; Ford, L.; Schaefer, B.; Palmer, D.; Teegarden, B.; Cline, T.; Briggs, M.; Paciesas, W.; Pendleton, G.; et al. BATSE Observations of Gamma-Ray Burst Spectra. I. Spectral Diversity. Astrophys. J. 1993, 413, 281. [Google Scholar] [CrossRef]
- Preece, R.D.; Briggs, M.S.; Mallozzi, R.S.; Pendleton, G.N.; Paciesas, W.S.; Band, D.L. The Synchrotron Shock Model Confronts a “Line of Death” in the BATSE Gamma-Ray Burst Data. Astrophys. J. Lett. 1998, 506, L23–L26. [Google Scholar] [CrossRef]
- Vietri, M. GeV Photons from Ultrahigh Energy Cosmic Rays Accelerated in Gamma Ray Bursts. Phys. Rev. Lett. 1997, 78, 4328–4331. [Google Scholar] [CrossRef]
- Ghirlanda, G.; Pescalli, A.; Ghisellini, G. Photospheric emission throughout GRB 100507 detected by Fermi. Mon. Not. R. Astron. Soc. 2013, 432, 3237–3244. [Google Scholar] [CrossRef][Green Version]
- Burgess, J.M.; Preece, R.D.; Ryde, F.; Veres, P.; Mészáros, P.; Connaughton, V.; Briggs, M.; Pe’er, A.; Iyyani, S.; Goldstein, A.; et al. An Observed Correlation between Thermal and Non-thermal Emission in Gamma-Ray Bursts. Astrophys. J. Lett. 2014, 784, L43. [Google Scholar] [CrossRef]
- Aleksić, J.; Ansoldi, S.; Antonelli, L.A.; Antoranz, P.; Babic, A.; Bangale, P.; Barceló, M.; Barrio, J.A.; Becerra González, J.; Bednarek, W. The major upgrade of the MAGIC telescopes, Part I: The hardware improvements and the commissioning of the system. Astropart. Phys. 2016, 72, 61–75. [Google Scholar] [CrossRef]
- Aharonian, F.; Akhperjanian, A.G.; Bazer-Bachi, A.R.; Beilicke, M.; Benbow, W.; Berge, D.; Bernlöhr, K.; Boisson, C.; Bolz, O.; Borrel, V.; et al. Observations of the Crab nebula with HESS. Astron. Astrophys. 2006, 457, 899–915. [Google Scholar] [CrossRef]
- DeYoung, T. The HAWC observatory. Nucl. Instruments Methods Phys. Res. A 2012, 692, 72–76. [Google Scholar] [CrossRef]
- Zhen, C.; Ming-Jun, C.; Song-Zhan, C.; Hong-Bo, H.; Cheng, L.; Ye, L.; Ling-ling, M.; Xin-hua, M.; Xiang-dong, S.; Han-rong, W.; et al. Introduction to Large High Altitude Air Shower Observatory (LHAASO). Chin. Astron. Astrophys. 2019, 43, 457–478. [Google Scholar] [CrossRef]
- CTA Consortium. Science with the Cherenkov Telescope Array; World Scientific Publishing Co.: Singapore, 2019. [Google Scholar] [CrossRef]
- Barres de Almeida, U.; Giacinti, G.; Longo, F. Benchmarking the Science for the Southern Wide-Field Gamma-ray Observatory (SWGO). In Proceedings of the 37th International Cosmic Ray Conference (ICRC2021), Berlin, Germany, 12–23 July 2021; Volume 395, p. 10. [Google Scholar]
- Ruderman, M. Theories of gamma-ray bursts. In Seventh Texas Symposium on Relativistic Astrophysics; Bergman, P.G., Fenyves, E.J., Motz, L., Eds.; John Wiley & Sons, Ltd.: Hoboken, NJ, USA, 1975; Volume 262, pp. 164–180. [Google Scholar] [CrossRef]
- Schmidt, W.K.H. Distance limit for a class of model γ-ray burst sources. Nature 1978, 271, 525–527. [Google Scholar] [CrossRef]
- Piran, T. Gamma-ray bursts and the fireball model. Phys. Rep. 1999, 314, 575–667. [Google Scholar] [CrossRef]
- Rybicki, G.B.; Lightman, A.P. Radiative Processes in Astrophysics; John Wiley & Sons, Ltd.: Hoboken, NJ, USA, 1986. [Google Scholar] [CrossRef]
- Xue, R.R.; Tam, P.H.; Wagner, S.J.; Behera, B.; Fan, Y.Z.; Wei, D.M. Very High Energy γ-Ray Afterglow Emission of Nearby Gamma-Ray Bursts. Astrophys. J. 2009, 703, 60. [Google Scholar] [CrossRef][Green Version]
- Dominguez, A.; Primack, J.R.; Rosario, D.J.; Prada, F.; Gilmore, R.C.; Faber, S.M.; Koo, D.C.; Somerville, R.S.; Pérez-Torres, M.A.; Pérez-González, P.; et al. Extragalactic background light inferred from AEGIS galaxy-SED-type fractions. Mon. Not. R. Astron. Soc. 2011, 410, 2556–2578. [Google Scholar] [CrossRef]
- Franceschini, A.; Foffano, L.; Prandini, E.; Tavecchio, F. Very high-energy constraints on the infrared extragalactic background light. Astron. Astrophys. 2019, 629, A2. [Google Scholar] [CrossRef]
- Saldana-Lopez, A.; Domínguez, A.; Pérez-González, P.G.; Finke, J.; Ajello, M.; Primack, J.R.; Paliya, V.S.; Desai, A. An observational determination of the evolving extragalactic background light from the multiwavelength HST/CANDELS survey in the Fermi and CTA era. Mon. Not. R. Astron. Soc. 2021. [Google Scholar] [CrossRef]
- Fan, Y.Z.; Piran, T. High-energy γ-ray emission from gamma-ray bursts—Before GLAST. Front. Phys. China 2008, 3, 306. [Google Scholar] [CrossRef][Green Version]
- Asano, K.; Mészáros, P. Delayed Onset of High-energy Emissions in Leptonic and Hadronic Models of Gamma-Ray Bursts. Astrophys. J. 2012, 757, 115. [Google Scholar] [CrossRef]
- Atwood, W.B.; Abdo, A.A.; Ackermann, M.; Althouse, W.; Anderson, B.; Axelsson, M.; Baldini, L.; Ballet, J.; Band, D.L.; Barbiellini, G.; et al. The Large Area Telescope on the Fermi Gamma-Ray Space Telescope Mission. Astrophys. J. 2009, 697, 1071–1102. [Google Scholar] [CrossRef]
- Ajello, M.; Arimoto, M.; Axelsson, M.; Baldini, L.; Barbiellini, G.; Bastieri, D.; Bellazzini, R.; Bhat, P.N.; Bissaldi, E.; Blandford, R.D.; et al. A Decade of Gamma-Ray Bursts Observed by Fermi-LAT: The Second GRB Catalog. Astrophys. J. 2019, 878, 52. [Google Scholar] [CrossRef]
- La Mura, G.; Barres de Almeida, U.; Conceição, R.; De Angelis, A.; Longo, F.; Pimenta, M.; Prandini, E.; Ruiz-Velasco, E.; Tomé, B. Gamma-ray burst detection prospects for next generation ground-based VHE facilities. Mon. Not. R. Astron. Soc. 2021, 508, 671–679. [Google Scholar] [CrossRef]
- Schoorlemmer, H.; Conceição, R.; Smith, A.J. Simulating the performance of the Southern Wide-view Gamma-ray Observatory. In Proceedings of the 37th International Cosmic Ray Conference (ICRC2021), Berlin, Germany, 12–23 July 2021; Volume 395, p. 9. [Google Scholar]





Publisher’s Note: MDPI stays neutral with regard to jurisdictional claims in published maps and institutional affiliations. |
© 2021 by the authors. Licensee MDPI, Basel, Switzerland. This article is an open access article distributed under the terms and conditions of the Creative Commons Attribution (CC BY) license (https://creativecommons.org/licenses/by/4.0/).
Share and Cite
La Mura, G.; Barres de Almeida, U.; Conceição, R.; De Angelis, A.; Longo, F.; Pimenta, M.; Tomé, B.; Miceli, D. Probing Gamma-Ray Burst VHE Emission with the Southern Wide-Field-of-View Gamma-Ray Observatory. Galaxies 2021, 9, 98. https://doi.org/10.3390/galaxies9040098
La Mura G, Barres de Almeida U, Conceição R, De Angelis A, Longo F, Pimenta M, Tomé B, Miceli D. Probing Gamma-Ray Burst VHE Emission with the Southern Wide-Field-of-View Gamma-Ray Observatory. Galaxies. 2021; 9(4):98. https://doi.org/10.3390/galaxies9040098
Chicago/Turabian StyleLa Mura, Giovanni, Ulisses Barres de Almeida, Ruben Conceição, Alessandro De Angelis, Francesco Longo, Mário Pimenta, Bernardo Tomé, and Davide Miceli. 2021. "Probing Gamma-Ray Burst VHE Emission with the Southern Wide-Field-of-View Gamma-Ray Observatory" Galaxies 9, no. 4: 98. https://doi.org/10.3390/galaxies9040098
APA StyleLa Mura, G., Barres de Almeida, U., Conceição, R., De Angelis, A., Longo, F., Pimenta, M., Tomé, B., & Miceli, D. (2021). Probing Gamma-Ray Burst VHE Emission with the Southern Wide-Field-of-View Gamma-Ray Observatory. Galaxies, 9(4), 98. https://doi.org/10.3390/galaxies9040098

