Influence of Obesity and Fluid Balance on Operative Outcomes in Hepatic Resection
Abstract
1. Introduction
2. Patients and Methods
2.1. Patients
2.2. Data Collection
2.3. Anesthetic and Surgical Technique
2.4. Statistical Analysis
3. Results
3.1. Clinico-Demographic Characteristics of Patients
3.2. Intraoperative and Postoperative Patient Outcomes
3.3. Risk Factor Analysis for EBL ≥500 mL during Hepatic Resection
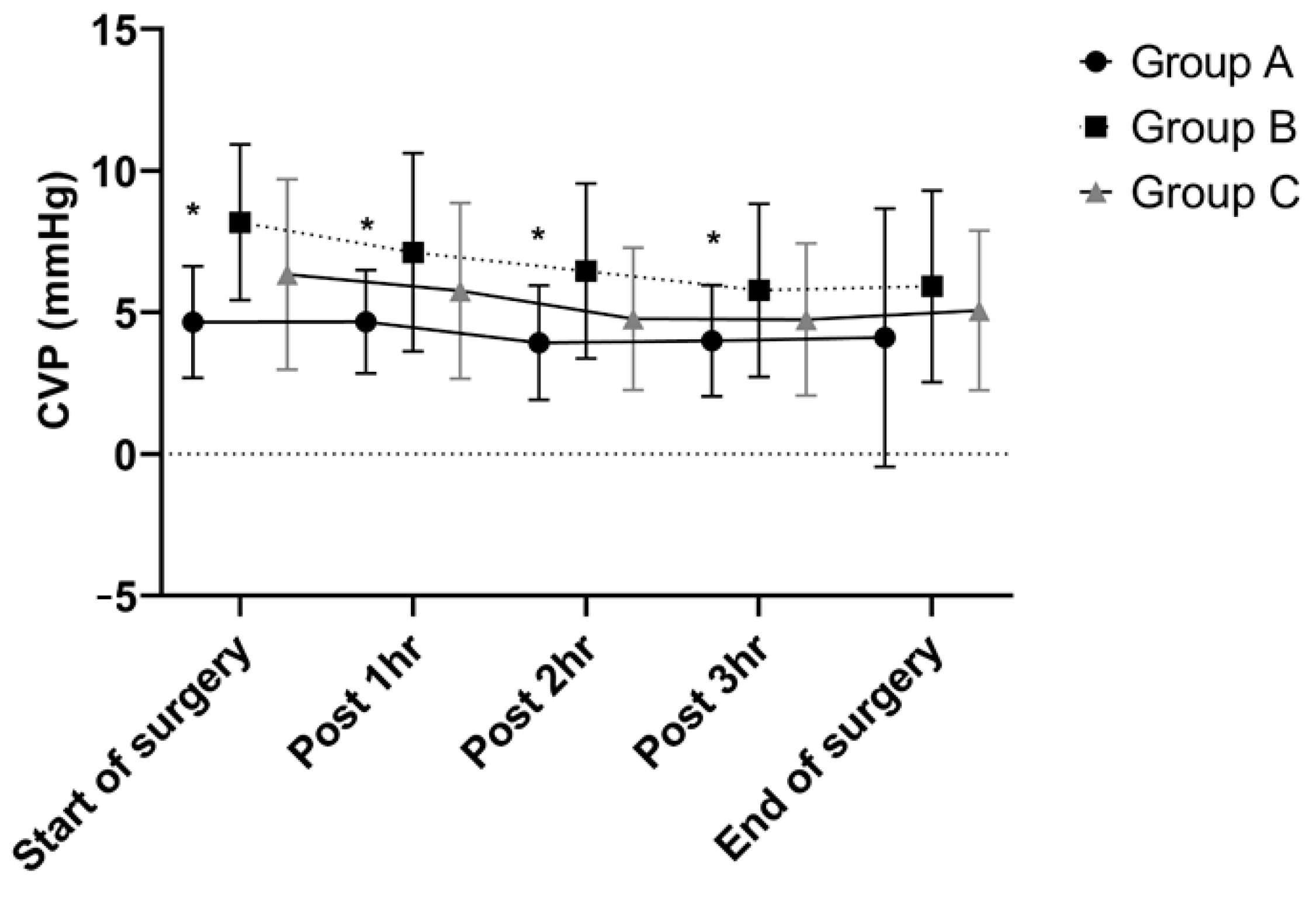
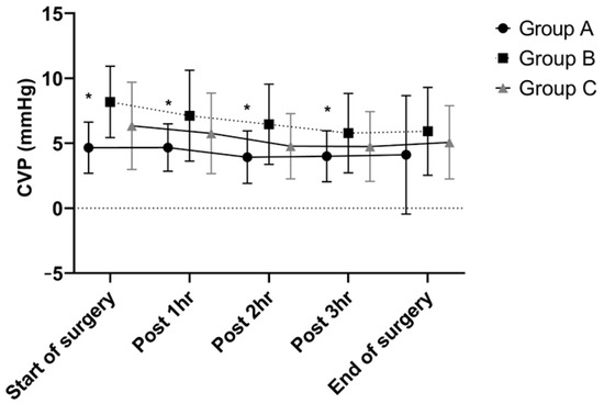
3.4. Influence of BMI and CVP on Operative Outcomes
4. Discussion
5. Conclusions
Funding
Institutional Review Board Statement
Informed Consent Statement
Data Availability Statement
Conflicts of Interest
References
- van Vledder, M.G.; Levolger, S.; Ayez, N.; Verhoef, C.; Tran, T.C.; Ijzermans, J.N. Body composition and outcome in patients undergoing resection of colorectal liver metastases. Br. J. Surg. 2012, 99, 550–557. [Google Scholar] [CrossRef] [PubMed]
- Zhong, J.H.; Ke, Y.; Gong, W.F.; Xiang, B.D.; Ma, L.; Ye, X.P.; Peng, T.; Xie, G.S.; Li, L.Q. Hepatic resection associated with good survival for selected patients with intermediate and advanced-stage hepatocellular carcinoma. Ann. Surg. 2014, 260, 329–340. [Google Scholar] [CrossRef] [PubMed]
- Lee, G.C.; Ferrone, C.R.; Vagefi, P.A.; Uppot, R.N.; Tanabe, K.K.; Lillemoe, K.D.; Blaszkowsky, L.S.; Qadan, M. Surgical resection versus ablation for early-stage hepatocellular carcinoma: A retrospective cohort analysis. Am. J. Surg. 2019, 218, 157–163. [Google Scholar] [CrossRef]
- Jung, Y.S.; Kim, Y.E.; Go, D.S.; Yoon, S.J. Projecting the prevalence of obesity in South Korea through 2040: A microsimulation modelling approach. BMJ Open 2020, 10, e037629. [Google Scholar] [CrossRef] [PubMed]
- Ascha, M.S.; Hanouneh, I.A.; Lopez, R.; Tamimi, T.A.; Feldstein, A.F.; Zein, N.N. The incidence and risk factors of hepatocellular carcinoma in patients with nonalcoholic steatohepatitis. Hepatology 2010, 51, 1972–1978. [Google Scholar] [CrossRef] [PubMed]
- Mathur, A.K.; Ghaferi, A.A.; Osborne, N.H.; Pawlik, T.M.; Campbell, D.A.; Englesbe, M.J.; Welling, T.H. Body mass index and adverse perioperative outcomes following hepatic resection. J. Gastrointest. Surg. 2010, 14, 1285–1291. [Google Scholar] [CrossRef] [PubMed]
- Tanaka, S.; Iimuro, Y.; Hirano, T.; Hai, S.; Suzumura, K.; Nakamura, I.; Kondo, Y.; Fujimoto, J. Safety of hepatic resection for hepatocellular carcinoma in obese patients with cirrhosis. Surg. Today 2013, 43, 1290–1297. [Google Scholar] [CrossRef]
- Correa-Gallego, C.; Gonen, M.; Fischer, M.; Grant, F.; Kemeny, N.E.; Arslan-Carlon, V.; Kingham, T.P.; Dematteo, R.P.; Fong, Y.; Allen, P.J.; et al. Perioperative complications influence recurrence and survival after resection of hepatic colorectal metastases. Ann. Surg. Oncol. 2013, 20, 2477–2484. [Google Scholar] [CrossRef]
- Harada, N.; Shirabe, K.; Maeda, T.; Kayashima, H.; Ishida, T.; Maehara, Y. Blood transfusion is associated with recurrence of hepatocellular carcinoma after hepatectomy in Child-Pugh class A patients. World J. Surg. 2015, 39, 1044–1051. [Google Scholar] [CrossRef]
- Balzan, S.; Nagarajan, G.; Farges, O.; Galleano, C.Z.; Dokmak, S.; Paugam, C.; Belghiti, J. Safety of liver resections in obese and overweight patients. World J. Surg. 2010, 34, 2960–2968. [Google Scholar] [CrossRef]
- Saunders, J.K.; Rosman, A.S.; Neihaus, D.; Gouge, T.H.; Melis, M. Safety of hepatic resections in obese veterans. Arch. Surg. 2012, 147, 331–337. [Google Scholar] [PubMed]
- Zhang, X.L.; Wang, W.J.; Wang, W.J.; Cao, N. Effectiveness and safety of controlled venous pressure in liver surgery: A systematic review and network meta-analysis. BioMed Res. Int. 2015, 2015, 290234. [Google Scholar] [CrossRef][Green Version]
- McCormack, L.; Petrowsky, H.; Jochum, W.; Furrer, K.; Clavien, P.A. Hepatic steatosis is a risk factor for postoperative complications after major hepatectomy: A matched case-control study. Ann. Surg. 2007, 245, 923–930. [Google Scholar] [CrossRef] [PubMed]
- Low, S.; Chin, M.C.; Ma, S.; Heng, D.; Deurenberg-Yap, M. Rationale for redefining obesity in Asians. Ann. Acad. Med. Singap. 2009, 38, 66–69. [Google Scholar] [CrossRef] [PubMed]
- Khwaja, A. KDIGO clinical practice guidelines for acute kidney injury. Nephron Clin. Pract. 2012, 120, c179–c184. [Google Scholar] [CrossRef]
- Mullen, J.T.; Ribero, D.; Reddy, S.K.; Donadon, M.; Zorzi, D.; Gautam, S.; Abdalla, E.K.; Curley, S.A.; Capussotti, L.; Clary, B.M.; et al. Hepatic insufficiency and mortality in 1059 noncirrhotic patients undergoing major hepatectomy. J. Am. Coll. Surg. 2007, 204, 854–864. [Google Scholar] [CrossRef]
- Wang, C.H.; Cheng, K.W.; Chen, C.L.; Wu, S.C.; Shih, T.H.; Yang, S.C.; Lee, Y.E.; Jawan, B.; Huang, C.E.; Juang, S.E.; et al. Effect and outcome of intraoperative fluid restriction in living liver donor hepatectomy. Ann. Transplant. 2017, 22, 664–669. [Google Scholar] [CrossRef]
- Sand, L.; Rizell, M.; Houltz, E.; Karlsen, K.; Wiklund, J.; Hergès, H.O.; Stenqvist, O.; Lundinet, S. Effect of patient position and PEEP on hepatic, portal and central venous pressures during liver resection. Acta Anaesthesiol. Scand. 2011, 55, 1106–1112. [Google Scholar] [CrossRef]
- Yu, L.; Sun, H.; Jin, H.; Tan, H. The effect of low central venous pressure on hepatic surgical field bleeding and serum lactate in patients undergoing partial hepatectomy: A prospective randomized controlled trial. BMC Surg. 2020, 20, 25. [Google Scholar] [CrossRef]
- Jun, H.; Han, Y.; Park, H.; Shin, S.; Cho, Y.P.; Kwon, T.W. Clinical outcomes related to the level of clamping in inferior vena cava surgery. World J. Surg. 2015, 39, 1294–1300. [Google Scholar] [CrossRef]
- Ryckx, A.; Christiaens, C.; Clarysse, M.; Vansteenkiste, F.; Steelant, P.J.; Sergeant, G.; Parmentier, I.; Pottel, H.; D’Hondt, M. Central venous pressure drop after hypovolemic phlebotomy is a strong independent predictor of intraoperative blood loss during liver resection. Ann. Surg. Oncol. 2017, 24, 1367–1375. [Google Scholar] [CrossRef] [PubMed]
- Suh, S.W.; Park, H.J.; Choi, Y.S. Preoperative volume assessment using bioelectrical impedance analysis for minimizing blood loss during hepatic resection. HPB 2022, 24, 568–574. [Google Scholar] [CrossRef] [PubMed]
- Sear, J.W. Kidney dysfunction in the postoperative period. Br. J. Anaesth. 2005, 95, 20–32. [Google Scholar] [CrossRef] [PubMed]



| Obese Group (n = 84) (BMI ≥ 25 kg/m2) | Non-Obese Group (n = 91) (BMI < 25 kg/m2) | p Value | |
|---|---|---|---|
| Age (year), mean | 57.3 ± 15.6 | 53.7 ± 16.4 | 0.141 |
| Sex (male) | 62 (73.8%) | 59 (64.8%) | 0.199 |
| BMI | 28.0 ± 3.1 | 22.1 ± 1.7 | <0.001 |
| Diabetes mellitus | 26 (31.0%) | 12 (13.2%) | 0.004 |
| Hypertension | 46 (54.8%) | 28 (30.8%) | 0.001 |
| Diagnosis | |||
| Hepatocellular carcinoma | 68 (81.0%) | 70 (76.9%) | |
| Cholangiocarcinoma | 3 (3.6%) | 3 (3.3%) | |
| Colorectal liver metastasis | 8 (9.5%) | 12 (13.2%) | |
| Other benign disease | 5 (6.0%) | 6 (6.6%) | 0.887 |
| Baseline liver function | |||
| TB | 0.7 ± 0.3 | 0.6 ± 0.2 | 0.679 |
| Albumin | 4.2 ± 0.4 | 4.3 ± 0.4 | 0.835 |
| INR | 1.06 ± 0.07 | 1.08 ± 0.10 | 0.122 |
| Procedure, n (%) | |||
| Major resection (≥3 segments) | 47 (56.0%) | 53 (58.2%) | |
| Minor resection (<3 segments) | 37 (44.0%) | 38 (41.8%) | 0.760 |
| Obese (n = 84) (BMI ≥ 25 kg/m2) | Non-Obese (n = 91) (BMI < 25 kg/m2) | p Value | |
|---|---|---|---|
| CVP at start of surgery | 6.8 (±3.1) | 6.4 (±3.3) | 0.478 |
| Operative duration, min | 195.7 (±62.9) | 176.0 (±53.6) | 0.027 |
| Intraoperative fluids | |||
| Crystalloid, mL | 2127 (±1016) | 2087 (±977) | 0.790 |
| Colloid, mL | 282 (±292) | 253 (±271) | 0.497 |
| Urine output, mL | 329 (±276) | 327 (±291) | 0.960 |
| Vasopressor usage | 19 (20.9%) | 9 (15.5%) | 0.414 |
| Blood transfusion | 11 (13.1%) | 9 (9.9%) | 0.506 |
| EBL, mL | 587 (±694) | 430 (±422) | 0.022 |
| EBL ≥ 500 mL | 52 (61.9%) | 37 (40.7%) | 0.005 |
| Postoperative complications | 40 (47.6%) | 23 (25.3%) | 0.002 |
| Wound infection | 7 (8.3%) | 1 (1.1%) | 0.022 |
| Pneumonia | 2 (2.4%) | 0 | 0.139 |
| AKI | 12 (14.3%) | 10 (11.0%) | 0.511 |
| Liver insufficiency | 14 (16.7%) | 11 (12.1%) | 0.387 |
| Abdominal wall hernia | 4 (4.8%) | 0 | 0.035 |
| Acute myocardial infarction | 1 (1.2%) | 0 | 0.297 |
| ICU admission | 12 (14.3%) | 11 (12.1%) | 0.667 |
| Mortality | 0 | 0 | − |
| Postoperative hospital stay, days | 11.7 (±4.4) | 10.6 (±2.6) | 0.044 |
| Univariate Analysis | Multivariate Analysis | |||||
|---|---|---|---|---|---|---|
| Variable | OR | 95% CI | p Value | OR | 95% CI | p Value |
| Age (year) | 1.001 | 0.983–1.020 | 0.892 | |||
| Sex (male) | 1.451 | 0.761–2.765 | 0.258 | |||
| Obesity (BMI ≥ 25 kg/m2) | 2.372 | 1.298–4.353 | 0.005 | 2.204 | 1.177–4.129 | 0.014 |
| Diabetes mellitus | 0.957 | 0.466–1.964 | 0.905 | |||
| Hypertension | 0.781 | 0.428–1.425 | 0.420 | |||
| TB | 2.774 | 0.827–9.301 | 0.098 | |||
| INR | 0.866 | 0.032–23.674 | 0.932 | |||
| Albumin | 0.844 | 0.395–1.818 | 0.665 | |||
| Major resection | 1.342 | 0.736–2.445 | 0.337 | |||
| CVP ≥ 5 mmHg at start of surgery | 2.787 | 1.494–5.196 | 0.001 | 2.733 | 1.445–5.170 | 0.002 |
Publisher’s Note: MDPI stays neutral with regard to jurisdictional claims in published maps and institutional affiliations. |
© 2022 by the author. Licensee MDPI, Basel, Switzerland. This article is an open access article distributed under the terms and conditions of the Creative Commons Attribution (CC BY) license (https://creativecommons.org/licenses/by/4.0/).
Share and Cite
Suh, S.-W. Influence of Obesity and Fluid Balance on Operative Outcomes in Hepatic Resection. J. Pers. Med. 2022, 12, 1897. https://doi.org/10.3390/jpm12111897
Suh S-W. Influence of Obesity and Fluid Balance on Operative Outcomes in Hepatic Resection. Journal of Personalized Medicine. 2022; 12(11):1897. https://doi.org/10.3390/jpm12111897
Chicago/Turabian StyleSuh, Suk-Won. 2022. "Influence of Obesity and Fluid Balance on Operative Outcomes in Hepatic Resection" Journal of Personalized Medicine 12, no. 11: 1897. https://doi.org/10.3390/jpm12111897
APA StyleSuh, S.-W. (2022). Influence of Obesity and Fluid Balance on Operative Outcomes in Hepatic Resection. Journal of Personalized Medicine, 12(11), 1897. https://doi.org/10.3390/jpm12111897
