In Systemic Sclerosis Patients, Peripheral Blood CD21low B Cells and Serum IL-4 and IL-21 Influence Joint Involvement
Abstract
:1. Introduction
2. Materials and Methods
2.1. Subjects
2.2. Clinical Assessment
2.3. Laboratory Assessment
2.4. Statistical Analysis
3. Results
3.1. Demographic and Clinical Characteristics of Enrolled SSc Patients
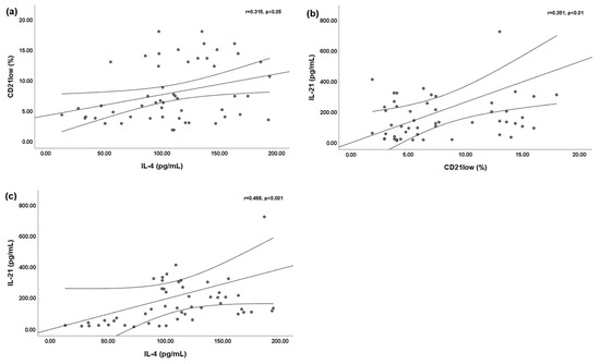
3.2. Peripheral Blood CD21low B Cells and Serum IL-4 and IL-21 Levels
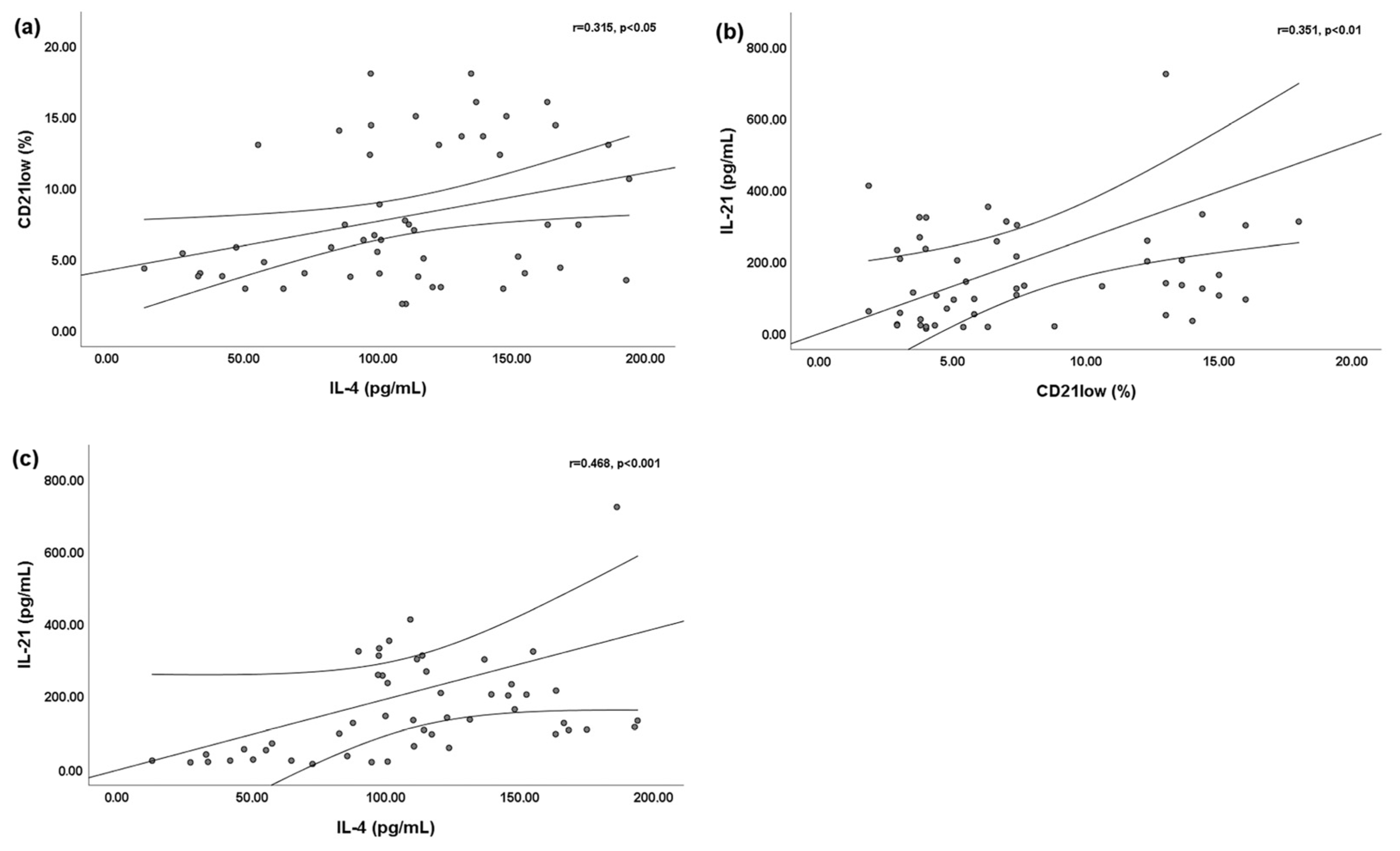
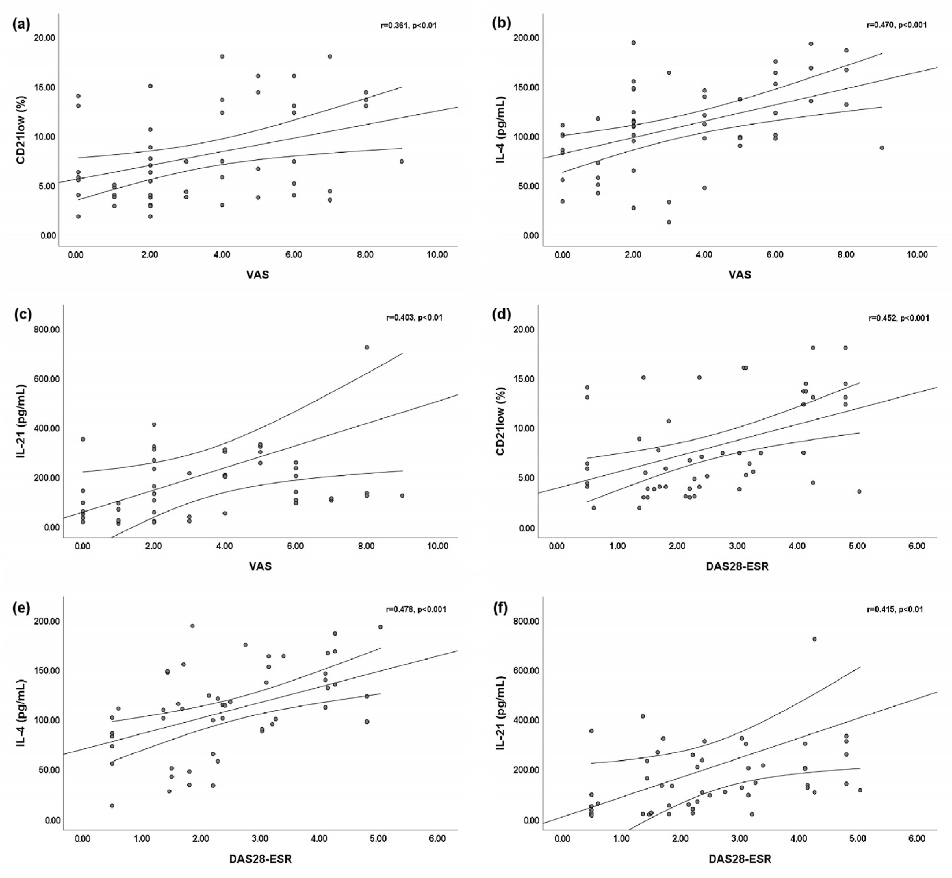
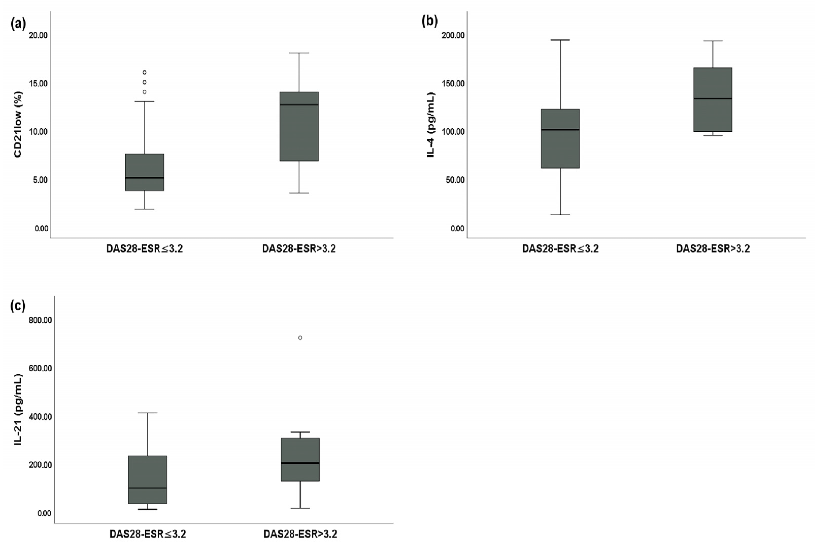
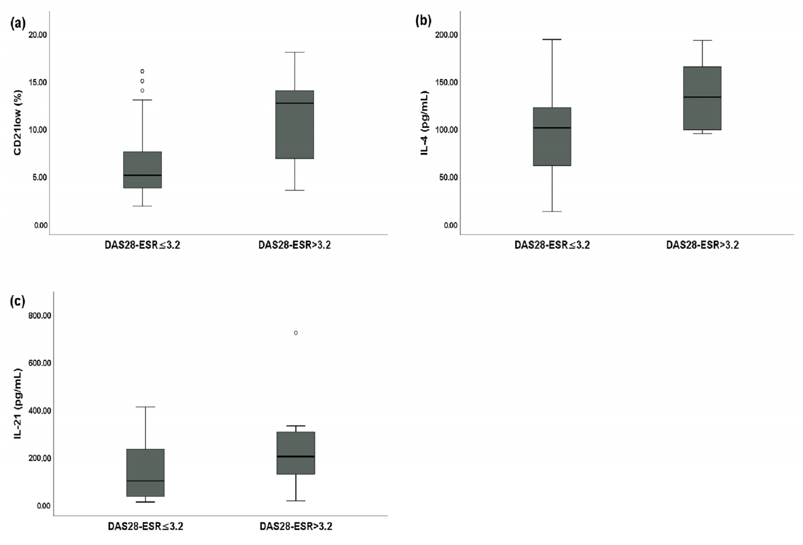
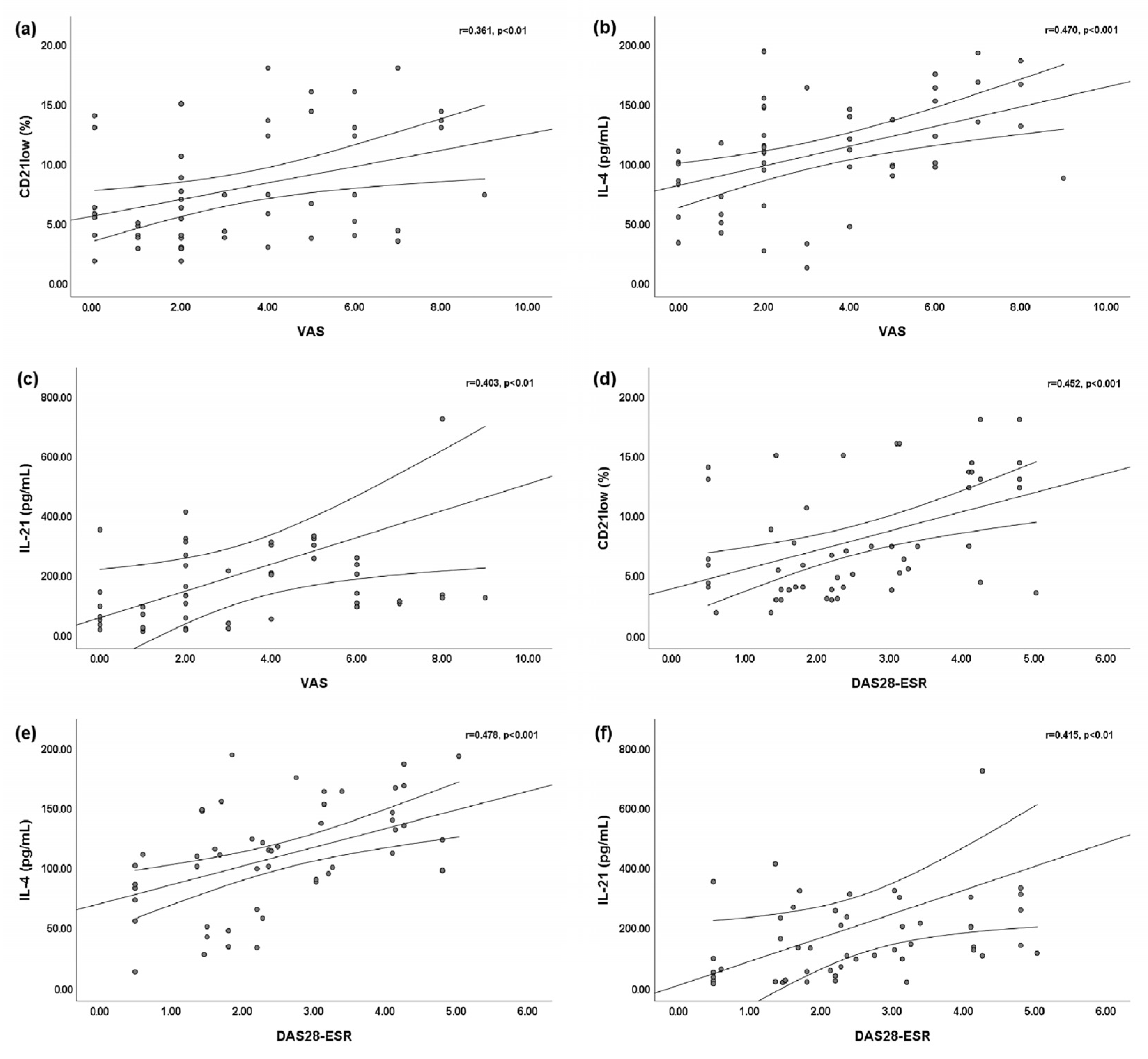
3.3. Joint Involvement, Peripheral Blood CD21low B Cells, and Serum IL-4 and IL-21 Levels
4. Discussion
5. Conclusions
Author Contributions
Funding
Institutional Review Board Statement
Informed Consent Statement
Data Availability Statement
Conflicts of Interest
References
- Gabrielli, A.; Avvedimento, E.V.; Krieg, T. Scleroderma. N. Engl. J. Med. 2009, 360, 1989–2003. [Google Scholar] [CrossRef] [PubMed]
- Avouac, J.; Clements, P.J.; Khanna, D.; Furst, D.E.; Allanore, Y. Articular involvement in systemic sclerosis. Rheumatology 2012, 51, 1347–1356. [Google Scholar] [CrossRef] [PubMed]
- van Leeuwen, N.M.; Ciaffi, J.; Liem, S.I.E.; Huizinga, T.W.J.; de Vries-Bouwstra, J.K. Health-related quality of life in patients with systemic sclerosis: Evolution over time and main determinants. Rheumatology 2021, 60, 3646–3655. [Google Scholar] [CrossRef] [PubMed]
- Sandler, R.D.; Matucci-Cerinic, M.; Hughes, M. Musculoskeletal hand involvement in systemic sclerosis. Semin. Arthritis Rheum. 2020, 50, 329–334. [Google Scholar] [CrossRef]
- Anderson, J.K.; Zimmerman, L.; Caplan, L.; Michaud, K. Measures of rheumatoid arthritis disease activity: Patient (PtGA) and Provider (PrGA) Global Assessment of Disease Activity, Disease Activity Score (DAS) and Disease Activity Score with 28-Joint Counts (DAS28), Simplified Disease Activity Index (SDAI), Clinical Disease Activity Index (CDAI), Patient Activity Score (PAS) and Patient Activity Score-II (PASII), Routine Assessment of Patient Index Data (RAPID), Rheumatoid Arthritis Disease Activity Index (RADAI) and Rheumatoid Arthritis Disease Activity Index-5 (RADAI-5), Chronic Arthritis Systemic Index (CASI), Patient-Based Disease Activity Score With ESR (PDAS1) and Patient-Based Disease Activity Score without ESR (PDAS2), and Mean Overall Index for Rheumatoid Arthritis (MOI-RA). Arthritis Care Res. 2011, 63 (Suppl. S11), S14–S36. [Google Scholar] [CrossRef]
- Lóránd, V.; Bálint, Z.; Komjáti, D.; Németh, B.; Minier, T.; Kumánovics, G.; Farkas, N.; Czirják, L.; Varjú, C.; on behalf of the DeSScipher Consortium and Contributing EUSTAR Centers. Validation of disease activity indices using the 28 joint counts in systemic sclerosis. Rheumatology 2016, 55, 1849–1858. [Google Scholar] [CrossRef] [PubMed]
- Lóránd, V.; Nagy, G.; Bálint, Z.; Komjáti, D.; Minier, T.; Kumánovics, G.; Farkas, N.; Tarner, I.H.; Müller-Ladner, U.; Czirják, L.; et al. Sensitivity to change of joint count composite indices in 72 patients with systemic sclerosis. Clin. Exp. Rheumatol. 2021, 39 (Suppl. S131), 77–84. [Google Scholar] [CrossRef]
- Yoshizaki, A. Pathogenic roles of B lymphocytes in systemic sclerosis. Immunol. Lett. 2018, 195, 76–82. [Google Scholar] [CrossRef]
- Riccardi, A.; Martinroche, G.; Contin-Bordes, C.; Avouac, J.; Gobeaux, C.; Cauvet, A.; Guerini, H.; Truchetet, M.E.; Allanore, Y. Erosive arthritis autoantibodies in systemic sclerosis. Semin. Arthritis Rheum. 2022, 52, 151947. [Google Scholar] [CrossRef]
- Marrapodi, R.; Pellicano, C.; Radicchio, G.; Leodori, G.; Colantuono, S.; Iacolare, A.; Gigante, A.; Visentini, M.; Rosato, E. CD21low B cells in systemic sclerosis: A possible marker of vascular complications. Clin. Immunol. 2020, 213, 108364. [Google Scholar] [CrossRef]
- Visentini, M.; Pellicano, C.; Leodori, G.; Marrapodi, R.; Colantuono, S.; Gigante, A.; Casato, M.; Rosato, E. CD21low B cells are predictive markers of new digital ulcers in systemic sclerosis. Clin. Exp. Immunol. 2021, 205, 128–134. [Google Scholar] [CrossRef] [PubMed]
- Thorarinsdottir, K.; Camponeschi, A.; Jonsson, C.; Granhagen Önnheim, K.; Nilsson, J.; Forslind, K.; Visentini, M.; Jacobsson, L.; Mårtensson, I.L.; Gjertsson, I. CD21-/low B cells associate with joint damage in rheumatoid arthritis patients. Scand. J. Immunol. 2019, 90, e12792. [Google Scholar] [CrossRef] [PubMed]
- Wilbrink, R.; Spoorenberg, A.; Arends, S.; van der Geest, K.S.M.; Brouwer, E.; Bootsma, H.; Kroese, F.G.M.; Verstappen, G.M. CD27-CD38lowCD21low B-Cells Are Increased in Axial Spondyloarthritis. Front. Immunol. 2021, 12, 686273. [Google Scholar] [CrossRef] [PubMed]
- Dirks, J.; Fischer, J.; Haase, G.; Holl-Wieden, A.; Hofmann, C.; Girschick, H.; Morbach, H. CD21(lo/-)CD27(-)IgM(-) Double-Negative B cells Accumulate in the Joints of Patients With Antinuclear Antibody-Positive Juvenile Idiopathic Arthritis. Front. Pediatr. 2021, 9, 635815. [Google Scholar] [CrossRef] [PubMed]
- Fischer, J.; Dirks, J.; Klaussner, J.; Haase, G.; Holl-Wieden, A.; Hofmann, C.; Hackenberg, S.; Girschick, H.; Morbach, H. Effect of Clonally Expanded PD-1high CXCR5-CD4+ Peripheral T Helper Cells on B Cell Differentiation in the Joints of Patients With Antinuclear Antibody-Positive Juvenile Idiopathic Arthritis. Arthritis Rheumatol. 2022, 74, 150–162. [Google Scholar] [CrossRef]
- Kondo, N.; Kuroda, T.; Kobayashi, D. Cytokine Networks in the Pathogenesis of Rheumatoid Arthritis. Int. J. Mol. Sci. 2021, 22, 10922. [Google Scholar] [CrossRef]
- Iwaszko, M.; Biały, S.; Bogunia-Kubik, K. Significance of Interleukin (IL)-4 and IL-13 in Inflammatory Arthritis. Cells 2021, 10, 3000. [Google Scholar] [CrossRef]
- Pellicano, C.; Vantaggio, L.; Colalillo, A.; Pocino, K.; Basile, V.; Marino, M.; Basile, U.; Rosato, E. Type 2 cytokines and scleroderma interstitial lung disease. Clin. Exp. Med. 2023. [Google Scholar] [CrossRef]
- van den Hoogen, F.; Khanna, D.; Fransen, J.; Johnson, S.R.; Baron, M.; Tyndall, A.; Matucci-Cerinic, M.; Naden, R.P.; Medsger, T.A., Jr.; Carreira, P.E.; et al. 2013 classification criteria for systemic sclerosis: An American college of rheumatology/European league against rheumatism collaborative initiative. Ann. Rheum. Dis. 2013, 72, 1747–1755. [Google Scholar] [CrossRef]
- LeRoy, E.C.; Black, C.; Fleischmajer, R.; Jablonska, S.; Krieg, T.; Medsger, T.A., Jr.; Rowell, N.; Wollheim, F. Scleroderma (systemic sclerosis): Classification, subsets and pathogenesis. J. Rheumatol. 1988, 15, 202–205. [Google Scholar]
- Valentini, G.; Iudici, M.; Walker, U.A.; Jaeger, V.K.; Baron, M.; Carreira, P.; Czirják, L.; Denton, C.P.; Distler, O.; Hachulla, E.; et al. The European Scleroderma Trials and Research group (EUSTAR) task force for the development of revised activity criteria for systemic sclerosis: Derivation and validation of a preliminarily revised EUSTAR activity index. Ann. Rheum. Dis. 2017, 76, 270–276. [Google Scholar] [CrossRef] [PubMed]
- Medsger, T.A., Jr.; Bombardieri, S.; Czirjak, L.; Scorza, R.; Della Rossa, A.; Bencivelli, W. Assessment of disease severity and prognosis. Clin. Exp. Rheumatol. 2003, 21, S42–S46. [Google Scholar] [PubMed]
- Prevoo, M.L.; van’t Hof, M.A.; Kuper, H.H.; van Leeuwen, M.A.; van de Putte, L.B.; van Riel, P.L. Modified disease activity scores that include twenty-eight-joint counts. Development and validation in a prospective longitudinal study of patients with rheumatoid arthritis. Arthritis Rheum. 1995, 38, 44–48. [Google Scholar] [CrossRef]
- Cutolo, M.; Matucci Cerinic, M. Nailfold capillaroscopy and classification criteria for systemic sclerosis. Clin. Exp. Rheumatol. 2007, 25, 663–665. [Google Scholar] [PubMed]
- Chan, E.K.; Damoiseaux, J.; de Melo Cruvinel, W.; Carballo, O.G.; Condrad, K.; Francescantonio, P.L.; Fritzler, M.J.; La Torre, I.G.-D.; Herold, M.; Mimori, T.; et al. Report on the second International Consensus on ANA Pattern (ICAP) workshop in Dresden 2015. Lupus 2016, 25, 797–804. [Google Scholar] [CrossRef]
- López-Isac, E.; Martín, J.-E.; Assassi, S.; Simeón, C.P.; Carreira, P.; Ortego-Centeno, N.; Freire, M.; Beltrán, E.; Narváez, J.; Alegre-Sancho, J.J.; et al. Cross-disease Meta-analysis of Genome-wide Association Studies for Systemic Sclerosis and Rheumatoid Arthritis Reveals IRF4 as a New Common Susceptibility Locus. Arthritis Rheumatol. 2016, 68, 2338–2344. [Google Scholar] [CrossRef]
- Gigante, A.; Pellicano, C.; Leodori, G.; Napodano, C.; Vantaggio, L.; Gulli, F.; Marino, M.; Visentini, M.; Rosato, E.; Basile, U. Serum and urine free light chains measurements in patients with systemic sclerosis: Novel biomarkers for disease activity. Clin. Exp. Immunol. 2021, 205, 135–141. [Google Scholar] [CrossRef]
- Visentini, M.; Conti, V.; Cristofoletti, C.; Lazzeri, C.; Marrapodi, R.; Russo, G.; Casato, M.; Fiorilli, M. Clonal expansion and functional exhaustion of monoclonal marginal zone B cells in mixed cryoglobulinemia: The yin and yang of HCV-driven lymphoproliferation and autoimmunity. Autoimmun. Rev. 2013, 12, 430–435. [Google Scholar] [CrossRef]
- Rubtsova, K.; Rubtsov, A.V.; Cancro, M.P.; Marrack, P. Age-Associated B Cells: A T-bet-Dependent Effector with Roles in Protective and Pathogenic Immunity. J. Immunol. 2015, 195, 1933–1937. [Google Scholar] [CrossRef]
- Hutloff, A. T Follicular Helper-Like Cells in Inflamed Non-Lymphoid Tissues. Front. Immunol. 2018, 9, 1707. [Google Scholar] [CrossRef]
- Rao, D.A. T Cells That Help B Cells in Chronically Inflamed Tissues. Front. Immunol. 2018, 9, 1924. [Google Scholar] [CrossRef] [PubMed]
- Dvorscek, A.R.; McKenzie, C.I.; Robinson, M.J.; Ding, Z.; Pitt, C.; O’Donnell, K.; Zotos, D.; Brink, R.; Tarlinton, D.M.; Quast, I. IL-21 has a critical role in establishing germinal centers by amplifying early B cell proliferation. EMBO Rep. 2022, 23, e54677. [Google Scholar] [CrossRef] [PubMed]
- Gonçalves, R.S.G.; Pereira, M.C.; Dantas, A.T.; Almeida, A.R.; Marques, C.D.L.; Rego, M.J.B.M.; Pitta, I.R.; Duarte, A.L.B.P.; Pitta, M.G.R. IL-17 and related cytokines involved in systemic sclerosis: Perspectives. Autoimmunity 2018, 51, 1–9. [Google Scholar] [CrossRef] [PubMed]
- Ly, N.T.M.; Ueda-Hayakawa, I.; Nguyen, C.T.H.; Huynh, T.N.M.; Kishimoto, I.; Fujimoto, M.; Okamoto, H. Imbalance toward TFH 1 cells playing a role in aberrant B cell differentiation in systemic sclerosis. Rheumatology 2021, 60, 1553–1562. [Google Scholar] [CrossRef]
- Paul, W.E. History of interleukin-4. Cytokine 2015, 75, 3–7. [Google Scholar] [CrossRef] [PubMed]



| Age, Years | 57.5 (48.75–63) |
| Female/male | 48 (92.3)/4 (7.7) |
| dcSSc/lcSSc | 23 (44.2)/29 (55.8) |
| Disease duration, years | 11.5 (6–16) |
| mRSS | 11 (7.75–15.25) |
| Anti-topoisomerase I Anti-centromere Anti-RNA polymerase III None | 25 (48.1) 12 (23.1) 2 (3.8) 13 (25) |
| Early NVC Active NVC Late NVC | 10 (19.3) 15 (28.8) 27 (51.9) |
| DAI | 2.42 (1.26–4) |
| DSS | 7 (6–9) |
| VAS for arthritis | 2.5 (2–5.25) |
| DAS28-ESR | 2.32 (1.5–3.57) |
| DAS28-ESR > 3.2 | 16 (30.77) |
| CD21low B cells, % of total B cells | 6.3 (3.97–13) |
| IL-4, pg/mL | 110.22 (87.03–140.8) |
| IL-21, pg/mL | 130.18 (53.93–255.02) |
| Previous immunomodulatory treatment MTX MMF RTX | 4 (7.7) 2 (3.8) 2 (3.8) |
| DAS28-ESR > 3.2 | |||
|---|---|---|---|
| OR (95% CI) | p | ||
| Model 1 | DAI | 2.158 (1.120; 4.156) | <0.05 |
| DSS | 0.913 (0.614; 1.357) | >0.05 | |
| CD21low B cells, % | 1.301 (1.099; 1.540) | <0.01 | |
| Model 2 | DAI | 2.060 (1.082; 3.919) | <0.05 |
| DSS | 0.892 (0.595; 1.340) | >0.05 | |
| IL-4, pg/mL | 1.026 (1.006; 1.045) | <0.01 | |
| Model 3 | DAI | 1.743 (1.022; 2.975) | <0.05 |
| DSS | 0.985 (0.681; 1.423) | >0.05 | |
| IL-21, pg/mL | 1.006 (1.000; 1.011) | <0.05 | |
Disclaimer/Publisher’s Note: The statements, opinions and data contained in all publications are solely those of the individual author(s) and contributor(s) and not of MDPI and/or the editor(s). MDPI and/or the editor(s) disclaim responsibility for any injury to people or property resulting from any ideas, methods, instructions or products referred to in the content. |
© 2023 by the authors. Licensee MDPI, Basel, Switzerland. This article is an open access article distributed under the terms and conditions of the Creative Commons Attribution (CC BY) license (https://creativecommons.org/licenses/by/4.0/).
Share and Cite
Pellicano, C.; Colalillo, A.; Carnazzo, V.; Redi, S.; Basile, V.; Marino, M.; Basile, U.; Rosato, E. In Systemic Sclerosis Patients, Peripheral Blood CD21low B Cells and Serum IL-4 and IL-21 Influence Joint Involvement. J. Pers. Med. 2023, 13, 1334. https://doi.org/10.3390/jpm13091334
Pellicano C, Colalillo A, Carnazzo V, Redi S, Basile V, Marino M, Basile U, Rosato E. In Systemic Sclerosis Patients, Peripheral Blood CD21low B Cells and Serum IL-4 and IL-21 Influence Joint Involvement. Journal of Personalized Medicine. 2023; 13(9):1334. https://doi.org/10.3390/jpm13091334
Chicago/Turabian StylePellicano, Chiara, Amalia Colalillo, Valeria Carnazzo, Serena Redi, Valerio Basile, Mariapaola Marino, Umberto Basile, and Edoardo Rosato. 2023. "In Systemic Sclerosis Patients, Peripheral Blood CD21low B Cells and Serum IL-4 and IL-21 Influence Joint Involvement" Journal of Personalized Medicine 13, no. 9: 1334. https://doi.org/10.3390/jpm13091334
APA StylePellicano, C., Colalillo, A., Carnazzo, V., Redi, S., Basile, V., Marino, M., Basile, U., & Rosato, E. (2023). In Systemic Sclerosis Patients, Peripheral Blood CD21low B Cells and Serum IL-4 and IL-21 Influence Joint Involvement. Journal of Personalized Medicine, 13(9), 1334. https://doi.org/10.3390/jpm13091334

