Machine Learning for the Identification of Key Predictors to Bayley Outcomes: A Preterm Cohort Study
Abstract
1. Introduction
2. Materials and Methods
2.1. Study Participants
2.2. Procedures and Methods
2.3. Data Preparation
2.4. Statistical Analysis and Machine Learning
2.5. Agreement with a Pediatric Opinion on Variable Importance
3. Results
3.1. Characteristics of the Overall Sample
3.2. Linear Regression Models for Numeric Outcomes
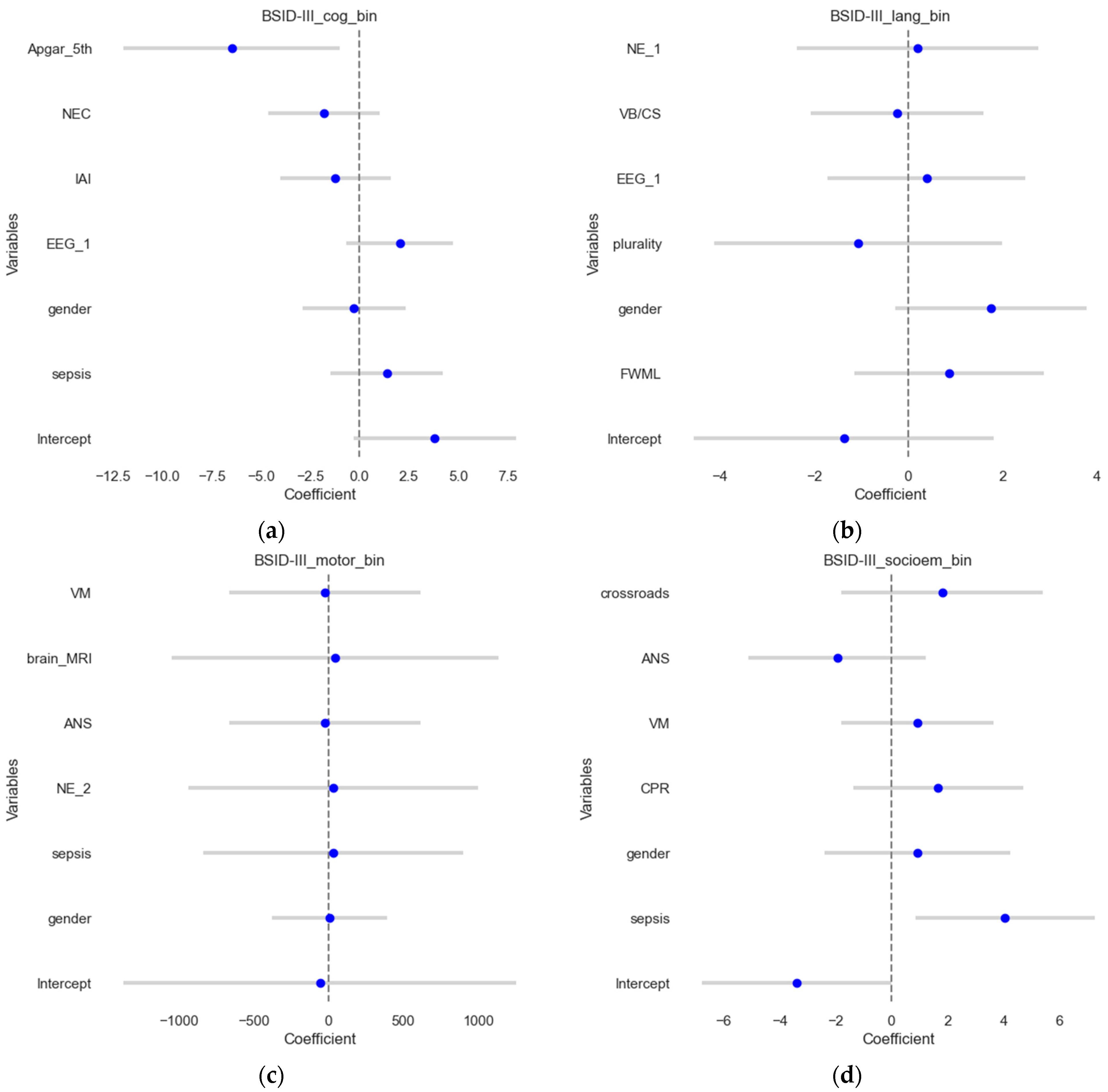
3.3. Logistic Regression for Dichotomized Outcomes
3.4. Random Forest Classification Models
3.5. Statistical Tests
3.6. Clinician’s Opinion
4. Discussion
4.1. Predictors for Bayley Cognitive Outcome
4.2. Predictors for Bayley Motor Outcome
4.3. Predictors for Bayley Socio-Emotional Outcome
4.4. Predictors for Bayley Language Outcome
4.5. Discrepancy with Pediatricians’ Opinions
4.6. Strengths and Limitations
5. Conclusions
Author Contributions
Funding
Institutional Review Board Statement
Informed Consent Statement
Data Availability Statement
Acknowledgments
Conflicts of Interest
References
- Cao, G.; Liu, J.; Liu, M. Global, Regional, and National Incidence and Mortality of Neonatal Preterm Birth, 1990–2019. JAMA Pediatr. 2022, 176, 787–796. [Google Scholar] [CrossRef] [PubMed]
- Hee Chung, E.; Chou, J.; Brown, K.A. Neurodevelopmental Outcomes of Preterm Infants: A Recent Literature Review. Transl. Pediatr. 2020, 9, S3–S8. [Google Scholar] [CrossRef] [PubMed]
- Ream, M.A.; Lehwald, L. Neurologic Consequences of Preterm Birth. Curr. Neurol. Neurosci. Rep. 2018, 18, 48. [Google Scholar] [CrossRef] [PubMed]
- WHO. Preterm Birth. Available online: https://www.who.int/news-room/fact-sheets/detail/preterm-birth (accessed on 22 June 2023).
- Do, C.H.T.; Kruse, A.Y.; Wills, B.; Sabanathan, S.; Clapham, H.; Pedersen, F.K.; Pham, T.N.; Vu, P.M.; Børresen, M.L. Neurodevelopment at 2 Years Corrected Age among Vietnamese Preterm Infants. Arch. Dis. Child. 2020, 105, 134–140. [Google Scholar] [CrossRef] [PubMed]
- Lloyd, R.O.; O’Toole, J.M.; Livingstone, V.; Filan, P.M.; Boylan, G.B. Can EEG Accurately Predict 2-Year Neurodevelopmental Outcome for Preterm Infants? Arch. Dis. Child. Fetal Neonatal Ed. 2021, 106, 535–541. [Google Scholar] [CrossRef]
- Agut, T.; Alarcon, A.; Cabañas, F.; Bartocci, M.; Martinez-Biarge, M.; Horsch, S. Preterm White Matter Injury: Ultrasound Diagnosis and Classification. Pediatr. Res. 2020, 87, 37–49. [Google Scholar] [CrossRef]
- Judas, M.; Rados, M.; Jovanov-Milosevic, N.; Hrabac, P.; Stern-Padovan, R.; Kostovic, I. Structural, Immunocytochemical, and Mr Imaging Properties of Periventricular Crossroads of Growing Cortical Pathways in Preterm Infants. AJNR Am. J. Neuroradiol. 2005, 26, 2671–2684. [Google Scholar]
- Bunoza, B.; Barišić, N.; Grđan Stevanović, P.; Bogdanić, A.; Benjak, V.; Grizelj, R.; Turudić, D.; Milošević, D.; Radoš, M. The Visibility of the Periventricular Crossroads of Pathways in Preterm Infants as a Predictor of Neurological Outcome and Occurrence of Neonatal Epileptic Seizures. Croat. Med. J. 2021, 62, 165–172. [Google Scholar] [CrossRef]
- Sheng, M.; Guo, T.; Mabbott, C.; Chau, V.; Synnes, A.; de Vries, L.S.; Grunau, R.E.; Miller, S.P. Ventricular Volume in Infants Born Very Preterm: Relationship with Brain Maturation and Neurodevelopment at Age 4.5 Years. J. Pediatr. 2022, 248, 51–58.e2. [Google Scholar] [CrossRef]
- Gosselin, J.; Gahagan, S.; Amiel-Tison, C. The Amiel-Tison Neurological Assessment at Term: Conceptual and Methodological Continuity in the Course of Follow-Up. Ment. Retard. Dev. Disabil. Res. Rev. 2005, 11, 34–51. [Google Scholar] [CrossRef]
- Paro-Panjan, D.; Neubauer, D.; Kodrie, J.; Bratanic, B. Amiel-Tison Neurological Assessment at Term Age: Clinical Application, Correlation with Other Methods, and Outcome at 12 to 15 Months. Dev. Med. Child Neurol. 2005, 47, 19–26. [Google Scholar] [CrossRef] [PubMed]
- Jobe, A.H.; Bancalari, E. Bronchopulmonary Dysplasia. Am. J. Respir. Crit. Care Med. 2001, 163, 1723–1729. [Google Scholar] [CrossRef] [PubMed]
- Pressler, R.M.; Cilio, M.R.; Mizrahi, E.M.; Moshé, S.L.; Nunes, M.L.; Plouin, P.; Vanhatalo, S.; Yozawitz, E.; de Vries, L.S.; Puthenveettil Vinayan, K.; et al. The ILAE Classification of Seizures and the Epilepsies: Modification for Seizures in the Neonate. Position Paper by the ILAE Task Force on Neonatal Seizures. Epilepsia 2021, 62, 615–628. [Google Scholar] [CrossRef] [PubMed]
- Yoo, Y.; Park, J.-E.; Park, M.; Lee, J. Implementation of the Feed and Swaddle Technique as a Non-Pharmacological Strategy to Conduct Brain Magnetic Resonance Imaging in Very Low Birth Weight Infants. Neonatal Med. 2021, 28, 108–115. [Google Scholar] [CrossRef]
- Kostović, I.; Kostović-Srzentić, M.; Benjak, V.; Jovanov-Milošević, N.; Radoš, M. Developmental Dynamics of Radial Vulnerability in the Cerebral Compartments in Preterm Infants and Neonates. Front. Neurol. 2014, 5, 139. [Google Scholar] [CrossRef]
- Milos, R.-I.; Jovanov-Milošević, N.; Mitter, C.; Bobić-Rasonja, M.; Pogledic, I.; Gruber, G.M.; Kasprian, G.; Brugger, P.C.; Weber, M.; Judaš, M.; et al. Developmental Dynamics of the Periventricular Parietal Crossroads of Growing Cortical Pathways in the Fetal Brain—In Vivo Fetal MRI with Histological Correlation. Neuroimage 2020, 210, 116553. [Google Scholar] [CrossRef]
- Kidokoro, H.; Neil, J.J.; Inder, T.E. New MR Imaging Assessment Tool to Define Brain Abnormalities in Very Preterm Infants at Term. AJNR Am. J. Neuroradiol. 2013, 34, 2208–2214. [Google Scholar] [CrossRef]
- Miller, S.P.; Cozzio, C.C.; Goldstein, R.B.; Ferriero, D.M.; Partridge, J.C.; Vigneron, D.B.; Barkovich, A.J. Comparing the Diagnosis of White Matter Injury in Premature Newborns with Serial MR Imaging and Transfontanel Ultrasonography Findings. AJNR Am. J. Neuroradiol. 2003, 24, 1661–1669. [Google Scholar] [PubMed]
- Bulbul, L.; Elitok, G.K.; Ayyıldız, E.; Kabakcı, D.; Uslu, S.; Köse, G.; Tiryaki Demir, S.; Bulbul, A. Neuromotor Development Evaluation of Preterm Babies Less than 34 Weeks of Gestation with Bayley III at 18–24 Months. BioMed Res. Int. 2020, 2020, 5480450. [Google Scholar] [CrossRef]
- Çelik, P.; Ayranci Sucakli, I.; Yakut, H.I. Which Bayley-III Cut-off Values Should Be Used in Different Developmental Levels? Turk. J. Med. Sci. 2020, 50, 764–770. [Google Scholar] [CrossRef]
- Fernandes, L.V.; Goulart, A.L.; dos Santos, A.M.N.; Barros, M.C.M.; Guerra, C.C.; Kopelman, B.I. Neurodevelopmental Assessment of Very Low Birth Weight Preterm Infants at Corrected Age of 18–24 Months by Bayley III Scales. J. Pediatr. 2012, 88, 471–478. [Google Scholar] [CrossRef]
- Kenyhercz, F.; Nagy, B.E. A New Perspective: Establishing Developmental Profiles of Premature Infants Based on Bayley-III Scores at Age 2. Appl. Neuropsychol. Child 2022, 11, 125–132. [Google Scholar] [CrossRef] [PubMed]
- Månsson, J.; Källén, K.; Eklöf, E.; Serenius, F.; Ådén, U.; Stjernqvist, K. The Ability of Bayley-III Scores to Predict Later Intelligence in Children Born Extremely Preterm. Acta Paediatr. 2021, 110, 3030–3039. [Google Scholar] [CrossRef] [PubMed]
- Virtanen, P.; Gommers, R.; Oliphant, T.E.; Haberland, M.; Reddy, T.; Cournapeau, D.; Burovski, E.; Peterson, P.; Weckesser, W.; Bright, J.; et al. SciPy 1.0: Fundamental Algorithms for Scientific Computing in Python. Nat. Methods 2020, 17, 261–272. [Google Scholar] [CrossRef]
- Perktold, J.; Seabold, S. Econometric and Statistical Modeling with Python Python. In Proceedings of the 9th Python in Science Conference, Austin, TX, USA, 28 June–3 July 2010; pp. 92–96. [Google Scholar]
- Vallat, R. Pingouin: Statistics in Python. J. Open Source Softw. 2018, 3, 1026. [Google Scholar] [CrossRef]
- Hunter, J.D. Matplotlib: A 2D Graphics Environment. Comput. Sci. Eng. 2007, 9, 90–95. [Google Scholar] [CrossRef]
- Waskom, M.L. Seaborn: Statistical Data Visualization. J. Open Source Softw. 2021, 6, 3021. [Google Scholar] [CrossRef]
- Breiman, L. Random Forests. Mach. Learn. 2001, 45, 5–32. [Google Scholar] [CrossRef]
- Pedregosa, F.; Varoquaux, G.; Gramfort, A.; Michel, V.; Thirion, B.; Grisel, O.; Blondel, M.; Prettenhofer, P.; Weiss, R.; Dubourg, V.; et al. Scikit-Learn: Machine Learning in Python. J. Mach. Learn. Res. 2011, 12, 2825–2830. [Google Scholar]
- Lovrić, M.; Banić, I.; Lacić, E.; Pavlović, K.; Kern, R.; Turkalj, M. Predicting Treatment Outcomes Using Explainable Machine Learning in Children with Asthma. Children 2021, 8, 376. [Google Scholar] [CrossRef]
- van Boven, M.R.; Henke, C.E.; Leemhuis, A.G.; Hoogendoorn, M.; van Kaam, A.H.; Königs, M.; Oosterlaan, J. Machine Learning Prediction Models for Neurodevelopmental Outcome after Preterm Birth: A Scoping Review and New Machine Learning Evaluation Framework. Pediatrics 2022, 150, e2021056052. [Google Scholar] [CrossRef] [PubMed]
- Lundberg, S.M.; Erion, G.; Chen, H.; DeGrave, A.; Prutkin, J.M.; Nair, B.; Katz, R.; Himmelfarb, J.; Bansal, N.; Lee, S.-I. From Local Explanations to Global Understanding with Explainable AI for Trees. Nat. Mach. Intell. 2020, 2, 56–67. [Google Scholar] [CrossRef]
- Lovrić, M.; Horner, D.; Chen, L.; Brustad, N.; Malby Schoos, A.-M.; Lasky-Su, J.; Chawes, B.; Rasmussen, M.A. Vertical Metabolome Transfer from Mother to Child: An Explainable Machine Learning Method for Detecting Metabolomic Heritability. Metabolites 2024, 14, 136. [Google Scholar] [CrossRef] [PubMed]
- Lovric, M.; Pavlović, K.; Žuvela, P.; Spataru, A.; Lucic, B.; Kern, R.; Wong, M. Machine Learning in Prediction of Intrinsic Aqueous Solubility of Drug-like Compounds: Generalization, Complexity, or Predictive Ability? J. Chemom. 2021, 35, 3349. [Google Scholar] [CrossRef]
- Demirci, G.M.; Kittler, P.M.; Phan, H.T.T.; Gordon, A.D.; Flory, M.J.; Parab, S.M.; Tsai, C.-L. Predicting Mental and Psychomotor Delay in Very Pre-Term Infants Using Machine Learning. Pediatr. Res. 2024, 95, 668–678. [Google Scholar] [CrossRef]
- Sewell, E.; Roberts, J.; Mukhopadhyay, S. Association of Infection in Neonates and Long-Term Neurodevelopmental Outcome. Clin. Perinatol. 2021, 48, 251–261. [Google Scholar] [CrossRef] [PubMed]
- Hirvonen, M.; Ojala, R.; Korhonen, P.; Haataja, P.; Eriksson, K.; Gissler, M.; Luukkaala, T.; Tammela, O. Cerebral Palsy among Children Born Moderately and Late Preterm. Pediatrics 2014, 134, e1584–e1593. [Google Scholar] [CrossRef]
- Lindström, K.; Lindblad, F.; Hjern, A. Preterm Birth and Attention-Deficit/Hyperactivity Disorder in Schoolchildren. Pediatrics 2011, 127, 858–865. [Google Scholar] [CrossRef]
- Hassen, T.A.; Chojenta, C.; Egan, N.; Loxton, D. The Association between the Five-Minute Apgar Score and Neurodevelopmental Outcomes among Children Aged 8–66 Months in Australia. Int. J. Environ. Res. Public Health 2021, 18, 6450. [Google Scholar] [CrossRef]
- Ehrhardt, H.; Aubert, A.M.; Ådén, U.; Draper, E.S.; Gudmundsdottir, A.; Varendi, H.; Weber, T.; Zemlin, M.; Maier, R.F.; Zeitlin, J. Apgar Score and Neurodevelopmental Outcomes at Age 5 Years in Infants Born Extremely Preterm. JAMA Netw. Open 2023, 6, e2332413. [Google Scholar] [CrossRef]
- Logan, J.W.; Dammann, O.; Allred, E.N.; Dammann, C.; Beam, K.; Joseph, R.M.; O’Shea, T.M.; Leviton, A.; Kuban, K.C.K. Early Postnatal Illness Severity Scores Predict Neurodevelopmental Impairments at 10 Years of Age in Children Born Extremely Preterm. J. Perinatol. 2017, 37, 606–614. [Google Scholar] [CrossRef] [PubMed]
- Dammann, O.; Naples, M.; Bednarek, F.; Shah, B.; Kuban, K.C.K.; O’Shea, T.M.; Paneth, N.; Allred, E.N.; Leviton, A.; ELGAN Study Investigators. SNAP-II and SNAPPE-II and the Risk of Structural and Functional Brain Disorders in Extremely Low Gestational Age Newborns: The ELGAN Study. Neonatology 2010, 97, 71–82. [Google Scholar] [CrossRef]
- Anderson, P.J.; Treyvaud, K.; Neil, J.J.; Cheong, J.L.Y.; Hunt, R.W.; Thompson, D.K.; Lee, K.J.; Doyle, L.W.; Inder, T.E. Associations of Newborn Brain Magnetic Resonance Imaging with Long-Term Neurodevelopmental Impairments in Very Preterm Children. J. Pediatr. 2017, 187, 58–65.e1. [Google Scholar] [CrossRef] [PubMed]
- Herbón, F.; Garibotti, G.; Moguilevsky, J. Predicción temprana del resultado neurológico a los 12 meses en neonatos de riesgo en Bariloche. An. Pediatr. 2015, 83, 123–129. [Google Scholar] [CrossRef] [PubMed]
- Leroux, B.G.; N’Guyen The Tich, S.; Branger, B.; Gascoin, G.; Rouger, V.; Berlie, I.; Montcho, Y.; Ancel, P.-Y.; Rozé, J.-C.; Flamant, C. Neurological Assessment of Preterm Infants for Predicting Neuromotor Status at 2 Years: Results from the LIFT Cohort. BMJ Open 2013, 3, e002431. [Google Scholar] [CrossRef] [PubMed]
- Juul, S.E.; Wood, T.R.; German, K.; Law, J.B.; Kolnik, S.E.; Puia-Dumitrescu, M.; Mietzsch, U.; Gogcu, S.; Comstock, B.A.; Li, S.; et al. Predicting 2-Year Neurodevelopmental Outcomes in Extremely Preterm Infants Using Graphical Network and Machine Learning Approaches. eClinicalMedicine 2023, 56, 101782. [Google Scholar] [CrossRef]
- Yerushalmy-Feler, A.; Marom, R.; Peylan, T.; Korn, A.; Haham, A.; Mandel, D.; Yarkoni, I.; Bassan, H. Electroencephalographic Characteristics in Preterm Infants Born with Intrauterine Growth Restriction. J. Pediatr. 2014, 164, 756–761.e1. [Google Scholar] [CrossRef]
- Schmidt, L.A.; Miskovic, V.; Boyle, M.; Saigal, S. Frontal Electroencephalogram Asymmetry, Salivary Cortisol, and Internalizing Behavior Problems in Young Adults Who Were Born at Extremely Low Birth Weight. Child Dev. 2010, 81, 183–199. [Google Scholar] [CrossRef]
- Hayashi-Kurahashi, N.; Kidokoro, H.; Kubota, T.; Maruyama, K.; Kato, Y.; Kato, T.; Natsume, J.; Hayakawa, F.; Watanabe, K.; Okumura, A. EEG for Predicting Early Neurodevelopment in Preterm Infants: An Observational Cohort Study. Pediatrics 2012, 130, e891–e897. [Google Scholar] [CrossRef]
- Badr, L.K.; Bookheimer, S.; Purdy, I.; Deeb, M. Predictors of Neurodevelopmental Outcome for Preterm Infants with Brain Injury: MRI, Medical and Environmental Factors. Early Hum. Dev. 2009, 85, 279–284. [Google Scholar] [CrossRef]
- Vliegenthart, R.J.S.; van Kaam, A.H.; Aarnoudse-Moens, C.S.H.; van Wassenaer, A.G.; Onland, W. Duration of Mechanical Ventilation and Neurodevelopment in Preterm Infants. Arch. Dis. Child. Fetal Neonatal Ed. 2019, 104, F631–F635. [Google Scholar] [CrossRef]
- Pérez-Pereira, M.; Fernández, P.; Resches, M.; Gómez-Taibo, M.L. Determinants of early language and communication in preterm and full term infants: A comparative study. Enfance 2013, 1, 59–76. [Google Scholar] [CrossRef]
- Valavani, E.; Blesa, M.; Galdi, P.; Sullivan, G.; Dean, B.; Cruickshank, H.; Sitko-Rudnicka, M.; Bastin, M.E.; Chin, R.F.M.; MacIntyre, D.J.; et al. Language Function Following Preterm Birth: Prediction Using Machine Learning. Pediatr. Res. 2022, 92, 480–489. [Google Scholar] [CrossRef]
- Tseng, W.-L.; Chen, C.-H.; Chang, J.-H.; Peng, C.-C.; Jim, W.-T.; Lin, C.-Y.; Hsu, C.-H.; Liu, T.-Y.; Chang, H.-Y.; on behalf of The Taiwan Premature Infant Follow-Up Network. Risk Factors of Language Delay at Two Years of Corrected Age among Very-Low-Birth-Weight Preterm Infants: A Population-Based Study. Children 2023, 10, 189. [Google Scholar] [CrossRef]
- Ambalavanan, N.; Baibergenova, A.; Carlo, W.A.; Saigal, S.; Schmidt, B.; Thorpe, K.E.; Trial of Indomethacin Prophylaxis in Preterms (TIPP) Investigators. Early Prediction of Poor Outcome in Extremely Low Birth Weight Infants by Classification Tree Analysis. J. Pediatr. 2006, 148, 438–444. [Google Scholar] [CrossRef] [PubMed]
- Saha, S.; Pagnozzi, A.; Bourgeat, P.; George, J.M.; Bradford, D.; Colditz, P.B.; Boyd, R.N.; Rose, S.E.; Fripp, J.; Pannek, K. Predicting Motor Outcome in Preterm Infants from Very Early Brain Diffusion MRI Using a Deep Learning Convolutional Neural Network (CNN) Model. Neuroimage 2020, 215, 116807. [Google Scholar] [CrossRef] [PubMed]
- Vassar, R.; Schadl, K.; Cahill-Rowley, K.; Yeom, K.; Stevenson, D.; Rose, J. Neonatal Brain Microstructure and Machine-Learning-Based Prediction of Early Language Development in Children Born Very Preterm. Pediatr. Neurol. 2020, 108, 86–92. [Google Scholar] [CrossRef] [PubMed]




| Features Group | Predictive Variables |
|---|---|
| Pregnancy and birth data | method of conception, birth (vaginal/cesarean section), plurality, ANS, IAI, gender, GA, BW, IUGR |
| Clinical characteristics | Apgar score at 1st and 5th minute, CPR, duration of invasive MV, sepsis, SNAP II, SNAPPE II, BPD, NEC, ROP, PDA, NS, duration of hospitalization (in days) |
| MRI at TEA | ventriculomegaly, visibility of frontal and parietal crossroads, focal white matter injuries, MRI finding at TEA |
| cEEG | cEEG at TEA (EEG1) and at 12 months of CA (EEG2) |
| Neurological assessment | Amiel-Tison examination at TEA (NE1) and 12 months of CA (NE2) |
| Characteristics | N | % |
|---|---|---|
| Plurality | 15 | 23 |
| IVF | 9 | 14 |
| Vaginal birth | 22 | 34 |
| Cesarean section | 42 | 66 |
| BPD | 20 | 31 |
| NEC | 17 | 27 |
| ROP | 47 | 73 |
| Apgar 1st min < 7 | 29 | 45 |
| Apgar 5th min < 7 | 20 | 31 |
| ANS | 39 | 61 |
| IAI | 11 | 17 |
| IUGR | 4 | 9 |
| CPR | 20 | 31 |
| Sepsis | 25 | 39 |
| PDA | 9 | 14 |
| NS | 12 | 19 |
| Bayley III ≥ 85 Score | N | % |
|---|---|---|
| Language scale | 40 | 63 |
| Motor scale | 41 | 64 |
| Socio-emotional scale | 52 | 81 |
| Cognitive scale | 38 | 59 |
| Assessment Category | Accuracy | ROCAUC | MCC |
|---|---|---|---|
| Cognitive Score | 0.77 | 0.76 | 0.53 |
| Language Assessment | 0.65 | 0.62 | 0.26 |
| Motor Scores | 0.77 | 0.80 | 0.57 |
| Socio-emotional Assessment | 0.77 | 0.70 | 0.36 |
| Feature | Cognitive Outcome (%) | Language Outcome (%) | Motor Outcome (%) | Socio-Emotional Outcome (%) |
|---|---|---|---|---|
| Sepsis | 30 | 0 | 60 | 30 |
| GA | 20 | 30 | - | 30 |
| Duration MV | 20 | 20 | - | - |
| SNAPPE II | 20 | - | - | - |
| Gender | 10 | - | - | - |
| Duration of hospitalization | - | 30 | - | 30 |
| Apgar 1st minute | - | 30 | - | - |
| FWML | - | - | 20 | - |
| NE 2 | - | - | 10 | - |
| CPR | - | - | 10 | - |
| EEG 1 | - | - | - | 10 |
| Bayley-III Cognitive | Bayley-III Motor | Bayley-III Socio-Emotional | Bayley-III Language | ||||
|---|---|---|---|---|---|---|---|
| CPR | 1 | CPR | 1 | CPR | 1 | GA | 1 |
| GA | 2 | GA | 2 | Apgar 5th min. | 2 | CPR | 2 |
| Apgar 5th min. | 3 | FWML | 3 | GA | 3 | Apgar 1st min. | 3 |
| sepsis | 4 | Apgar 5th min. | 4 | Apgar 1st min. | 4 | Apgar 5th min. | 4 |
| Apgar 1st min. | 5 | Apgar 1st min. | 5 | BW | 5 | FWML | 5 |
| NS | 6 | brain MRI | 6 | sepsis | 6 | duration MV | 6 |
| crossroads | 7 | crossroads | 7 | NS | 7 | SNAPPE II | 7 |
| SNAPPE II | 8 | VM | 8 | SNAP II | 8 | BW | 8 |
| FWML | 9 | duration MV | 9 | duration MV | 9 | brain MRI | 9 |
| BW | 10 | sepsis | 10 | SNAPPE II | 10 | NE 1 | 10 |
| duration MV | 11 | NS | 11 | FWML | 11 | sepsis | 11 |
| SNAP II | 12 | SNAPPE II | 12 | NE 1 | 12 | SNAP II | 12 |
| Brain MRI | 13 | IUGR | 13 | EEG 1 | 13 | NS | 13 |
| VM | 14 | NE 1 | 14 | crossroads | 14 | EEG 1 | 14 |
| BPD | 15 | BW | 15 | DH | 15 | VM | 15 |
| NE 1 | 16 | EEG 1 | 16 | VM | 16 | IUGR | 16 |
| NE 2 | 17 | IAI | 17 | brain MRI | 17 | NE 2 | 17 |
| IUGR | 18 | NE 2 | 18 | NE 2 | 18 | EEG 2 | 18 |
| NEC | 19 | SNAP II | 19 | IUGR | 19 | crossroads | 19 |
| EEG 1 | 20 | BPD | 20 | EEG 2 | 20 | BPD | 20 |
| EEG 2 | 21 | DH | 21 | IAI | 21 | IAI | 21 |
| DH | 22 | EEG 2 | 22 | BPD | 22 | DH | 22 |
| IAI | 23 | NEC | 23 | NEC | 23 | plurality | 23 |
| PDA | 24 | ANS | 24 | ANS | 24 | NEC | 24 |
| ANS | 25 | ROP | 25 | PDA | 25 | gender | 25 |
| ROP | 26 | PDA | 26 | plurality | 26 | ANS | 26 |
| plurality | 27 | VB/CS | 27 | gender | 27 | PDA | 27 |
| gender | 28 | gender | 28 | ROP | 28 | ROP | 28 |
| VB/CS | 29 | plurality | 29 | VB/CS | 29 | IVF | 29 |
| IVF | 30 | IVF | 30 | IVF | 30 | VB/CS | 30 |
Disclaimer/Publisher’s Note: The statements, opinions and data contained in all publications are solely those of the individual author(s) and contributor(s) and not of MDPI and/or the editor(s). MDPI and/or the editor(s) disclaim responsibility for any injury to people or property resulting from any ideas, methods, instructions or products referred to in the content. |
© 2024 by the authors. Licensee MDPI, Basel, Switzerland. This article is an open access article distributed under the terms and conditions of the Creative Commons Attribution (CC BY) license (https://creativecommons.org/licenses/by/4.0/).
Share and Cite
Grđan Stevanović, P.; Barišić, N.; Šunić, I.; Malby Schoos, A.-M.; Bunoza, B.; Grizelj, R.; Bogdanić, A.; Jovanović, I.; Lovrić, M. Machine Learning for the Identification of Key Predictors to Bayley Outcomes: A Preterm Cohort Study. J. Pers. Med. 2024, 14, 922. https://doi.org/10.3390/jpm14090922
Grđan Stevanović P, Barišić N, Šunić I, Malby Schoos A-M, Bunoza B, Grizelj R, Bogdanić A, Jovanović I, Lovrić M. Machine Learning for the Identification of Key Predictors to Bayley Outcomes: A Preterm Cohort Study. Journal of Personalized Medicine. 2024; 14(9):922. https://doi.org/10.3390/jpm14090922
Chicago/Turabian StyleGrđan Stevanović, Petra, Nina Barišić, Iva Šunić, Ann-Marie Malby Schoos, Branka Bunoza, Ruža Grizelj, Ana Bogdanić, Ivan Jovanović, and Mario Lovrić. 2024. "Machine Learning for the Identification of Key Predictors to Bayley Outcomes: A Preterm Cohort Study" Journal of Personalized Medicine 14, no. 9: 922. https://doi.org/10.3390/jpm14090922
APA StyleGrđan Stevanović, P., Barišić, N., Šunić, I., Malby Schoos, A.-M., Bunoza, B., Grizelj, R., Bogdanić, A., Jovanović, I., & Lovrić, M. (2024). Machine Learning for the Identification of Key Predictors to Bayley Outcomes: A Preterm Cohort Study. Journal of Personalized Medicine, 14(9), 922. https://doi.org/10.3390/jpm14090922

