IRAS 17449+2320: A Possible Binary System with the B[e] Phenomenon and a Strong Magnetic Field
Abstract
1. Introduction
2. Observations
3. Data Analysis
3.1. Brightness Variability
3.2. Fundamental Parameters
3.3. Magnetic Field
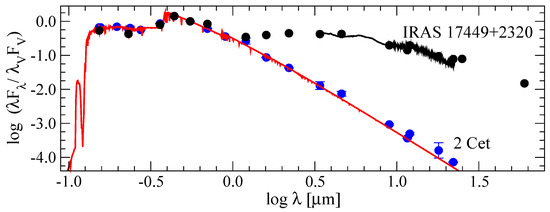
3.4. Spectral Energy Distribution
3.5. The 36-Day Cycle
4. Discussion

5. Conclusions
Author Contributions
Funding
Data Availability Statement
Acknowledgments
Conflicts of Interest
Abbreviations
References
- Stephenson, C.B. New H alpha Emission Stars Found above 10 degrees Galactic Latitude. APJ 1986, 300, 779. [Google Scholar] [CrossRef]
- Downes, R.A.; Keyes, C.D. Spectroscopic observations of H-alpha emission stars from the Stephenson and Stephenson-Sanduleak lists. Astron. J. 1988, 96, 777–790. [Google Scholar] [CrossRef]
- Miroshnichenko, A.S.; Manset, N.; Kusakin, A.V.; Chentsov, E.L.; Klochkova, V.G.; Zharikov, S.V.; Gray, R.O.; Grankin, K.N.; Gandet, T.L.; Bjorkman, K.S.; et al. Toward Understanding the B[e] Phenomenon. II. New Galactic FS CMa Stars. APJ 2007, 671, 828–841. [Google Scholar] [CrossRef]
- Aret, A.; Kraus, M.; Šlechta, M. Spectroscopic survey of emission-line stars—I. B[e] stars. Mon. Not. R. Astron. Soc. 2016, 456, 1424–1437. [Google Scholar] [CrossRef]
- Boubert, D.; Evans, N.W. On the kinematics of a runaway Be star population. Mon. Not. R. Astron. Soc. 2018, 477, 5261–5278. [Google Scholar] [CrossRef]
- Mohorian, M.; Kamath, D.; Menon, M.; Ventura, P.; Van Winckel, H.; García-Hernández, D.A.; Masseron, T. The first measurements of carbon isotopic ratios in post-RGB stars: SZ Mon and DF Cyg. Mon. Not. R. Astron. Soc. 2024, 530, 761–782. [Google Scholar] [CrossRef]
- Gaia Collaboration; Brown, A.G.A.; Vallenari, A.; Prusti, T.; de Bruijne, J.H.J.; Babusiaux, C.; Biermann, M.; Creevey, O.L.; Evans, D.W.; Eyer, L.; et al. Gaia Early Data Release 3. Summary of the contents and survey properties. Astron. Astrophys. 2021, 649, A1. [Google Scholar] [CrossRef]
- Green, G.M.; Schlafly, E.; Zucker, C.; Speagle, J.S.; Finkbeiner, D. A 3D Dust Map Based on Gaia, Pan-STARRS 1, and 2MASS. APJ 2019, 887, 93. [Google Scholar] [CrossRef]
- Labadie-Bartz, J.; Pepper, J.; McSwain, M.V.; Bjorkman, J.E.; Bjorkman, K.S.; Lund, M.B.; Rodriguez, J.E.; Stassun, K.G.; Stevens, D.J.; James, D.J.; et al. Photometric Variability of the Be Star Population. Astron. J. 2017, 153, 252. [Google Scholar] [CrossRef]
- Korčáková, D.; Sestito, F.; Manset, N.; Kroupa, P.; Votruba, V.; Šlechta, M.; Danford, S.; Dvořáková, N.; Raj, A.; Chojnowski, S.D.; et al. First detection of a magnetic field in low-luminosity B[e] stars. New scenarios for the nature and evolutionary stages of FS CMa stars. Astron. Astrophys. 2022, 659, A35. [Google Scholar] [CrossRef]
- Moranchel-Basurto, A.; Korčáková, D.; Chametla, R.O. 2.5D magnetohydrodynamic models of circumstellar discs around FS CMa post-mergers—I. Non-stationary accretion stage. Mon. Not. R. Astron. Soc. 2023, 523, 5554–5564. [Google Scholar] [CrossRef]
- Moranchel-Basurto, A.; Korčáková, D.; Chametla, R.O. 2.5-MHD models of circumstellar discs around FS CMa post-mergers: II. Stationary accretion stage. Mon. Not. R. Astron. Soc. 2024, 528, 7310–7319. [Google Scholar] [CrossRef]
- Dvořáková, N.; Korčáková, D.; Dinnbier, F.; Kroupa, P. The mass distribution of stellar mergers: A new scenario for several FS CMa stars. Astron. Astrophys. 2024, 689, A234. [Google Scholar] [CrossRef]
- Miroshnichenko, A.S.; Danford, S.; Andronov, I.L.; Aarnio, A.N.; Lauer, D.; Buroughs, H. Refining Orbits of Bright Binary Systems. Galaxies 2023, 11, 8. [Google Scholar] [CrossRef]
- Wang, S.i.; Hildebrand, R.H.; Hobbs, L.M.; Heimsath, S.J.; Kelderhouse, G.; Loewenstein, R.F.; Lucero, S.; Rockosi, C.M.; Sandford, D.; Sundwall, J.L.; et al. ARCES: An echelle spectrograph for the Astrophysical Research Consortium (ARC) 3.5m telescope. In Instrument Design and Performance for Optical/Infrared Ground-Based Telescopes; Iye, M., Moorwood, A.F.M., Eds.; Society of Photo-Optical Instrumentation Engineers (SPIE) Conference Series; SPIE: Bellingham, WA, USA, 2003; Volume 4841, pp. 1145–1156. [Google Scholar] [CrossRef]
- Pojmanski, G. The All Sky Automated Survey. Acta Astron. 1997, 47, 467–481. [Google Scholar] [CrossRef]
- Kochanek, C.S.; Shappee, B.J.; Stanek, K.Z.; Holoien, T.W.S.; Thompson, T.A.; Prieto, J.L.; Dong, S.; Shields, J.V.; Will, D.; Britt, C.; et al. The All-Sky Automated Survey for Supernovae (ASAS-SN) Light Curve Server v1.0. Publ. Astron. Soc. Pac. 2017, 129, 104502. [Google Scholar] [CrossRef]
- Adelman, S.J.; Caliskan, H.; Kocer, D.; Kablan, H.; Yüce, K.; Engin, S. Elemental abundance analyses with DAO spectrograms. XXV. The superficially normal B and A stars alpha Draconis, tau Herculis, gamma Lyrae, and HR 7926. Astron. Astrophys. 2001, 371, 1078–1083. [Google Scholar] [CrossRef]
- Romanovskaya, A.M.; Ryabchikova, T.A.; Pakhomov, Y.V.; Korotin, S.A.; Sitnova, T.M. Non-LTE abundance analysis of A-B stars with low rotational velocities—II. Do A-B stars with normal abundances exist? Mon. Not. R. Astron. Soc. 2023, 526, 3386–3399. [Google Scholar] [CrossRef]
- Mathys, G. Ap stars with resolved magnetically split lines: Magnetic field determinations from Stokes I and V spectra★. Astron. Astrophys. 2017, 601, A14. [Google Scholar] [CrossRef]
- Shultz, M.E.; Wade, G.A.; Rivinius, T.; Alecian, E.; Neiner, C.; Petit, V.; Owocki, S.; ud-Doula, A.; Kochukhov, O.; Bohlender, D.; et al. The magnetic early B-type stars—III. A main-sequence magnetic, rotational, and magnetospheric biography. Mon. Not. R. Astron. Soc. 2019, 490, 274–295. [Google Scholar] [CrossRef]
- Bianchi, L.; Shiao, B.; Thilker, D. Revised Catalog of GALEX Ultraviolet Sources. I. The All-Sky Survey: GUVcat_AIS. APJ Suppl. Ser. 2017, 230, 24. [Google Scholar] [CrossRef]
- Cutri, R.M.; Skrutskie, M.F.; van Dyk, S.; Beichman, C.A.; Carpenter, J.M.; Chester, T.; Cambresy, L.; Evans, T.; Fowler, J.; Gizis, J.; et al. VizieR On-line Data Catalog: II/246. In 2MASS All Sky Catalog of Point Sources; University of Massachusetts and Infrared Processing and Analysis Center, IPAC/California Institute of Technology: Pasadena, CA, USA, 2003. [Google Scholar]
- Cutri, R.M.; Wright, E.L.; Conrow, T.; Fowler, J.W.; Eisenhardt, P.R.M.; Grillmair, C.; Kirkpatrick, J.D.; Masci, F.; McCallon, H.L.; Wheelock, S.L.; et al. Explanatory Supplement to the AllWISE Data Release Products. 2013. Available online: https://wise2.ipac.caltech.edu/docs/release/allwise/expsup/index.html (accessed on 20 March 2025).
- Ishihara, D.; Onaka, T.; Kataza, H.; Salama, A.; Alfageme, C.; Cassatella, A.; Cox, N.; García-Lario, P.; Stephenson, C.; Cohen, M.; et al. The AKARI/IRC mid-infrared all-sky survey. Astron. Astrophys. 2010, 514, A1. [Google Scholar] [CrossRef]
- Helou, G.; Walker, D.W. (Eds.) Infrared Astronomical Satellite (IRAS) Catalogs and Atlases: The Small Scale Structure Catalog; NASA_NTRS_Archive_19890004828; NASA: Washington, DC, USA, 1988; Volume 7. Available online: https://archive.org/details/NASA_NTRS_Archive_19890004828 (accessed on 20 March 2025).
- Miroshnichenko, A.S.; Gray, R.O.; Bjorkman, K.S.; Rudy, R.J.; Lynch, D.K.; Carciofi, A.C. Properties of the circumstellar dust in galactic FS CMa objects. In Active OB Stars: Structure, Evolution, Mass Loss, and Critical Limits; Neiner, C., Wade, G., Meynet, G., Peters, G., Eds.; IAU Symposium; Proceedings of the International Astronomical Union; Cambridge University Press: Cambridge, UK, 2010; Volume 272, pp. 412–413. [Google Scholar] [CrossRef]
- Schmidt, G.D.; Szkody, P.; Homer, L.; Smith, P.S.; Chen, B.; Henden, A.; Solheim, J.E.; Wolfe, M.A.; Greimel, R. Unraveling the Puzzle of the Eclipsing Polar SDSS J015543.40+002807.2 with XMM and Optical Photometry/Spectropolarimetry. APJ 2005, 620, 422–431. [Google Scholar] [CrossRef]
- Littlefield, C.; Garnavich, P.; Hoyt, T.J.; Kennedy, M. MASTER OT J132104.04+560957.8: A Polar with Absorption-Emission Line Reversals. Astron. J. 2018, 155, 18. [Google Scholar] [CrossRef]
- Condori, C.A.H.; Borges Fernandes, M.; Kraus, M.; Panoglou, D.; Guerrero, C.A. The study of unclassified B[e] stars and candidates in the Galaxy and Magellanic Clouds†. Mon. Not. R. Astron. Soc. 2019, 488, 1090–1110. [Google Scholar] [CrossRef]
- Paxton, B.; Cantiello, M.; Arras, P.; Bildsten, L.; Brown, E.F.; Dotter, A.; Mankovich, C.; Montgomery, M.H.; Stello, D.; Timmes, F.X.; et al. Modules for Experiments in Stellar Astrophysics (MESA): Planets, Oscillations, Rotation, and Massive Stars. APJ Suppl. Ser. 2013, 208, 4. [Google Scholar] [CrossRef]
- Paxton, B.; Marchant, P.; Schwab, J.; Bauer, E.B.; Bildsten, L.; Cantiello, M.; Dessart, L.; Farmer, R.; Hu, H.; Langer, N.; et al. Modules for Experiments in Stellar Astrophysics (MESA): Binaries, Pulsations, and Explosions. APJ Suppl. Ser. 2015, 220, 15. [Google Scholar] [CrossRef]
- Paxton, B.; Schwab, J.; Bauer, E.B.; Bildsten, L.; Blinnikov, S.; Duffell, P.; Farmer, R.; Goldberg, J.A.; Marchant, P.; Sorokina, E.; et al. Modules for Experiments in Stellar Astrophysics (MESA): Convective Boundaries, Element Diffusion, and Massive Star Explosions. APJ Suppl. Ser. 2018, 234, 34. [Google Scholar] [CrossRef]
- Paxton, B.; Smolec, R.; Schwab, J.; Gautschy, A.; Bildsten, L.; Cantiello, M.; Dotter, A.; Farmer, R.; Goldberg, J.A.; Jermyn, A.S.; et al. Modules for Experiments in Stellar Astrophysics (MESA): Pulsating Variable Stars, Rotation, Convective Boundaries, and Energy Conservation. APJ Suppl. Ser. 2019, 243, 10. [Google Scholar] [CrossRef]
- Jermyn, A.S.; Bauer, E.B.; Schwab, J.; Farmer, R.; Ball, W.H.; Bellinger, E.P.; Dotter, A.; Joyce, M.; Marchant, P.; Mombarg, J.S.G.; et al. Modules for Experiments in Stellar Astrophysics (MESA): Time-dependent Convection, Energy Conservation, Automatic Differentiation, and Infrastructure. APJ Suppl. Ser. 2023, 265, 15. [Google Scholar] [CrossRef]
- Romanovskaya, A.; Ryabchikova, T.; Pakhomov, Y.; Potravnov, I.; Sitnova, T. Slowly Rotating Peculiar Star BD00°1659 as a Benchmark for Stratification Studies in Ap/Bp Stars. Galaxies 2024, 12, 55. [Google Scholar] [CrossRef]
- Glagolevskij, Y.V. On Properties of Main Sequence Magnetic Stars. Astrophys. Bull. 2019, 74, 66–79. [Google Scholar] [CrossRef]
- Stift, M.J. A non-axisymmetric rigid rotator model for magnetic stars. Mon. Not. R. Astron. Soc. 1975, 172, 133–139. [Google Scholar] [CrossRef]
- Miroshnichenko, A.S. Toward Understanding the B[e] Phenomenon. I. Definition of the Galactic FS CMa Stars. APJ 2007, 667, 497–504. [Google Scholar] [CrossRef][Green Version]
- Klement, R.; Baade, D.; Rivinius, T.; Gies, D.R.; Wang, L.; Labadie-Bartz, J.; Ticiani dos Santos, P.; Monnier, J.D.; Carciofi, A.C.; Mérand, A.; et al. Dynamical Masses of the Primary Be Star and Secondary sdB Star in the Single-lined Binary κ Dra (B6 IIIe). APJ 2022, 940, 86. [Google Scholar] [CrossRef]
- Mourard, D.; Monnier, J.D.; Meilland, A.; Gies, D.; Millour, F.; Benisty, M.; Che, X.; Grundstrom, E.D.; Ligi, R.; Schaefer, G.; et al. Spectral and spatial imaging of the Be+sdO binary ϕ Persei. Astron. Astrophys. 2015, 577, A51. [Google Scholar] [CrossRef]
- Tutukov, A.V.; Fedorova, A.V. Possible scenarios for the formation of Ap/Bp stars. Astron. Rep. 2010, 54, 156–162. [Google Scholar] [CrossRef]
- Naoz, S.; Fabrycky, D.C. Mergers and Obliquities in Stellar Triples. APJ 2014, 793, 137. [Google Scholar] [CrossRef]
- Shariat, C.; Naoz, S.; El-Badry, K.; Rodriguez, A.C.; Hansen, B.M.S.; Angelo, I.; Stephan, A.P. Once a Triple, Not Always a Triple: The Evolution of Hierarchical Triples That Yield Merged Inner Binaries. APJ 2025, 978, 47. [Google Scholar] [CrossRef]
- Bogomazov, A.I.; Tutukov, A.V. Merging of components in close binaries: Type Ia supernovae, massive white dwarfs, and Ap stars. Astron. Rep. 2009, 53, 214–222. [Google Scholar] [CrossRef]





Disclaimer/Publisher’s Note: The statements, opinions and data contained in all publications are solely those of the individual author(s) and contributor(s) and not of MDPI and/or the editor(s). MDPI and/or the editor(s) disclaim responsibility for any injury to people or property resulting from any ideas, methods, instructions or products referred to in the content. |
© 2025 by the authors. Licensee MDPI, Basel, Switzerland. This article is an open access article distributed under the terms and conditions of the Creative Commons Attribution (CC BY) license (https://creativecommons.org/licenses/by/4.0/).
Share and Cite
Zharikov, S.; Miroshnichenko, A.; Reva, I.; Kokumbaeva, R.; Omarov, C.; Danford, S.; Aarnio, A.; Manset, N.; Raj, A.; Chojnowski, S.D.; et al. IRAS 17449+2320: A Possible Binary System with the B[e] Phenomenon and a Strong Magnetic Field. Galaxies 2025, 13, 32. https://doi.org/10.3390/galaxies13020032
Zharikov S, Miroshnichenko A, Reva I, Kokumbaeva R, Omarov C, Danford S, Aarnio A, Manset N, Raj A, Chojnowski SD, et al. IRAS 17449+2320: A Possible Binary System with the B[e] Phenomenon and a Strong Magnetic Field. Galaxies. 2025; 13(2):32. https://doi.org/10.3390/galaxies13020032
Chicago/Turabian StyleZharikov, Sergey, Anatoly Miroshnichenko, Inna Reva, Raushan Kokumbaeva, Chingis Omarov, Steve Danford, Alicia Aarnio, Nadine Manset, Ashish Raj, S. Drew Chojnowski, and et al. 2025. "IRAS 17449+2320: A Possible Binary System with the B[e] Phenomenon and a Strong Magnetic Field" Galaxies 13, no. 2: 32. https://doi.org/10.3390/galaxies13020032
APA StyleZharikov, S., Miroshnichenko, A., Reva, I., Kokumbaeva, R., Omarov, C., Danford, S., Aarnio, A., Manset, N., Raj, A., Chojnowski, S. D., & Daglen, J. (2025). IRAS 17449+2320: A Possible Binary System with the B[e] Phenomenon and a Strong Magnetic Field. Galaxies, 13(2), 32. https://doi.org/10.3390/galaxies13020032

