IDO1/COX2 Expression Is Associated with Poor Prognosis in Colorectal Cancer Liver Oligometastases
Abstract
1. Introduction
2. Materials and Methods
2.1. Patients and Specimens
2.2. Immunohistochemical Staining
2.3. Follow-Up
2.4. Statistical Analysis
3. Results
3.1. IDO1/COX2 Expression in Patients
3.2. Correlation of IDO1/COX2 Expression with Clinicopathological Variables
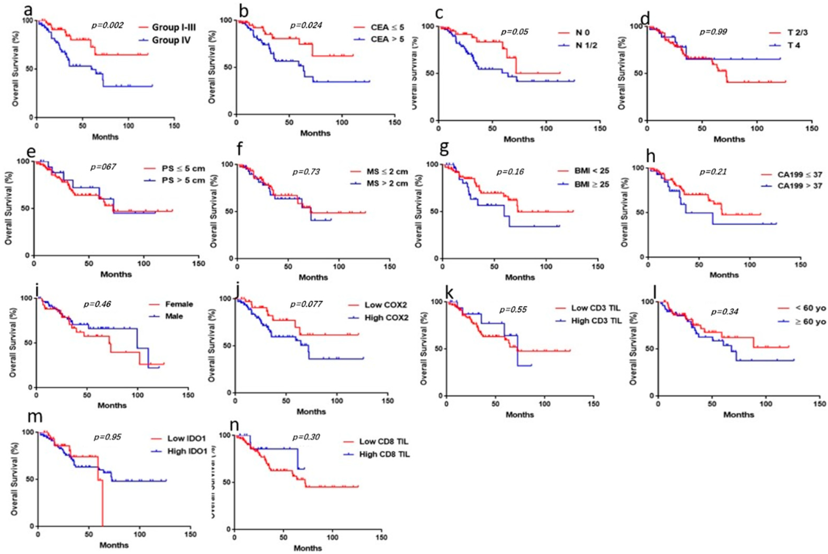
3.3. Univariate Analysis of the Correlation of Clinicopathological Parameters with OS
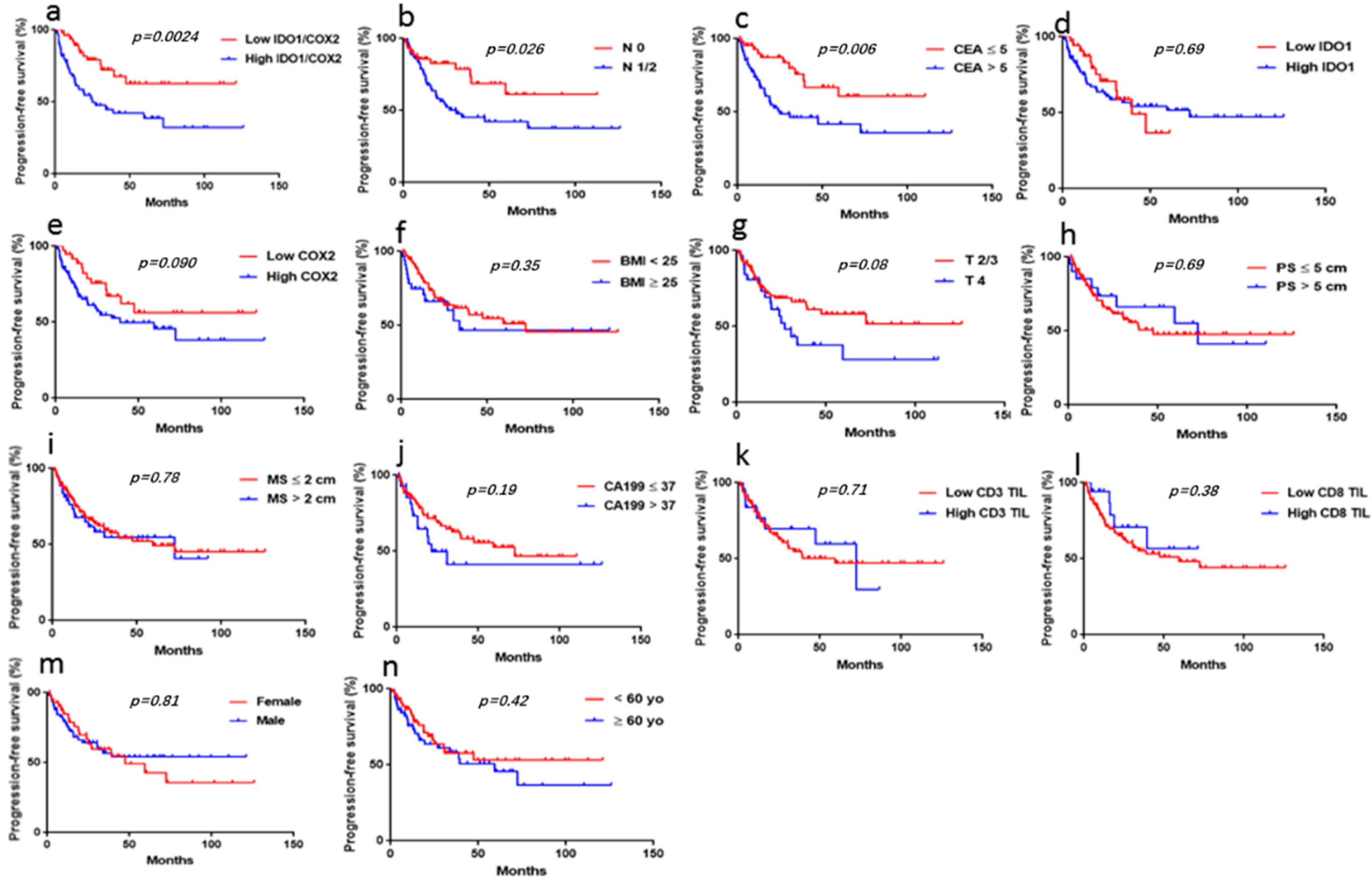
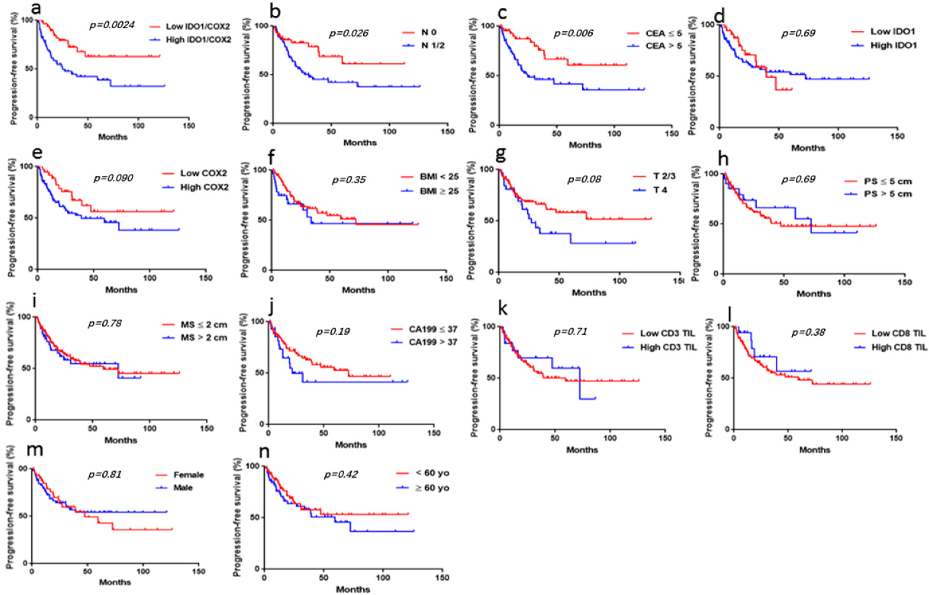
3.4. Univariate Analysis of the Correlation of Clinicopathological Parameters with PFS
3.5. Multivariate Analysis of the Correlation of Clinicopathological Parameters with OS
3.6. Multivariate Analysis of the Correlation of Clinicopathological Parameters with PFS
4. Discussion
5. Conclusions
Author Contributions
Funding
Institutional Review Board Statement
Informed Consent Statement
Data Availability Statement
Acknowledgments
Conflicts of Interest
References
- Siegel, R.L.; Miller, K.D.; Goding Sauer, A.; Fedewa, S.A.; Butterly, L.F.; Anderson, J.C.; Cercek, A.; Smith, R.A.; Jemal, A. Colorectal cancer statistics, 2020. CA Cancer J. Clin. 2020, 70, 145–164. [Google Scholar] [CrossRef] [PubMed]
- Siegel, R.L.; Miller, K.D.; Jemal, A. Cancer statistics, 2020. CA Cancer J. Clin. 2020, 70, 7–30. [Google Scholar] [CrossRef] [PubMed]
- Zhou, H.; Liu, Z.; Wang, Y.; Wen, X.; Amador, E.H.; Yuan, L.; Ran, X.; Xiong, L.; Ran, Y.; Chen, W.; et al. Colorectal liver metastasis: Molecular mechanism and interventional therapy. Signal Transduct. Target. Ther. 2022, 7, 70. [Google Scholar] [CrossRef] [PubMed]
- Akgul, O.; Cetinkaya, E.; Ersoz, S.; Tez, M. Role of surgery in colorectal cancer liver metastases. World J. Gastroenterol. 2014, 20, 6113–6122. [Google Scholar] [CrossRef]
- Gogna, S.; Goyal, P. Recent Strategies and Paradigm Shift in Management of Hepatic Metastasis from Colorectal Cancer. Indian J. Surg. Oncol. 2018, 9, 456–460. [Google Scholar] [CrossRef]
- Campos-da-Paz, M.; Dorea, J.G.; Galdino, A.S.; Lacava, Z.G.M.; Almeida Santos, M.F.M. Carcinoembryonic Antigen (CEA) and Hepatic Metastasis in Colorectal Cancer: Update on Biomarker for Clinical and Biotechnological Approaches. Recent Pat. Biotechnol. 2018, 12, 269–279. [Google Scholar] [CrossRef]
- Valderrama-Trevino, A.I.; Barrera-Mera, B.; Ceballos-Villalva, J.C.; Montalvo-Jave, E.E. Hepatic Metastasis from Colorectal Cancer. Euroasian J. Hepato-Gastroenterol. 2017, 7, 166–175. [Google Scholar] [CrossRef]
- Tomlinson, J.S.; Jarnagin, W.R.; DeMatteo, R.P.; Fong, Y.; Kornprat, P.; Gonen, M.; Kemeny, N.; Brennan, M.F.; Blumgart, L.H.; D’Angelica, M. Actual 10-year survival after resection of colorectal liver metastases defines cure. J. Clin. Oncol. 2007, 25, 4575–4580. [Google Scholar] [CrossRef]
- Chalabi, M.; Fanchi, L.F.; Dijkstra, K.K.; Van den Berg, J.G.; Aalbers, A.G.; Sikorska, K.; Lopez-Yurda, M.; Grootscholten, C.; Beets, G.L.; Snaebjornsson, P.; et al. Neoadjuvant immunotherapy leads to pathological responses in MMR-proficient and MMR-deficient early-stage colon cancers. Nat. Med. 2020, 26, 566–576. [Google Scholar] [CrossRef]
- Lee, V.; Murphy, A.; Le, D.T.; Diaz, L.A., Jr. Mismatch Repair Deficiency and Response to Immune Checkpoint Blockade. Oncologist 2016, 21, 1200–1211. [Google Scholar] [CrossRef]
- Shi, L.; Chen, L.; Wu, C.; Zhu, Y.; Xu, B.; Zheng, X.; Sun, M.; Wen, W.; Dai, X.; Yang, M.; et al. PD-1 Blockade Boosts Radiofrequency Ablation-Elicited Adaptive Immune Responses against Tumor. Clin. Cancer Res. 2016, 22, 1173–1184. [Google Scholar] [CrossRef]
- Wissniowski, T.T.; Hansler, J.; Neureiter, D.; Frieser, M.; Schaber, S.; Esslinger, B.; Voll, R.; Strobel, D.; Hahn, E.G.; Schuppan, D. Activation of tumor-specific T lymphocytes by radio-frequency ablation of the VX2 hepatoma in rabbits. Cancer Res. 2003, 63, 6496–6500. [Google Scholar] [PubMed]
- Dromi, S.A.; Walsh, M.P.; Herby, S.; Traughber, B.; Xie, J.; Sharma, K.V.; Sekhar, K.P.; Luk, A.; Liewehr, D.J.; Dreher, M.R.; et al. Radiofrequency ablation induces antigen-presenting cell infiltration and amplification of weak tumor-induced immunity. Radiology 2009, 251, 58–66. [Google Scholar] [CrossRef] [PubMed]
- Hennequart, M.; Pilotte, L.; Cane, S.; Hoffmann, D.; Stroobant, V.; Plaen, E.; Van den Eynde, B.J. Constitutive IDO1 Expression in Human Tumors Is Driven by Cyclooxygenase-2 and Mediates Intrinsic Immune Resistance. Cancer Immunol. Res. 2017, 5, 695–709. [Google Scholar] [CrossRef] [PubMed]
- Platten, M.; Nollen, E.A.A.; Rohrig, U.F.; Fallarino, F.; Opitz, C.A. Tryptophan metabolism as a common therapeutic target in cancer, neurodegeneration and beyond. Nat. Rev. Drug Discov. 2019, 18, 379–401. [Google Scholar] [CrossRef] [PubMed]
- Brahmer, J.R.; Tykodi, S.S.; Chow, L.Q.; Hwu, W.J.; Topalian, S.L.; Hwu, P.; Drake, C.G.; Camacho, L.H.; Kauh, J.; Odunsi, K.; et al. Safety and activity of anti-PD-L1 antibody in patients with advanced cancer. N. Engl. J. Med. 2012, 366, 2455–2465. [Google Scholar] [CrossRef]
- Brandacher, G.; Perathoner, A.; Ladurner, R.; Schneeberger, S.; Obrist, P.; Winkler, C.; Werner, E.R.; Werner-Felmayer, G.; Weiss, H.G.; Gobel, G.; et al. Prognostic value of indoleamine 2,3-dioxygenase expression in colorectal cancer: Effect on tumor-infiltrating T cells. Clin. Cancer Res. 2006, 12, 1144–1151. [Google Scholar] [CrossRef] [PubMed]
- Platten, M.; von Knebel Doeberitz, N.; Oezen, I.; Wick, W.; Ochs, K. Cancer Immunotherapy by Targeting IDO1/TDO and Their Downstream Effectors. Front. Immunol. 2014, 5, 673. [Google Scholar] [CrossRef]
- Gao, Y.F.; Peng, R.Q.; Li, J.; Ding, Y.; Zhang, X.; Wu, X.J.; Pan, Z.Z.; Wan, D.S.; Zeng, Y.X.; Zhang, X.S. The paradoxical patterns of expression of indoleamine 2,3-dioxygenase in colon cancer. J. Transl. Med. 2009, 7, 71. [Google Scholar] [CrossRef]
- Ino, K.; Yoshida, N.; Kajiyama, H.; Shibata, K.; Yamamoto, E.; Kidokoro, K.; Takahashi, N.; Terauchi, M.; Nawa, A.; Nomura, S.; et al. Indoleamine 2,3-dioxygenase is a novel prognostic indicator for endometrial cancer. Br. J. Cancer 2006, 95, 1555–1561. [Google Scholar] [CrossRef]
- Takamatsu, M.; Hirata, A.; Ohtaki, H.; Hoshi, M.; Ando, T.; Ito, H.; Hatano, Y.; Tomita, H.; Kuno, T.; Saito, K.; et al. Inhibition of indoleamine 2,3-dioxygenase 1 expression alters immune response in colon tumor microenvironment in mice. Cancer Sci. 2015, 106, 1008–1015. [Google Scholar] [CrossRef] [PubMed]
- Asghar, K.; Farooq, A.; Zulfiqar, B.; Rashid, M.U. Indoleamine 2,3-dioxygenase: As a potential prognostic marker and immunotherapeutic target for hepatocellular carcinoma. World J. Gastroenterol. 2017, 23, 2286–2293. [Google Scholar] [CrossRef] [PubMed]
- Theate, I.; van Baren, N.; Pilotte, L.; Moulin, P.; Larrieu, P.; Renauld, J.C.; Herve, C.; Gutierrez-Roelens, I.; Marbaix, E.; Sempoux, C.; et al. Extensive profiling of the expression of the indoleamine 2,3-dioxygenase 1 protein in normal and tumoral human tissues. Cancer Immunol. Res. 2015, 3, 161–172. [Google Scholar] [CrossRef] [PubMed]
- Rosenbaum, M.W.; Gigliotti, B.J.; Pai, S.I.; Parangi, S.; Wachtel, H.; Mino-Kenudson, M.; Gunda, V.; Faquin, W.C. PD-L1 and IDO1 Are Expressed in Poorly Differentiated Thyroid Carcinoma. Endocr. Pathol. 2018, 29, 59–67. [Google Scholar] [CrossRef]
- Zhou, Q.H.; Han, H.; Lu, J.B.; Liu, T.Y.; Huang, K.B.; Deng, C.Z.; Li, Z.S.; Chen, J.P.; Yao, K.; Qin, Z.K.; et al. Up-regulation of indoleamine 2,3-dioxygenase 1 (IDO1) expression and catalytic activity is associated with immunosuppression and poor prognosis in penile squamous cell carcinoma patients. Cancer Commun. 2020, 40, 3–15. [Google Scholar] [CrossRef]
- Ma, W.J.; Wang, X.; Yan, W.T.; Zhou, Z.G.; Pan, Z.Z.; Chen, G.; Zhang, R.X. Indoleamine-2,3-dioxygenase 1/cyclooxygenase 2 expression prediction for adverse prognosis in colorectal cancer. World J. Gastroenterol. 2018, 24, 2181–2190. [Google Scholar] [CrossRef]
- Chen, B.; Alvarado, D.M.; Iticovici, M.; Kau, N.S.; Park, H.; Parikh, P.J.; Thotala, D.; Ciorba, M.A. Interferon-Induced IDO1 Mediates Radiation Resistance and Is a Therapeutic Target in Colorectal Cancer. Cancer Immunol. Res. 2020, 8, 451–464. [Google Scholar] [CrossRef]
- Xiang, Z.; Li, J.; Song, S.; Wang, J.; Cai, W.; Hu, W.; Ji, J.; Zhu, Z.; Zang, L.; Yan, R.; et al. A positive feedback between IDO1 metabolite and COL12A1 via MAPK pathway to promote gastric cancer metastasis. J. Exp. Clin. Cancer Res. 2019, 38, 314. [Google Scholar] [CrossRef]
- Chen, C.T.; Wu, P.H.; Hu, C.C.; Nien, H.C.; Wang, J.T.; Sheu, J.C.; Chow, L.P. Aberrant Upregulation of Indoleamine 2,3-Dioxygenase 1 Promotes Proliferation and Metastasis of Hepatocellular Carcinoma Cells via Coordinated Activation of AhR and beta-Catenin Signaling. Int. J. Mol. Sci. 2021, 22, 11661. [Google Scholar] [CrossRef]
- Dahlin, A.M.; Henriksson, M.L.; Van Guelpen, B.; Stenling, R.; Oberg, A.; Rutegard, J.; Palmqvist, R. Colorectal cancer prognosis depends on T-cell infiltration and molecular characteristics of the tumor. Mod. Pathol. 2011, 24, 671–682. [Google Scholar] [CrossRef]



| Characteristics | No. of Patients | IDO-1/COX2 Expression (%) | p-Value | |
|---|---|---|---|---|
| One or Both Low | Both High | |||
| Gender | ||||
| Male | 65 | 33 (50.8%) | 32 (49.2%) | 0.424 | 
| Female | 42 | 18 (42.9%) | 24 (57.1%) | |
| Age (years) | ||||
| ≥60 | 51 | 17 (33.3%) | 35 (66.7%) | 0.004 | 
| <60 | 56 | 34 (60.7%) | 22 (39.3%) | |
| BMI | ||||
| ≥25 | 25 | 13 (52.0%) | 12 (48.0%) | 0.620 | 
| <25 | 82 | 38 (46.3%) | 44 (53.7%) | |
| T stage | ||||
| 4 | 32 | 12 (37.5%) | 20 (62.5%) | 0.415 | 
| 2/3 | 75 | 39 (52.0%) | 46 (48.0%) | |
| N stage | ||||
| 1/2 | 63 | 28 (44.4%) | 35 (55.6%) | 0.425 | 
| 0 | 44 | 23 (52.3%) | 21 (47.7%) | |
| Primary tumor size (cm) | ||||
| >5 | 20 | 9 (45.0%) | 11 (55.0%) | 0.791 | 
| ≤5 | 87 | 42 (48.3%) | 45 (51.7%) | |
| Liver metastases size (cm) | ||||
| >2 | 44 | 21 (47.7%) | 23 (52.3%) | 0.991 | 
| ≤2 | 63 | 30 (46.7%) | 33 (53.3%) | |
| CEA in ng/mL | ||||
| >5 | 62 | 28 (45.2%) | 44 (54.8%) | 0.195 | 
| ≤5 | 45 | 23 (51.1%) | 22 (48.9%) | |
| CA19-9 in U/mL | ||||
| >37 | 29 | 15 (51.7%) | 14 (48.3%) | 0.608 | 
| ≤37 | 78 | 36 (46.2%) | 42 (53.8%) | |
| CD3 TILs | ||||
| High | 19 | 10 (52.3%) | 9 (47.7%) | 0.633 | 
| Low | 88 | 41 (46.6%) | 47 (53.4%) | |
| CD8 TILs | ||||
| High | 18 | 10 (55.6%) | 8 (44.4%) | 0.462 | 
| Low | 89 | 41 (46.1%) | 48 (53.9%) | |
| Variables | OS | PFS | ||||||
|---|---|---|---|---|---|---|---|---|
| Univariate | Multivariate | Univariate | Multivariate | |||||
| p-Value | p-Value | HR | 95% CI | p-Value | p-Value | HR | 95% CI | |
| Gender (Male vs. Female) | NS | NS | NS | NS | ||||
| Age, years (≥60 vs. <60) | NS | NS | NS | NS | ||||
| BMI (≥25 vs. <25) | NS | NS | NS | NS | ||||
| T stage (4 vs. 2/3) | NS | NS | NS | NS | ||||
| N stage (1/2 vs. 0) | 0.050 | NS | 0.026 | NS | ||||
| Primary tumor size (cm) (>5 vs. ≤5) | NS | NS | NS | NS | ||||
| Liver metastases size (cm) (>2 vs. ≤2) | NS | NS | NS | NS | ||||
| CEA (ng/mL) (>5 vs. ≤5) | 0.024 | 0.050 | 2.137 | 1.001–4.566 | 0.006 | 0.007 | 2.538 | 1.291–5.000 | 
| CA19-9 (U/mL) (>37 vs. ≤37) | NS | NS | 0.19 | NS | ||||
| CD3 TILs (High vs. Low) | NS | NS | NS | NS | ||||
| CD8 TILs (High vs. Low) | NS | NS | NS | NS | ||||
| IDO-1 (High vs. Low) | NS | NS | NS | NS | ||||
| COX2 (High vs. Low) | NS | NS | NS | NS | ||||
| IDO-1/COX2 (Group IV vs. Groups I/II/III) | 0.002 | 0.037 | 2.315 | 1.052–5.102 | 0.0024 | 0.013 | 2.347 | 1.197–4.608 | 
| Disclaimer/Publisher’s Note: The statements, opinions and data contained in all publications are solely those of the individual author(s) and contributor(s) and not of MDPI and/or the editor(s). MDPI and/or the editor(s) disclaim responsibility for any injury to people or property resulting from any ideas, methods, instructions or products referred to in the content. | 
© 2023 by the authors. Licensee MDPI, Basel, Switzerland. This article is an open access article distributed under the terms and conditions of the Creative Commons Attribution (CC BY) license (https://creativecommons.org/licenses/by/4.0/).
Share and Cite
Wu, M.; Wu, X.; Wang, X.; Hong, X.; Liu, Y.; Lv, G.; Li, C.; Pan, Z.; Zhang, R.; Chen, G. IDO1/COX2 Expression Is Associated with Poor Prognosis in Colorectal Cancer Liver Oligometastases. J. Pers. Med. 2023, 13, 496. https://doi.org/10.3390/jpm13030496
Wu M, Wu X, Wang X, Hong X, Liu Y, Lv G, Li C, Pan Z, Zhang R, Chen G. IDO1/COX2 Expression Is Associated with Poor Prognosis in Colorectal Cancer Liver Oligometastases. Journal of Personalized Medicine. 2023; 13(3):496. https://doi.org/10.3390/jpm13030496
Chicago/Turabian StyleWu, Miaoqing, Xiaoliang Wu, Xing Wang, Xiangchan Hong, Yifan Liu, Guangzhao Lv, Cong Li, Zhizhong Pan, Rongxin Zhang, and Gong Chen. 2023. "IDO1/COX2 Expression Is Associated with Poor Prognosis in Colorectal Cancer Liver Oligometastases" Journal of Personalized Medicine 13, no. 3: 496. https://doi.org/10.3390/jpm13030496
APA StyleWu, M., Wu, X., Wang, X., Hong, X., Liu, Y., Lv, G., Li, C., Pan, Z., Zhang, R., & Chen, G. (2023). IDO1/COX2 Expression Is Associated with Poor Prognosis in Colorectal Cancer Liver Oligometastases. Journal of Personalized Medicine, 13(3), 496. https://doi.org/10.3390/jpm13030496
 
        

 
       