The Relationship between Lower Extremity Functional Performance and Balance after Anterior Cruciate Ligament Reconstruction: Results of Patients Treated with the Modified All-Inside Technique
Abstract
1. Introduction
2. Materials and Methods
2.1. Experimental Approach and Patients
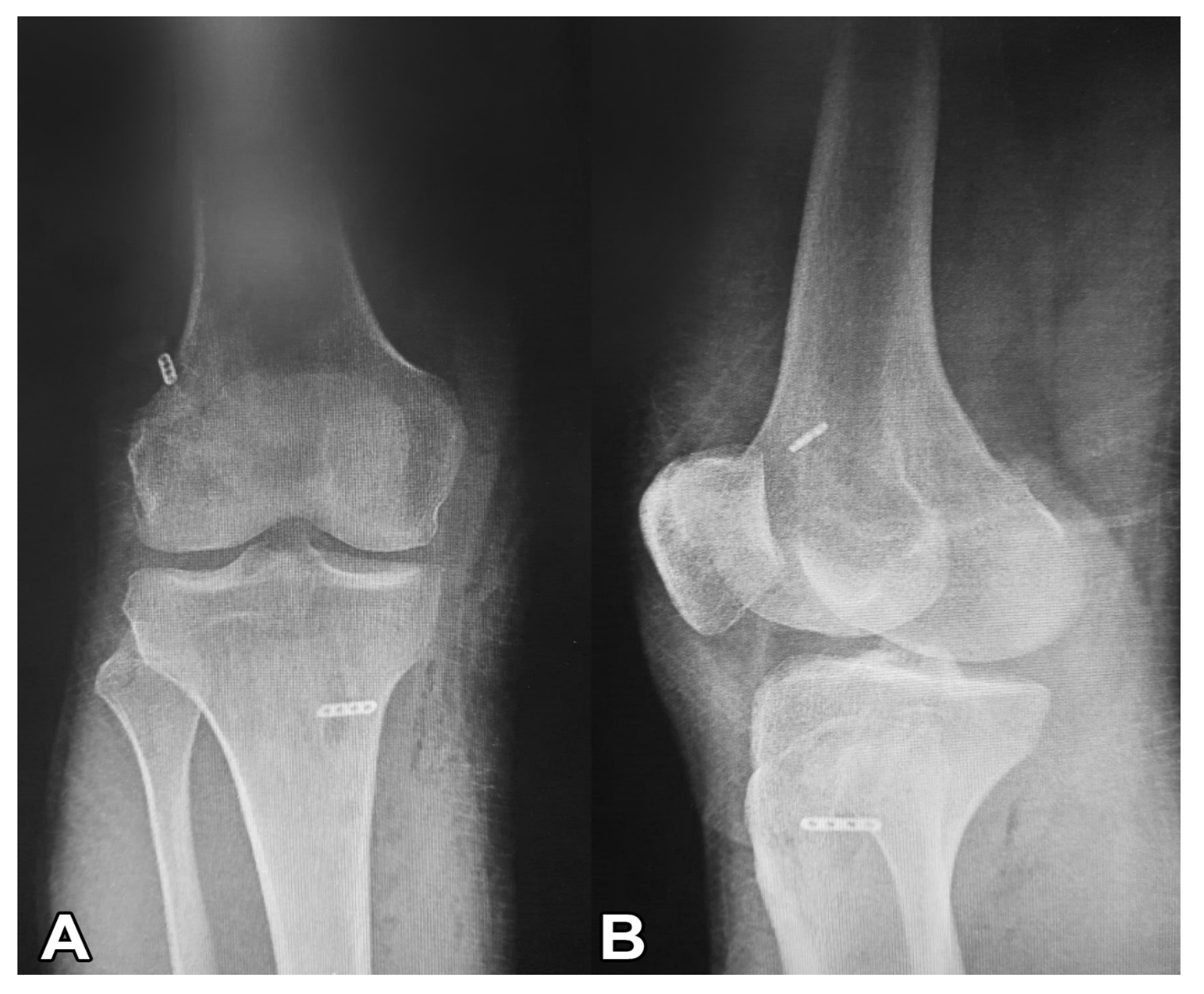
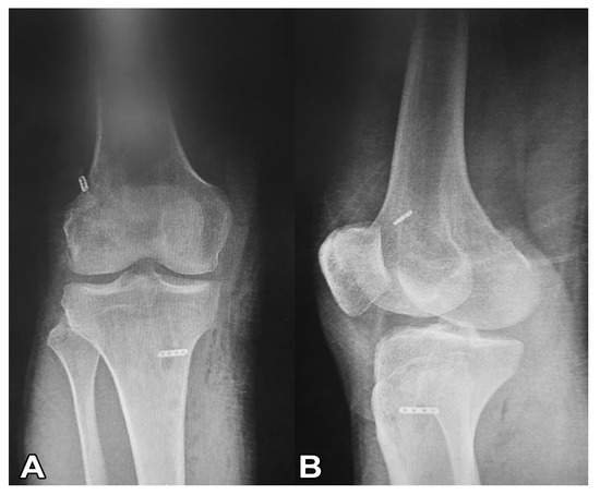
2.2. Surgical Treatment (Modified All-Inside Technique)
2.3. Procedures
2.3.1. Anthropometric Measures
2.3.2. Y Balance Test (YBT)
2.3.3. Single Leg Hop Tests (SLHT)
2.4. Statistical Analysis
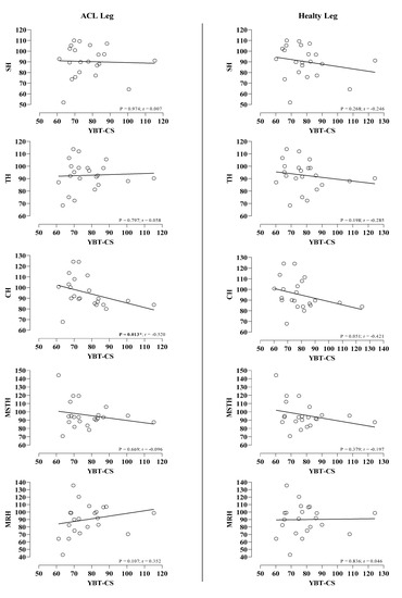
3. Results
4. Discussion
5. Conclusions
Author Contributions
Funding
Institutional Review Board Statement
Informed Consent Statement
Acknowledgments
Conflicts of Interest
References
- Lehr, C.A.; Tan, C.S.; Ysseldyke, J. Alternative Schools: A Synthesis of State-Level Policy and Research. Remedial Spec. Educ. 2009, 30, 19–32. [Google Scholar] [CrossRef]
- Wilk, K.E.; Romaniello, W.T.; Soscia, S.M.; Arrigo, C.A.; Andrews, J.R. The Relationship Between Subjective Knee Scores, Isokinetic Testing, and Functional Testing in the ACL-Reconstructed Knee. J. Orthop. Sport. Phys. Ther. 1994, 20, 60–73. [Google Scholar] [CrossRef] [PubMed]
- Salzler, M.; Nwachukwu, B.U.; Rosas, S.; Nguyen, C.; Law, T.Y.; Eberle, T.; McCormick, F. State-of-the-Art Anterior Cruciate Ligament Tears: A Primer for Primary Care Physicians. Phys. Sportsmed. 2015, 43, 169–177. [Google Scholar] [CrossRef] [PubMed]
- Middleton, K.K.; Hamilton, T.; Irrgang, J.J.; Karlsson, J.; Harner, C.D.; Fu, F.H. Anatomic Anterior Cruciate Ligament (ACL) Reconstruction: A Global Perspective. Part 1. Knee Surg. Sport. Traumatol. Arthrosc. 2014, 22, 1467–1482. [Google Scholar] [CrossRef] [PubMed]
- Pasquali, M.; Plante, M.J.; Monchik, K.O.; Spenciner, D.B. A Comparison of Three Adjustable Cortical Button ACL Fixation Devices. Knee Surg. Sport. Traumatol. Arthrosc. 2017, 25, 1613–1616. [Google Scholar] [CrossRef]
- Mahirogullari, M.; Kehribar, L.; Surucu, S.; Kayaalp, M.E.; Yilmaz, A.K.; Aydin, M. Comparative Results of Anterior Cruciate Ligament Reconstruction with Full Tibial Tunnel: Quadrupled Semitendinosus Suspensory Femoral and Tibial Fixation versus Quadrupled Semitendinosus and Gracilis Suspensory Femoral and Tibial Screw and Staple Fixation. J. Knee Surg. 2022; ahead of print. [Google Scholar]
- Streich, N.A.; Reichenbacher, S.; Barié, A.; Buchner, M.; Schmitt, H. Long-Term Outcome of Anterior Cruciate Ligament Reconstruction with an Autologous Four-Strand Semitendinosus Tendon Autograft. Int. Orthop. 2013, 37, 279–284. [Google Scholar] [CrossRef]
- Dingenen, B.; Truijen, J.; Bellemans, J.; Gokeler, A. Test–Retest Reliability and Discriminative Ability of Forward, Medial and Rotational Single-Leg Hop Tests. Knee 2019, 26, 978–987. [Google Scholar] [CrossRef]
- Kehribar, L.; Yılmaz, A.K.; Karaduman, E.; Kabadayı, M.; Bostancı, Ö.; Sürücü, S.; Aydın, M.; Mahiroğulları, M. Post-Operative Results of ACL Reconstruction Techniques on Single-Leg Hop Tests in Athletes: Hamstring Autograft vs. Hamstring Grafts Fixed Using Adjustable Cortical Suspension in Both the Femur and Tibia. Med. (B. Aires). 2022, 58, 435. [Google Scholar] [CrossRef]
- Wilk, K.E.; Arrigo, C.A. Rehabilitation Principles of the Anterior Cruciate Ligament Reconstructed Knee. Clin. Sport. Med. 2017, 36, 189–232. [Google Scholar] [CrossRef]
- Wilk, K.E.; Macrina, L.C.; Cain, E.L.; Dugas, J.R.; Andrews, J.R. Recent Advances in the Rehabilitation of Anterior Cruciate Ligament Injuries. J. Orthop. Sport. Phys. Ther. 2012, 42, 153–171. [Google Scholar] [CrossRef]
- Valeriani, M.; Restuccia, D.; Lazzaro, V.; Franceschi, F.; Fabbriciani, C.; Tonali, P. Clinical and Neurophysiological Abnormalities before and after Reconstruction of the Anterior Cruciate Ligament of the Knee. Acta Neurol. Scand. 1999, 99, 303–307. [Google Scholar] [CrossRef] [PubMed]
- Reider, B.; Arcand, M.A.; Diehl, L.H.; Mroczek, K.; Abulencia, A.; Stroud, C.C.; Palm, M.; Gilbertson, J.; Staszak, P. Proprioception of the Knee before and after Anterior Cruciate Ligament Reconstruction. Arthrosc. J. Arthrosc. Relat. Surg. 2003, 19, 2–12. [Google Scholar] [CrossRef] [PubMed]
- Hoffman, M.; Schrader, J.; Koceja, D. An Investigation of Postural Control in Post-operative Anterior Cruciate Ligament Reconstruction Patients. J. Athl. Train. 1999, 34, 130–136. [Google Scholar]
- Barrack, R.L.; Skinner, H.B.; Buckley, S.L. Proprioception in the Anterior Cruciate Deficient Knee. Am. J. Sport. Med. 1989, 17, 1–6. [Google Scholar] [CrossRef] [PubMed]
- Adachi, N.; Ochi, M.; Uchio, Y.; Iwasa, J.; Ryoke, K.; Kuriwaka, M. Mechanoreceptors in the Anterior Cruciate Ligament Contribute to the Joint Position Sense. Acta Orthop. Scand. 2002, 73, 330–334. [Google Scholar] [CrossRef] [PubMed]
- Hopper, D.M.; Creagh, M.J.; Formby, P.A.; Goh, S.C.; Boyle, J.J.; Strauss, G.R. Functional Measurement of Knee Joint Position Sense after Anterior Cruciate Ligament Reconstruction11No Commercial Party Having a Direct Financial Interest in the Results of the Research Supporting This Article Has or Will Confer a Benefit upon the Author. Arch. Phys. Med. Rehabil. 2003, 84, 868–872. [Google Scholar] [CrossRef] [PubMed]
- Clark, N.C. Functional Performance Testing Following Knee Ligament Injury. Phys. Ther. Sport. 2001, 2, 91–105. [Google Scholar] [CrossRef]
- Gokhale, A.M.; Patel, G.R. Analysis of Variability in Tensile Ductility of a Semi-Solid Metal Cast A356 Al-Alloy. Mater. Sci. Eng. A. 2005, 392, 184–190. [Google Scholar] [CrossRef]
- Plisky, P.J.; Gorman, P.P.; Butler, R.J.; Kiesel, K.B.; Underwood, F.B.; Elkins, B. The Reliability of an Instrumented Device for Measuring Components of the Star Excursion Balance Test. N. Am. J. Sport. Phys. Ther. 2009, 4, 92–99. [Google Scholar]
- Shaffer, S.W.; Teyhen, D.S.; Lorenson, C.L.; Warren, R.L.; Koreerat, C.M.; Straseske, C.A.; Childs, J.D. Y-Balance Test: A Reliability Study Involving Multiple Raters. Mil. Med. 2013, 178, 1264–1270. [Google Scholar] [CrossRef]
- Akhbari, B.; Salavati, M.; Mohammadi, F.; Safavi-Farokhi, Z. Intra- and Inter-Session Reliability of Static and Dynamic Postural Control in Participants with and without Patellofemoral Pain Syndrome. Physiother. Canada. 2015, 67, 248–253. [Google Scholar] [CrossRef] [PubMed]
- Myers, H.; Christopherson, Z.; Butler, R.J. Relationship Between the Lower Quarter Y-Balance Test Scores and Isokinetic Strength Testing in Patients Status Post Acl Reconstruction. Int. J. Sport. Phys. Ther. 2018, 13, 152–159. [Google Scholar] [CrossRef]
- Testerman, C.; Griend, R. Vander. Evaluation of Ankle Instability Using the Biodex Stability System. Foot Ankle Int. 1999, 20, 317–321. [Google Scholar] [CrossRef] [PubMed]
- Herrington, L.; Hatcher, J.; Hatcher, A.; McNicholas, M. A Comparison of Star Excursion Balance Test Reach Distances between ACL Deficient Patients and Asymptomatic Controls. Knee 2009, 16, 149–152. [Google Scholar] [CrossRef]
- Gribble, P.A.; Terada, M.; Beard, M.Q.; Kosik, K.B.; Lepley, A.S.; McCann, R.S.; Pietrosimone, B.G.; Thomas, A.C. Prediction of Lateral Ankle Sprains in Football Players Based on Clinical Tests and Body Mass Index. Am. J. Sport. Med. 2016, 44, 460–467. [Google Scholar] [CrossRef]
- Plisky, P.J.; Rauh, M.J.; Kaminski, T.W.; Underwood, F.B. Star Excursion Balance Test as a Predictor of Lower Extremity Injury in High School Basketball Players. J. Orthop. Sport. Phys. Ther. 2006, 36, 911–919. [Google Scholar] [CrossRef]
- Butler, R.J.; Lehr, M.E.; Fink, M.L.; Kiesel, K.B.; Plisky, P.J. Dynamic Balance Performance and Noncontact Lower Extremity Injury in College Football Players. Sport. Health A Multidiscip Approach 2013, 5, 417–422. [Google Scholar] [CrossRef]
- Smith, C.A.; Chimera, N.J.; Warren, M. Association of Y Balance Test Reach Asymmetry and Injury in Division I Athletes. Med. Sci. Sport. Exerc. 2015, 47, 136–141. [Google Scholar] [CrossRef]
- Delahunt, E.; Chawke, M.; Kelleher, J.; Murphy, K.; Prendiville, A.; Sweeny, L.; Patterson, M. Lower Limb Kinematics and Dynamic Postural Stability in Anterior Cruciate Ligament-Reconstructed Female Athletes. J. Athl. Train. 2013, 48, 172–185. [Google Scholar] [CrossRef]
- Cournapeau, J.; Klouche, S.; Hardy, P. Material Costs of Anterior Cruciate Ligament Reconstruction with Hamstring Tendons by Two Different Techniques. Orthop. Traumatol. Surg. Res. 2013, 99, 196–201. [Google Scholar] [CrossRef]
- Hegedus, E.J.; McDonough, S.; Bleakley, C.; Cook, C.E.; Baxter, G.D. Clinician-Friendly Lower Extremity Physical Performance Measures in Athletes: A Systematic Review of Measurement Properties and Correlation with Injury, Part 1. The Tests for Knee Function Including the Hop Tests. Br. J. Sport. Med. 2015, 49, 642–648. [Google Scholar] [CrossRef] [PubMed]
- Logerstedt, D.S.; Snyder-Mackler, L.; Ritter, R.C.; Axe, M.J.; Godges, J.J. Knee Stability and Movement Coordination Impairments: Knee Ligament Sprain. J. Orthop. Sport. Phys. Ther. 2010, 40, A1–A37. [Google Scholar] [CrossRef] [PubMed]
- Dingenen, B.; Gokeler, A. Optimization of the Return-to-Sport Paradigm after Anterior Cruciate Ligament Reconstruction: A Critical Step Back to Move Forward. Sport. Med. 2017, 47, 1487–1500. [Google Scholar] [CrossRef]
- Harrison, J.J.; Yorgey, M.K.; Csiernik, A.J.; Vogler, J.H.; Games, K.E. Clinician-Friendly Physical Performance Tests for the Knee. J. Athl. Train. 2017, 52, 1068–1069. [Google Scholar] [CrossRef] [PubMed]
- Gokeler, A.; Welling, W.; Zaffagnini, S.; Seil, R.; Padua, D. Development of a Test Battery to Enhance Safe Return to Sports after Anterior Cruciate Ligament Reconstruction. Knee Surg. Sport. Traumatol. Arthrosc. 2017, 25, 192–199. [Google Scholar] [CrossRef]
- Schmitt, L.C.; Paterno, M.V.; Hewett, T.E. The Impact of Quadriceps Femoris Strength Asymmetry on Functional Performance at Return to Sport Following Anterior Cruciate Ligament Reconstruction. J. Orthop. Sport. Phys. Ther. 2012, 42, 750–759. [Google Scholar] [CrossRef]
- Paterno, M.V.; Schmitt, L.C.; Ford, K.R.; Rauh, M.J.; Myer, G.D.; Huang, B.; Hewett, T.E. Biomechanical Measures during Landing and Postural Stability Predict Second Anterior Cruciate Ligament Injury after Anterior Cruciate Ligament Reconstruction and Return to Sport. Am. J. Sport. Med. 2010, 38, 1968–1978. [Google Scholar] [CrossRef]
- Myer, G.D.; Schmitt, L.C.; Brent, J.L.; Ford, K.R.; Barber Foss, K.D.; Scherer, B.J.; Heidt, R.S.; Divine, J.G.; Hewett, T.E. Utilization of Modified NFL Combine Testing to Identify Functional Deficits in Athletes Following ACL Reconstruction. J. Orthop. Sport. Phys. Ther. 2011, 41, 377–387. [Google Scholar] [CrossRef]
- Garrison, J.C.; Bothwell, J.M.; Wolf, G.; Aryal, S.; Thigpen, C.A. Y Balance TestTM Anterior Reach Symmetry at Three Months Is Related to Single Leg Functional Performance at Time of Return to Sports Following Anterior Cruciate Ligament Reconstruction. Int. J. Sport. Phys. Ther. 2015, 10, 602–611. [Google Scholar]
- Cook, G.; Plisky, P. Y Balance Test Manual. 2015. Available online: https://www.functionalmovement.com/files/Articles/660a_YBTOnlineManualv1.pdf (accessed on 20 January 2023).
- Reid, A.; Birmingham, T.B.; Stratford, P.W.; Alcock, G.K.; Giffin, J.R. Hop Testing Provides a Reliable and Valid Outcome Measure during Rehabilitation after Anterior Cruciate Ligament Reconstruction. Phys. Ther. 2007, 87, 337–349. [Google Scholar] [CrossRef]
- Kivlan, B.R.; Carcia, C.R.; Clemente, F.R.; Phelps, A.L.; Martin, R.L. Reliability and Validity of Functional Performance Tests in Dancers with Hip Dysfunction. Int. J. Sport. Phys. Ther. 2013, 8, 360–369. [Google Scholar]
- Cohen, J. Statistical Power Analysis for the Behavioral Sciences, 2nd ed.; Laurence Erlbaum: Hillsdale, NJ, USA, 1988. [Google Scholar]
- Clagg, S.; Paterno, M.V.; Hewett, T.E.; Schmitt, L.C. Performance on the Modified Star Excursion Balance Test at the Time of Return to Sport Following Anterior Cruciate Ligament Reconstruction. J. Orthop. Sport. Phys. Ther. 2015, 45, 444–452. [Google Scholar] [CrossRef] [PubMed]
- Bulow, A.; Bellemare, A.; Anderson, J.E.; Leiter, J.R.S.; MacDonald, P.B.; Peeler, J.D. Lower Extremity Kinematics of the Y-Balance Test in Healthy and ACL Injured Adolescent Females. Int. J. Sport. Phys. Ther. 2021, 16, 381. [Google Scholar] [CrossRef] [PubMed]
- Earl, J.E.; Hertel, J. Lower-Extremity Muscle Activation during the Star Excursion Balance Tests. J. Sport Rehabil. 2001, 10, 93–104. [Google Scholar] [CrossRef]
- Norris, B.; Trudelle-Jackson, E. Hip- and Thigh-Muscle Activation During the Star Excursion Balance Test. J. Sport Rehabil. 2011, 20, 428–441. [Google Scholar] [CrossRef]
- Zult, T.; Gokeler, A.; van Raay, J.J.A.M.; Brouwer, R.W.; Zijdewind, I.; Hortobágyi, T. An Anterior Cruciate Ligament Injury Does Not Affect the Neuromuscular Function of the Non-Injured Leg except for Dynamic Balance and Voluntary Quadriceps Activation. Knee Surg. Sport. Traumatol. Arthrosc. 2017, 25, 172–183. [Google Scholar] [CrossRef]
- Fullam, K.; Caulfield, B.; Coughlan, G.F.; Delahunt, E. Kinematic Analysis of Selected Reach Directions of the Star Excursion Balance Test Compared With the Y-Balance Test. J. Sport Rehabil. 2014, 23, 27–35. [Google Scholar] [CrossRef]
- Bulow, A.; Anderson, J.E.; Leiter, J.R.; MacDonald, P.B.; Peeler, J. The Modified Star Excursion Balance and Y-Balance Test Results Differ When Assessing Physically Active Healthy Adolescent Females. Int. J. Sport. Phys. Ther. 2019, 14, 192–203. [Google Scholar] [CrossRef]
- Coughlan, G.F.; Fullam, K.; Delahunt, E.; Gissane, C.; Caulfield, B.M.; Sci, M. A Comparison Between Performance on Selected Directions of the Star Excursion Balance Test and the Y Balance Test. J. Athl. Train. 2012, 47, 366–371. [Google Scholar] [CrossRef]
- Acar, K.; Yilmaz, A.K. Functional Dimorphism and Relationship between Different Lower Extremity Strength Tests in Young Elite Judokas. Rev. Artes Marciales Asiáticas. 2021, 16, 56–66. [Google Scholar] [CrossRef]
- Barfod, K.W.; Feller, J.A.; Hartwig, T.; Devitt, B.M.; Webster, K.E. Knee Extensor Strength and Hop Test Performance Following Anterior Cruciate Ligament Reconstruction. Knee 2019, 26, 149–154. [Google Scholar] [CrossRef] [PubMed]
- Herrington, L.; Ghulam, H.; Comfort, P. Quadriceps Strength and Functional Performance After Anterior Cruciate Ligament Reconstruction in Professional Soccer Players at Time of Return to Sport. J. Strength Cond. Res. 2021, 35, 769–775. [Google Scholar] [CrossRef]
- Augustsson, J.; Thomeé, R.; Karlsson, J. Ability of a New Hop Test to Determine Functional Deficits after Anterior Cruciate Ligament Reconstruction. Knee Surg. Sport. Traumatol. Arthrosc. 2004, 12, 350–356. [Google Scholar] [CrossRef] [PubMed]
- Hardesty, K.; Hegedus, E.J.; Ford, K.R.; Nguyen, A.-D.; Taylor, J.B. Determination of Clinically Relevant Differences in Frontal Plane Hop Tests in Women’s Collegiate Basketball and Soccer Players. Int. J. Sport. Phys. Ther. 2017, 12, 182–189. [Google Scholar]
- Abrams, G.D.; Harris, J.D.; Gupta, A.K.; McCormick, F.M.; Bush-Joseph, C.A.; Verma, N.N.; Cole, B.J.; Bach, B.R. Functional Performance Testing after Anterior Cruciate Ligament Reconstruction. Orthop. J. Sport. Med. 2014, 2, 232596711351830. [Google Scholar] [CrossRef]
- Sinsurin, K.; Vachalathiti, R.; Jalayondeja, W.; Limroongreungrat, W. Different Sagittal Angles and Moments of Lower Extremity Joints during Single-Leg Jump Landing among Various Directions in Basketball and Volleyball Athletes. J. Phys. Ther. Sci. 2013, 25, 1109–1113. [Google Scholar] [CrossRef]
- Taylor, J.B.; Wright, A.A.; Dischiavi, S.L.; Townsend, M.A.; Marmon, A.R. Activity Demands during Multi-Directional Team Sports: A Systematic Review. Sport. Med. 2017, 47, 2533–2551. [Google Scholar] [CrossRef]
- Liu, K.; Heise, G.D. The Effect of Jump-Landing Directions on Dynamic Stability. J. Appl. Biomech. 2013, 29, 634–638. [Google Scholar] [CrossRef]
- Powers, C.M. The Influence of Abnormal Hip Mechanics on Knee Injury: A Biomechanical Perspective. J. Orthop. Sport. Phys. Ther. 2010, 40, 42–51. [Google Scholar] [CrossRef]






| Variables | Value |
|---|---|
| Age (years) | 28.32 ± 6.6 |
| Height (cm) | 176.45 ± 6.68 |
| Weight (kg) | 86 ± 12.09 |
| BMI (kg/m2) | 27.55 ± 2.75 |
| Time from ACLR to measurements (mon) | 6.45 ± 0.67 |
| Thigh length (cm) | |
| Operated side | 47.27 ± 9.97 |
| Non-operated side | 47.58 ± 10.07 |
| Lower limb length (cm) | |
| Operated side | 90.5 ± 9.59 |
| Non-operated side | 90.73 ± 9.61 |
| Dominant side (n (%)) | |
| Right | 17 (77.3) |
| Left | 5 (22.7) |
| Surgical side (n (%)) | |
| Right | 13 (59.1) |
| Left | 9 (40.9) |
| Pre-Operative | Post-Operative | 95% CI | p-Value | |||
|---|---|---|---|---|---|---|
| Mean ± SD | Med (Min-Max) | Mean ± SD | Med (Min-Max) | |||
| Lysholm | 74.09 ± 8.67 | 74 (58–92) | 98.82 ± 2.56 | 100 (90–100) | –28.40 to−21.05 | <0.001 1 |
| IKDC | 49.27 ± 8.88 | 48.5 (32–64) | 90.73 ± 6.32 | 91.5 (80–100) | –45.72 to−37.18 | <0.001 2 |
| Tegner | 6.36 ± 1.18 | 6 (5–9) | 5.91 ± 1.31 | 6 (4–8) | 0.229 to 0.681 | 0.002 1 |
| ACL Leg | Healthy Leg | p-Value | |
|---|---|---|---|
| Median (Min-Max) | Median (Min-Max) | ||
| Anterior (%) | 72.54 (61.81–104.59) | 74.68 (64.84–122.41) | 0.123 |
| Posterolateral (%) | 67.98 (50.54–112.07) | 74.57 (48.94–122.98) | 0.592 |
| Posteromedial (%) | 79.88 (62.72–129.31) | 82.16 (60.69–127.59) | 0.884 |
| Composite score (%) | 72.96 (61.17–115.32) | 76.76 (60.18–124.33) | 0.291 |
| Variables (%) | Mean ± SD | F | p-Value |
|---|---|---|---|
| SH | 90.25 ± 15.06 | 0.677 | 0.610 |
| TH | 92.73 ± 11.79 | ||
| CH | 95.1 ± 14.3 | ||
| MSTH | 96.11 ± 15.98 | ||
| MRH | 89.95 ± 20.69 |
Disclaimer/Publisher’s Note: The statements, opinions and data contained in all publications are solely those of the individual author(s) and contributor(s) and not of MDPI and/or the editor(s). MDPI and/or the editor(s) disclaim responsibility for any injury to people or property resulting from any ideas, methods, instructions or products referred to in the content. |
© 2023 by the authors. Licensee MDPI, Basel, Switzerland. This article is an open access article distributed under the terms and conditions of the Creative Commons Attribution (CC BY) license (https://creativecommons.org/licenses/by/4.0/).
Share and Cite
Güzel, N.; Genç, A.S.; Yılmaz, A.K.; Kehribar, L. The Relationship between Lower Extremity Functional Performance and Balance after Anterior Cruciate Ligament Reconstruction: Results of Patients Treated with the Modified All-Inside Technique. J. Pers. Med. 2023, 13, 466. https://doi.org/10.3390/jpm13030466
Güzel N, Genç AS, Yılmaz AK, Kehribar L. The Relationship between Lower Extremity Functional Performance and Balance after Anterior Cruciate Ligament Reconstruction: Results of Patients Treated with the Modified All-Inside Technique. Journal of Personalized Medicine. 2023; 13(3):466. https://doi.org/10.3390/jpm13030466
Chicago/Turabian StyleGüzel, Nizamettin, Ahmet Serhat Genç, Ali Kerim Yılmaz, and Lokman Kehribar. 2023. "The Relationship between Lower Extremity Functional Performance and Balance after Anterior Cruciate Ligament Reconstruction: Results of Patients Treated with the Modified All-Inside Technique" Journal of Personalized Medicine 13, no. 3: 466. https://doi.org/10.3390/jpm13030466
APA StyleGüzel, N., Genç, A. S., Yılmaz, A. K., & Kehribar, L. (2023). The Relationship between Lower Extremity Functional Performance and Balance after Anterior Cruciate Ligament Reconstruction: Results of Patients Treated with the Modified All-Inside Technique. Journal of Personalized Medicine, 13(3), 466. https://doi.org/10.3390/jpm13030466

