Predictive Limitations of the Geriatric Trauma Outcome Score: A Retrospective Analysis of Mortality in Elderly Patients with Multiple Traumas and Severe Traumatic Brain Injury
Abstract
1. Introduction
2. Materials and Methods
2.1. Study Population and Data Collection
2.2. GTOS
2.3. Statistical Analysis
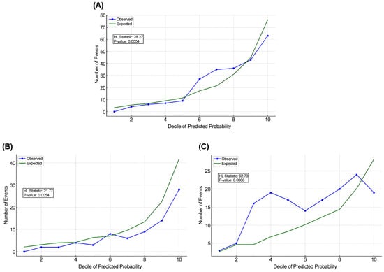
3. Results
4. Discussion
5. Conclusions
Supplementary Materials
Author Contributions
Funding
Institutional Review Board Statement
Informed Consent Statement
Data Availability Statement
Conflicts of Interest
Abbreviations
| TBI | Traumatic Brain Injury |
| SD | Standard Deviation |
| n | Number of patients |
| MVC | Motor Vehicle Collision |
| MCC | Motorcycle Collision |
| AVP | Auto-Versus-Pedestrian |
| ED | Emergency Department |
| SBP | Systolic Blood Pressure |
| HR | Heart Rate |
| RR | Respiratory Rate |
| GCS | Glasgow Coma Scale |
| IQR | Interquartile Range |
| ISS | Injury Severity Score |
| LOS | Length of Stay |
| ICU | Intensive Care Unit |
| RBC | Red Blood Cell |
| AUC | Area Under the Curve |
| CI | Confidence Interval |
| GTOS | Geriatric Trauma Outcome Score |
References
- Lau, L.; Ajzenberg, H.; Haas, B.; Wong, C.L. Trauma in the aging population geriatric trauma pearls. Emerg. Med. Clin. N. Am. 2023, 41, 183–203. [Google Scholar] [CrossRef] [PubMed]
- Kehoe, A.; Smith, J.E.; Edwards, A.; Yates, D.; Lecky, F. The changing face of major trauma in the UK. Emerg. Med. J. 2015, 32, 911–915. [Google Scholar] [CrossRef] [PubMed]
- Victorino, G.P.; Chong, T.J.; Pal, J.D. Trauma in the elderly patient. Arch. Surg. 2003, 138, 1093–1098. [Google Scholar] [CrossRef] [PubMed]
- Southern, A.P.; Lopez, R.A.; Patel, P.J.; Jwayyed, S. Assessment and Management of Traumatic Injuries in Older Adults; StatPearls: Treasure Island, FL, USA, 2024. [Google Scholar]
- Perdue, P.W.; Watts, D.D.; Kaufmann, C.R.; Trask, A.L. Differences in mortality between elderly and younger adult trauma patients: Geriatric status increases risk of delayed death. J. Trauma 1998, 45, 805–810. [Google Scholar] [CrossRef] [PubMed]
- Hashmi, A.; Ibrahim-Zada, I.; Rhee, P.; Aziz, H.; Fain, M.J.; Friese, R.S.; Joseph, B. Predictors of mortality in geriatric trauma patients: A systematic review and meta- analysis. J. Trauma Acute Care 2014, 76, 894–901. [Google Scholar] [CrossRef] [PubMed]
- Khizar, B.; Harwood, R.H. Making difficult decisions with older patients on medical wards. Clin. Med. 2017, 17, 353–356. [Google Scholar] [CrossRef]
- Lilley, E.J.; Lee, K.C.; Scott, J.W.; Krumrei, N.J.; Haider, A.H.; Salim, A.; Gupta, R.; Cooper, Z. The impact of inpatient palliative care on end-of-life care among older trauma patients who die after hospital discharge. J. Trauma Acute Care 2018, 85, 992–998. [Google Scholar] [CrossRef] [PubMed]
- Ahl, R.; Phelan, H.A.; Dogan, S.; Cao, Y.; Cook, A.C.; Mohseni, S. Predicting in-hospital and 1-year mortality in geriatric trauma patients using geriatric trauma outcome score. J. Am. Coll. Surg. 2017, 224, 264–269. [Google Scholar] [CrossRef] [PubMed]
- Cook, A.C.; Joseph, B.; Inaba, K.; Nakonezny, P.A.; Bruns, B.R.; Kerby, J.D.; Brasel, K.J.; Wolf, S.E.; Cuschieri, J.; Paulk, M.E.; et al. Multicenter external validation of the geriatric trauma outcome score: A study by the prognostic assessment of life and limitations after trauma in the elderly (PALLIATE) consortium. J. Trauma Acute Care 2016, 80, 204–208. [Google Scholar] [CrossRef] [PubMed]
- Niemeyer, M.J.S.; Jochems, D.; Houwert, R.M.; van Es, M.A.; Leenen, L.P.H.; van Wessem, K.J.P. Mortality in polytrauma patients with moderate to severe TBI on par with isolated TBI patients: TBI as last frontier in polytrauma patients. Injury 2022, 53, 1443–1448. [Google Scholar] [CrossRef] [PubMed]
- Miyoshi, Y.; Kondo, Y.; Hirano, Y.; Ishihara, T.; Sueyoshi, K.; Okamoto, K.; Tanaka, H. Characteristics, injuries, and clinical outcomes of geriatric trauma patients in Japan: An analysis of the nationwide trauma registry database. Sci. Rep. 2020, 10, 19148. [Google Scholar] [CrossRef] [PubMed]
- Association for the Advancement of Automotive Medicine (AAAM). The Abbreviated Injury Scale 2005—Update 2008; AAAM: Des Plaines, IL, USA, 2008. [Google Scholar]
- Park, J.; Lee, Y. Predicting mortality of Korean geriatric trauma patients: A comparison between geriatric trauma outcome score and trauma and injury severity Score. Yonsei Med. J. 2022, 63, 88–94. [Google Scholar] [CrossRef] [PubMed]
- Ravindranath, S.; Ho, K.M.; Rao, S.; Nasim, S.; Burrell, M. Validation of the geriatric trauma outcome scores in predicting outcomes of elderly trauma patients. Injury 2021, 52, 154–159. [Google Scholar] [CrossRef]
- Barea-Mendoza, J.A.; Chico-Fernandez, M.; Sanchez-Casado, M.; Llompart-Pou, J.A. Performance of the geriatric trauma outcome score in traumatic brain injury: A call of caution. Injury 2022, 53, 2683–2684. [Google Scholar] [CrossRef] [PubMed]
- Ming, K.K.; Ravindranath, S. Geriatric Trauma Outcome Score (GTOS) in elderly patients with traumatic brain injury. Injury 2022, 53, 4169. [Google Scholar] [CrossRef]
- Huang, C.Y.; Yen, Y.H.; Tsai, C.H.; Hsu, S.Y.; Tsai, P.L.; Hsieh, C.H. Geriatric trauma outcome score as a mortality predictor in isolated moderate to severe traumatic brain injury: A single-center retrospective study. Healthcare 2024, 12, 1680. [Google Scholar] [CrossRef]
- Huang, C.Y.; Wu, S.C.; Lin, T.S.; Kuo, P.J.; Yang, J.C.S.; Hsu, S.Y.; Hsieh, C.H. Efficacy of the geriatric trauma outcome score (GTOS) in predicting mortality in trauma patients: A retrospective cross-sectional study. Diagnostics 2024, 14, 2735. [Google Scholar] [CrossRef]
- Kiwanuka, O.; Lassarén, P.; Thelin, E.P.; Hånell, A.; Sandblom, G.; Fagerdahl, A.; Boström, L. Long-term health-related quality of life after trauma with and without traumatic brain injury: A prospective cohort study. Sci. Rep. 2023, 13, 2986. [Google Scholar] [CrossRef] [PubMed]
- Al-Dorzi, H.M.; Al-Humaid, W.; Tamim, H.M.; Haddad, S.; Aljabbary, A.; Arifi, A.; Arabi, Y.M. Anemia and blood transfusion in patients with isolated traumatic brain injury. Crit. Care Res. Pract. 2015, 2015, 672639. [Google Scholar] [CrossRef] [PubMed]
- Montgomery, E.Y.; Barrie, U.; Kenfack, Y.J.; Edukugho, D.; Caruso, J.P.; Rail, B.; Hicks, W.H.; Oduguwa, E.; Pernik, M.N.; Tao, J.; et al. Transfusion guidelines in traumatic brain injury: A systematic review and meta-analysis of the currently available evidence. Neurotrauma Rep. 2022, 3, 554–568. [Google Scholar] [CrossRef] [PubMed]
- Zhuang, Y.F.; Feng, Q.R.; Tang, H.M.; Wang, Y.C.; Li, Z.F.; Bai, X.J. Predictive value of the geriatric trauma outcome score in older patients after trauma: A retrospective cohort study. Int. J. Gen. Med. 2022, 15, 4379–4390. [Google Scholar] [CrossRef]
- Elser, H.; Gottesman, R.F.; Walter, A.E.; Coresh, J.; Diaz-Arrastia, R.; Mosley, T.H.; Schneider, A.L.C. Head injury and long-term mortality risk in community-dwelling adults. JAMA Neurol. 2023, 80, 260–269. [Google Scholar] [CrossRef] [PubMed]
- Shavelle, R.M.; Strauss, D.; Whyte, J.; Day, S.M.; Yu, Y.L. Long-term causes of death after traumatic brain injury. Am. J. Phys. Med. Rehabil. 2001, 80, 510–516. [Google Scholar] [CrossRef]
- Fuller, G.W.; Ransom, J.; Mandrekar, J.; Brown, A.W. Long-term survival following traumatic brain injury: A population-based parametric survival analysis. Neuroepidemiology 2016, 47, 1–10. [Google Scholar] [CrossRef] [PubMed]
- Kirshenbom, D.; Ben-Zaken, Z.; Albilya, N.; Niyibizi, E.; Bala, M. Older age, comorbid illnesses, and injury severity affect immediate outcome in elderly trauma patients. J. Emerg. Trauma Shock. 2017, 10, 146–150. [Google Scholar] [CrossRef]
- Tessler, R.A.; Rangel, M.M.; Rosser, M.L.; Rivara, F.P.; Bulger, E.; Vavilala, M.S.; Reed, M.J.; Arbabi, S. Complications in low-risk older adult trauma patients: A case-control study. J. Trauma Acute Care 2019, 86, 858–863. [Google Scholar] [CrossRef]
- McKevitt, E.C.; Calvert, E.; Ng, A.; Simons, R.K.; Kirkpatrick, A.W.; Appleton, L.; Brown, D.R. Geriatric trauma: Resource use and patient outcomes. Can. J. Surg. 2003, 46, 211–215. [Google Scholar] [PubMed]
- Chow, J.; Kuza, C.M. Predicting mortality in elderly trauma patients: A review of the current literature. Curr. Opin. Anaesthesiol. 2022, 35, 160–165. [Google Scholar] [CrossRef]
- Egodage, T.; Ho, V.P.; Bongiovanni, T.; Knight-Davis, J.; Adams, S.D.; Digiacomo, J.; Swezey, E.; Posluszny, J.; Ahmed, N.; Prabhakaran, K.; et al. Geriatric trauma triage: Optimizing systems for older adults-a publication of the American Association for the Surgery of Trauma Geriatric Trauma Committee. Trauma Surg. Acute Care Open 2024, 9, e001393. [Google Scholar] [CrossRef] [PubMed]
- Al-Fadhl, M.D.; Karam, M.N.; Chen, J.; Zackariya, S.K.; Lain, M.C.; Bales, J.R.; Higgins, A.B.; Laing, J.T.; Wang, H.S.; Andrews, M.G.; et al. Traumatic Brain Injury as an Independent Predictor of Futility in the Early Resuscitation of Patients in Hemorrhagic Shock. J. Clin. Med. 2024, 13, 3915. [Google Scholar] [CrossRef]
- Walsh, M.M.; Fox, M.D.; Moore, E.E.; Johnson, J.L.; Bunch, C.M.; Miller, J.B.; Lopez-Plaza, I.; Brancamp, R.L.; Waxman, D.A.; Thomas, S.G.; et al. Markers of Futile Resuscitation in Traumatic Hemorrhage: A Review of the Evidence and a Proposal for Futility Time-Outs during Massive Transfusion. J. Clin. Med. 2024, 13, 4684. [Google Scholar] [CrossRef] [PubMed]
- Bhogadi, S.K.; Ditillo, M.; Khurshid, M.H.; Stewart, C.; Hejazi, O.; Spencer, A.L.; Anand, T.; Nelson, A.; Magnotti, L.J.; Joseph, B. Development and Validation of Futility of Resuscitation Measure in Older Adult Trauma Patients. J. Surg. Res. 2024, 301, 591–598. [Google Scholar] [CrossRef]
- Clements, T.W.; Van Gent, J.M.; Lubkin, D.E.; Wandling, M.W.; Meyer, D.E.; Moore, L.J.; Cotton, B.A. The Reports of My Death Are Greatly Exaggerated: An Evaluation of Futility Cut Points in Massive Transfusion. J. Trauma Acute Care Surg. 2023, 95, 685–690. [Google Scholar] [CrossRef] [PubMed]
- Saillant, N.N.; Kornblith, L.Z.; Moore, H.; Barrett, C.; Schreiber, M.A.; Cotton, B.A.; Neal, M.D.; Makar, R.; Cap, A.P. The National Blood Shortage—An Impetus for Change. Ann. Surg. 2022, 275, 641–643. [Google Scholar] [CrossRef] [PubMed]



| Characteristics | Mild TBI (n = 893) | Severe TBI (n = 390) | p-Value |
|---|---|---|---|
| Age, years, mean ± SD | 74.4 ± 7.1 | 74.7 ± 7.4 | 0.497 |
| Male, n (%) | 586 (65.6) | 290 (74.4) | 0.002 |
| Mechanism, n (%) | <0.001 | ||
| MVC | 121 (13.5) | 15 (3.8) | |
| MCC | 82 (9.2) | 25 (6.4) | |
| Bicycle | 44 (4.9) | 28 (7.2) | |
| AVP | 162 (18.1) | 55 (14.1) | |
| Fall | 215 (24.1) | 84 (21.5) | |
| Struck by object | 39 (4.4) | 14 (3.6) | |
| Slip | 153 (17.1) | 143 (36.7) | |
| Penetrating | 53 (5.9) | 0 (0.0) | |
| Unknown | 15 (1.7) | 24 (6.2) | |
| Others | 9 (1.0) | 2 (0.5) | |
| Vital signs at ED | |||
| SBP, mm Hg, mean ± SD | 140.3 ± 36.3 | 155.4 ± 39.6 | <0.001 |
| HR, bpm, mean ± SD | 86.2 ± 19.4 | 87.9 ± 22.3 | 0.177 |
| RR, /min, mean ± SD | 20.8 ± 4.2 | 20.0 ± 4.1 | 0.001 |
| GCS, median (IQR) | 14 (14–15) | 9 (3–14) | <0.001 |
| Hospital visit type, n (%) | 0.003 | ||
| Direct | 443 (49.6) | 229 (58.7) | |
| Transfer | 450 (50.4) | 161 (41.3) | |
| Injury Severity Parameter | |||
| ISS, median (IQR) | 14 (9–19) | 27 (21–29) | <0.001 |
| ISS > 15, n (%) | 355 (39.8) | 390 (100.0) | <0.001 |
| Hospital course, days mean ± SD | |||
| Hospital LOS | 19.0 ± 22.3 | 24.8 ± 28.6 | <0.001 |
| ICU LOS | 4.1 ± 9.8 | 10.7 ± 17.1 | <0.001 |
| RBC within 24 h, n (%) | 276 (30.9) | 147 (37.7) | 0.017 |
| GTOS, mean ± SD | 117.0 ± 27.6 | 149.6 ± 29.4 | <0.001 |
| In-hospital mortality, n (%) | 75 (8.4) | 154 (39.5) | <0.001 |
| Group | N | GTOS | Observed In-Hospital Mortality, % (n) | GTOS Predicted Risk of Mortality, (%) | AUC | 95% CI |
|---|---|---|---|---|---|---|
| All Patients | 1283 | 126.9 ± 31.9 | 17.9 (230) | 17.6 | 0.798 | 0.770–0.825 |
| Mild TBI | 893 | 117.0 ± 27.6 | 8.4 (75) | 12.8 | 0.780 | 0.715–0.821 |
| Severe TBI | 390 | 149.6 ± 29.4 | 39.5 (154) | 28.8 | 0.657 | 0.603–0.710 |
Disclaimer/Publisher’s Note: The statements, opinions and data contained in all publications are solely those of the individual author(s) and contributor(s) and not of MDPI and/or the editor(s). MDPI and/or the editor(s) disclaim responsibility for any injury to people or property resulting from any ideas, methods, instructions or products referred to in the content. |
© 2025 by the authors. Licensee MDPI, Basel, Switzerland. This article is an open access article distributed under the terms and conditions of the Creative Commons Attribution (CC BY) license (https://creativecommons.org/licenses/by/4.0/).
Share and Cite
Jeon, S.; Lee, G.J.; Lee, M.; Choi, K.K.; Lee, S.H.; Cho, J.; Yu, B. Predictive Limitations of the Geriatric Trauma Outcome Score: A Retrospective Analysis of Mortality in Elderly Patients with Multiple Traumas and Severe Traumatic Brain Injury. Diagnostics 2025, 15, 586. https://doi.org/10.3390/diagnostics15050586
Jeon S, Lee GJ, Lee M, Choi KK, Lee SH, Cho J, Yu B. Predictive Limitations of the Geriatric Trauma Outcome Score: A Retrospective Analysis of Mortality in Elderly Patients with Multiple Traumas and Severe Traumatic Brain Injury. Diagnostics. 2025; 15(5):586. https://doi.org/10.3390/diagnostics15050586
Chicago/Turabian StyleJeon, Sebeom, Gil Jae Lee, Mina Lee, Kang Kook Choi, Seung Hwan Lee, Jayun Cho, and Byungchul Yu. 2025. "Predictive Limitations of the Geriatric Trauma Outcome Score: A Retrospective Analysis of Mortality in Elderly Patients with Multiple Traumas and Severe Traumatic Brain Injury" Diagnostics 15, no. 5: 586. https://doi.org/10.3390/diagnostics15050586
APA StyleJeon, S., Lee, G. J., Lee, M., Choi, K. K., Lee, S. H., Cho, J., & Yu, B. (2025). Predictive Limitations of the Geriatric Trauma Outcome Score: A Retrospective Analysis of Mortality in Elderly Patients with Multiple Traumas and Severe Traumatic Brain Injury. Diagnostics, 15(5), 586. https://doi.org/10.3390/diagnostics15050586

