Clinical Outcomes and Genetic Mutations in Turkish Patients with Type 1 Gaucher Disease: Insights from a Single-Center Study
Abstract
1. Introduction
2. Methods
2.1. Study Population and Clinical Characteristics
- —
- Demographics: Age, sex, age at diagnosis, age at treatment initiation, treatment duration, and drug dosages were retrieved from the hospital’s information system.
- —
- Family Background: Data on the number of siblings, family history, and consanguinity were collected through structured interviews conducted by trained clinical staff using standardized questionnaires. Clinical parameters such as the history of epistaxis were also documented.
- —
- Biochemical Parameters: Routine laboratory tests were performed to measure blood markers including hemoglobin levels, white blood cell counts, and platelet counts. These biochemical parameters were recorded at both baseline and follow-up using the same laboratory protocols to assess changes in the clinical course and to ensure consistency.
- —
- Instrumental Parameters:
- ○
- Radiological Assessments: Liver and spleen dimensions, as well as the presence of hepatic steatosis, were evaluated via ultrasonography. These examinations were centralized, being performed by an experienced radiology team using consistent, standardized protocols. Hepatomegaly was defined as a craniocaudal liver length greater than 14 cm, and splenomegaly as a spleen length greater than 12 cm.
- ○
- Bone Mineral Density: All patients underwent bone mineral densitometry using dual-energy X-ray absorptiometry (DEXA) at our centralized radiology unit. Bone health was assessed by recording Z-scores to evaluate bone involvement, a common complication in GD. The same DEXA scanner and calibration protocols were used for all measurements to ensure standardization.
2.2. Genetic Analysis
2.3. Treatment and Outcomes
2.4. Statistical Analysis
3. Results
3.1. Treatment Outcomes
3.2. Genetic Findings and Mutational Analysis
- Seven patients were homozygous for both the c.1495G>A (p.V499M) and c.1226A>G (p.N409S) variants.
- Six patients were homozygous for the c.1226A>G (p.N409S) variant.
- Six patients were compound heterozygous for the c.1226A>G (p.N409S) and RecΔ55 (c.1265_1319del) variants.
- Four patients were homozygous for the c.1214G>C (p.S405T) variant.
- Three patients were compound heterozygous for the c.1226A>G (p.N409S) and c.658T>A (p.S220T) variants.
- Two patients were compound heterozygous for the c.1226A>G (p.N409S) and c.1193G>T (p.R398L) variants.
- One patient was compound heterozygous for the c.1226A>G (p.N409S) and c.1214G>C (p.S405T) variants.
4. Discussion
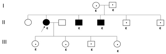
4.1. Family History, Consanguinity, and Genetic Screening
4.2. Clinical Presentation and Diagnostic Challenges
4.3. Efficacy of Enzyme Replacement Therapy
4.4. Genetic Spectrum of GD
4.5. Implications for Clinical Practice and Research
4.6. Limitations and Future Directions
5. Conclusions
Author Contributions
Funding
Institutional Review Board Statement
Informed Consent Statement
Data Availability Statement
Conflicts of Interest
References
- Suner, L.; Delhommeau, F. Gaucher’s disease. N. Engl. J. Med. 2022, 386, 1932. [Google Scholar] [CrossRef] [PubMed]
- Prencipe, F.; Barzan, C.; Savian, C.; Spalluto, G.; Carosati, E.; De Amici, M.; Mosconi, G.; Gianferrara, T.; Federico, S.; Da Ros, T. Gaucher Disease: A Glance from a Medicinal Chemistry Perspective. ChemMedChem 2024, 19, e202300641. [Google Scholar] [CrossRef] [PubMed]
- Sidransky, E. Gaucher disease: Complexity in a “simple” disorder. Mol. Genet. Metab. 2004, 81, 21–27. [Google Scholar] [CrossRef] [PubMed]
- Louw, V.J.; Fraser, I.; Giraldo, P. Management goals of type 1 Gaucher disease in South Africa: An expert Delphi consensus document on good clinical practice. PLoS ONE 2023, 18, e0290401. [Google Scholar] [CrossRef]
- Childers, W.; Fan, R.; Martinez, R.; Colussi, D.J.; Melenski, E.; Liu, Y.; Gordon, J.; Abou-Gharbia, M.; Jacobson, M.A. Novel compounds that reverse the disease phenotype in Type 2 Gaucher disease patient-derived cells. Bioorg. Med. Chem. Lett. 2020, 30, 126806. [Google Scholar] [CrossRef]
- Zhong, W.; Li, D.; Fei, Y.; Hong, P. A review of type 3 Gaucher disease: Unique neurological manifestations and advances in treatment. Acta Neurol. Belg. 2024, 124, 1213–1223. [Google Scholar] [CrossRef]
- Feng, J.; Gao, Z.; Shi, Z.; Wang, Y.; Li, S. Patient-reported outcomes in Gaucher’s disease: A systematic review. Orphanet J. Rare Dis. 2023, 18, 244. [Google Scholar] [CrossRef]
- Feng, S.; Rcheulishvili, N.; Jiang, X.; Zhu, P.; Pan, X.; Wei, M.; Wang, P.G.; Ji, Y.; Papukashvili, D. A review on Gaucher disease: Therapeutic potential of β-glucocerebrosidase-targeted mRNA/saRNA approach. Int. J. Biol. Sci. 2024, 20, 2111. [Google Scholar] [CrossRef]
- Mistry, P.K.; Lopez, G.; Schiffmann, R.; Barton, N.W.; Weinreb, N.J.; Sidransky, E. Gaucher Disease: Progress and Ongoing Challenges. Mol. Genet. Metab. 2016, 120, 8–21. [Google Scholar] [CrossRef]
- Sudul, P.; Piatkowska-Jakubas, B.; Pawlinski, L.; Galazka, K.; Sacha, T.; Kiec-Wilk, B. The Complexities of Diagnosis with Co-Existing Gaucher Disease and Hemato-Oncology—A Case Report and Review of the Literature. J. Clin. Med. 2023, 12, 5518. [Google Scholar] [CrossRef]
- Grabowski, G.A.; Antommaria, A.H.; Kolodny, E.H.; Mistry, P.K. Gaucher disease: Basic and translational science needs for more complete therapy and management. Mol. Genet. Metab. 2021, 132, 59–75. [Google Scholar] [CrossRef] [PubMed]
- Weinreb, N.J. The international cooperative Gaucher group (ICCG) Gaucher registry. Best Pract. Res. Clin. Haematol. 2023, 36, 101522. [Google Scholar] [CrossRef] [PubMed]
- Zimran, A.; Belmatoug, N.; Bembi, B.; Deegan, P.; Elstein, D.; Fernandez-Sasso, D.; Giraldo, P.; Goker-Alpan, O.; Lau, H.; Lukina, E.; et al. Demographics and patient characteristics of 1209 patients with Gaucher disease: Descriptive analysis from the Gaucher Outcome Survey (GOS). Am. J. Hematol. 2018, 93, 205–212. [Google Scholar] [CrossRef]
- Beutler, E.; Grabowski, G.A. Gaucher disease. In The Metabolic and Molecular Bases of Inherited Disease; McGraw Hill Medical: New York, NY, USA, 2001; pp. 3635–3668. [Google Scholar]
- Nguyen, Y.; Stirnemann, J.; Belmatoug, N. Gaucher disease. Rev. Du Prat. 2020, 70, 416–420. [Google Scholar]
- Richards, S.; Aziz, N.; Bale, S.; Bick, D.; Das, S.; Gastier-Foster, J.; Grody, W.W.; Hegde, M.; Lyon, E.; Spector, E.; et al. Standards and guidelines for the interpretation of sequence variants: A joint consensus recommendation of the American College of Medical Genetics and Genomics and the Association for Molecular Pathology. Genet. Med. 2015, 17, 405–424. [Google Scholar] [CrossRef]
- Sidransky, E. Gaucher disease: Insights from a rare Mendelian disorder. Discov. Med. 2012, 14, 273. [Google Scholar]
- Roshan Lal, T.; Sidransky, E. The spectrum of neurological manifestations associated with Gaucher disease. Diseases 2017, 5, 10. [Google Scholar] [CrossRef]
- Stirnemann, J.; Belmatoug, N.; Camou, F.; Serratrice, C.; Froissart, R.; Caillaud, C.; Levade, T.; Astudillo, L.; Serratrice, J.; Brassier, A. A review of Gaucher disease pathophysiology, clinical presentation and treatments. Int. J. Mol. Sci. 2017, 18, 441. [Google Scholar] [CrossRef]
- Weinreb, N.J.; Goldblatt, J.; Villalobos, J.; Charrow, J.; Cole, J.A.; Kerstenetzky, M.; Vom Dahl, S.; Hollak, C. Long-term clinical outcomes in type 1 Gaucher disease following 10 years of imiglucerase treatment. J. Inherit. Metab. Dis. 2013, 36, 543–553. [Google Scholar] [CrossRef]
- Zimran, A.; Elstein, D.; Levy-Lahad, E.; Zevin, S.; Hadas-Halpern, I.; Bar-Ziv, Y.; Foldes, J.; Schwartz, A.; Abrahamov, A. Replacement therapy with imiglucerase for type 1 Gaucher’s disease. Lancet 1995, 345, 1479–1480. [Google Scholar] [CrossRef]
- Grabowski, G.A. Gaucher disease and other storage disorders. In Hematology 2010, the American Society of Hematology Education Program Book; ASH Publications: Washington, DC, USA, 2012; Volume 2012, pp. 13–18. [Google Scholar]
- Hruska, K.S.; LaMarca, M.E.; Scott, C.R.; Sidransky, E. Gaucher disease: Mutation and polymorphism spectrum in the glucocerebrosidase gene (GBA). Hum. Mutat. 2008, 29, 567–583. [Google Scholar] [CrossRef] [PubMed]
- Oliveri, B.; González, D.C.; Rozenfeld, P.; Ferrari, E.; Gutiérrez, G. Early diagnosis of Gaucher disease based on bone symptoms. Medicina 2020, 80, 487–494. [Google Scholar] [PubMed]
- Degnan, A.J.; Ho-Fung, V.M.; Wang, D.-J.; Ficicioglu, C.; Jaramillo, D. Gaucher disease status and treatment assessment: Pilot study using magnetic resonance spectroscopy bone marrow fat fractions in pediatric patients. Clin. Imaging 2020, 63, 1–6. [Google Scholar] [CrossRef] [PubMed]
- Mistry, P.K.; Cappellini, M.D.; Lukina, E.; Özsan, H.; Pascual, S.M.; Rosenbaum, H.; Solano, M.H.; Spigelman, Z.; Villarrubia, J.; Watman, N.P. Consensus Conference: A reappraisal of Gaucher disease-diagnosis and disease management algorithms. Am. J. Hematol. 2011, 86, 110. [Google Scholar]
- Zhao, H.; Grabowski, G. Gaucher disease: Perspectives on a prototype lysosomal disease. Cell. Mol. Life Sci. CMLS 2002, 59, 694–707. [Google Scholar] [CrossRef]
- Kong, W.; Lu, C.; Ding, Y.; Meng, Y. Update of treatment for Gaucher disease. Eur. J. Pharmacol. 2022, 926, 175023. [Google Scholar] [CrossRef]
- Weinreb, N.J.; Camelo, J.S., Jr.; Charrow, J.; McClain, M.R.; Mistry, P.; Belmatoug, N. Gaucher disease type 1 patients from the ICGG Gaucher Registry sustain initial clinical improvements during twenty years of imiglucerase treatment. Mol. Genet. Metab. 2021, 132, 100–111. [Google Scholar] [CrossRef]


| Category | n | % | Mean (SD) | Median (IQR) | |
|---|---|---|---|---|---|
| Gender | Female | 15 | 52% | ||
| Male | 14 | 48% | |||
| Age at study enrollment (years) | 29 | 31.83 (12.24) | 30 (24–35) | ||
| Age at diagnosis (years) | 29 | 22.1 (12.5) | 21 (14–25) | ||
| Age at treatment initiation (years) | 27 | 23.04 (11.79) | 24 (12–29) | ||
| Number of children in the family | 29 | 7.03 (2.61) | 7 (5–10) | ||
| Number of sick siblings in the family | 29 | 2.83 (1.83) | 2 (1–3) | ||
| Receiving treatment | Yes | 27 | 93% | ||
| No | 2 | 7% | |||
| Current treatment (mg/14 day) | 27 | 3422 (779) | 3600 (2400–4400) | ||
| Family history | Yes | 27 | 93% | ||
| No | 2 | 7% | |||
| Related parents | Yes | 15 | 52% | ||
| No | 14 | 48% | |||
| Nose bleeding at diagnosis | Yes | 21 | 72% | ||
| No | 8 | 28% | |||
| Hepatosteatosis | No | 18 | 62% | ||
| Yes | 11 | 38% | |||
| Hepatosteatosis grade | 11 | 1.09 (0.3) | 1 (1–1) |
| n | Mean (SD) | Median (IQR) | t | p | |
|---|---|---|---|---|---|
| Hemoglobin at diagnosis (g/dL) | 28 | 11.47 (2.23) | 11.15 (9.95–13.05) | −6.10 | <0.001 |
| Hemoglobin current (g/dL) | 28 | 13.89 (1.79) | 13.72 (13.1–15.3) | ||
| Liver length at diagnosis (cm) | 28 | 17.07 (2.46) | 17.0 (15–19) | 4.27 | <0.001 |
| Liver length current (cm) | 28 | 15.36 (2.00) | 15.5 (14–17) | ||
| Platelet count at diagnosis | 29 | 91,689 (43,278) | 81,000 (61,000–126,000) | −8.85 | <0.001 |
| Platelet count current | 29 | 170,620 (55,442) | 172,000 (120,000–208,000) | ||
| Spleen length at diagnosis (cm) | 27 | 18.72 (5.95) | 17 (15–24) | 5.62 | <0.001 |
| Spleen length current (cm) | 27 | 14.00 (3.28) | 14 (11–17) | ||
| T-score at diagnosis | 11 | −1.44 (1.27) | −1.5 (−2.4–−0.7) | −0.40 | 0.698 |
| T-score current | 11 | −1.29 (1.22) | −1.4 (−2.0–−0.8) | ||
| Z-score at diagnosis | 19 | −2.12 (1.23) | −2.1 (−3.1–−1.4) | −3.24 | 0.005 |
| Z-score current | 19 | −1.04 (1.22) | −1.2 (−2.0–−0.1) | ||
| Bone mineral density | 28 | 1.01 (0.18) | 0.96 (0.88–1.16) |
| Patient ♀/♂ | Age | Homozygous for c.1495G>A (p.V499M) and c.1226A>G (p.N409S) | Homozygous for c.1226A>G (p.N409S) | Compound Heterozygous for c.1226A>G (p.N409S) and c.1265_1319 del (RecΔ55) | Homozygous for c.1214G>C (p.S405T) | Compound Heterozygous for c.1226A>G (p.N409S) and c.658T>A (p.S220T) | Compound Heterozygous for c.1226A>G (p.N409S) and c.1193G>T (p.R398L) | Compound Heterozygous for c.1226A>G (p.N409S) and c.1214G>C (p.S405T) |
|---|---|---|---|---|---|---|---|---|
| 1. ♀ | 31 | + | ||||||
| 2. ♀ * | 30 | + | ||||||
| 3. ♂ * | 27 | + | ||||||
| 4. ♂ * | 28 | + | ||||||
| 5. ♀ ** | 30 | + | ||||||
| 6. ♂ ** | 32 | + | ||||||
| 7. ♀ ** | 28 | + | ||||||
| 8. ♂ | 27 | + | ||||||
| 9. ♀ | 38 | + | ||||||
| 10. ♀ *** | 31 | + | ||||||
| 11. ♂ *** | 45 | + | ||||||
| 12. ♀ **** | 55 | + | ||||||
| 13. ♂ **** | 64 | + | ||||||
| 14. ♂ | 44 | + | ||||||
| 15. ♀ | 49 | + | ||||||
| 16. ♂ | 25 | + | ||||||
| 17. ♂ | 55 | + | ||||||
| 18. ♀ ***** | 17 | + | ||||||
| 19. ♀ ***** | 17 | + | ||||||
| 20. ♀ ***** | 18 | + | ||||||
| 21. ♂ ***** | 23 | + | ||||||
| 22. ♀ ***** | 15 | + | ||||||
| 23. ♀ ***** | 27 | + | ||||||
| 24. ♂ ****** | 33 | + | ||||||
| 25. ♀ ****** | 35 | + | ||||||
| 26. ♀ | 32 | + | ||||||
| 27. ♂ ******* | 24 | + | ||||||
| 28. ♂ ******* | 22 | + | ||||||
| 29. ♂ | 21 | + | ||||||
| n (%) | 7/29 (24.1%) | 6/29 (20.7%) | 6/29 (20.7%) | 4/29 (13.8%) | 3/29 (10.4%) | 2/29 (6.9%) | 1/29 (3.4%) |
Disclaimer/Publisher’s Note: The statements, opinions and data contained in all publications are solely those of the individual author(s) and contributor(s) and not of MDPI and/or the editor(s). MDPI and/or the editor(s) disclaim responsibility for any injury to people or property resulting from any ideas, methods, instructions or products referred to in the content. |
© 2025 by the authors. Licensee MDPI, Basel, Switzerland. This article is an open access article distributed under the terms and conditions of the Creative Commons Attribution (CC BY) license (https://creativecommons.org/licenses/by/4.0/).
Share and Cite
Çalışkan, A.R.; Weninger, J.; Kaçmaz, H.; Nacar, E.; Şahin Kutlu, E.; Onay, H.; Bayram, S.; Canbay, A.; Özcürümez, M.K. Clinical Outcomes and Genetic Mutations in Turkish Patients with Type 1 Gaucher Disease: Insights from a Single-Center Study. J. Pers. Med. 2025, 15, 109. https://doi.org/10.3390/jpm15030109
Çalışkan AR, Weninger J, Kaçmaz H, Nacar E, Şahin Kutlu E, Onay H, Bayram S, Canbay A, Özcürümez MK. Clinical Outcomes and Genetic Mutations in Turkish Patients with Type 1 Gaucher Disease: Insights from a Single-Center Study. Journal of Personalized Medicine. 2025; 15(3):109. https://doi.org/10.3390/jpm15030109
Chicago/Turabian StyleÇalışkan, Ali R., Jasmin Weninger, Huseyin Kaçmaz, Eda Nacar, Emine Şahin Kutlu, Hüseyin Onay, Süleyman Bayram, Ali Canbay, and Mustafa K. Özcürümez. 2025. "Clinical Outcomes and Genetic Mutations in Turkish Patients with Type 1 Gaucher Disease: Insights from a Single-Center Study" Journal of Personalized Medicine 15, no. 3: 109. https://doi.org/10.3390/jpm15030109
APA StyleÇalışkan, A. R., Weninger, J., Kaçmaz, H., Nacar, E., Şahin Kutlu, E., Onay, H., Bayram, S., Canbay, A., & Özcürümez, M. K. (2025). Clinical Outcomes and Genetic Mutations in Turkish Patients with Type 1 Gaucher Disease: Insights from a Single-Center Study. Journal of Personalized Medicine, 15(3), 109. https://doi.org/10.3390/jpm15030109

