Carotid Artery Geometry Modifications and Clinical Implications after Carotid Artery Stenting
Abstract
1. Introduction
2. Materials and Methods
2.1. Population Cohort
2.2. Anatomical Consideration
2.3. Outcomes
2.4. Statistical Analysis
3. Results
3.1. Baseline Population Characteristics
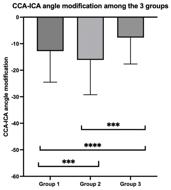
3.2. Anatomical Consideration
3.3. Clinical Implications
4. Discussion
Limitations
5. Conclusions
Author Contributions
Funding
Institutional Review Board Statement
Informed Consent Statement
Data Availability Statement
Conflicts of Interest
References
- Naylor, R.; Rantner, B.; Ancetti, S.; de Borst, G.J.; De Carlo, M.; Halliday, A.; Kakkos, S.K.; Markus, H.S.; McCabe, D.J.H.; Sillesen, H.; et al. Editor’s Choice—European Society for Vascular Surgery (ESVS) 2023 Clinical Practice Guidelines on the Management of Atherosclerotic Carotid and Vertebral Artery Disease. Eur. J. Vasc. Endovasc. Surg. 2023, 65, 7–111. [Google Scholar] [CrossRef] [PubMed]
- Wentzel, J.J.; Whelan, D.M.; van der Giessen, W.J.; van Beusekom, H.M.; Andhyiswara, I.; Serruys, P.W.; Slager, C.J.; Krams, R. Coronary stent implantation changes 3-D vessel geometry and 3-D shear stress distribution. J. Biomech. 2000, 33, 1287–1295. [Google Scholar] [CrossRef] [PubMed]
- Moneta, G.L.; Edwards, J.M.; Chitwood, R.W.; Taylor, L.M., Jr.; Lee, R.W.; Cummings, C.A.; Porter, J.M. Correlation of North American Symptomatic Carotid Endarterectomy Trial (NASCET) angiographic definition of 70% to 99% internal carotid artery stenosis with duplex scanning. J. Vasc. Surg. 1993, 17, 152–159. [Google Scholar] [CrossRef] [PubMed]
- Primozich, J.F. Extracranial Arterial System. In Duplex Scanning in Vascular Disorders. 3; Strandness, D.E., Ed.; Lippincott Williams and Wilkins: Philadelphia, PA, USA, 2002; pp. 191–231. [Google Scholar]
- Setacci, C.; Chisci, E.; Setacci, F.; Iacoponi, F.; de Donato, G. Grading carotid intrastent restenosis: A 6-year follow-up study. Stroke 2008, 39, 1189–1196. [Google Scholar] [CrossRef] [PubMed]
- Machnik, R.; Paluszek, P.; Tekieli, Ł.; Dzierwa, K.; Maciejewski, D.; Trystuła, M.; Brzychczy, A.; Banaszkiewicz, K.; Musiał, R.; Pieniążek, P. Mesh-covered (Roadsaver) stent as a new treatment modality for symptomatic or high-risk carotid stenosis. Postepy Kardiol Interwencyjnej 2017, 13, 130–134. [Google Scholar] [CrossRef] [PubMed] [PubMed Central]
- Pini, R.; Faggioli, G.; Paraskevas, K.I.; Campana, F.; Sufali, G.; Rocchi, C.; Palermo, S.; Gallitto, E.; Gargiulo, M. Carotid Artery Stenting With Double-Layer Stent: A Systematic Review and Meta-Analysis. J. Endovasc. Ther. 2022, 31, 339–349. [Google Scholar] [CrossRef] [PubMed]
- Mazurek, A.; Malinowski, K.; Rosenfield, K.; Capoccia, L.; Speziale, F.; de Donato, G.; Setacci, C.; Wissgott, C.; Sirignano, P.; Tekieli, L.; et al. Clinical Outcomes of Second- versus First-Generation Carotid Stents: A Systematic Review and Meta-Analysis. J. Clin. Med. 2022, 11, 4819. [Google Scholar] [CrossRef] [PubMed] [PubMed Central]
- Setacci, C.; Speziale, F.; De Donato, G.; Sirignano, P.; Setacci, F.; Capoccia, L.; Galzerano, G.; Mansour, W.; IRON-Guard Study Group. Physician-initiated prospective Italian Registry of carotid stenting with the C-Guard mesh-stent: The IRON-Guard registry. Rationale and design. J. Cardiovasc. Surg. 2015, 56, 787–791. [Google Scholar] [PubMed]
- de Donato, G.; Pasqui, E.; Alba, G.; Giannace, G.; Panzano, C.; Cappelli, A.; Setacci, C.; Palasciano, G. Clinical considerations and recommendations for OCT-guided carotid artery stenting. Expert Rev. Cardiovasc. Ther. 2020, 18, 219–229. [Google Scholar] [CrossRef] [PubMed]
- Umemoto, T.; de Donato, G.; Pacchioni, A.; Reimers, B.; Ferrante, G.; Isobe, M.; Setacci, C. Optical coherence tomography assessment of newgeneration mesh-covered stents after carotid stenting. EuroIntervention 2017, 13, 1347–1354. [Google Scholar] [CrossRef] [PubMed]
- Tanaka, N.; Martin, J.B.; Tokunaga, K.; Abe, T.; Uchiyama, Y.; Hayabuchi, N.; Berkefeld, J.; Rüfenacht, D.A. Conformity of carotid stents with vascular anatomy: Evaluation in carotid models. AJNR Am. J. Neuroradiol. 2004, 25, 604–607. [Google Scholar] [PubMed] [PubMed Central]
- de Vries, E.E.; Kök, M.; Hoving, A.M.; Slump, C.H.; Toorop, R.J.; de Borst, G.J. (In)comparability of Carotid Artery Stent Characteristics: A Systematic Review on Assessment and Comparison with Manufacturer Data. Cardiovasc. Intervent. Radiol. 2020, 43, 1430–1437. [Google Scholar] [CrossRef] [PubMed] [PubMed Central]
- Ginanni Corradini, L.; Balocco, S.; Maresca, L.; Vitale, S.; Stefanini, M. Anatomical Modifications After Stent Implantation: A Comparative Analysis Between CGuard, Wallstent, and Roadsaver Carotid Stents. J. Endovasc. Ther. 2023, 30, 18–24. [Google Scholar] [CrossRef] [PubMed]
- Ren, S.; Liu, Q.; Chen, Z.; Deng, X.; Sun, A.; Luan, J. Hemodynamic evaluation of endarterectomy and stenting treatments for carotid web. Front. Cardiovasc. Med. 2022, 9, 993037. [Google Scholar] [CrossRef] [PubMed] [PubMed Central]
- Johari, N.H.; Hamady, M.; Xu, X.Y. A Computational Study of the Effect of Stent Design on Local Hemodynamic Factors at the Carotid Artery Bifurcation. Artery Res. 2020, 26, 161–169. [Google Scholar] [CrossRef]
- Piamsomboon, C.; Roubin, G.S.; Liu, M.W.; Iyer, S.S.; Mathur, A.; Dean, L.S.; Gomez, C.R.; Vitek, J.J.; Chattipakorn, N.; Yates, G. Relationship between oversizing of self-expanding stents and late loss index in carotid stenting. Cathet Cardiovasc. Diagn. 1998, 45, 139–143. [Google Scholar] [CrossRef] [PubMed]
- Kirsch, E.C.; Khangure, M.S.; Morling, P.; York, T.J.; McAuliffe, W. Oversizing of self-expanding stents: Influence on the development of neointimal hyperplasia of the carotid artery in a canine model. AJNR Am. J. Neuroradiol. 2002, 23, 121–127. [Google Scholar] [PubMed] [PubMed Central]




| Variable | Whole Population (n = 226) | Group 1 (n = 131) | Group 2 (n = 57) | Group 3 (n = 38) | p Value |
|---|---|---|---|---|---|
| Age (mean ± SD) | 77 ± 7.4 | 76.8 ± 7.4 | 77.3 ± 7.4 | 76.9 ±7.5 | 0.7 |
| Male (n, %) | 164 (72.5%) | 89 (68.0%) | 45 (78.9%) | 30 (78.9%) | 0.2 |
| Hypertension (n, %) | 192 (84.9%) | 111 (84.7%) | 48 (84.2%) | 33 (86.8%) | 0.9 |
| Dyslipidemia (n, %) | 175 (77.4%) | 105 (80.2%) | 39 (68.4%) | 32 (84.2%) | 0.1 |
| CAD (n, %) | 58 (25.6%) | 37 (28.2%) | 11 (19.3%) | 10 (26.3%) | 0.6 |
| PAD (n, %) | 16 (2.6%) | 8 (6.1%) | 6 (10.5%) | 2 (5.3%) | 0.6 |
| CKD (n, %) | 22 (9.7%) | 11 (8.4%) | 5 (8.8%) | 6 (15.8%) | 0.4 |
| AF (n, %) | 24 (10.6%) | 14 (10.7%) | 3 (5.2%) | 7 (18.4%) | 0.1 |
| DM (n, %) | 72 (31.8%) | 42 (32.1%) | 18 (31.6%) | 12 (31.6%) | 0.9 |
| Symptomatic (n, %) | 15 (6.6%) | 3 (2.3%) | 3 (5.3%) | 9 (23.7%) | 0.0001 |
| Stenosis (mean ± SD) | 82.4 ± 8.7 | 81.6 ± 9.1 | 83.4 ± 9.4 | 83.3 ± 7.1 | 0.8 |
| Hyperechoic plaque (n, %) | 128 (56.7%) | 83 (63.4%) | 30 (52.6%) | 15 (39.5%) | 0.09 |
| Hypoechoic plaque (n, %) | 51 (22.6%) | 23 (17.6%) | 15 (26.3%) | 13 (34.2%) | 0.09 |
| Isoechoic plaque (n, %) | 47 (20.7%) | 25 (19.1%) | 12 (21.1%) | 10 (26.3%) | 0.09 |
| Plaque localization (n, %) Bulb ICA Bulb origin I° part of ICA | 14 (6.2%) 129 (57.1%) 87 (38.5%) | 12 (9.1%) 73 (55.7%) 50 (38.2%) | 1 (1.8%) 32 (56.1%) 25 (43.9%) | 1 (2.6%) 24 (63.2%) 12 (31.2%) | 0.1 0.2 0.2 |
| Irregular profile (n, %) | 83 (36.7%) | 44 (33.6%) | 20 (35.1%) | 19 (50%) | 0.2 |
| Ulceration (n, %) | 26 (11.5%) | 12 (9.1%) | 7 (12.3%) | 7 (18.4%) | 0.3 |
| Arch type (n, %) Type I Type II Type III Bovine | 141 (62.4%) 45 (19.9%) 40 (17.7%) 13 (5.8%) | 90 (68.7%) 22 (16.8%) 19 (14.5%) 9 (6.9%) | 33 (57.9%) 13 (22.8%) 11 (19.3%) 2 (3.5%) | 18 (47.3%) 10 (26.3%) 10 (26.3%) 2 (5.3%) | 0.1 0.1 0.1 0.2 |
| Variable | Whole Population (n = 226) | Group 1 (n = 131) | Group 2 (n = 57) | Group 3 (n = 38) | p Value |
|---|---|---|---|---|---|
| Pre-stenting CCA-ICA angle | 155 ± 14.9 | 156.8 ± 13.8 | 149.7 ± 14.8 | 156.5 ±16.9 | 0.6 |
| Post-stenting CCA-ICA angle | 167.7 ± 8.7 | 169.6 ± 7.1 | 165.8 ± 8.4 | 164.2 ± 11.9 | 0.5 |
| p value | 0.0001 | 0.0001 | 0.0001 | 0.02 |
| Variable | Whole Population (n = 226) | Group 1 (n = 131) | Group 2 (n = 57) | Group 3 (n = 38) | p Value |
|---|---|---|---|---|---|
| CCA diameter | 8.4 ± 0.9 | 8.4 ± 0.9 | 8.6 ± 1.1 | 8.2 ± 0.6 | 0.2 |
| ICA diameter | 6.0 ± 0.7 | 6.0 ± 0.8 | 6.1 ± 0.8 | 5.8 ± 0.7 | 0.3 |
| Stent diameter | 8.2 ± 0.8 | 8.2 ± 1.0 | 8.2 ± 0.4 | 8.1 ± 0.8 | 0.4 |
| Stent length | 33.1 ± 6.2 | 35.0 ± 5.5 | 26.6 ± 3.7 | 35.7 ± 5.1 | 0.06 |
Disclaimer/Publisher’s Note: The statements, opinions and data contained in all publications are solely those of the individual author(s) and contributor(s) and not of MDPI and/or the editor(s). MDPI and/or the editor(s) disclaim responsibility for any injury to people or property resulting from any ideas, methods, instructions or products referred to in the content. |
© 2024 by the authors. Licensee MDPI, Basel, Switzerland. This article is an open access article distributed under the terms and conditions of the Creative Commons Attribution (CC BY) license (https://creativecommons.org/licenses/by/4.0/).
Share and Cite
Pasqui, E.; Gargiulo, B.; Pasquetti, L.; Lazzeri, E.; Galzerano, G.; de Donato, G. Carotid Artery Geometry Modifications and Clinical Implications after Carotid Artery Stenting. J. Pers. Med. 2024, 14, 1091. https://doi.org/10.3390/jpm14111091
Pasqui E, Gargiulo B, Pasquetti L, Lazzeri E, Galzerano G, de Donato G. Carotid Artery Geometry Modifications and Clinical Implications after Carotid Artery Stenting. Journal of Personalized Medicine. 2024; 14(11):1091. https://doi.org/10.3390/jpm14111091
Chicago/Turabian StylePasqui, Edoardo, Bruno Gargiulo, Leonardo Pasquetti, Elisa Lazzeri, Giuseppe Galzerano, and Gianmarco de Donato. 2024. "Carotid Artery Geometry Modifications and Clinical Implications after Carotid Artery Stenting" Journal of Personalized Medicine 14, no. 11: 1091. https://doi.org/10.3390/jpm14111091
APA StylePasqui, E., Gargiulo, B., Pasquetti, L., Lazzeri, E., Galzerano, G., & de Donato, G. (2024). Carotid Artery Geometry Modifications and Clinical Implications after Carotid Artery Stenting. Journal of Personalized Medicine, 14(11), 1091. https://doi.org/10.3390/jpm14111091

