Red Supergiants as Supernova Progenitors
Abstract
1. Introduction
2. Direct Identification of RSGs as SN Progenitors
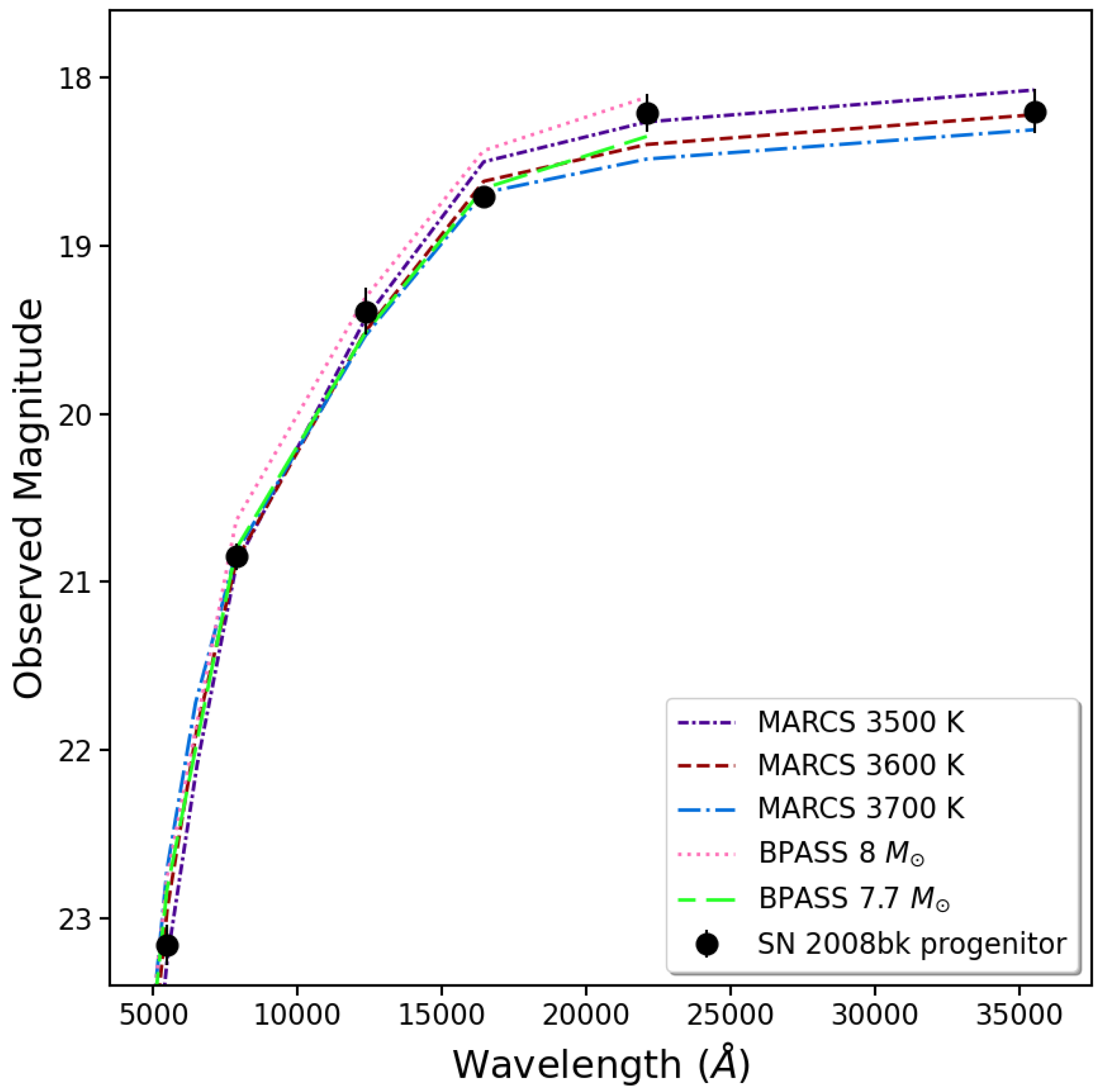
2.1. Progenitors of Low-Luminosity SNe
2.2. Progenitors of More Luminous SNe
2.3. The SN 2023ixf Progenitor as a Special Example
3. Discussion
The “Red Supergiant Problem”
Funding
Data Availability Statement
Conflicts of Interest
Abbreviations
| 3D | Three-Dimensional |
| CSM | Circumstellar Matter (or Medium) |
| EC | Electron Capture |
| HST | Hubble Space Telescope |
| IR | Infrared |
| JWST | James Webb Space Telescope |
| II-L | II-Linear |
| II-P | II-Plateau |
| LPV | Long-Period Variable |
| NED | NASA/IPAC Extragalactic Database |
| Ni | Nickel |
| P-L | Period-Luminosity |
| PSF | Point Spread Function |
| RSG | Red Supergiant |
| SAGB | Super Asymptotic Giant Branch |
| SED | Spectral Energy Distribution |
| SN | Supernova |
| SNe | Supernovae |
References
- Woosley, S.E.; Weaver, T.A. The physics of supernova explosions. Annu. Rev. Astron. Astrophys. 1986, 24, 205–253. [Google Scholar] [CrossRef]
- Branch, D.; Falk, S.W.; McCall, M.L.; Rybski, P.; Uomoto, A.K.; Wills, B.J. The type II SN 1979c in M 100 and the distance to the Virgo cluster. Astrophys. J. 1981, 244, 780–804. [Google Scholar] [CrossRef]
- Minkowski, R. Spectra of Supernovae. Publ. Astron. Soc. Pac. 1941, 53, 224. [Google Scholar] [CrossRef]
- Falk, S.W.; Arnett, W.D. A Theoretical Model for Type II Supernovae. Astrophys. J. 1973, 180, L65–L68. [Google Scholar] [CrossRef]
- Chevalier, R.A. The hydrodynamics of type II supernovae. Astrophys. J. 1976, 207, 872–887. [Google Scholar] [CrossRef]
- Arnett, W.D. Analytic solutions for light curves of supernovae of Type II. Astrophys. J. 1980, 237, 541–549. [Google Scholar] [CrossRef]
- Dessart, L.; Blondin, S.; Brown, P.J.; Hicken, M.; Hillier, D.J.; Holl, S.T.; Immler, S.; Kirshner, R.P.; Milne, P.; Modjaz, M.; et al. Using Quantitative Spectroscopic Analysis to Determine the Properties and Distances of Type II Plateau Supernovae: SN 2005cs and SN 2006bp. Astrophys. J. 2008, 675, 644–669. [Google Scholar] [CrossRef]
- Hillier, D.J.; Dessart, L. Time-dependent radiative transfer calculations for supernovae. Mon. Not. R. Astron. Soc. 2012, 424, 252–271. [Google Scholar] [CrossRef]
- Dessart, L.; Hillier, D.J.; Waldman, R.; Livne, E. Type II-Plateau supernova radiation: Dependences on progenitor and explosion properties. Mon. Not. R. Astron. Soc. 2013, 433, 1745–1763. [Google Scholar] [CrossRef]
- Pejcha, O.; Prieto, J.L. A Global Model of The Light Curves and Expansion Velocities of Type II-plateau Supernovae. Astrophys. J. 2015, 799, 215. [Google Scholar] [CrossRef]
- Hillier, D.J.; Dessart, L. Photometric and spectroscopic diversity of Type II supernovae. Astron. Astrophys. 2019, 631, A8. [Google Scholar] [CrossRef]
- Dessart, L.; Hillier, D.J. The difficulty of inferring progenitor masses from type-II-Plateau supernova light curves. Astron. Astrophys. 2019, 625, A9. [Google Scholar] [CrossRef]
- Goldberg, J.A.; Bildsten, L.; Paxton, B. Inferring Explosion Properties from Type II-Plateau Supernova Light Curves. Astrophys. J. 2019, 879, 3. [Google Scholar] [CrossRef]
- Anderson, J.P.; González-Gaitán, S.; Hamuy, M.; Gutiérrez, C.P.; Stritzinger, M.D.; Olivares, E.F.; Phillips, M.M.; Schulze, S.; Antezana, R.; Bolt, L.; et al. Characterizing the V-band Light-curves of Hydrogen-rich Type II Supernovae. Astrophys. J. 2014, 786, 67. [Google Scholar]
- Barbon, R.; Ciatti, F.; Rosino, L. Photometric properties of type II supernovae. Astron. Astrophys. 1979, 72, 287–292. [Google Scholar]
- Schlegel, E.M. On the Early Spectroscopic Distinction of Type II Supernovae. Astron. J. 1996, 111, 1660. [Google Scholar] [CrossRef]
- Valenti, S.; Howell, D.A.; Stritzinger, M.D.; Graham, M.L.; Hosseinzadeh, G.; Arcavi, I.; Bildsten, L.; Jerkstr, A.; McCully, C.; Pastorello, A.; et al. The diversity of Type II supernova versus the similarity in their progenitors. Mon. Not. R. Astron. Soc. 2016, 459, 3939–3962. [Google Scholar]
- Faran, T.; Poznanski, D.; Filippenko, A.V.; Chornock, R.; Foley, R.J.; Ganeshalingam, M.; Leonard, D.C.; Li, W.; Modjaz, M.; Serduke, F.J.D.; et al. A sample of Type II-L supernovae. Mon. Not. R. Astron. Soc. 2014, 445, 554–569. [Google Scholar] [CrossRef]
- Gutiérrez, C.P.; Anderson, J.P.; Hamuy, M.; González-Gaitan, S.; Galbany, L.; Dessart, L.; Stritzinger, M.D.; Phillips, M.M.; Morrell, N.; Folatelli, G. Type II Supernova Spectral Diversity. II. Spectroscopic and Photometric Correlations. Astrophys. J. 2017, 850, 90. [Google Scholar] [CrossRef]
- Hiramatsu, D.; Howell, D.A.; Moriya, T.J.; Goldberg, J.A.; Hosseinzadeh, G.; Arcavi, I.; Anderson, J.P.; Gutiérrez, C.P.; Burke, J.; McCully, C.; et al. Luminous Type II Short-Plateau Supernovae 2006Y, 2006ai, and 2016egz: A Transitional Class from Stripped Massive Red Supergiants. Astrophys. J. 2021, 913, 55. [Google Scholar]
- Zampieri, L.; Pastorello, A.; Turatto, M.; Cappellaro, E.; Benetti, S.; Altavilla, G.; Mazzali, P.; Hamuy, M. Peculiar, low-luminosity Type II supernovae: Low-energy explosions in massive progenitors? Mon. Not. R. Astron. Soc. 2003, 338, 711–716. [Google Scholar] [CrossRef]
- Pastorello, A.; Zampieri, L.; Turatto, M.; Cappellaro, E.; Meikle, W.P.S.; Benetti, S.; Branch, D.; Baron, E.; Patat, F.; Armstrong, M.; et al. Low-luminosity Type II supernovae: Spectroscopic and photometric evolution. Mon. Not. R. Astron. Soc. 2004, 347, 74–94. [Google Scholar] [CrossRef]
- Tsang, B.T.-H.; Goldberg, J.A.; Bildsten, L.; Kasen, D. Comparing Moment-based and Monte Carlo Methods of Radiation Transport Modeling for Type II-Plateau Supernova Light Curves. Astrophys. J. 2020, 898, 29. [Google Scholar] [CrossRef]
- Goldberg, J.A.; Jiang, Y.-F.; Bildsten, L. Shock Breakout in Three-dimensional Red Supergiant Envelopes. Astrophys. J. 2022, 933, 164. [Google Scholar] [CrossRef]
- Burrows, A.; Wang, T.; Vartanyan, D. Physical Correlations and Predictions Emerging from Modern Core-Collapse Supernova Theory. Astrophys. J. 2024, 964, L16. [Google Scholar] [CrossRef]
- Nomoto, K.; Tominaga, N.; Umeda, H.; Kobayashi, C.; Maeda, K. Nucleosynthesis yields of core-collapse supernovae and hypernovae, and galactic chemical evolution. Nucl. Phys. A 2006, 777, 424–458. [Google Scholar] [CrossRef]
- Poznanski, D. An emerging coherent picture of red supergiant supernova explosions. Mon. Not. R. Astron. Soc. 2013, 436, 3224–3230. [Google Scholar] [CrossRef][Green Version]
- Müller, B.; Heger, A.; Liptai, D.; Cameron, J.B. A simple approach to the supernova progenitor-explosion connection. Mon. Not. R. Astron. Soc. 2016, 460, 742–764. [Google Scholar] [CrossRef]
- Martinez, L.; Bersten, M.C. Mass discrepancy analysis for a select sample of Type II-Plateau supernovae. Astron. Astrophys. 2019, 629, A124. [Google Scholar] [CrossRef]
- Burrows, A.; Radice, D.; Vartanyan, D.; Nagakura, H.; Skinner, M.A.; Dolence, J.C. The overarching framework of core-collapse supernova explosions as revealed by 3D FORNAX simulations. Mon. Not. R. Astron. Soc. 2020, 491, 2715–2735. [Google Scholar] [CrossRef]
- Pejcha, O.; Thompson, T.A. The Landscape of the Neutrino Mechanism of Core-collapse Supernovae: Neutron Star and Black Hole Mass Functions, Explosion Energies, and Nickel Yields. Astrophys. J. 2015, 801, 90. [Google Scholar] [CrossRef]
- Pejcha, O.; Prieto, J.L. On the Intrinsic Diversity of Type II-Plateau Supernovae. Astrophys. J. 2015, 806, 225. [Google Scholar] [CrossRef]
- O’Connor, E.; Ott, C.D. Black Hole Formation in Failing Core-Collapse Supernovae. Astrophys. J. 2011, 730, 70. [Google Scholar] [CrossRef]
- Couch, S.M.; Wheeler, J.C.; Milosavljević, M. Aspherical Core-Collapse Supernovae in Red Supergiants Powered by Nonrelativistic Jets. Astrophys. J. 2009, 696, 953–970. [Google Scholar] [CrossRef]
- Papish, O.; Nordhaus, J.; Soker, N. A call for a paradigm shift from neutrino-driven to jet-driven core-collapse supernova mechanisms. Mon. Not. R. Astron. Soc. 2015, 448, 2362–2367. [Google Scholar] [CrossRef][Green Version]
- Soker, N. The Role of Jets in Exploding Supernovae and in Shaping their Remnants. Res. Astron. Astrophys. 2022, 22, 122003. [Google Scholar] [CrossRef]
- Stothers, R.; Leung, K.C. Luminosities, masses and periodicities of massive red supergiants. Astron. Astrophys. 1971, 10, 290–300. [Google Scholar]
- Kiss, L.L.; Szabó, G.M.; Bedding, T.R. Variability in red supergiant stars: Pulsations, long secondary periods and convection noise. Mon. Not. R. Astron. Soc. 2006, 372, 1721–1734. [Google Scholar] [CrossRef]
- Soraisam, M.D.; Bildsten, L.; Drout, M.R.; Bauer, E.B.; Gilfanov, M.; Kupfer, T.; Laher, R.R.; Masci, F.; Prince, T.A.; Kulkarni, S.R.; et al. Variability of Red Supergiants in M31 from the Palomar Transient Factory. Astrophys. J. 2018, 859, 73. [Google Scholar] [CrossRef]
- van Loon, J.T.; Groenewegen, M.A.T.; de Koter, A.; Trams, N.R.; Waters, L.B.F.M.; Zijlstra, A.A.; Whitelock, P.A.; Loup, C. Mass-loss rates and luminosity functions of dust-enshrouded AGB stars and red supergiants in the LMC. Astron. Astrophys. 1999, 351, 559–572. [Google Scholar]
- Massey, P.; Plez, B.; Levesque, E.M.; Olsen, K.A.G.; Clayton, G.C.; Josselin, E. The Reddening of Red Supergiants: When Smoke Gets in Your Eyes. Astrophys. J. 2005, 634, 1286–1292. [Google Scholar] [CrossRef]
- Verhoelst, T.; van der Zypen, N.; Hony, S.; Decin, L.; Cami, J.; Eriksson, K. The dust condensation sequence in red supergiant stars. Astron. Astrophys. 2009, 498, 127–138. [Google Scholar] [CrossRef]
- Mauron, N.; Josselin, E. The mass-loss rates of red supergiants and the de Jager prescription. Astron. Astrophys. 2011, 526, A156. [Google Scholar] [CrossRef]
- Humphreys, R.M.; Helmel, G.; Jones, T.J.; Gordon, M.S. Exploring the Mass-loss Histories of the Red Supergiants. Astron. J. 2020, 160, 145. [Google Scholar]
- Khazov, D.; Yaron, O.; Gal-Yam, A.; Manulis, I.; Rubin, A.; Kulkarni, S.R.; Arcavi, I.; Kasliwal, M.M.; Ofek, E.O.; Cao, Y.; et al. Flash Spectroscopy: Emission Lines from the Ionized Circumstellar Material around <10-day-old Type II Supernovae. Astrophys. J. 2016, 818, 3. [Google Scholar]
- Moriya, T.J.; Yoon, S.-C.; Gräfener, G.; Blinnikov, S.I. Immediate dense circumstellar environment of supernova progenitors caused by wind acceleration: Its effect on supernova light curves. Mon. Not. R. Astron. Soc. 2017, 469, L108–L112. [Google Scholar] [CrossRef]
- Morozova, V.; Piro, A.L.; Fuller, J.; Van Dyk, S.D. The Influence of Late-stage Nuclear Burning on Red Supergiant Supernova Light Curves. Astrophys. J. 2020, 891, L32. [Google Scholar] [CrossRef]
- Förster, F.; Moriya, T.J.; Maureira, J.C.; Anderson, J.P.; Blinnikov, S.; Bufano, F.; Cabrera-Vives, G.; Clocchiatti, A.; de Jaeger, T.; Estévez, P.A.; et al. The delay of shock breakout due to circumstellar material evident in most type II supernovae. Nat. Astron. 2018, 2, 808–818. [Google Scholar] [CrossRef]
- Zimmerman, E.A.; Irani, I.; Chen, P.; Gal-Yam, A.; Schulze, S.; Perley, D.A.; Sollerman, J.; Filippenko, A.V.; Shenar, T.; Yaron, O.; et al. The complex circumstellar environment of supernova 2023ixf. Nature 2024, 627, 759–762. [Google Scholar]
- de Jager, C.; Nieuwenhuijzen, H.; van der Hucht, K.A. Mass loss rates in the Hertzsprung-Russell diagram. Astron. Astrophys. 1988, 72, 259–289. [Google Scholar]
- Nieuwenhuijzen, H.; de Jager, C. Parametrization of stellar rates of mass loss as functions of the fundamental stellar parameters M, L, and R. Astron. Astrophys. 1990, 231, 134–136. [Google Scholar]
- Van Loon, J.T.; Marshall, J.R.; Zijlstra, A.A. Dust-enshrouded giants in clusters in the Magellanic Clouds. Astron. Astrophys. 2005, 442, 597–613. [Google Scholar]
- Beasor, E.R.; Davies, B.; Smith, N.; Van Loon, J.T.; Gertz, R.D.; Figer, D.F. A new mass-loss rate prescription for red supergiants. Mon. Not. R. Astron. Soc. 2020, 492, 5994–6006. [Google Scholar]
- Josselin, E.; Plez, B. Atmospheric dynamics and the mass loss process in red supergiant stars. Astron. Astrophys. 2007, 469, 671–680. [Google Scholar]
- Moriya, T.; Tominaga, N.; Blinnikov, S.I.; Baklanov, P.V.; Sorokina, E.I. Supernovae from red supergiants with extensive mass loss. Mon. Not. R. Astron. Soc. 2011, 415, 199–213. [Google Scholar] [CrossRef]
- Shiode, J.H.; Quataert, E. Setting the Stage for Circumstellar Interaction in Core-Collapse Supernovae. II. Wave-driven Mass Loss in Supernova Progenitors. Astrophys. J. 2014, 780, 96. [Google Scholar]
- Fuller, J. Pre-supernova outbursts via wave heating in massive stars—I. Red supergiants. Mon. Not. R. Astron. Soc. 2017, 470, 1642–1656. [Google Scholar]
- Beasor, E.R.; Davies, B. The evolution of red supergiants to supernova in NGC 2100. Mon. Not. R. Astron. Soc. 2016, 463, 1269–1283. [Google Scholar]
- Yaron, O.; Perley, D.A.; Gal-Yam, A.; Groh, J.H.; Horesh, A.; Ofek, E.O.; Kulkarni, S.R.; Sollerman, J.; Fransson, C.; Rubin, A.; et al. Confined dense circumstellar material surrounding a regular type II supernova. Nat. Phys. 2017, 13, 510–517. [Google Scholar]
- Bruch, R.J.; Gal-Yam, A.; Schulze, S.; Yaron, O.; Yang, Y.; Soumagnac, M.; Rigault, M.; Strotjohann, N.L.; Ofek, E.; Sollerman, J.; et al. A Large Fraction of Hydrogen-rich Supernova Progenitors Experience Elevated Mass Loss Shortly Prior to Explosion. Astrophys. J. 2021, 912, 46. [Google Scholar] [CrossRef]
- Davies, B.; Plez, B.; Petrault, M. Explosion imminent: The appearance of red supergiants at the point of core-collapse. Mon. Not. R. Astron. Soc. 2022, 517, 1483–1490. [Google Scholar]
- Yoon, S.-C.; Cantiello, M. Evolution of Massive Stars with Pulsation-driven Superwinds During the Red Supergiant Phase. Astrophys. J. 2010, 717, L62–L65. [Google Scholar] [CrossRef]
- Jacobson-Galán, W.V.; Dessart, L.; Jones, D.O.; Margutti, R.; Coppejans, D.L.; Dimitriadis, G.; Foley, R.J.; Kilpatrick, C.D.; Matthews, D.J.; Rest, S.; et al. Final Moments. I. Precursor Emission, Envelope Inflation, and Enhanced Mass Loss Preceding the Luminous Type II Supernova 2020tlf. Astrophys. J. 2022, 924, 15. [Google Scholar]
- Soker, N. A Pre-explosion Effervescent Zone for the Circumstellar Material in SN 2023ixf. Res. Astron. Astrophys. 2023, 23, 081002. [Google Scholar] [CrossRef]
- Fuller, J.; Tsuna, D. Boil-off of red supergiants: Mass loss and type II-P supernovae. Open J. Antennas Propag. 2024, 7, 47. [Google Scholar] [CrossRef]
- Matsuoka, T.; Sawada, R. Binary Interaction Can Yield a Diversity of Circumstellar Media around Type II Supernova Progenitors. Astrophys. J. 2024, 963, 105. [Google Scholar]
- Eldridge, J.J.; Xiao, L.; Stanway, E.R.; Rodrigues, N.; Guo, N.-Y. Supernova lightCURVE POPulation Synthesis I: Including interacting binaries is key to understanding the diversity of type II supernova lightcurves. Publ. Astron. Soc. Aust. 2018, 35, e049. [Google Scholar] [CrossRef]
- Milisavljevic, D.; Fesen, R.A.; Chevalier, R.A.; Kirshner, R.P.; Challis, P.; Turatto, M. Late-time Optical Emission from Core-collapse Supernovae. Astrophys. J. 2012, 751, 25. [Google Scholar] [CrossRef]
- Jerkstr, A.; Fransson, C.; Maguire, K.; Smartt, S.; Ergon, M.; Spyromilio, J. The progenitor mass of the Type IIP supernova SN 2004et from late-time spectral modeling. Astron. Astrophys. 2012, 546, A28. [Google Scholar]
- Gezari, S.; Dessart, L.; Basa, S.; Martin, D.C.; Neill, J.D.; Woosley, S.E.; Hillier, D.J.; Bazin, G.; Forster, K.; Friedman, P.G.; et al. Probing Shock Breakout with Serendipitous GALEX Detections of Two SNLS Type II-P Supernovae. Astrophys. J. 2008, 683, L131–L134. [Google Scholar]
- Gal-Yam, A.; Arcavi, I.; Ofek, E.O.; Ben-Ami, S.; Cenko, S.B.; Kasliwal, M.M.; Cao, Y.; Yaron, O.; Tal, D.; Silverman, J.M.; et al. A Wolf-Rayet-like progenitor of SN 2013cu from spectral observations of a stellar wind. Nature 2014, 509, 471–474. [Google Scholar] [CrossRef] [PubMed]
- Anderson, J.P.; Habergham, S.M.; James, P.A.; Hamuy, M. Progenitor mass constraints for core-collapse supernovae from correlations with host galaxy star formation. Mon. Not. R. Astron. Soc. 2012, 424, 1372–1391. [Google Scholar] [CrossRef]
- Maund, J.R. The resolved stellar populations around 12 Type IIP supernovae. Mon. Not. R. Astron. Soc. 2017, 469, 2202–2218. [Google Scholar] [CrossRef]
- Kuncarayakti, H.; Anderson, J.P.; Galbany, L.; Maeda, K.; Hamuy, M.; Aldering, G.; Arimoto, N.; Doi, M.; Morokuma, T.; Usuda, T. Constraints on core-collapse supernova progenitors from explosion site integral field spectroscopy. Astron. Astrophys. 2018, 613, A35. [Google Scholar] [CrossRef]
- Williams, B.F.; Hillis, T.J.; Murphy, J.W.; Gilbert, K.; Dalcanton, J.J.; Dolphin, A.E. Constraints for the Progenitor Masses of Historic Core-collapse Supernovae. Astrophys. J. 2018, 860, 39. [Google Scholar] [CrossRef]
- Zapartas, E.; de Mink, S.E.; Justham, S.; Smith, N.; Renzo, M.; de Koter, A. Effect of binary evolution on the inferred initial and final core masses of hydrogen-rich, Type II supernova progenitors. Astron. Astrophys. 2021, 645, A6. [Google Scholar] [CrossRef]
- Sonneborn, G.; Altner, B.; Kirshner, R.P. The Progenitor of SN 1987A: Spatially Resolved Ultraviolet Spectroscopy of the Supernova Field. Astrophys. J. 1987, 323, L35–L39. [Google Scholar] [CrossRef]
- Walborn, N.R.; Prevot, M.L.; Prevot, L.; Wamsteker, W.; Gonzalez, R.; Gilmozzi, R.; Fitzpatrick, E.L. The spectrograms of Sanduleak -69 202, precursor to supernova 1987A in the Large Magellanic Cloud. Astron. Astrophys. 1989, 219, 229–236. [Google Scholar]
- Podsiadlowski, P.; Joss, P.C.; Rappaport, S. A merger model for SN 1987A. Astron. Astrophys. 1990, 227, L9–L12. [Google Scholar]
- Van Dyk, S.D.; Li, W.; Filippenko, A.V. On the progenitor of the Type II-plateau supernova 2003gd in M74. Publ. Astron. Soc. Pac. 2003, 115, 1289–1295. [Google Scholar] [CrossRef]
- Smartt, S.J.; Maund, J.R.; Hendry, M.A.; Tout, C.A.; Gilmore, G.F.; Mattila, S.; Benn, C.R. Detection of a red supergiant progenitor star of a Type II-plateau supernova. Science 2004, 303, 499–503. [Google Scholar] [PubMed]
- Smartt, S.J.; Eldridge, J.J.; Crockett, R.M.; Maund, J.R. The death of massive stars—I. Observational constraints on the progenitors of Type II-P supernovae. Mon. Not. R. Astron. Soc. 2009, 395, 1409–1437. [Google Scholar]
- Smartt, S.J. Progenitors of Core-Collapse Supernovae. Annu. Rev. Astron. Astrophys. 2009, 47, 63–106. [Google Scholar] [CrossRef]
- Smartt, S.J. Observational Constraints on the Progenitors of Core-Collapse Supernovae: The Case for Missing High-Mass Stars. Publ. Astron. Soc. Aust. 2015, 32, e016. [Google Scholar] [CrossRef]
- Van Dyk, S.D. The direct identification of core-collapse supernova progenitors. Philos. Trans. R. Soc. A 2017, 375, 20160277. [Google Scholar]
- Li, W.; Van Dyk, S.D.; Filippenko, A.V.; Cuillandre, J.-C. On the Progenitor of the Type II Supernova 2004et in NGC 6946. Publ. Astron. Soc. Pac. 2005, 117, 121–131. [Google Scholar]
- Crockett, R.M.; Smartt, S.J.; Pastorello, A.; Eldridge, J.J.; Stephens, A.W.; Maund, J.R.; Mattila, S. On the nature of the progenitors of three Type II-P supernovae: 2004et, 2006my and 2006ov. Mon. Not. R. Astron. Soc. 2011, 410, 2767–2786. [Google Scholar] [CrossRef]
- Mattila, S.; Smartt, S.J.; Eldridge, J.J.; Maund, J.R.; Crockett, R.M.; Danziger, I.J. VLT Detection of a Red Supergiant Progenitor of the Type II-P Supernova 2008bk. Astrophys. J. 2008, 688, L91–L94. [Google Scholar]
- Van Dyk, S.D.; Davidge, T.J.; Elias-Rosa, N.; Taubenberger, S.; Li, W.; Levesque, E.M.; Howerton, S.; Pignata, G.; Morrell, N.; Hamuy, M.; et al. Supernova 2008bk and Its Red Supergiant Progenitor. Astron. J. 2012, 143, 19. [Google Scholar]
- O’Neill, D.; Kotak, R.; Fraser, M.; Mattila, S.; Pietrzyński, G.; Prieto, J.L. Revisiting the progenitor of the low-luminosity type II-plateau supernova, SN 2008bk. Astron. Astrophys. 2021, 645, L7. [Google Scholar]
- Prieto, J.L.; Osip, D.; Palunas, P. Candidate Progenitor of the Type II SN 2012A in the Near-IR. Astron. Telegr. 2012, 3863. [Google Scholar]
- Tomasella, L.; Cappellaro, E.; Fraser, M.; Pumo, M.L.; Pastorello, A.; Pignata, G.; Benetti, S.; Bufano, F.; Dennefeld, M.; Harutyunyan, A.; et al. Comparison of progenitor mass estimates for the Type IIP SN 2012A. Mon. Not. R. Astron. Soc. 2013, 434, 1636–1657. [Google Scholar] [CrossRef]
- Hendry, M.A.; Smartt, S.J.; Crockett, R.M.; Maund, J.R.; Gal-Yam, A.; Moon, D.S.; Cenko, S.B.; Fox, D.W.; Kudritzki, R.P.; Benn, C.R.; et al. SN 2004A: Another Type II-P supernova with a red supergiant progenitor. Mon. Not. R. Astron. Soc. 2006, 369, 1303–1320. [Google Scholar] [CrossRef]
- Maund, J.R.; Smartt, S.J.; Danziger, I.J. The progenitor of SN 2005cs in the Whirlpool Galaxy. Mon. Not. R. Astron. Soc. 2005, 364, L33–L37. [Google Scholar]
- Li, W.; Van Dyk, S.D.; Filippenko, A.V.; Cuillandre, J.-C.; Jha, S.; Bloom, J.S.; Riess, A.G.; Livio, M. Identification of the Red Supergiant Progenitor of Supernova 2005cs: Do the Progenitors of Type II-P Supernovae Have Low Mass? Astrophys. J. 2006, 641, 1060–1070. [Google Scholar] [CrossRef]
- Li, W.; Wang, X.; Van Dyk, S.D.; Cuillandre, J.-C.; Foley, R.J.; Filippenko, A.V. On the Progenitors of Two Type II-P Supernovae in the Virgo Cluster. Astrophys. J. 2007, 661, 1013–1024. [Google Scholar]
- Leonard, D.C.; Gal-Yam, A.; Fox, D.B.; Cameron, P.B.; Johansson, E.M.; Kraus, A.L.; Le Mignant, D.; van Dam, M.A. An Upper Mass Limit on a Red Supergiant Progenitor for the Type II-Plateau Supernova SN 2006my. Publ. Astron. Soc. Pac. 2008, 874, 1259–1266. [Google Scholar]
- Elias-Rosa, N.; Van Dyk, S.D.; Li, W.; Morrell, N.; Gonzalez, S.; Hamuy, M.; Filippenko, A.V.; Cuillandre, J.-C.; Foley, R.J.; Smith, N. On the Progenitor of the Type II-Plateau SN 2008cn in NGC 4603. Astrophys. J. 2009, 706, 1174–1183. [Google Scholar]
- Maund, J.R.; Fraser, M.; Reilly, E.; Ergon, M.; Mattila, S. Whatever happened to the progenitors of supernovae 2008cn, 2009kr and 2009md? Mon. Not. R. Astron. Soc. 2015, 447, 3207–3217. [Google Scholar] [CrossRef]
- Elias-Rosa, N.; Van Dyk, S.D.; Li, W.; Silverman, J.M.; Foley, R.J.; Ganeshalingam, M.; Mauerhan, J.C.; Kankare, E.; Jha, S.; Filippenko, A.V.; et al. The Massive Progenitor of the Possible Type II-Linear Supernova 2009hd in Messier 66. Astrophys. J. 2011, 742, 6. [Google Scholar] [CrossRef]
- Takáts, K.; Pignata, G.; Pumo, M.L.; Paillas, E.; Zampieri, L.; Elias-Rosa, N.; Benetti, S.; Bufano, F.; Cappellaro, E.; Ergon, M.; et al. SN 2009ib: A Type II-P supernova with an unusually long plateau. Mon. Not. R. Astron. Soc. 2015, 450, 3137–3154. [Google Scholar] [CrossRef]
- Van Dyk, S.D.; Cenko, S.B.; Poznanski, D.; Arcavi, I.; Gal-Yam, A.; Filippenko, A.V.; Silverio, K.; Stockton, A.; Cuillandre, J.-C.; Marcy, G.W.; et al. The Red Supergiant Progenitor of Supernova 2012aw (PTF12bvh) in Messier 95. Astrophys. J. 2012, 756, 131. [Google Scholar] [CrossRef]
- Fraser, M.; Maund, J.R.; Smartt, S.J.; Botticella, M.-T.; Dall’Ora, M.; Inserra, C.; Tomasella, L.; Benetti, S.; Ciroi, S.; Eldridge, J.J.; et al. Red and Dead: The Progenitor of SN 2012aw in M95. Astrophys. J. 2012, 759, L13. [Google Scholar] [CrossRef]
- Kochanek, C.S.; Khan, R.; Dai, X. On Absorption by Circumstellar Dust, with the Progenitor of SN 2012aw as a Case Study. Astrophys. J. 2012, 759, 20. [Google Scholar] [CrossRef]
- Maund, J.R.; Fraser, M.; Smartt, S.J.; Botticella, M.-T.; Barbarino, C.; Childress, M.; Gal-Yam, A.; Inserra, C.; Pignata, G.; Reichart, D.; et al. Supernova 2012ec: Identification of the progenitor and early monitoring with PESSTO. Mon. Not. R. Astron. Soc. 2013, 431, L102–L106. [Google Scholar] [CrossRef]
- Fraser, M.; Maund, J.R.; Smartt, S.J.; Kotak, R.; Lawrence, A.; Bruce, A.; Valenti, S.; Yuan, F.; Benetti, S.; Chen, T.-W.; et al. On the progenitor of the Type IIP SN 2013ej in M74. Mon. Not. R. Astron. Soc. 2014, 439, L56–L60. [Google Scholar] [CrossRef]
- Kilpatrick, C.D.; Foley, R.J. The dusty progenitor star of the Type II supernova 2017eaw. Mon. Not. R. Astron. Soc. 2018, 481, 2536–2547. [Google Scholar] [CrossRef]
- Van Dyk, S.D.; Zheng, W.; Maund, J.R.; Brink, T.G.; Srinivasan, S.; Andrews, J.E.; Smith, N.; Leonard, D.C.; Morozova, V.; Filippenko, A.V.; et al. The Type II-plateau Supernova 2017eaw in NGC 6946 and Its Red Supergiant Progenitor. Astrophys. J. 2019, 875, 136. [Google Scholar] [CrossRef]
- Hiramatsu, D.; Howell, D.A.; Van Dyk, S.D.; Goldberg, J.A.; Maeda, K.; Moriya, T.J.; Tominaga, N.; Nomoto, K.; Hosseinzadeh, G.; Arcavi, I.; et al. The electron-capture origin of supernova 2018zd. Nat. Astron. 2021, 5, 903–910. [Google Scholar] [CrossRef]
- O’Neill, D.; Kotak, R.; Fraser, M.; Sim, S.A.; Benetti, S.; Smartt, S.J.; Mattila, S.; Ashall, C.; Callis, E.; Elias-Rosa, N.; et al. A progenitor candidate for the type II-P supernova SN 2018aoq in NGC 4151. Astron. Astrophys. 2019, 622, L1. [Google Scholar] [CrossRef]
- Sollerman, J.; Yang, S.; Schulze, S.; Strotjohann, N.-L.; Jerkstr, A.; Van Dyk, S.D.; Kool, E.C.; Barbarino, C.; Brink, T.G.; Bruch, R.; et al. The Type II supernova SN 2020jfo in M 61, implications for progenitor system, and explosion dynamics. Astron. Astrophys. 2021, 655, A105. [Google Scholar]
- Kilpatrick, C.D.; Izzo, L.; Bentley, R.O.; Chambers, K.C.; Coulter, D.A.; Drout, M.R.; de Boer, T.; Foley, R.J.; Gall, C.; Halford, M.R.; et al. Type II-P supernova progenitor star initial masses and SN 2020jfo: Direct detection, light-curve properties, nebular spectroscopy, and local environment. Mon. Not. R. Astron. Soc. 2023, 524, 2161–2185. [Google Scholar]
- Van Dyk, S.D.; Bostroem, K.A.; Zheng, W.; Brink, T.G.; Fox, O.D.; Andrews, J.E.; Filippenko, A.V.; Dong, Y.; Hoang, E.; Hosseinzadeh, G.; et al. Identifying the SN 2022acko progenitor with JWST. Mon. Not. R. Astron. Soc. 2023, 524, 2186–2194. [Google Scholar] [CrossRef]
- Kilpatrick, C.D.; Foley, R.J.; Jacobson-Galán, W.V.; Piro, A.L.; Smartt, S.J.; Drout, M.R.; Gagliano, A.; Gall, C.; Hjorth, J.; Jones, D.O.; et al. SN 2023ixf in Messier 101: A Variable Red Supergiant as the Progenitor Candidate to a Type II Supernova. Astrophys. J. 2023, 952, L23. [Google Scholar] [CrossRef]
- Jencson, J.E.; Pearson, J.; Beasor, E.R.; Lau, R.M.; Andrews, J.E.; Bostroem, K.A.; Dong, Y.; Engesser, M.; Gomez, S.; Guolo, M.; et al. A Luminous Red Supergiant and Dusty Long-period Variable Progenitor for SN 2023ixf. Astrophys. J. 2023, 952, L30. [Google Scholar]
- Pledger, J.L.; Shara, M.M. Possible Detection of the Progenitor of the Type II Supernova SN 2023ixf. Astrophys. J. 2023, 953, L14. [Google Scholar]
- Niu, Z.; Sun, N.-C.; Maund, J.R.; Zhang, Y.; Zhao, R.; Liu, J. The Dusty Red Supergiant Progenitor and the Local Environment of the Type II SN 2023ixf in M101. Astrophys. J. 2023, 955, L15. [Google Scholar]
- Soraisam, M.D.; Szalai, T.; Van Dyk, S.D.; Andrews, J.E.; Srinivasan, S.; Chun, S.-H.; Matheson, T.; Scicluna, P.; Vasquez-Torres, D.A. The SN 2023ixf Progenitor in M101. I. Infrared Variability. Astrophys. J. 2023, 957, 64. [Google Scholar]
- Neustadt, J.M.M.; Kochanek, C.S.; Smith, M.R. Constraints on pre-SN outbursts from the progenitor of SN 2023ixf using the large binocular telescope. Mon. Not. R. Astron. Soc. 2024, 527, 5366–5373. [Google Scholar]
- Xiang, D.; Mo, J.; Wang, L.; Wang, X.; Zhang, J.; Lin, H.; Wang, L. The dusty and extremely red progenitor of the type II supernova 2023ixf in Messier 101. Sci. China Phys. Mech. Astron. 2024, 67, 219514. [Google Scholar]
- Ransome, C.L.; Villar, V.A.; Tartaglia, A.; Gonzalez, S.J.; Jacobson-Galán, W.V.; Kilpatrick, C.D.; Margutti, R.; Foley, R.J.; Grayling, M.; Ni, Y.Q.; et al. SN 2023ixf in Messier 101: The Twilight Years of the Progenitor as Seen by Pan-STARRS. Astrophys. J. 2024, 965, 93. [Google Scholar] [CrossRef]
- Van Dyk, S.D.; Srinivasan, S.; Andrews, J.E.; Soraisam, M.; Szalai, T.; Howell, S.B.; Isaacson, H.; Matheson, T.; Petigura, E.; Scicluna, P.; et al. The SN 2023ixf Progenitor in M101. II. Properties. Astrophys. J. 2023, 968, 27. [Google Scholar] [CrossRef]
- Qin, Y.-J.; Zhang, K.; Bloom, J.; Sollerman, J.; Zimmerman, E.A.; Irani, I.; Schulze, S.; Gal-Yam, A.; Kasliwal, M.M.; Coughlin, M.W.; et al. The progenitor star of SN 2023ixf: A massive red supergiant with enhanced, episodic pre-supernova mass loss. Mon. Not. R. Astron. Soc. 2024, 534, 271–280. [Google Scholar] [CrossRef]
- Xiang, D.; Mo, J.; Wang, X.; Wang, L.; Zhang, J.; Lin, H.; Chen, L.; Song, C.; Liu, L.-D.; Wang, Z.; et al. The Red Supergiant Progenitor of Type II Supernova 2024ggi. Astrophys. J. 2024, 969, L15. [Google Scholar] [CrossRef]
- Luo, J.; Zhang, L.; Chen, B.; Cheng, Q.; Guo, B.; Li, J.; Guo, Y.; Xiong, J.; Meng, X.; Chen, X.; et al. The Red Supergiant Progenitor of the Type II Supernova 2024abfl. Astrophys. J. 2024; submitted. [Google Scholar]
- Groenewegen, M.A.T.; Sloan, G.C.; Soszyński, I.; Petersen, E.A. Luminosities and mass-loss rates of SMC and LMC AGB stars and red supergiants. Astron. Astrophys. 2009, 506, 1277–1296. [Google Scholar] [CrossRef]
- Van Dyk, S.D.; de Graw, A.; Baer-Way, R.; Zheng, W.; Filippenko, A.V.; Fox, O.D.; Smith, N.; Brink, T.G.; de Jaeger, T.; Kelly, P.L.; et al. The disappearances of six supernova progenitors. Mon. Not. R. Astron. Soc. 2023, 519, 471–482. [Google Scholar] [CrossRef]
- Davies, B.; Beasor, E.R. The ‘red supergiant problem’: The upper luminosity boundary of Type II supernova progenitors. Mon. Not. R. Astron. Soc. 2020, 493, 468–476. [Google Scholar] [CrossRef]
- Bressan, A.; Marigo, P.; Girardi, L.; Salasnich, B.; Dal Cero, C.; Rubele, S.; Nanni, A. PARSEC: Stellar tracks and isochrones with the PAdova and TRieste Stellar Evolution Code. Mon. Not. R. Astron. Soc. 2012, 427, 127–145. [Google Scholar] [CrossRef]
- Choi, J.; Dotter, A.; Conroy, C.; Cantiello, M.; Paxton, B.; Johnson, B.D. Mesa Isochrones and Stellar Tracks (MIST). I. Solar-scaled Models. Astrophys. J. 2016, 823, 102. [Google Scholar] [CrossRef]
- Stanway, E.R.; Eldridge, J.J. Re-evaluating old stellar populations. Mon. Not. R. Astron. Soc. 2018, 479, 75–93. [Google Scholar] [CrossRef]
- Levesque, E.M.; Massey, P.; Olsen, K.A.G.; Plez, B.; Josselin, E.; Maeder, A.; Meynet, G. The Effective Temperature Scale of Galactic Red Supergiants: Cool, but Not As Cool As We Thought. Astrophys. J. 2005, 628, 973–985. [Google Scholar] [CrossRef]
- Levesque, E.M.; Massey, P.; Olsen, K.A.G.; Plez, B.; Maeder, A.; Meynet, G. The Effective Temperatures and Physical Properties of Magellanic Cloud Red Supergiants: The Effects of Metallicity. Astrophys. J. 2006, 645, 1102–1117. [Google Scholar]
- Davies, B.; Beasor, E.R. The initial masses of the red supergiant progenitors to Type II supernovae. Mon. Not. R. Astron. Soc. 2018, 474, 2116–2128. [Google Scholar]
- Van Dyk, S.D.; Li, W.; Filippenko, A.V. A Search for Core-Collapse Supernova Progenitors in Hubble Space Telescope Images. Publ. Astron. Soc. Pac. 2003, 115, 1–20. [Google Scholar]
- Maund, J.R.; Smartt, S.J. Hubble Space Telescope imaging of the progenitor sites of six nearby core-collapse supernovae. Mon. Not. R. Astron. Soc. 2005, 360, 288–304. [Google Scholar] [CrossRef][Green Version]
- Smartt, S.J.; Gilmore, G.F.; Tout, C.A.; Hodgkin, S.T. The Nature of the Progenitor of the Type II-P Supernova 1999em. Astrophys. J. 2002, 565, 1089–1100. [Google Scholar]
- Pastorello, A.; Crockett, R.M.; Martin, R.; Smartt, S.J.; Altavilla, G.; Benetti, S.; Botticella, M.T.; Cappellaro, E.; Mattila, S.; Maund, J.R.; et al. SN 1999ga: A low-luminosity linear type II supernova? Astron. Astrophys. 2009, 500, 1013–1023. [Google Scholar]
- Smartt, S.J.; Gilmore, G.F.; Trentham, N.; Tout, C.A.; Frayn, C.M. An Upper Mass Limit for the Progenitor of the Type II-P Supernova SN 1999gi. Astrophys. J. 2001, 556, L29–L32. [Google Scholar]
- Van Dyk, S.D.; Li, W.; Filippenko, A.V. On the Progenitor of Supernova 2001du in NGC 1365. Publ. Astron. Soc. Pac. 2003, 115, 448–452. [Google Scholar]
- Smartt, S.J.; Maund, J.R.; Gilmore, G.F.; Tout, C.A.; Kilkenny, D.; Benetti, S. Mass limits for the progenitor star of supernova 2001du and other Type II-P supernovae. Mon. Not. R. Astron. Soc. 2003, 343, 735–749. [Google Scholar]
- Mattila, S.; Fraser, M.; Smartt, S.J.; Meikle, W.P.S.; Romero-Cañizales, C.; Crockett, R.M.; Stephens, A. Supernovae and radio transients in M82. Mon. Not. R. Astron. Soc. 2013, 431, 2050–2062. [Google Scholar]
- Maíz-Apellániz, J.; Bond, H.E.; Siegel, M.H.; Lipkin, Y.; Maoz, D.; Ofek, E.O.; Poznanski, D. The Progenitor of the Type II-P SN 2004dj in NGC 2403. Astrophys. J. 2004, 615, L113–L116. [Google Scholar] [CrossRef]
- Kochanek, C.S.; Fraser, M.; Adams, S.M.; Sukhbold, T.; Prieto, J.L.; Müller, T.; Bock, G.; Brown, J.S.; Dong, S.; Holoien, T.W.S.; et al. Supernova progenitors, their variability and the Type IIP Supernova ASASSN-16fq in M66. Mon. Not. R. Astron. Soc. 2017, 467, 3347–3360. [Google Scholar]
- Bostroem, K.A.; Valenti, S.; Sand, D.J.; Andrews, J.E.; Van Dyk, S.D.; Galbany, L.; Pooley, D.; Amaro, R.C.; Smith, N.; Yang, S.; et al. Discovery and Rapid Follow-up Observations of the Unusual Type II SN 2018ivc in NGC 1068. Astrophys. J. 2020, 895, 31. [Google Scholar]
- Vazquez, J.; Kilpatrick, C.D.; Dimitriadis, G.; Foley, R.J.; Piro, A.L.; Rest, A.; Rojas-Bravo, C. The Type II-P Supernova 2019mhm and Constraints on its Progenitor System. Astrophys. J. 2023, 949, 75. [Google Scholar]
- Tinyanont, S.; Ridden-Harper, R.; Foley, R.J.; Morozova, V.; Kilpatrick, C.D.; Dimitriadis, G.; DeMarchi, L.; Gagliano, A.; Jacobson-Galán, W.V.; Messick, A.; et al. Progenitor and close-in circumstellar medium of type II supernova 2020fqv from high-cadence photometry and ultra-rapid UV spectroscopy. Mon. Not. R. Astron. Soc. 2022, 512, 2777–2797. [Google Scholar] [CrossRef]
- Elias-Rosa, N.; Brennan, S.J.; Benetti, S.; Cappellaro, E.; Pastorello, A.; Kozyreva, A.; Lundqvist, P.; Fraser, M.; Anderson, J.P.; Cai, Y.-Z.; et al. SN 2020pvb: A Type IIn-P supernova with a precursor outburst. Astron. Astrophys. 2024, 686, A13. [Google Scholar]
- Vasylyev, S.S.; Filippenko, A.V.; Vogl, C.; Brink, T.G.; Brown, P.J.; de Jaeger, T.; Matheson, T.; Gal-Yam, A.; Mazzali, P.A.; Modjaz, M.; et al. Early-time Ultraviolet Spectroscopy and Optical Follow-up Observations of the Type IIP Supernova 2021yja. Astrophys. J. 2022, 934, 134. [Google Scholar] [CrossRef]
- Maund, J.R.; Smartt, S.J. The Disappearance of the Progenitors of Supernovae 1993J and 2003gd. Science 2009, 324, 486–488. [Google Scholar]
- Van Dyk, S.D. An Echo of Supernova 2008bk. Astron. J. 2013, 146, 24. [Google Scholar]
- Maund, J.R.; Reilly, E.; Mattila, S. A late-time view of the progenitors of five Type IIP supernovae. Mon. Not. R. Astron. Soc. 2014, 438, 938–958. [Google Scholar]
- Van Dyk, S.D.; Lee, J.C.; Anderson, J.; Andrews, J.E.; Calzetti, D.; Bright, S.N.; Ubeda, L.; Smith, L.J.; Sabbi, E.; Grebel, E.K.; et al. LEGUS Discovery of a Light Echo Around Supernova 2012aw. Astrophys. J. 2015, 806, 195. [Google Scholar]
- Fraser, M. The disappearance of the progenitor of SN 2012aw in late-time imaging. Mon. Not. R. Astron. Soc. 2016, 456, L16–L19. [Google Scholar] [CrossRef]
- Sarangi, A.; Cherchneff, I. Condensation of dust in the ejecta of Type II-P supernovae. Astron. Astrophys. 2015, 575, A95. [Google Scholar]
- Chen, X.; Liu, Z.; Han, Z. Binary stars in the new millennium. PrPNP 2024, 134, 104083. [Google Scholar]
- Hendry, M.A.; Smartt, S.J.; Maund, J.R.; Pastorello, A.; Zampieri, L.; Benetti, S.; Turatto, M.; Cappellaro, E.; Meikle, W.P.S.; Kotak, R.; et al. A study of the Type II-P supernova 2003gd in M74. Mon. Not. R. Astron. Soc. 2005, 359, 906–926. [Google Scholar]
- Pastorello, A.; Valenti, S.; Zampieri, L.; Navasardyan, H.; Taubenberger, S.; Smartt, S.J.; Arkharov, A.A.; Bärnbantner, O.; Barwig, H.; Benetti, S.; et al. SN 2005cs in M51—II. Complete evolution in the optical and the near-infrared. Mon. Not. R. Astron. Soc. 2009, 394, 2266–2282. [Google Scholar]
- Lisakov, S.M.; Dessart, L.; Hillier, J.D.; Waldman, R.; Livne, E. A study of the low-luminosity Type II-Plateau supernova 2008bk. Mon. Not. R. Astron. Soc. 2017, 466, 34–48. [Google Scholar]
- Tsvetkov, D.Y.; Pavlyuk, N.N.; Vozyakova, O.V.; Shatsky, N.I.; Tatarnikov, A.M.; Nikiforova, A.A.; Baklanov, P.V.; Blinnikov, S.I.; Ushakova, M.G.; Larionova, E.G.; et al. Type II-P Supernova SN 2018aoq in NGC 4151: Light Curves, Models, and Distance. Astron. Lett. 2021, 47, 291–306. [Google Scholar]
- Bostroem, K.A.; Dessart, L.; Hillier, D.J.; Lundquist, M.; Andrews, J.E.; Sand, D.J.; Dong, Y.; Valenti, S.; Haislip, J.; Hoang, E.T.; et al. SN 2022acko: The First Early Far-ultraviolet Spectra of a Type IIP Supernova. Astrophys. J. 2023, 953, L18. [Google Scholar]
- Maguire, K.; Di Carlo, E.; Smartt, S.J.; Pastorello, A.; Tsvetkov, D.Y.; Benetti, S.; Spiro, S.; Arkharov, A.A.; Beccari, G.; Botticella, M.T.; et al. Optical and near-infrared coverage of SN 2004et: Physical parameters and comparison with other Type IIP supernovae. Mon. Not. R. Astron. Soc. 2010, 404, 981–1004. [Google Scholar]
- Gustafsson, B.; Edvardsson, B.; Eriksson, K.; Jørgensen, U.G.; Nordlund, Å.; Plez, B. A grid of MARCS model atmospheres for late-type stars. I. Methods and general properties. Astron. Astrophys. 2008, 486, 951–970. [Google Scholar] [CrossRef]
- Schlafly, E.F.; Finkbeiner, D.P. Measuring Reddening with Sloan Digital Sky Survey Stellar Spectra and Recalibrating SFD. Astrophys. J. 2011, 737, 103. [Google Scholar] [CrossRef]
- Zhang, J.; Wang, X.; Vinkó, J.; Zhai, Q.; Zhang, T.; Filippenko, A.V.; Brink, T.G.; Zheng, W.; Wyrzykowski, Ł.; Mikołajczyk, P.; et al. SN 2018zd: An unusual stellar explosion as part of the diverse Type II Supernova landscape. Mon. Not. R. Astron. Soc. 2020, 498, 84–100. [Google Scholar] [CrossRef]
- Healy, S.; Horiuchi, S.; Ashall, C. The Red Supergiant Problem: As Seen from the Local Group’s Red Supergiant Populations. Astrophys. J. 2024; submitted. [Google Scholar]
- Beasor, E.R.; Smith, N.; Jencson, J.E. The Red Supergiant Progenitor Luminosity Problem. Astrophys. J. 2025, 979, 117. [Google Scholar] [CrossRef]
- Takáts, K.; Pumo, M.L.; Elias-Rosa, N.; Pastorello, A.; Pignata, G.; Paillas, E.; Zampieri, L.; Anderson, J.P.; Vinkó, J.; Benetti, S.; et al. SN 2009N: Linking normal and subluminous Type II-P SNe. Mon. Not. R. Astron. Soc. 2014, 438, 368–387. [Google Scholar]
- Teja, R.S.; Singh, A.; Sahu, D.K.; Anupama, G.C.; Kumar, B.; Nayana, A.J. SN 2020jfo: A Short-plateau Type II Supernova from a Low-mass Progenitor. Astrophys. J. 2020, 930, 34. [Google Scholar]
- Ailawadhi, B.; Dastidar, R.; Misra, K.; Roy, R.; Hiramatsu, D.; Howell, D.A.; Brink, T.G.; Zheng, W.; Galbany, L.; Shahbandeh, M.; et al. Photometric and spectroscopic analysis of the Type II SN 2020jfo with a short plateau. Mon. Not. R. Astron. Soc. 2023, 519, 248–270. [Google Scholar]
- Utrobin, V.P.; Chugai, N.N. Uncommon SN 2020jfo: Ordinary explosion of 8 M⊙ red supergiant with dense wind. Mon. Not. R. Astron. Soc. 2024, 527, 6227–6232. [Google Scholar] [CrossRef]
- Shahbandeh, M.; Sarangi, A.; Temim, T.; Szalai, T.; Fox, O.D.; Tinyanont, S.; Dwek, E.; Dessart, L.; Filippenko, A.V.; Brink, T.G.; et al. JWST observations of dust reservoirs in type IIP supernovae 2004et and 2017eaw. Mon. Not. R. Astron. Soc. 2023, 523, 6048–6060. [Google Scholar]
- Barbarino, C.; Dall’Ora, M.; Botticella, M.T.; Della Valle, M.; Zampieri, L.; Maund, J.R.; Pumo, M.L.; Jerkstr, A.; Benetti, S.; Elias-Rosa, N.; et al. SN 2012ec: Mass of the progenitor from PESSTO follow-up of the photospheric phase. Mon. Not. R. Astron. Soc. 2015, 448, 2312–2331. [Google Scholar] [CrossRef]
- Valenti, S.; Sand, D.; Pastorello, A.; Graham, M.L.; Howell, D.A.; Parrent, J.T.; Tomasella, L.; Ochner, P.; Fraser, M.; Benetti, S.; et al. The first month of evolution of the slow-rising Type IIP SN 2013ej in M74. Mon. Not. R. Astron. Soc. 2014, 438, L101–L105. [Google Scholar] [CrossRef]
- Bose, S.; Sutaria, F.; Kumar, B.; Duggal, C.; Misra, K.; Brown, P.J.; Singh, M.; Dwarkadas, V.; York, D.G.; Chakraborti, S.; et al. SN 2013ej: A Type IIL Supernova with Weak Signs of Interaction. Astrophys. J. 2015, 806, 160. [Google Scholar] [CrossRef]
- Huang, F.; Wang, X.; Zhang, J.; Brown, P.J.; Zampieri, L.; Pumo, M.L.; Zhang, T.; Chen, J.; Mo, J.; Zhao, X. SN 2013ej in M74: A Luminous and Fast-declining Type II-P Supernova. Astrophys. J. 2015, 807, 59. [Google Scholar] [CrossRef]
- Dhungana, G.; Kehoe, R.; Vinko, J.; Silverman, J.M.; Wheeler, J.C.; Zheng, W.; Marion, G.H.; Fox, O.D.; Akerlof, C.; Biro, B.I.; et al. Extensive Spectroscopy and Photometry of the Type IIP Supernova 2013ej. Astrophys. J. 2016, 822, 6. [Google Scholar] [CrossRef]
- Yuan, F.; Jerkstr, A.; Valenti, S.; Sollerman, J.; Seitenzahl, I.R.; Pastorello, A.; Schulze, S.; Chen, T.-W.; Childress, M.J.; Fraser, M.; et al. 450 d of Type II SN 2013ej in optical and near-infrared. Mon. Not. R. Astron. Soc. 2016, 461, 2003–2018. [Google Scholar] [CrossRef]
- Mauerhan, J.C.; Van Dyk, S.D.; Johansson, J.; Hu, M.; Fox, O.D.; Wang, L.; Graham, M.L.; Filippenko, A.V.; Shivvers, I. Asphericity, Interaction, and Dust in the Type II-P/II-L Supernova 2013EJ in Messier 74. Astrophys. J. 2017, 834, 118. [Google Scholar] [CrossRef]
- Harutyunyan, A.H.; Pfahler, P.; Pastorello, A.; Taubenberger, S.; Turatto, M.; Cappellaro, E.; Benetti, S.; Elias-Rosa, N.; Navasardyan, H.; Valenti, S.; et al. ESC supernova spectroscopy of non-ESC targets. Astron. Astrophys. 2008, 488, 383–399. [Google Scholar] [CrossRef]
- Flinner, N.; Tucker, M.A.; Beacom, J.F.; Shappee, B.J. No UV-bright Eruptions from SN 2023ixf in GALEX Imaging 15–20 yr Before Explosion. Res. Notes Am. Astron. Soc. 2023, 7, 174. [Google Scholar] [CrossRef]
- Hiramatsu, D.; Tsuna, D.; Berger, E.; Itagaki, K.; Goldberg, J.A.; Gomez, S.; De, K.; Hosseinzadeh, G.; Bostroem, K.A.; Brown, P.J.; et al. From Discovery to the First Month of the Type II Supernova 2023ixf: High and Variable Mass Loss in the Final Year before Explosion. Astrophys. J. 2023, 955, L8. [Google Scholar] [CrossRef]
- Dong, Y.; Sand, D.J.; Valenti, S.; Bostroem, K.A.; Andrews, J.E.; Hosseinzadeh, G.; Hoang, E.; Janzen, D.; Jencson, J.E.; Lundquist, M.; et al. A Comprehensive Optical Search for Pre-explosion Outbursts from the Quiescent Progenitor of SN 2023ixf. Astrophys. J. 2023, 957, 28. [Google Scholar]
- Dolphin, A. DOLPHOT: Stellar Photometry. Astrophysics Source Code Library, Record Ascl: 1608.013. Available online: https://ascl.net/1608.013 (accessed on 25 March 2025).
- Stetson, P.B. DAOPHOT: A Computer Program for Crowded-Field Stellar Photometry. Publ. Astron. Soc. Pac. 1987, 99, 191–222. [Google Scholar]
- Schechter, P.L.; Mateo, M.; Saha, A. DoPHOT, A CCD Photometry Program: Description and Tests. Publ. Astron. Soc. Pac. 1993, 105, 1342–1353. [Google Scholar]
- Makovoz, D.; Khan, I. Mosaicking with MOPEX. In Astronomical Data Analysis Software and Systems XIV; ASP Conference Series; THE ASTRONOMICAL SOCIETY OF THE PACIFIC: San Francisco, CA, USA, 2005; Volume 347, pp. 81–85. [Google Scholar]
- Makovoz, D.; Marleau, F.R. Point-Source Extraction with MOPEX. Publ. Astron. Soc. Pac. 2005, 117, 1113–1128. [Google Scholar]
- Ivezic, Z.; Nenkova, M.; Elitzur, M. DUSTY: Radiation Transport in a Dusty Environment. Astrophysics Source Code Library, Record Ascl: 9911.001. Available online: https://ascl.net/9911.001 (accessed on 25 March 2025).
- Kučinskas, A.; Hauschildt, P.H.; Ludwig, H.-G.; Brott, I.; Vansevixcxius, V.; Lindegren, L.; Tanabé, T.; Allard, F. Broad-band photometric colors and effective temperature calibrations for late-type giants. I. Z = 0.02. Astron. Astrophys. 2005, 442, 281–308. [Google Scholar]
- Sargent, B.A.; Srinivasan, S.; Meixner, M. The Mass-loss Return from Evolved Stars to the Large Magellanic Cloud. IV. Construction and Validation of a Grid of Models for Oxygen-rich AGB Stars, Red Supergiants, and Extreme AGB Stars. Astrophys. J. 2011, 728, 93. [Google Scholar]
- Srinivasan, S.; Sargent, B.A.; Meixner, M. The mass-loss return from evolved stars to the Large Magellanic Cloud. V. The GRAMS carbon-star model grid. Astron. Astrophys. 2011, 532, A54. [Google Scholar] [CrossRef]
- Gvaramadze, V.V.; Menten, K.M.; Kniazev, A.Y.; Langer, N.; Mackey, J.; Kraus, A.; Meyer, D.M.-A.; Kamiński, T. IRC -10414: A bow-shock-producing red supergiant star. Mon. Not. R. Astron. Soc. 2014, 437, 843–856. [Google Scholar] [CrossRef]
- Messineo, M.; Brown, A.G.A. A Catalog of Known Galactic K-M Stars of Class I Candidate Red Supergiants in Gaia DR2. Astron. J. 2019, 158, 20. [Google Scholar]
- Noriega-Crespo, A.; van Buren, D.; Cao, Y.; Dgani, R. A Parsec-Size Bow Shock around Betelgeuse. Astron. J. 1997, 114, 837–840. [Google Scholar] [CrossRef]
- Cox, N.L.J.; Kerschbaum, F.; van Marle, A.-J.; Decin, L.; Ladjal, D.; Mayer, A.; Groenewegen, M.A.T.; van Eck, S.; Royer, P.; Ottensamer, R.; et al. A far-infrared survey of bow shocks and detached shells around AGB stars and red supergiants. Astron. Astrophys. 2012, 537, A35. [Google Scholar] [CrossRef]
- Lisakov, S.M.; Dessart, L.; Hillier, D.J.; Waldman, R.; Livne, E. Progenitors of low-luminosity Type II-Plateau supernovae. Mon. Not. R. Astron. Soc. 2018, 473, 3863–3881. [Google Scholar] [CrossRef]
- Spiro, S.; Pastorello, A.; Pumo, M.L.; Zampieri, L.; Turatto, M.; Smartt, S.J.; Benetti, S.; Cappellaro, E.; Valenti, S.; Agnoletto, I.; et al. Low luminosity Type II supernovae—II. Pointing towards moderate mass precursors. Mon. Not. R. Astron. Soc. 2014, 439, 2873–2892. [Google Scholar] [CrossRef]
- Humphreys, R.M.; Davidson, K. Studies of luminous stars in nearby galaxies. III. Comments on the evolution of the most massive stars in the Milky Way and the Large Magellanic Cloud. Astrophys. J. 1979, 232, 409–420. [Google Scholar] [CrossRef]
- Kochanek, C.S. On the red supergiant problem. Mon. Not. R. Astron. Soc. 2020, 493, 4945–4949. [Google Scholar] [CrossRef]
- Davies, B.; Beasor, E.R. ‘On the red supergiant problem’: A rebuttal, and a consensus on the upper mass cut-off for II-P progenitors. Mon. Not. R. Astron. Soc. 2020, 496, L142–L146. [Google Scholar] [CrossRef]
- Walmswell, J.J.; Eldridge, J.J. Circumstellar dust as a solution to the red supergiant supernova progenitor problem. Mon. Not. R. Astron. Soc. 2012, 419, 2054–2062. [Google Scholar] [CrossRef]
- Strotjohann, N.L.; Ofek, E.O.; Gal-Yam, A. A Bias-corrected Luminosity Function for Red Supergiant Supernova Progenitor Stars. Astrophys. J. 2024, 964, L27. [Google Scholar] [CrossRef]
- Sukhbold, T.; Woosley, S.E. The Compactness of Presupernova Stellar Cores. Astrophys. J. 2014, 783, 10. [Google Scholar] [CrossRef]
- Horiuchi, S.; Nakamura, K.; Takiwaki, T.; Kotake, K.; Tanaka, M. The red supergiant and supernova rate problems: Implications for core-collapse supernova physics. Mon. Not. R. Astron. Soc. 2014, 445, L99–L103. [Google Scholar] [CrossRef]
- Kochanek, C.S. Constraints on core collapse from the black hole mass function. Mon. Not. R. Astron. Soc. 2015, 446, 1213–1222. [Google Scholar]
- Gerke, J.R.; Kochanek, C.S.; Stanek, K.Z. The search for failed supernovae with the Large Binocular Telescope: First candidates. Mon. Not. R. Astron. Soc. 2015, 450, 3289–3305. [Google Scholar]
- Adams, S.M.; Kochanek, C.S.; Gerke, J.R.; Stanek, K.Z. The search for failed supernovae with the Large Binocular Telescope: Constraints from 7 yr of data. Mon. Not. R. Astron. Soc. 2017, 469, 1445–1455. [Google Scholar]
- Lovegrove, E.; Woosley, S.E. Very Low Energy Supernovae from Neutrino Mass Loss. Astrophys. J. 2013, 769, 109. [Google Scholar]
- Adams, S.M.; Kochanek, C.S.; Gerke, J.R.; Stanek, K.Z.; Dai, X. The search for failed supernovae with the Large Binocular Telescope: Confirmation of a disappearing star. Mon. Not. R. Astron. Soc. 2017, 468, 4968–4981. [Google Scholar]
- Kochanek, C.S.; Neustadt, J.M.M.; Stanek, K.Z. The Search for Failed Supernovae with the Large Binocular Telescope: The Mid-infrared Counterpart to N6946-BH1. Astrophys. J. 2024, 962, 145. [Google Scholar]
- Beasor, E.R.; Hosseinzadeh, G.; Smith, N.; Davies, B.; Jencson, J.E.; Pearson, J.; Sand, D.J. JWST Reveals a Luminous Infrared Source at the Position of the Failed Supernova Candidate N6946-BH1. Astrophys. J. 2024, 964, 171. [Google Scholar]
- Kashi, A.; Soker, N. Type II intermediate-luminosity optical transients (ILOTs). Mon. Not. R. Astron. Soc. 2017, 467, 3299–3305. [Google Scholar]
- Steinmetz, T.; Kamiński, T.; Melis, C.; Gromadzki, M.; Menten, K.; Su, K. OGLE-2002-BLG-360: A dusty anomaly among red nova remnants. Astron. Astrophys. 2025; submitted. [Google Scholar]








| SN | Host | (K) | Refs. | |
|---|---|---|---|---|
| 2003gd | NGC 628 | 4.3 | ∼3500 | [80,81] |
| 2004A | NGC 6207 | ∼4.2–4.7 | ∼2800–5900 | [93] |
| 2004et | NGC 6946 | 4.54 | ∼4300–6150 | [86,87] |
| 2005cs | NGC 5194 | ∼4–4.5 | ∼2950–4500 | [94,95] |
| 2006my | NGC 4651 | ∼4.2–4.8, < | ≲3750 | [87,96,97] |
| 2008bk | NGC 7793 | 4.5–4.6 | ∼3500–3700 | [88,89,90] |
| 2008cn | NGC 4603 | ≲5 | ≳3160 | [98,99] |
| 2009hd 1 | NGC 3627 | ≲5.05 | ≲5200 | [100] |
| 2009ib | NGC 1559 | 5.1 | ∼3400 | [101] |
| 2012A | NGC 3239 | 4.7 | ∼4250–3400 | [91,92] |
| 2012aw | NGC 3351 | 4.8–5.0 | ∼3400–3900 | [102,103,104] |
| 2012ec | NGC 1084 | 5.15 | <4000 | [105] |
| 2013ej 1 | NGC 628 | 4.46–4.85 | ∼3400–4000 | [106] |
| 2017eaw | NGC 6946 | 4.9, 5.07 | ∼2500–3300 | [107,108] |
| 2018zd 2 | NGC 2146 | ∼4.5–5.1 | ∼3500 3 | [109] |
| 2018aoq | NGC 4151 | 4.7 | ∼3500 | [110] |
| 2020jfo | NGC 4303 | 4.1 ? 4 | ∼2900 | [111,112] |
| 2022acko | NGC 1300 | 4.3–4.5 | ∼3500–3565 | [113] |
| 2023ixf | NGC 5457 | 4.7–5.5 | ∼2770–4000 | [114,115,116,117,118,119,120,121,122,123] |
| 2024ggi | NGC 3621 | 4.9 | ∼3290 | [124] |
| 2024abfl | NGC 2146 | ∼4.6 ? 4 | ∼3600 ? 4 | [125] |
| SN | Host | Refs. | |
|---|---|---|---|
| 1999an | IC 755 | … | [135,136] |
| 1999br | NGC 4900 | … | [135,136] |
| 1999em | NGC 1637 | … | [137] |
| 1999ga 1 | NGC 2442 | … | [138] |
| 1999gi | NGC 3184 | ≲ | [139] |
| 2001du | NGC 1365 | … | [136,140,141] |
| 2002hh | NGC 6946 | … | [82] |
| 2003ie 2 | NGC 4051 | … | [82] |
| 2004am 3 | NGC 3034 | … | [142] |
| 2004dg | NGC 5806 | ≳, ≲ | [82] |
| 2004dj 3 | NGC 2403 | … | [143] |
| 2006bc | NGC 2397 | ≳, ≲ | [82] |
| 2007aa | NGC 4030 | ≳, ≲ | [82] |
| 2009H | NGC 1084 | … | this work |
| 2009N | NGC 4487 | ≳, ≲ | this work |
| 2016cok | NGC 3627 | … | [144] |
| 2018ivc 4 | NGC 1068 | ≳, ≲ | [145] |
| 2019mhm | NGC 6753 | … | [146] |
| 2020fqv | NGC 4568 | … | [147] |
| 2020pvb 5 | NGC 6993 | … | [148] |
| 2021yja | NGC 1325 | … | [149] |
Disclaimer/Publisher’s Note: The statements, opinions and data contained in all publications are solely those of the individual author(s) and contributor(s) and not of MDPI and/or the editor(s). MDPI and/or the editor(s) disclaim responsibility for any injury to people or property resulting from any ideas, methods, instructions or products referred to in the content. |
© 2025 by the author. Licensee MDPI, Basel, Switzerland. This article is an open access article distributed under the terms and conditions of the Creative Commons Attribution (CC BY) license (https://creativecommons.org/licenses/by/4.0/).
Share and Cite
Van Dyk, S.D. Red Supergiants as Supernova Progenitors. Galaxies 2025, 13, 33. https://doi.org/10.3390/galaxies13020033
Van Dyk SD. Red Supergiants as Supernova Progenitors. Galaxies. 2025; 13(2):33. https://doi.org/10.3390/galaxies13020033
Chicago/Turabian StyleVan Dyk, Schuyler D. 2025. "Red Supergiants as Supernova Progenitors" Galaxies 13, no. 2: 33. https://doi.org/10.3390/galaxies13020033
APA StyleVan Dyk, S. D. (2025). Red Supergiants as Supernova Progenitors. Galaxies, 13(2), 33. https://doi.org/10.3390/galaxies13020033

