Accuracy Analysis of Computer-Assisted and Guided Dental Implantology by Comparing 3D Planning Data and Actual Implant Placement in a Mandibular Training Model: A Monocentric Comparison between Dental Students and Trained Implantologists
Abstract
1. Introduction
2. Materials and Methods
3. Results
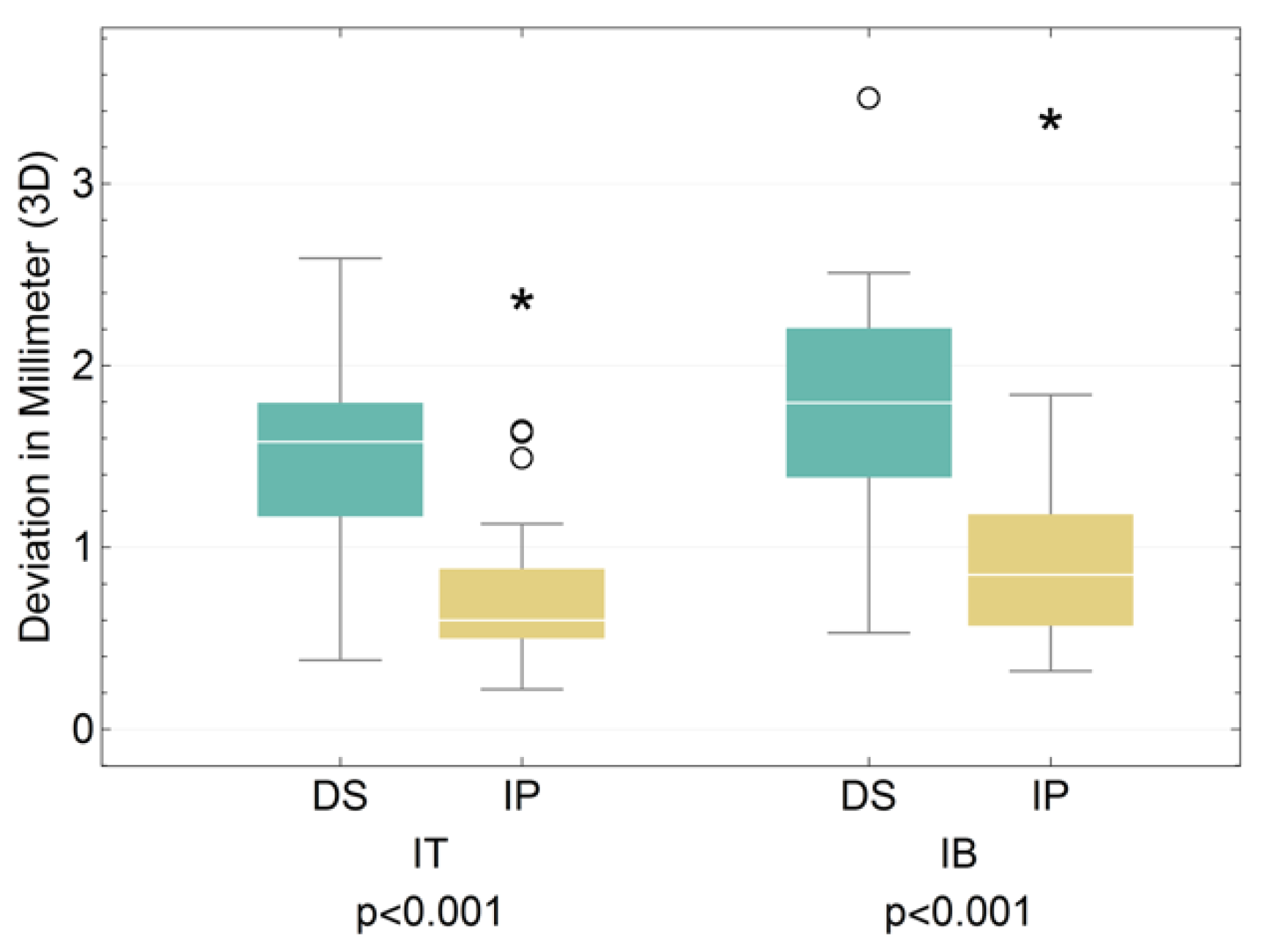
3.1. Comparing Dental Students and Implantologists to 3D Planning
3.2. Cases with Apical/Z-Axis Deviation >2 mm
4. Discussion
5. Conclusions
Author Contributions
Funding
Institutional Review Board Statement
Informed Consent Statement
Data Availability Statement
Conflicts of Interest
References
- Chen, P.; Nikoyan, L. Guided Implant Surgery: A Technique Whose Time Has Come. Dent. Clin. N. Am. 2021, 65, 67–80. [Google Scholar] [CrossRef]
- Jacobs, R.; Salmon, B.; Codari, M.; Hassan, B.; Bornstein, M.M. Cone beam computed tomography in implant dentistry: Recommendations for clinical use. BMC Oral Health 2018, 18, 88. [Google Scholar] [CrossRef]
- Greenberg, A.M. Digital technologies for dental implant treatment planning and guided surgery. Oral Maxillofac. Surg. Clin. N. Am. 2015, 27, 319–340. [Google Scholar] [CrossRef]
- Kernen, F.; Kramer, J.; Wanner, L.; Wismeijer, D.; Nelson, K.; Flügge, T. A review of virtual planning software for guided implant surgery—Data import and visualization, drill guide design and manufacturing. BMC Oral Health 2020, 20, 251. [Google Scholar] [CrossRef]
- Naziri, E.; Schramm, A.; Wilde, F. Accuracy of computer-assisted implant placement with insertion templates. GMS Interdiscip. Plast. Reconstr. Surg. DGPW 2016, 5, Doc15. [Google Scholar] [CrossRef]
- Tao, B.; Feng, Y.; Fan, X.; Zhuang, M.; Chen, X.; Wang, F.; Wu, Y. Accuracy of dental implant surgery using dynamic navigation and robotic systems: An in vitro study. J. Dent. 2022, 123, 104170. [Google Scholar] [CrossRef]
- Wu, Y.; Wang, F.; Fan, S.; Chow, J.K.-F. Robotics in Dental Implantology. Oral Maxillofac. Surg. Clin. N. Am. 2019, 31, 513–518. [Google Scholar] [CrossRef]
- Jorba-García, A.; González-Barnadas, A.; Camps-Font, O.; Figueiredo, R.; Valmaseda-Castellón, E. Accuracy assessment of dynamic computer-aided implant placement: A systematic review and meta-analysis. Clin. Oral Investig. 2021, 25, 2479–2494. [Google Scholar] [CrossRef] [PubMed]
- Rouzé l’Alzit, F.; Cade, R.; Naveau, A.; Babilotte, J.; Meglioli, M.; Catros, S. Accuracy of commercial 3D printers for the fabrication of surgical guides in dental implantology. J. Dent. 2022, 117, 103909. [Google Scholar] [CrossRef] [PubMed]
- Gianfreda, F.; Pesce, P.; Marcano, E.; Pistilli, V.; Bollero, P.; Canullo, L. Clinical Outcome of Fully Digital Workflow for Single-Implant-Supported Crowns: A Retrospective Clinical Study. Dent. J. 2022, 10, 139. [Google Scholar] [CrossRef] [PubMed]
- Natsubori, R.; Fukazawa, S.; Chiba, T.; Tanabe, N.; Kihara, H.; Kondo, H. In vitro comparative analysis of scanning accuracy of intraoral and laboratory scanners in measuring the distance between multiple implants. Int. J. Implant. Dent. 2022, 8, 18. [Google Scholar] [CrossRef] [PubMed]
- Mangano, F.; Gandolfi, A.; Luongo, G.; Logozzo, S. Intraoral scanners in dentistry: A review of the current literature. BMC Oral Health 2017, 17, 149. [Google Scholar] [CrossRef]
- Thurzo, A.; Šufliarsky, B.; Urbanová, W.; Čverha, M.; Strunga, M.; Varga, I. Pierre Robin Sequence and 3D Printed Personalized Composite Appliances in Interdisciplinary Approach. Polymers 2022, 14, 3858. [Google Scholar] [CrossRef]
- Sailer, I.; Karasan, D.; Todorovic, A.; Ligoutsikou, M.; Pjetursson, B.E. Prosthetic failures in dental implant therapy. Periodontology 2022, 88, 130–144. [Google Scholar] [CrossRef] [PubMed]
- Howe, M.-S.; Keys, W.; Richards, D. Long-term (10-year) dental implant survival: A systematic review and sensitivity meta-analysis. J. Dent. 2019, 84, 9–21. [Google Scholar] [CrossRef]
- Schubert, O.; Schweiger, J.; Stimmelmayr, M.; Nold, E.; Güth, J.-F. Digital implant planning and guided implant surgery—workflow and reliability. Br. Dent. J. 2019, 226, 101–108. [Google Scholar] [CrossRef]
- Al-Haj Husain, N.; Molinero-Mourelle, P.; Janner, S.F.M.; Brägger, U.; Özcan, M.; Schimmel, M.; Revilla-Léon, M.; Abou-Ayash, S. Digital workflow for implant-supported fixed complete dentures based on backwards planning in an edentulous patient. Int. J. Comput. Dent. 2021, 24, 89–101. [Google Scholar]
- Sakkas, A.; Wilde, F.; Heufelder, M.; Winter, K.; Schramm, A. Autogenous bone grafts in oral implantology-is it still a “gold standard”? A consecutive review of 279 patients with 456 clinical procedures. Int. J. Implant. Dent. 2017, 3, 23. [Google Scholar] [CrossRef]
- Sakkas, A.; Konstantinidis, I.; Winter, K.; Schramm, A.; Wilde, F. Effect of Schneiderian membrane perforation on sinus lift graft outcome using two different donor sites: A retrospective study of 105 maxillary sinus elevation procedures. GMS Interdiscip. Plast. Reconstr. Surg. DGPW 2016, 5, Doc11. [Google Scholar] [CrossRef] [PubMed]
- Cassetta, M.; Altieri, F.; Giansanti, M.; Bellardini, M.; Brandetti, G.; Piccoli, L. Is there a learning curve in static computer-assisted implant surgery? A prospective clinical study. Int. J. Oral Maxillofac. Surg. 2020, 49, 1335–1342. [Google Scholar] [CrossRef] [PubMed]
- Neugebauer, J.; Stachulla, G.; Ritter, L.; Dreiseidler, T.; Mischkowski, R.A.; Keeve, E.; Zöller, J.E. Computer-aided manufacturing technologies for guided implant placement. Expert. Rev. Med. Devices 2010, 7, 113–129. [Google Scholar] [CrossRef]
- Vincent, M.; Giess, R.; Balthazard, R.; Tran, N.; Mortier, É.; Joseph, D. Virtual aids and students’ performance with haptic simulation in implantology. J. Dent. Educ. 2022, 86, 1015–1022. [Google Scholar] [CrossRef]
- Lefevre, E.; Ganau, M.; Zaed, I.; de Macedo Machado-Filho, G.; Scibilia, A.; Mallereau, C.-H.; Bresson, D.; Todeschi, J.; Cebula, H.; Proust, F.; et al. Learning curve and influencing factors of performing microsurgical anastomosis: A laboratory prospective study. Neurosurg. Rev. 2022, 45, 3271–3280. [Google Scholar] [CrossRef]
- Mao, R.Q.; Lan, L.; Kay, J.; Lohre, R.; Ayeni, O.R.; Goel, D.P.; de Sa, D. Immersive Virtual Reality for Surgical Training: A Systematic Review. J. Surg. Res. 2021, 268, 40–58. [Google Scholar] [CrossRef]
- Heufelder, M.; Wilde, F.; Pietzka, S.; Mascha, F.; Winter, K.; Schramm, A.; Rana, M. Clinical accuracy of waferless maxillary positioning using customized surgical guides and patient specific osteosynthesis in bimaxillary orthognathic surgery. J. Cranio-Maxillofac. Surg. 2017, 45, 1578–1585. [Google Scholar] [CrossRef]
- Pietzka, S.; Mascha, F.; Winter, K.; Kämmerer, P.W.; Sakkas, A.; Schramm, A.; Wilde, F. Clinical Accuracy of 3D-Planned Maxillary Positioning Using CAD/CAM-Generated Splints in Combination With Temporary Mandibular Fixation in Bimaxillary Orthognathic Surgery. Craniomaxillofacial Trauma Reconstr. 2020, 13, 290–299. [Google Scholar] [CrossRef]
- Tatum, H. COIRT: Comprehensive Oral Implantology Residency Training. J. Oral Implant. 2019, 45, 1. [Google Scholar] [CrossRef]
- Wang, W.; Zhuang, M.; Li, S.; Shen, Y.; Lan, R.; Wu, Y.; Wang, F. Exploring training dental implant placement using static or dynamic devices among dental students. Eur. J. Dent. Educ. 2022. [Google Scholar] [CrossRef] [PubMed]
- Zhan, Y.; Wang, M.; Cheng, X.; Li, Y.; Shi, X.; Liu, F. Evaluation of a dynamic navigation system for training students in dental implant placement. J. Dent. Educ. 2021, 85, 120–127. [Google Scholar] [CrossRef] [PubMed]
- Putra, R.H.; Yoda, N.; Astuti, E.R.; Sasaki, K. The accuracy of implant placement with computer-guided surgery in partially edentulous patients and possible influencing factors: A systematic review and meta-analysis. J. Prosthodont. Res. 2022, 66, 29–39. [Google Scholar] [CrossRef] [PubMed]
- Bajkin, B.V.; Wahl, M.J.; Miller, C.S. Dental implant surgery and risk of bleeding in patients on antithrombotic medications: A review of the literature. Oral Surg. Oral Med. Oral Pathol. Oral Radiol. 2020, 130, 522–532. [Google Scholar] [CrossRef]
- Beretta, M.; Poli, P.P.; Maiorana, C. Accuracy of computer-aided template-guided oral implant placement: A prospective clinical study. J. Periodontal Implant. Sci. 2014, 44, 184. [Google Scholar] [CrossRef]
- Gillot, L.; Noharet, R.; Cannas, B. Guided Surgery and Presurgical Prosthesis: Preliminary Results of 33 Fully Edentulous Maxillae Treated in Accordance with the NobelGuide® Protocol: The NobelGuide® Protocol. Clin. Implant. Dent. Relat. Res. 2008, 12, e104–e113. [Google Scholar] [CrossRef]
- Cassetta, M.; Di Mambro, A.; Giansanti, M.; Stefanelli, L.V.; Barbato, E. How does an error in positioning the template affect the accuracy of implants inserted using a single fixed mucosa-supported stereolithographic surgical guide? Int. J. Oral Maxillofac. Surg. 2014, 43, 85–92. [Google Scholar] [CrossRef] [PubMed]
- Tahmaseb, A.; Wismeijer, D.; Coucke, W.; Derksen, W. Computer Technology Applications in Surgical Implant Dentistry: A Systematic Review. Int. J. Oral Maxillofac. Implant. 2014, 29, 25–42. [Google Scholar] [CrossRef]
- Sun, Y.; Luebbers, H.-T.; Agbaje, J.O.; Schepers, S.; Politis, C.; Van Slycke, S.; Vrielinck, L. Accuracy of Dental Implant Placement Using CBCT-Derived Mucosa-Supported Stereolithographic Template: Accuracy of Guided Implantology. Clin. Implant. Dent. Relat. Res. 2015, 17, 862–870. [Google Scholar] [CrossRef] [PubMed]
- Balshi, S.F.; Wolfinger, G.J.; Balshi, T.J. Surgical Planning and Prosthesis Construction Using Computed Tomography, CAD/CAM Technology, and the Internet for Immediate Loading of Dental Implants. J. Esthet. Restor. Dent. 2006, 18, 312–323. [Google Scholar] [CrossRef] [PubMed]










| Angle | 3D (IT) | Distal (IT) | Vestibular (IT) | Apical (IT) | 3D (IB) | Distal (IB) | Vestibular (IB) | Apical (IB) | |
|---|---|---|---|---|---|---|---|---|---|
| Minimum Deviation | 0.20 | 0.22 | 0 | 0 | −0.03 | 0.32 | 0.01 | 0 | −0.02 |
| Maximum Deviation | 9.70 | 2.39 | 0.64 | 1.00 | −2.14 | 3.38 | 1.19 | 2.48 | −2 |
| Median Deviation | 1.70 | 0.60 | 0.08 | −0.01 | −0.49 | 0.85 | 0.02 | 0.00 | −0.47 |
| Mean Value Deviation | 2.13 | 0.74 | 0.10 | 0.05 | −0.54 | 0.97 | 0.03 | 0.11 | −0.53 |
| Angle | 3D (IT) | Distal (IT) | Vestibular (IT) | Apical (IT) | 3D (IB) | Distal (IB) | Vestibular (IB) | Apical (IB) | |
|---|---|---|---|---|---|---|---|---|---|
| Minimum Deviation | 0.40 | 0.38 | 0 | 0 | −0.17 | 0.53 | −0.02 | −0.04 | −0.17 |
| Maximum Deviation | 9.60 | 2.59 | 0.74 | 1.04 | −2.44 | 3.49 | −1.65 | 2.50 | −2.44 |
| Median Deviation | 3.35 | 1.58 | −0.11 | 0.20 | −1.43 | 1.80 | −0.60 | 0.30 | −1.40 |
| Mean Value Deviation | 3.43 | 1.51 | −0.05 | 0.27 | −1.38 | 1.78 | −0.46 | 0.51 | −1.36 |
| Angle | 3D (IT) | Distal (IT) | Vestibular (IT) | Apical (IT) | 3D (IB) | Distal (IB) | Vestibular (IB) | Apical (IB) | |
|---|---|---|---|---|---|---|---|---|---|
| first left + right molar | |||||||||
| p-Value | <0.001 | <0.001 | 0.028 | <0.001 | <0.001 | <0.001 | <0.001 | 0.017 | <0.001 |
| first left molar | |||||||||
| p-Value | 0.055 | <0.001 | 0.579 | <0.001 | <0.001 | <0.001 | 0.279 | 0.015 | <0.001 |
| first right molar | |||||||||
| p-Value | <0.001 | <0.001 | <0.001 | 0.246 | <0.001 | <0.001 | <0.001 | 0.225 | <0.001 |
| DS | IP | |
|---|---|---|
| Median | 3.35 | 1.7 |
| Interquartile Range | 3.6 | 1.8 |
| Minimum | 0.4 | 0.2 |
| Maximum | 9.6 | 9.7 |
| IT DS | IT IP | IB DS | IB IP | |
|---|---|---|---|---|
| Median | 1.58 | 0.6 | 1.795 | 0.85 |
| Interquartile Range | 0.62 | 0.38 | 0.84 | 0.61 |
| Minimum | 0.38 | 0.22 | 0.53 | 0.32 |
| Maximum | 2.59 | 2.39 | 3.49 | 3.38 |
| Apical/Z-Axis IT DS | Apical/Z-Axis IT IP | Apical/Z-Axis IB DS | Apical/Z-Axis IB IP | Distal/X-Axis IT DS | Distal/X-Axis IT IP | Distal/X-Axis IB DS | Distal/X-Axis IB IP | Vestibular/Y-Axis IT DS | Vestibular/Y-Axis IT IP | Vestibular/Y-Axis IB DS | Vestibular/Y-Axis IB IP | |
|---|---|---|---|---|---|---|---|---|---|---|---|---|
| Median | −1.43 | −0.49 | −1.395 | −0.47 | −0.11 | 0.08 | −0.6 | 0.02 | 0.195 | −0.01 | 0.3 | 0 |
| Interquartile Range | 0.66 | 0.36 | 0.64 | 0.36 | 0.51 | 0.19 | 0.99 | 0.34 | 0.58 | 0.39 | 0.94 | 0.62 |
| Minimum | −2.44 | −2.14 | −2.44 | −2 | −0.72 | −0.32 | −1.65 | −1.14 | −0.51 | −0.55 | −1.06 | −1.04 |
| Maximum | −0.17 | 1.06 | −0.17 | 1.07 | 0.74 | 0.64 | 0.82 | 1.19 | 1.04 | 1 | 2.5 | 2.48 |
| Angle | 3D (IT) | Distal (IT) | Vestibular (IT) | Apical (IT) | 3D (IB) | Distal (IB) | Vestibular (IB) | Apical (IB) | |
|---|---|---|---|---|---|---|---|---|---|
| Case 1 (first left molar) | 9.60 | 2.59 | −0.16 | 1.04 | −2.37 | 3.49 | −0.97 | 2.50 | −2.23 |
| Case 2 (first left molar) | 3.00 | 2.38 | 0.39 | 0.18 | −2.34 | 2.34 | −0.13 | 0.17 | −2.33 |
| Case 3 (first right molar) | 1.70 | 2.47 | 0.19 | 0.29 | −2.44 | 2.51 | 0.11 | 0.57 | −2.44 |
| Angle | 3D (IT) | Distal (IT) | Vestibular (IT) | Apical (IT) | 3D (IB) | Distal (IB) | Vestibular (IB) | Apical (IB) | |
|---|---|---|---|---|---|---|---|---|---|
| Case 1 (first left molar) | 9.70 | 2.39 | −0.32 | 1.00 | −2.14 | 3.38 | −1.14 | 2.48 | −2.00 |
Disclaimer/Publisher’s Note: The statements, opinions and data contained in all publications are solely those of the individual author(s) and contributor(s) and not of MDPI and/or the editor(s). MDPI and/or the editor(s) disclaim responsibility for any injury to people or property resulting from any ideas, methods, instructions or products referred to in the content. |
© 2023 by the authors. Licensee MDPI, Basel, Switzerland. This article is an open access article distributed under the terms and conditions of the Creative Commons Attribution (CC BY) license (https://creativecommons.org/licenses/by/4.0/).
Share and Cite
Ebeling, M.; Sakkas, A.; Schramm, A.; Wilde, F.; Scheurer, M.; Winter, K.; Pietzka, S. Accuracy Analysis of Computer-Assisted and Guided Dental Implantology by Comparing 3D Planning Data and Actual Implant Placement in a Mandibular Training Model: A Monocentric Comparison between Dental Students and Trained Implantologists. J. Pers. Med. 2023, 13, 1037. https://doi.org/10.3390/jpm13071037
Ebeling M, Sakkas A, Schramm A, Wilde F, Scheurer M, Winter K, Pietzka S. Accuracy Analysis of Computer-Assisted and Guided Dental Implantology by Comparing 3D Planning Data and Actual Implant Placement in a Mandibular Training Model: A Monocentric Comparison between Dental Students and Trained Implantologists. Journal of Personalized Medicine. 2023; 13(7):1037. https://doi.org/10.3390/jpm13071037
Chicago/Turabian StyleEbeling, Marcel, Andreas Sakkas, Alexander Schramm, Frank Wilde, Mario Scheurer, Karsten Winter, and Sebastian Pietzka. 2023. "Accuracy Analysis of Computer-Assisted and Guided Dental Implantology by Comparing 3D Planning Data and Actual Implant Placement in a Mandibular Training Model: A Monocentric Comparison between Dental Students and Trained Implantologists" Journal of Personalized Medicine 13, no. 7: 1037. https://doi.org/10.3390/jpm13071037
APA StyleEbeling, M., Sakkas, A., Schramm, A., Wilde, F., Scheurer, M., Winter, K., & Pietzka, S. (2023). Accuracy Analysis of Computer-Assisted and Guided Dental Implantology by Comparing 3D Planning Data and Actual Implant Placement in a Mandibular Training Model: A Monocentric Comparison between Dental Students and Trained Implantologists. Journal of Personalized Medicine, 13(7), 1037. https://doi.org/10.3390/jpm13071037

