Prediction of Fetal Death in Preterm Preeclampsia Using Fetal Sex, Placental Growth Factor and Gestational Age
Abstract
1. Introduction
2. Materials and Methods
3. Results
3.1. Descriptive Analysis of the Population
3.2. Univariable Logistic Regression for the Prediction of Perinatal Death
3.3. Multivariable Model
3.4. Effect Size of GA, PlGF, and Sex
4. Discussion
5. Conclusions
Author Contributions
Funding
Institutional Review Board Statement
Informed Consent Statement
Data Availability Statement
Conflicts of Interest
Abbreviations
| PE | Preeclampsia |
| SD | Standard deviation |
| Q | Quartiles |
| BMI | Body Mass Index |
| GA | Gestational age |
| EFW | Estimated fetal weight |
| BW | Birth weight |
| AST | Aspartate aminotransferase |
| ALT | Alanine transaminase |
| LDH | Lactate dehydrogenase |
| Hemolysis, elevated liver enzymes, and low platelets HELLP syndrome | |
| S-Flt-1 | Soluble fms-like tyrosine kinase-1 |
| PlGF | Placental growth factor |
| UA | Umbilical artery |
| MCA | Middle cerebral artery |
| PI | Pulsatility index |
| CPR | Cerebroplacental ratio |
| MoM | Multiples of the median |
| IVF | In vitro fertilization |
| CTG | Cardiotocogram |
| IUGR | Intrauterine growth restriction |
| ICU | Intensive care unit |
| CS | Cesarean section |
References
- Abalos, E.; Cuesta, C.; Grosso, A.L.; Chou, D.; Say, L. Global and regional estimates of preeclampsia and eclampsia: A systematic review. Eur. J. Obstet. Gynecol. Reprod. Biol. 2013, 170, 1. [Google Scholar] [CrossRef] [PubMed]
- American College of Obstetricians and Gynecologists. Hypertension in pregnancy: Executive summary. Obstet. Gynecol. 2013, 122, 1122–1131. [Google Scholar] [CrossRef] [PubMed]
- Gestational Hypertension and Preeclampsia: ACOG Practice Bulletin, Number 222. Obstet. Gynecol. 2020, 135, e237. [CrossRef] [PubMed]
- Lai, J.; Syngelaki, A.; Nicolaides, K.H.; von Dadelszen, P.; Magee, L.A. Impact of new definitions of preeclampsia at term on identification of adverse maternal and perinatal outcomes. Am. J. Obstet. Gynecol. 2021, 224, 518.e1. [Google Scholar] [CrossRef]
- Lisonkova, S.; Joseph, K.S. Incidence of preeclampsia: Risk factors and outcomes associated with early- versus late-onset disease. Am. J. Obstet. Gynecol. 2013, 209, 544.e1. [Google Scholar] [CrossRef]
- Grand’Maison, S.; Pilote, L.; Okano, M.; Landry, T.; Dayan, N. Markers of Vascular Dysfunction After Hypertensive Disorders of Pregnancy: A Systematic Review and Meta-Analysis. Hypertension 2016, 68, 1447–1458. [Google Scholar] [CrossRef] [PubMed]
- Tan, M.Y.; Syngelaki, A.; Poon, L.C.; Rolnik, D.L.; O’Gorman, N.; Delgado, J.L.; Akolekar, R.; Konstantinidou, L.; Tsavdaridou, M.; Galeva, S.; et al. Screening for pre-eclampsia by maternal factors and biomarkers at 11–13 weeks’ gestation. Ultrasound Obstet. Gynecol. 2018, 52, 186–195. [Google Scholar] [CrossRef] [PubMed]
- Duley, L.; Meher, S.; Hunter, K.E.; Seidler, A.L.; Askie, L.M. Antiplatelet agents for preventing pre-eclampsia and its complications. Cochrane Database Syst. Rev. 2019, 2019, CD004659. [Google Scholar] [CrossRef]
- Henderson, J.T.; Vesco, K.K.; Senger, C.A.; Thomas, R.G.; Redmond, N. Aspirin Use to Prevent Preeclampsia and Related Morbidity and Mortality: Updated Evidence Report and Systematic Review for the US Preventive Services Task Force. JAMA 2021, 326, 1192. [Google Scholar] [CrossRef]
- Ma’ayeh, M.; Costantine, M.M. Prevention of preeclampsia. Semin. Fetal Neonatal Med. 2020, 25, 101123. [Google Scholar] [CrossRef] [PubMed] [PubMed Central]
- Ives, C.W.; Sinkey, R.; Rajapreyar, I.; Tita, A.T.N.; Oparil, S. Preeclampsia-Pathophysiology and Clinical Presentations: JACC State-of-the-Art Review. J. Am. Coll. Cardiol. 2020, 76, 1690–1702. [Google Scholar] [CrossRef] [PubMed]
- Duhig, K.E.; Myers, J.E.; Gale, C.; Girling, J.C.; Harding, K.; Sharp, A.; Simpson, N.A.B.; Tuffnell, D.; Seed, P.T.; Shennan, A.H.; et al. Placental growth factor measurements in the assessment of women with suspected Preeclampsia: A stratified analysis of the PARROT trial. Pregnancy Hypertens. 2021, 23, 41–47. [Google Scholar] [CrossRef] [PubMed] [PubMed Central]
- Cerdeira, A.S.; O’Sullivan, J.; Ohuma, E.O.; Harrington, D.; Szafranski, P.; Black, R.; Mackillop, L.; Impey, L.; Greenwood, C.; James, T.; et al. Randomized Interventional Study on Prediction of Preeclampsia/Eclampsia in Women With Suspected Preeclampsia: INSPIRE. Hypertension 2019, 74, 983–990. [Google Scholar] [CrossRef] [PubMed] [PubMed Central]
- Thadhani, R.; Lemoine, E.; Rana, S.; Costantine, M.M.; Calsavara, V.F.; Boggess, K.; Wylie, B.J.; Simas, T.A.M.; Louis, J.M.; Espinoza, J.; et al. Circulating angiogenic factor levels in hypertensive disorders of pregnancy. NEJM Evid. 2022, 1, EVIDoa2200161. [Google Scholar] [CrossRef]
- Perales, A.; Delgado, J.L.; de la Calle, M.; García-Hernández, J.A.; Escudero, A.I.; Campillos, J.M.; Sarabia, M.D.; Laíz, B.; Duque, M.; Navarro, M.; et al. sFlt-1/PlGF for prediction of early-onset pre-eclampsia: STEPS (Study of Early Pre-eclampsia in Spain). Ultrasound Obstet. Gynecol. 2017, 50, 373–382. [Google Scholar] [CrossRef] [PubMed] [PubMed Central]
- German Society of Obstetrics and Gynecology (DGGG), OEGG and SGGG. Guidelines for Hypertensive Disorders in Pregnancy. Diagnosis and Therapy. Updated May 2019. Available online: https://www.awmf.org/leitlinien/detail/ll/015-018.html (accessed on 28 June 2019).
- Verlohren, S.; Brennecke, S.P.; Galindo, A.; Karumanchi, S.A.; Mirkovic, L.B.; Schlembach, D.; Stepan, H.; Vatish, M.; Zeisler, H.; Rana, S. Clinical interpretation and implementation of the sFlt-1/PlGF ratio in the prediction, diagnosis and management of preeclampsia. Pregnancy Hypertens. 2022, 27, 42–50. [Google Scholar] [CrossRef] [PubMed]
- National Institute for Health and Care Excellence (NICE). PlGF-Based Testing to Help Diagnose Suspected Pre-Eclampsia (Triage PlGF Test, Elecsys Immunoassay sFlt-1/PlGF Ratio, DELFIA Xpress PlGF 1-2-3 Test, and BRAHMS sFlt-1 Kryptor/BRAHMS PlGF Plus Kryptor PE Ratio); NICE: London, UK, 2016. [Google Scholar]
- Magee, L.A.; Brown, M.A.; Hall, D.R.; Gupte, S.; Hennessy, A.; Karumanchi, S.A.; Kenny, L.C.; McCarthy, F.; Myers, J.; Poon, L.C.; et al. The 2021 International Society for the Study of Hypertension in Pregnancy classification, diagnosis & management recommendations for international practice. Pregnancy Hypertens. 2022, 27, 148. [Google Scholar]
- Visintin, C.; Mugglestone, M.A.; Almerie, M.Q.; Nherera, L.M.; James, D.; Walkinshaw, S.; on behalf of the Guideline Development Group. Management of hypertensive disorders during pregnancy: Summary of NICE guidance. BMJ 2010, 341, c2207. [Google Scholar] [CrossRef]
- Yu, Y.L.; Zhong, H.F.; Chen, C.; Gong, W.T.; Huang, Y.C.; Lin, B.C.; Huang, Z.F.; Yang, C.Z. Management and prognosis of extremely preterm infants with gestational age ≤25+6 weeks. Zhonghua Er Ke Za Zhi 2023, 61, 36–42. (In Chinese) [Google Scholar] [CrossRef] [PubMed]
- Backes, C.H.; Rivera, B.K.; Pavlek, L.; Beer, L.J.; Ball, M.K.; Zettler, E.T.; Smith, C.V.; Bridge, J.A.; Bell, E.F.; Frey, H.A. Proactive neonatal treatment at 22 weeks of gestation: A systematic review and meta-analysis. Am. J. Obstet. Gynecol. 2021, 224, 158–174. [Google Scholar] [CrossRef] [PubMed]
- Cnattingius, S.; Johansson, S.; Razaz, N. Apgar Score and Risk of Neonatal Death among Preterm Infants. N. Engl. J. Med. 2020, 383, 49–57. [Google Scholar] [CrossRef] [PubMed]
- Rajendran, A.; Minhas, A.S.; Kazzi, B.; Varma, B.; Choi, E.; Thakkar, A.; Michos, E.D. Sex-specific differences in cardiovascular risk factors and implications for cardiovascular disease prevention in women. Atherosclerosis 2023, 384, 117269. [Google Scholar] [CrossRef] [PubMed] [PubMed Central]
- Gerdts, E.; Sudano, I.; Brouwers, S.; Borghi, C.; Bruno, R.M.; Ceconi, C.; Cornelissen, V.; Diévart, F.; Ferrini, M.; Kahan, T.; et al. Sex differences in arterial hypertension. Eur. Heart J. 2022, 43, 4777–4788. [Google Scholar] [CrossRef] [PubMed] [PubMed Central]
- Smigoc Schweiger, D.; Battelino, T.; Groselj, U. Sex-Related Differences in Cardiovascular Disease Risk Profile in Children and Adolescents with Type 1 Diabetes. Int. J. Mol. Sci. 2021, 22, 10192. [Google Scholar] [CrossRef] [PubMed] [PubMed Central]
- Graton, M.E.; Spaans, F.; He, R.; Chatterjee, P.; Kirschenman, R.; Quon, A.; Phillips, T.J.; Case, C.P.; Davidge, S.T. Sex-specific differences in the mechanisms for enhanced thromboxane A2-mediated vasoconstriction in adult offspring exposed to prenatal hypoxia. Biol. Sex. Differ. 2024, 15, 52. [Google Scholar] [CrossRef] [PubMed] [PubMed Central]
- Andersen, L.B.; Jørgensen, J.S.; Herse, F.; Andersen, M.S.; Christesen, H.T.; Dechend, R. The association between angiogenic markers and fetal sex: Implications for preeclampsia research. J. Reprod. Immunol. 2016, 117, 24–29. [Google Scholar] [CrossRef] [PubMed]
- Brown, Z.A.; Schalekamp-Timmermans, S.; Tiemeier, H.W.; Hofman, A.; Jaddoe, V.W.; Steegers, E.A. Fetal sex specific differences in human placentation: A prospective cohort study. Placenta 2014, 35, 359–364. [Google Scholar] [CrossRef] [PubMed]
- Vatten, L.J.; Skjaerven, R. Offspring sex and pregnancy outcome by length of gestation. Early Hum. Dev. 2004, 76, 47–54. [Google Scholar] [CrossRef] [PubMed]
- Tsiakkas, A.; Duvdevani, N.; Wright, A.; Wright, D.; Nicolaides, K.H. Serum placental growth factor in the three trimesters of pregnancy: Effects of maternal characteristics and medical history. Ultrasound Obstet. Gynecol. 2015, 45, 591–598. [Google Scholar] [CrossRef] [PubMed]





| 1-All Cases (N = 148) | 2-Perinatal Death (n = 18) | 3-Live Fetuses (n = 130) | (2 versus 3) | ||||
| Continuous Parameters | Mean (SD) | Median (1st, 3rd Q) | Mean (SD) | Median (1st, 3rd Q) | Mean (SD) | Median (1st, 3rd Q) | p-Value |
| Maternal age | 34.9 (6.1) | 35 (31, 39) | 34 (6.9) | 35 (30.5, 39) | 35 (6) | 35 (31, 39) | 0.7585 |
| Number of gestations | 2.0 (1.3) | 1.5 (1, 3) | 1.4 (0.7) | 1 (1, 2) | 2.1 (1.4) | 2 (1, 3) | 0.0704 |
| Parity | 0.5 (0.9) | 0 (0, 1) | 0.1 (0.3) | 0 (0, 0) | 0.51 (0.94) | 0 (0, 1) | 0.1955 |
| Prepregnancy weight (kg) | 73.9 (17.1) | 71.7 (61.4, 84.9) | 79.6 (17.7) | 76 (63.5, 90) | 73.1 (17) | 70.9 (60, 83.6) | 0.1196 |
| Height (cm) | 162.0 (6.9) | 158 (162, 165) | 163.7 (6.5) | 163 (159, 170) | 161.8 (6.9) | 162 (158, 165) | 0.2655 |
| BMI (kg/m2) | 27.9 (6.1) | 27.1 (23.1, 31.1) | 29.7 (6.3) | 27.2 (24.75, 33.3) | 27.7 (6.1) | 27.1 (23, 31) | 0.2351 |
| GA at admission | 30.9 (3.8) | 31.3 (28.3, 34.0) | 25.6 (2.3) | 25.1 (23.9, 27) | 31.6 (3.3) | 32.1 (29.1, 34.4) | <0.0001 |
| GA at examination (weeks) | 31.25 (3.6) | 31.9 (28.8, 34) | 25.8 (2.4) | 25.5 (23.8, 27.4) | 32 (3) | 32.6 (30, 34.6) | <0.0001 |
| GA at labor | 31.7 (3.5) | 32.4 (29.5, 34.6) | 26 (2.3) | 25.6 (24.5, 28) | 32.5 (2.8) | 33 (30.3, 35) | <0.0001 |
| EFW in grams | 1432 (639.5) | 1373 (945, 1909) | 653 (333) | 579 (438, 750) | 1539 (596) | 1464 (1068, 1956) | <0.0001 |
| EFW centile | 12.6 (24.4) | 1 (0, 10.75) | 5.4 (20.9) | 1 (0, 1) | 13.6 (24.6) | 2 (0, 13) | 0.0031 |
| UA PI | 1.5 (0.61) | 1.3 (1.07, 1.99) | 2.03 (0.5) | 2.3 (1.4, 2.4) | 1.44 (0.58) | 1.23 (1.04, 1.68) | <0.0001 |
| MCA PI | 1.50 (0.41) | 1.44 (1.16, 1.75) | 1.34 (0.46) | 1.21 (1.04, 1.68) | 1.52 (0.4) | 1.46 (1.20, 1.80) | 0.0348 |
| CPR | 1.17 (0.57) | 1.18 (0.64, 1.60) | 0.74 (0.43) | 0.55 (0.47, 0.79) | 1.23 (0.56) | 1.27 (0.73, 1.64) | 0.0002 |
| UA PI MoM | 1.5 (0.6) | 1.31 (1.07, 1.99) | 1.89 (0.45) | 2.05 (1.43, 2.13) | 1.58 (0.60) | 1.37 (1.15, 1.95) | 0.0060 |
| MCA PI MoM | 1.50 (0.41) | 1.44 (1.16, 1.75) | 0.67 (0.24) | 0.61 (0.50, 0.83) | 0.77 (0.20) | 0.75 (0.63, 0.88) | 0.0361 |
| CPR MoM | 1.17 (0.57) | 1.18 (0.64, 1.60) | 0.41 (0.25) | 0.33 (0.27, 0.44) | 0.62 (0.28) | 0.63 (0.37, 0.81) | 0.0019 |
| Interval admission-delivery (days) | 5.5 (9.7) | 3 (1, 6) | 2.6 (3.5) | 1.5 (0, 5.25) | 5.89 (10.2) | 3 (1, 6.2) | 0.0496 |
| AST (GOT) | 56.1 (96.9) | 24.5 (18, 43) | 61.7 (93.6) | 25 (17.5, 71.5) | 55.3 (97.7) | 24 (17.75, 43) | 0.7301 |
| ALT (GPT) | 57.8 (106.6) | 20 (13.2, 50.2) | 64.7 (99.7) | 24.5 (17.5, 86.7) | 56.9 (107.8) | 19 (13, 48.7) | 0.2954 |
| LDH | 277.8 (135.5) | 250 (214.3, 295) | 301 (95.7) | 278 (226, 364) | 274.6 (140.1) | 244 (211.8, 292.3) | 0.0636 |
| Platelets × 1000 | 196.16 (64.22) | 192.5 (157.5, 233) | 201.4 (96) | 202 (138, 234) | 195.4 (58.9) | 192 (158.5, 233.2) | 0.8580 |
| Creatinine | 0.71 (0.24) | 0.58 (0.66, 0.79) | 0.76 (0.51) | 0.66 (0.56, 0.73) | 0.71 (0.18) | 0.66 (0.59, 0.79) | 0.3954 |
| s-Flt-1 | 15,203 (8353) | 13,025 (9888, 17,961) | 15,219 (5581) | 13,343 (11,037, 17,656) | 15,201 (8683) | 13,025 (9563, 18,088) | 0.5313 |
| PlGF | 55.89 (51.1) | 41.9 (22.5, 69) | 24.95 (19.5) | 18.3 (9.6, 36.2) | 60.2 (52.6) | 45.8 (25.5, 74.1) | <0.0001 |
| s-Flt-1/PlGF | 953.9 (4408) | 347.5 (159, 737) | 1001 (654) | 1025 (434, 1606) | 947.3 (4700) | 325 (150, 712) | 0.0003 |
| Proteinuria | 201.9 (295.1) | 100 (0, 300) | 212 (315) | 100 (22.5, 300) | 200.6 (293.5) | 100 (0, 300) | 0.7378 |
| Birth weight in grams | 1432 (671) | 1318 (992, 1798) | 631 (325) | 565 (404, 800) | 1543 (630) | 1415 (1158, 1863) | <0.0001 |
| Birth weight centile | 9.9 (24) | 0 (0, 5) | 3.9 (15) | 0 (0, 0) | 10.7 (24.8) | 1 (0, 5) | 0.0088 |
| Categorical parameters | N (%) | N (%) | N (%) | p-value | |||
| Perinatal deaths | 18 (12.2) | 18 (100) | 0 (0) | <0.0001 | |||
| Fetal sex (male) | 87 (58.8) | 5 (27.8) | 82 (63.1) | 0.0089 | |||
| Smoking | 8 (5.4) | 0 (0) | 0 (0) | 1 | |||
| Headache | 50 (33.8) | 5 (27.8) | 45 (34.6) | 0.7909 | |||
| Edema | 27 (18.2) | 2 (11.1) | 25 (19.2) | 0.5290 | |||
| Photopsia | 13 (8.7) | 2 (11.1) | 11 (8.5) | 0.6600 | |||
| Epigastric pain | 36 (24.3) | 1 (5.5) | 35 (26.9) | 0.0744 | |||
| Dyspnea | 2 (1.3) | 0 (0) | 2 (1.5) | 1 | |||
| Dizziness | 6 (4) | 0 (0) | 6 (4.6) | 1 | |||
| Diagnosis of HELLP syndrome | 11 (7.4) | 3 (16.7) | 8 (6.1) | 0.1335 | |||
| Absent or reversed UA | 34 (23) | 6 (33.3) | 28 (21.5) | 0.3807 | |||
| Absent or reversed Ductus Venosus | 4 (2.7) | 2 (11.1) | 2 (1.5) | 0.0391 | |||
| Diagnosis of severe IUGR | 30 (20.3) | 4 (22.2) | 26 (20) | 0.7621 | |||
| Abnormal CTG | 36 (24.3) | 5 (27.8) | 31 (23.8) | 0.7708 | |||
| Poor response to antihypertensive drugs | 90 (60.8) | 7 (38.9) | 83 (63.8) | 0.0688 | |||
| Reproductive techniques (any) | 40 (27) | 4 (22.2) | 36 (27.7) | 0.7805 | |||
| IVF Ovodon | 27 (18.2) | 2 (11.1) | 25 (19.2) | 0.5290 | |||
| Thrombophilia | 3 (2) | 0 (0) | 3 (2.3) | 1 | |||
| Diabetes | 24 (16.2) | 0 (0) | 24 (18.5) | 0.0450 | |||
| Nulliparity | 107 (72.3) | 15 (83.3) | 92 (70.8) | 0.4001 | |||
| Severe preterm labor incidence (<34) | 104 (70.3) | 18 (100) | 86 (66.1) | 0.0017 | |||
| Preterm labor incidence (<37 weeks) | 148 (100) | 18 (100) | 128 (98.4) | 0.0150 | |||
| Type of labor onset | |||||||
| Cesarean section (elective) | 121 (81.7) | 12 (66.7) | 109 (83.8) | 0.1007 | |||
| Induction of labor | 3 (2) | 3 (16.7) | 21 (16.1) | 1 | |||
| Spontaneous onset of labor | 24 (16.2) | 3 (16.7) | 0 (0) | 0.0015 | |||
| Apgar < 7 at 5 min | 13 (8.7) | 10 (55.5) | 3 (2.3) | <0.0001 | |||
| Arterial pH < 7.10 | 22 (14.9) | 6 (33.3) | 4 (3.1) | 0.0002 | |||
| Via of delivery | |||||||
| CS (elective) | 121 (81.7) | 12 (66.7) | 109 (83.8) | 0.1007 | |||
| CS (failure to progress) | 3 (2) | 0 (0) | 3 (2.3) | 1 | |||
| CS (abnormal CTG) | 12 (8.1) | 2 (11.1) | 10 (7.7) | 0.6413 | |||
| Assisted vaginal delivery | 1 (0.7) | 0 (0) | 1 (0.8) | 1 | |||
| Spontaneous vaginal delivery | 11 (7.4) | 4 (22.2) | 7 (5.4) | 0.0278 | |||
| Neonate destiny | |||||||
| Maternal ward | 12 (8.1) | 0 (0) | 12 (9.2) | 0.3619 | |||
| Neonates ward | 51 (34.4) | 0 (0) | 51 (39.2) | 0.0004 | |||
| Pediatric Intensive care unit | 78 (52.7) | 11 (61.1) | 67 (51.5) | 0.6155 | |||
| Morgue | 7 (4.7) | 7 (38.9) | 0 (0) | <0.0001 | |||
| Parameter | Estimate | SE | OR (95% Confidence Interval) | p-Value |
|---|---|---|---|---|
| Maternal characteristics | ||||
| Maternal age | −0.026 | 0.040 | 0.974 (0.900, 1.055) | 0.524 |
| Gestations | −0.555 | 0.302 | 0.574 (0.317, 1.039) | 0.067 |
| Parity | −0.717 | 0.502 | 0.488 (0.182, 1.305) | 0.153 |
| Prepregnancy weight (kg) | 0.020 | 0.014 | 1.020 (0.994, 1.048) | 0.133 |
| Height | 0.042 | 0.037 | 1.043 (0.970, 1.121) | 0.258 |
| BMI | 0.050 | 0.038 | 1.051 (0.975, 1.133) | 0.194 |
| Smoking | −14.279 | 660.925 | 0.000 (0.000, N/A) | 0.983 |
| Gestational age at admission | −0.570 | 0.120 | 0.566 (0.447, 0.716) | <0.0001 |
| Poor response to Anti-HT | −1.021 | 0.516 | 0.360 (0.130, 0.992) | 0.048 |
| Maternal medical conditions | ||||
| Reproductive techniques | −0.293 | 0.600 | 0.746 (0.230, 2.417) | 0.625 |
| Thrombophilia | −13.230 | 694.329 | 0 (0, N/A) | 0.985 |
| Diabetes | −15.411 | 667.290 | 0 (0, N/A) | 0.981 |
| Maternal analysis | ||||
| AST | 0.002 | 0.002 | 1.000 (0.995, 1.005) | 0.794 |
| ALT | 0.000 | 0.002 | 1.000 (0.996, 1.004) | 0.769 |
| LDH | 1.001 | 0.001 | 1.001 (0.998, 1.004) | 0.450 |
| Platelets | 0.000 | 0.000 | 1.000 (1.000, 1.000) | 0.712 |
| Creatinine | 1.975 | 0.809 | 1.975 (0.405, 9.641) | 0.400 |
| s-Flt-1 | 0.000 | 0.000 | 1.000 (1.000, 1.000) | 0.993 |
| PlGF | −0.049 | 0.016 | 0.952 (0.922, 0.983) | 0.003 |
| Ratio s-Flt-1/PlGF | 0.000 | 0.000 | 1.000 (1.000, 1.000) | 0.961 |
| Proteinuria | 0.000 | 0.000 | 1.000 (0.998, 1.001) | 0.881 |
| Diagnosis of HELLP syndrome | 1.1115 | 0.730 | 3.050 (0.729, 12.760) | 0.126 |
| Maternal symptoms | ||||
| Headache | −0.319 | 0.557 | 0.726 (0.243, 2.167) | 0.566 |
| Edema | −0.644 | 0.782 | 0.525 (0.113, 2.433) | 0.410 |
| Photopsia | 0.302 | 0.813 | 1.352 (0.274, 6.661) | 0.711 |
| Epigastric pain | −1.835 | 1.048 | 0.160 (0.020, 1.244) | 0.080 |
| Dyspnea | −13.223 | 850.386 | 0.000 (0.000, N/A) | 0.987 |
| Dizziness | −14.254 | 809.464 | 0.000 (0.000, N/A) | 0.986 |
| Fetal examination | ||||
| EFW centile | −0.020 | 0.020 | 0.980 (0.942, 1.019) | 0.310 |
| UA PI MoM | 0.745 | 0.379 | 2.107 (1.003, 4.425) | 0.049 |
| MCA PI MoM | −2.458 | 1.430 | 0.086 (0.005, 1.440) | 0.088 |
| CPR MoM | −3.232 | 1.174 | 0.039 (0.004, 0.394) | 0.006 |
| Absent or reversed UA flow | 0.600 | 0.543 | 1.820 (0.627, 5.2869) | 0.270 |
| Absent/Reversed DV | 2.079 | 1.034 | 8.000 (1.053, 60.775) | 0.044 |
| Diagnosis of severe IUGR | 0.133 | 0.607 | 1.143 (0.347, 3.762) | 0.826 |
| Fetal sex | −1.491 | 0.557 | 0.225 (0.076, 0.670) | 0.007 |
| Abnormal CTG | 0.205 | 0.565 | 1.228 (0.406, 3.718) | 0.716 |
| Estimate | SE | OR (95% CI) | p-Value | |
|---|---|---|---|---|
| Model 1 (Parameters with significance or borderline significance in the univariable analysis.) | ||||
| Gestations | −0.60941 | 0.40826 | 0.54367 (0.24424, 1.21021) | 0.13552 |
| GA at admission | −0.54820 | 0.14787 | 0.57799 (0.43256, 0.77231) | 0.00021 |
| Poor response to anti-HTA drugs | 0.37492 | 0.93699 | 1.45488 (0.23186, 9.12872) | 0.68906 |
| PlGF | −0.00944 | 0.01849 | 0.99060 (0.95535, 1.02716) | 0.60961 |
| Epigastric pain | −2.02249 | 1.29514 | 0.13233 (0.01045, 1.67529) | 0.11838 |
| UA PI MoM | −0.22253 | 0.75392 | 0.80049 (0.18265, 3.50836) | 0.76787 |
| MCA PI MoM | −0.09211 | 2.08763 | 0.91201 (0.01524, 54.57851) | 0.96481 |
| Absent or rev DV | 0.89366 | 1.72898 | 2.44405 (0.08248, 72.41841) | 0.60525 |
| Fetal sex | −1.42443 | 0.75276 | 0.24064 (0.05503, 1.05230) | 0.05845 |
| Intercept | 16.01822 | |||
| AIC: 76.5, AUC: 0.95, 95% CI (0.90–0.99), p < 0.0001, DR 78% for a FPR of 5%, DR 78% for a FPR of 10%. | ||||
| Model 2 (Parameters with significance or borderline significance in the multivariable analysis.) | ||||
| GA at admission | −0.55584 | 0.12091 | 0.5735 (0.4525, 0.7269) | p < 0.0001 |
| Fetal sex | −1.37249 | 0.68601 | 0.2534 (0.0660, 0.9724) | 0.04543 |
| Intercept | 14.19035 | |||
| AIC: 67.6, AUC: 0.93, 95% CI (0.88–0.98), p < 0.0001, DR 50% for a FPR of 5%, DR 83% for a FPR of 10%. | ||||
| Estimate | SE | OR (95% CI) | p-Value | |
|---|---|---|---|---|
| Model 1 (Parameters with significance or borderline significance in the univariable analysis, excluding GA at admission.) | ||||
| Gestations | −0.48439 | 0.32905 | 0.61607 (0.32325, 1.17416) | 0.14100 |
| Poor response to anti-HTA drugs | −0.67533 | 0.73514 | 0.50899 (0.12049, 2.15017) | 0.35828 |
| PlGF | −0.04605 | 0.01743 | 0.95499 (0.92291, 0.98818) | 0.00824 |
| Epigastric pain | −1.60225 | 1.17818 | 0.20144 (0.02001, 2.02788) | 0.17385 |
| UA PI MoM | −0.03551 | 0.56005 | 0.96512 (0.32200, 2.89272) | 0.94945 |
| MCA PI MoM | 0.15408 | 1.65317 | 1.16658 (0.04568, 29.79332) | 0.92574 |
| Absent or reverse DV | 1.00759 | 1.43756 | 2.73899 (0.16365, 45.84237) | 0.48336 |
| Fetal sex | −1.41739 | 0.62826 | 0.24235 (0.07074, 0.83027) | 0.02407 |
| Intercept | 1.62196 | |||
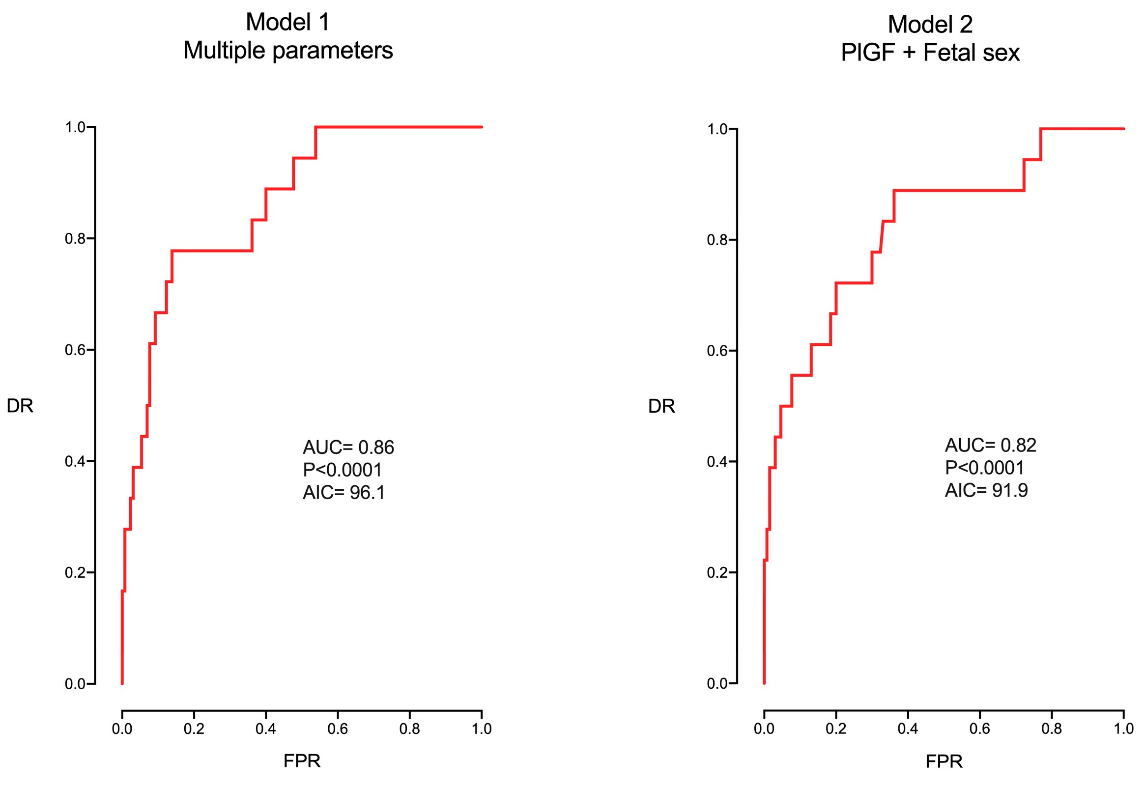
| AIC: 96.12. AUC: 0.86. 95% CI (0.78–0.95). p < 0.0001. DR 38% for a FPR of 5%. DR 67% for a FPR of 10%. | ||||
| Model 2 (parameters with significance or borderline significance in the multivariable analysis, excluding GA at admission) | ||||
| PlGF | −0.04713 | 0.01618 | 0.95397 (0.92419, 0.98470) | 0.00358 |
| Fetal sex | −1.46315 | 0.58312 | 0.23151 (0.07382, 0.72597) | 0.01210 |
| Intercept | 0.39035 | |||
| AIC: 91.90, AUC: 0.82, 95% CI (0.71–0.93), p < 0.0001, DR 50% for a FPR of 5%, DR 55% for a FPR of 10%. | ||||
Disclaimer/Publisher’s Note: The statements, opinions and data contained in all publications are solely those of the individual author(s) and contributor(s) and not of MDPI and/or the editor(s). MDPI and/or the editor(s) disclaim responsibility for any injury to people or property resulting from any ideas, methods, instructions or products referred to in the content. |
© 2024 by the authors. Licensee MDPI, Basel, Switzerland. This article is an open access article distributed under the terms and conditions of the Creative Commons Attribution (CC BY) license (https://creativecommons.org/licenses/by/4.0/).
Share and Cite
Novillo-Del Álamo, B.; Martínez-Varea, A.; Sánchez-Arco, C.; Simarro-Suárez, E.; González-Blanco, I.; Nieto-Tous, M.; Morales-Roselló, J. Prediction of Fetal Death in Preterm Preeclampsia Using Fetal Sex, Placental Growth Factor and Gestational Age. J. Pers. Med. 2024, 14, 1059. https://doi.org/10.3390/jpm14101059
Novillo-Del Álamo B, Martínez-Varea A, Sánchez-Arco C, Simarro-Suárez E, González-Blanco I, Nieto-Tous M, Morales-Roselló J. Prediction of Fetal Death in Preterm Preeclampsia Using Fetal Sex, Placental Growth Factor and Gestational Age. Journal of Personalized Medicine. 2024; 14(10):1059. https://doi.org/10.3390/jpm14101059
Chicago/Turabian StyleNovillo-Del Álamo, Blanca, Alicia Martínez-Varea, Carmen Sánchez-Arco, Elisa Simarro-Suárez, Iker González-Blanco, Mar Nieto-Tous, and José Morales-Roselló. 2024. "Prediction of Fetal Death in Preterm Preeclampsia Using Fetal Sex, Placental Growth Factor and Gestational Age" Journal of Personalized Medicine 14, no. 10: 1059. https://doi.org/10.3390/jpm14101059
APA StyleNovillo-Del Álamo, B., Martínez-Varea, A., Sánchez-Arco, C., Simarro-Suárez, E., González-Blanco, I., Nieto-Tous, M., & Morales-Roselló, J. (2024). Prediction of Fetal Death in Preterm Preeclampsia Using Fetal Sex, Placental Growth Factor and Gestational Age. Journal of Personalized Medicine, 14(10), 1059. https://doi.org/10.3390/jpm14101059

