Association of rs3798220 Polymorphism with Cardiovascular Incidents in Individuals with Elevated Lp(a)
Abstract
1. Introduction
2. Materials and Methods
2.1. Subjects
2.2. Genotyping
2.3. Statistical Analysis
3. Results
3.1. Demographic and Medical Data
3.2. LPA rs3798220 and rs10455872 Genotyping Data
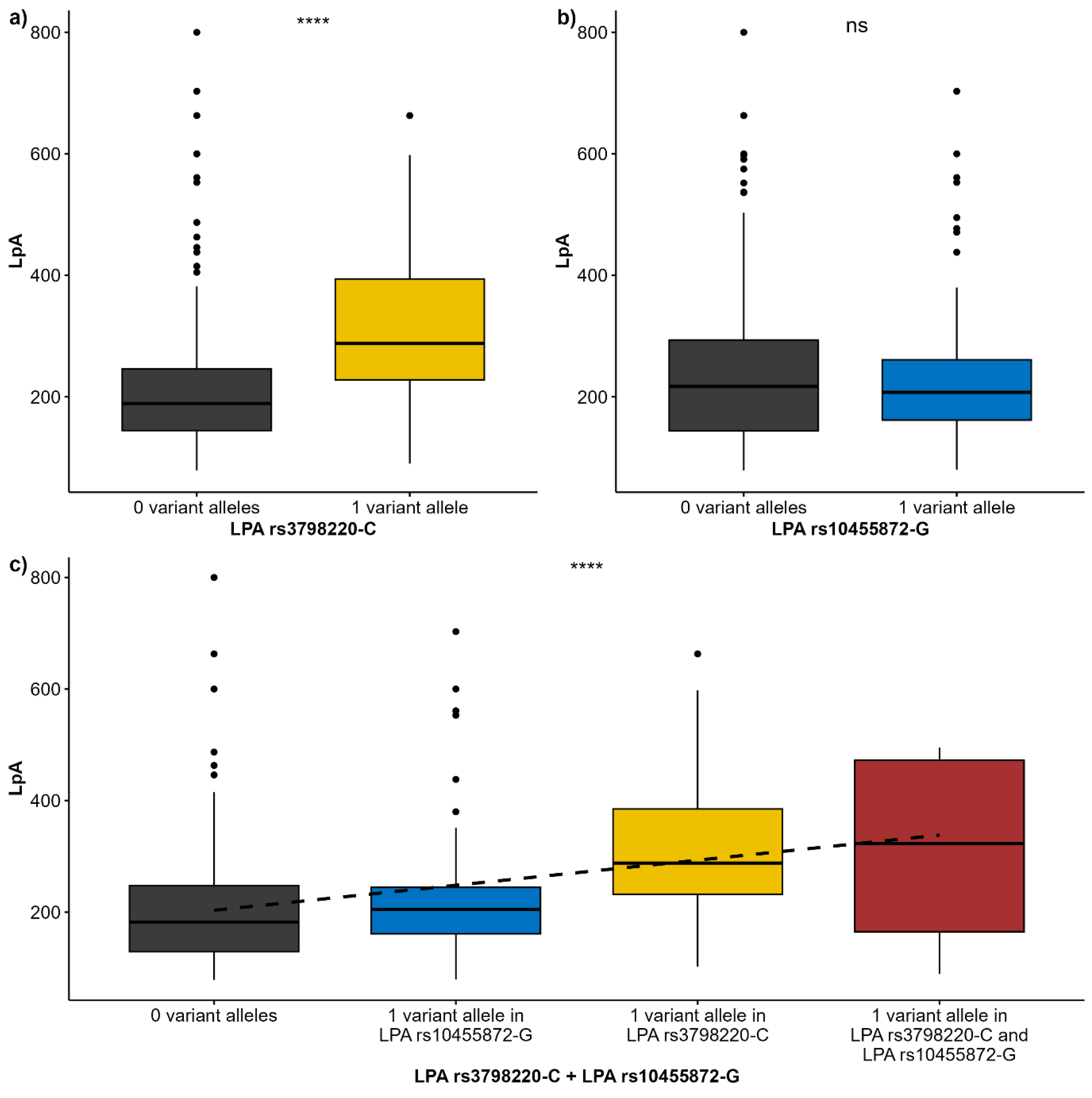
3.3. Association Between Lp(a) Levels and LPA Genotypes
4. Discussion
5. Conclusions
Supplementary Materials
Author Contributions
Funding
Institutional Review Board Statement
Informed Consent Statement
Data Availability Statement
Acknowledgments
Conflicts of Interest
Abbreviations
| AS | Aortic stenosis |
| ASCVD | Atherosclerotic cardiovascular disease |
| CAD | Coronary artery disease |
| CRP | C-reactive protein |
| CVD | Cardiovascular disease |
| CVI | Cardiovascular incident |
| ESR | Erythrocyte sedimentation rate |
| FH | Familial hypercholesterolemia |
| ICS | Ischemic cerebral stroke |
| IQR | Interquartile range |
| KIV-2 | The kringle IV type-2 |
| LDL | Low-density lipoprotein |
| LDLR | Low-density lipoprotein receptor |
| Lp(a) | Lipoprotein (a) |
| MI | Myocardial infarction |
| PAD | Peripheral arterial disease |
| PCSK-9 | Proprotein convertase subtilisin/kexin type 9 |
| RNA | Ribonucleic acid |
| SNP | Single nucleotide polymorphism |
| T2DM | Type 2 diabetes mellitus |
| VLDLR | Very-low-density-lipoprotein receptor |
References
- Timmis, A.; Aboyans, V.; Vardas, P.; Townsend, N.; Torbica, A.; Kavousi, M.; Boriani, G.; Huculeci, R.; Kazakiewicz, D.; Scherr, D.; et al. European Society of Cardiology: The 2023 Atlas of Cardiovascular Disease Statistics. Eur. Heart J. 2024, 45, 4019–4062. [Google Scholar] [CrossRef] [PubMed]
- Croatia Health Statistics Yearbook 2018|GHDx. Available online: https://ghdx.healthdata.org/record/croatia-health-statistics-yearbook-2018 (accessed on 29 November 2024).
- McCormick, S.P.A.; Schneider, W.J. Lipoprotein(a) Catabolism: A Case of Multiple Receptors. Pathology 2019, 51, 155–164. [Google Scholar] [CrossRef]
- Kamstrup, P.R.; Benn, M.; Tybjærg-Hansen, A.; Nordestgaard, B.G. Extreme Lipoprotein(a) Levels and Risk of Myocardial Infarction in the General Population: The Copenhagen City Heart Study. Circulation 2008, 117, 176–184. [Google Scholar] [CrossRef]
- Tipping, R.W.; Ford, C.E.; Simpson, L.M.; Walldius, G.; Jungner, I.; Folsom, A.R.; Chambless, L.; Panagiotakos, D.; Pitsavos, C.; Chrysohoou, C.; et al. Lipoprotein(a) Concentration and the Risk of Coronary Heart Disease, Stroke, and Nonvascular Mortality. JAMA 2009, 302, 412–423. [Google Scholar] [CrossRef]
- Tsimikas, S.; Fazio, S.; Ferdinand, K.C.; Ginsberg, H.N.; Koschinsky, M.L.; Marcovina, S.M.; Moriarty, P.M.; Rader, D.J.; Remaley, A.T.; Reyes-Soffer, G.; et al. NHLBI Working Group Recommendations to Reduce Lipoprotein(a)-Mediated Risk of Cardiovascular Disease and Aortic Stenosis. J. Am. Coll. Cardiol. 2018, 71, 177–192. [Google Scholar] [CrossRef]
- Bittner, V.A.; Szarek, M.; Aylward, P.E.; Bhatt, D.L.; Diaz, R.; Edelberg, J.M.; Fras, Z.; Goodman, S.G.; Halvorsen, S.; Hanotin, C.; et al. Effect of Alirocumab on Lipoprotein(a) and Cardiovascular Risk After Acute Coronary Syndrome. J. Am. Coll. Cardiol. 2020, 75, 133–144. [Google Scholar] [CrossRef]
- Yeang, C.; Karwatowska-Prokopczuk, E.; Su, F.; Dinh, B.; Xia, S.; Witztum, J.L.; Tsimikas, S. Effect of Pelacarsen on Lipoprotein(a) Cholesterol and Corrected Low-Density Lipoprotein Cholesterol. J. Am. Coll. Cardiol. 2022, 79, 1035–1046. [Google Scholar] [CrossRef]
- O’Donoghue, M.L.; Rosenson, R.S.; López, J.A.G.; Lepor, N.E.; Baum, S.J.; Stout, E.; Gaudet, D.; Knusel, B.; Kuder, J.F.; Murphy, S.A.; et al. The Off-Treatment Effects of Olpasiran on Lipoprotein(a) Lowering: OCEAN(a)-DOSE Extension Period Results. J. Am. Coll. Cardiol. 2024, 84, 790–797. [Google Scholar] [CrossRef]
- O’Donoghue, M.L.; Rosenson, R.S.; Gencer, B.; López, J.A.G.; Lepor, N.E.; Baum, S.J.; Stout, E.; Gaudet, D.; Knusel, B.; Kuder, J.F.; et al. Small Interfering RNA to Reduce Lipoprotein(a) in Cardiovascular Disease. N. Engl. J. Med. 2022, 387, 1855–1864. [Google Scholar] [CrossRef]
- Pokrovsky, S.N.; Afanasieva, O.I.; Ezhov, M.V. Therapeutic Apheresis for Management of Lp(a) Hyperlipoproteinemia. Curr. Atheroscler. Rep. 2020, 22, 68. [Google Scholar] [CrossRef]
- Berg, K.; Mohr, J. Genetics of the Lp System. Hum. Hered. 1963, 13, 349–360. [Google Scholar] [CrossRef] [PubMed]
- Kraft, H.G.; Lingenhel, A.; Köchl, S.; Hoppichler, F.; Kronenberg, F.; Abe, A.; Mühlberger, V.; Schönitzer, D.; Utermann, G. Apolipoprotein(a) Kringle IV Repeat Number Predicts Risk for Coronary Heart Disease. Arterioscler. Thromb. Vasc. Biol. 1996, 16, 713–719. [Google Scholar] [CrossRef]
- Clarke, R.; Peden, J.F.; Hopewell, J.C.; Kyriakou, T.; Goel, A.; Heath, S.C.; Parish, S.; Barlera, S.; Franzosi, M.G.; Rust, S.; et al. Genetic Variants Associated with Lp(a) Lipoprotein Level and Coronary Disease. N. Engl. J. Med. 2009, 361, 2518–2528. [Google Scholar] [CrossRef] [PubMed]
- Cardoso-Saldaña, G.; Fragoso, J.M.; Lale-Farjat, S.; Torres-Tamayo, M.; Posadas-Romero, C.; Vargas-Alarcón, G.; Posadas-Sánchez, R. The Rs10455872-G Allele of the LPA Gene Is Associated with High Lipoprotein(a) Levels and Increased Aortic Valve Calcium in a Mexican Adult Population. Genet. Mol. Biol. 2019, 42, 519–525. [Google Scholar] [CrossRef] [PubMed]
- Rouhani, B.; Ghaderian, S.M.H.; Salehi, Z. Investigation of LPA Sequence Variants Rs6415084, Rs3798220 with Conventional Coronary Artery Disease in Iranian CAD Patients. Hum. Antibodies 2019, 27, 99–104. [Google Scholar] [CrossRef] [PubMed]
- Thanassoulis, G.; Campbell, C.Y.; Owens, D.S.; Smith, J.G.; Smith, A.V.; Peloso, G.M.; Kerr, K.F.; Pechlivanis, S.; Budoff, M.J.; Harris, T.B.; et al. Genetic Associations with Valvular Calcification and Aortic Stenosis. N. Engl. J. Med. 2013, 368, 503–512. [Google Scholar] [CrossRef]
- Mach, F.; Baigent, C.; Catapano, A.L.; Koskinas, K.C.; Casula, M.; Badimon, L.; Chapman, M.J.; De Backer, G.G.; Delgado, V.; Ference, B.A.; et al. 2019 ESC/EAS Guidelines for the Management of Dyslipidaemias: Lipid Modification to Reduce Cardiovascular Risk. Atherosclerosis 2019, 290, 140–205. [Google Scholar] [CrossRef]
- Aboyans, V.; Ricco, J.B.; Bartelink, M.L.E.L.; Björck, M.; Brodmann, M.; Cohnert, T.; Collet, J.P.; Czerny, M.; De Carlo, M.; Debus, S.; et al. 2017 ESC Guidelines on the Diagnosis and Treatment of Peripheral Arterial Diseases, in Collaboration with the European Society for Vascular Surgery (ESVS): Document Covering Atherosclerotic Disease of Extracranial Carotid and Vertebral, Mesenteric, Renal, Upper and Lower Extremity ArteriesEndorsed by: The European Stroke Organization (ESO)The Task Force for the Diagnosis and Treatment of Peripheral Arterial Diseases of the European Society of Cardiology (ESC) and of the European Society for Vasc. Eur. Heart J. 2018, 39, 763–816. [Google Scholar] [CrossRef]
- R: The R Project for Statistical Computing. Available online: https://www.r-project.org/ (accessed on 30 December 2024).
- Wickham, H. Ggplot2; Springer Cham: Cham, Switzerland, 2016. [Google Scholar] [CrossRef]
- Kassambara, A. “ggplot2” Based Publication Ready Plots, R Package Ggpubr Version 0.6.0; CRAN: Contributed Packages; R Foundation: Everett, WA, USA, 2023. [Google Scholar] [CrossRef]
- Thiele, C.; Hirschfeld, G. Cutpointr: Improved Estimation and Validation of Optimal Cutpoints in r. J. Stat. Softw. 2021, 98, 11. [Google Scholar] [CrossRef]
- Zhao, D.; Wang, Y.; Wong, N.D.; Wang, J. Impact of Aging on Cardiovascular Diseases: From Chronological Observation to Biological Insights: JACC Family Series. JACC: Asia 2024, 4, 345–358. [Google Scholar] [CrossRef]
- Regitz-Zagrosek, V.; Gebhard, C. Gender Medicine: Effects of Sex and Gender on Cardiovascular Disease Manifestation and Outcomes. Nat. Rev. Cardiol. 2022, 20, 236–247. [Google Scholar] [CrossRef]
- Lv, Y.; Cao, X.; Yu, K.; Pu, J.; Tang, Z.; Wei, N.; Wang, J.; Liu, F.; Li, S. Gender Differences in All-Cause and Cardiovascular Mortality among US Adults: From NHANES 2005–2018. Front. Cardiovasc. Med. 2024, 11, 1283132. [Google Scholar] [CrossRef]
- Pechlivanis, S.; Mahabadi, A.A.; Hoffmann, P.; Nöthen, M.M.; Broecker-Preuss, M.; Erbel, R.; Moebus, S.; Stang, A.; Jöckel, K.H. Association between Lipoprotein(a) (Lp(a)) Levels and Lp(a) Genetic Variants with Coronary Artery Calcification. BMC Med. Genet. 2020, 21, 62. [Google Scholar] [CrossRef]
- Page, M.M.; Ellis, K.L.; Pang, J.; Chan, D.C.; Hooper, A.J.; Bell, D.A.; Burnett, J.R.; Watts, G.F. Coronary Artery Disease and the Risk-Associated LPA Variants, Rs3798220 and Rs10455872, in Patients with Suspected Familial Hypercholesterolaemia. Clin. Chim. Acta 2020, 510, 211–215. [Google Scholar] [CrossRef]
- Hopewell, J.C.; Clarke, R.; Parish, S.; Armitage, J.; Lathrop, M.; Hager, J.; Collins, R. Lipoprotein(a) Genetic Variants Associated with Coronary and Peripheral Vascular Disease but Not with Stroke Risk in the Heart Protection Study. Circ. Cardiovasc. Genet. 2011, 4, 68–73. [Google Scholar] [CrossRef]
- Van Zuydam, N.R.; Stiby, A.; Abdalla, M.; Austin, E.; Dahlström, E.H.; McLachlan, S.; Vlachopoulou, E.; Ahlqvist, E.; Di Liao, C.; Sandholm, N.; et al. Genome-Wide Association Study of Peripheral Artery Disease. Circ. Genom. Precis. Med. 2021, 14, E002862. [Google Scholar] [CrossRef]
- Li, Y.; Luke, M.M.; Shiffman, D.; Devlin, J.J. Genetic Variants in the Apolipoprotein(a) Gene and Coronary Heart Disease. Circ. Cardiovasc. Genet. 2011, 4, 565–573. [Google Scholar] [CrossRef]
- Kronenberg, F.; Mora, S.; Stroes, E.S.G.; Ference, B.A.; Arsenault, B.J.; Berglund, L.; Dweck, M.R.; Koschinsky, M.; Lambert, G.; Mach, F.; et al. Lipoprotein(a) in Atherosclerotic Cardiovascular Disease and Aortic Stenosis: A European Atherosclerosis Society Consensus Statement. Eur. Heart J. 2022, 43, 3925–3946. [Google Scholar] [CrossRef] [PubMed]
- Chasman, D.I.; Shiffman, D.; Zee, R.Y.L.; Louie, J.Z.; Luke, M.M.; Rowland, C.M.; Catanese, J.J.; Buring, J.E.; Devlin, J.J.; Ridker, P.M. Polymorphism in the Apolipoprotein(a) Gene, Plasma Lipoprotein(a), Cardiovascular Disease, and Low-Dose Aspirin Therapy. Atherosclerosis 2008, 203, 371. [Google Scholar] [CrossRef]


| Without CVI (N = 123) | With CVI (N = 128) | p | |
|---|---|---|---|
| Gender, N (%) | |||
| Women | 65 (53) | 41 (32) | 0.001 |
| Men | 58 (47) | 87 (67) | |
| Age, median (IQR) | 47 (18) | 57 (15) | <0.001 |
| Lp(a), median (IQR) | 189 (120.5) | 228.5 (142) | <0.001 |
| MI, N (%) | 0 | 101 (79) | <0.001 |
| ICS, N (%) | 0 | 27 (21) | <0.001 |
| PAD, N (%) | 0 | 23 (18) | <0.001 |
| AS, N (%) | 0 | 7 (5) | 0.025 |
| T2DM, N (%) | 10 (8) | 26 (20) | 0.010 |
| Family history of early CVI, N (%) | 97 (79) | 101 (79) | 1.000 |
| LPA rs3798220 genotype, N (%) | |||
| TT | 100 (81.3) | 91 (71.1) | 0.123 |
| TC | 23 (18.7) | 36 (28.1) | |
| CC | 0 | 1 (0.8) | |
| LPA rs10455872 genotype, N (%) | |||
| AA | 81 (65.9) | 90 (70.3) | 0.534 |
| AG | 42 (34.2) | 38 (29.7) | |
| GG | 0 | 0 | |
| LPA rs3798220 + LPA rs10455872 genotypes, N (%) | |||
| rs3798220-TT + rs10455872-AA | 61 (49.6) | 58 (45.7) | 0.336 |
| rs3798220-TT + rs10455872-AG | 39 (31.7) | 33 (26.0) | |
| rs3798220-TC + rs10455872-AA | 20 (16.3) | 31 (24.4) | |
| rs3798220-TC + rs10455872-AG | 3 (2.4) | 5 (3.9) | |
| Model | Independent Variable | OR (95% CI) | p |
|---|---|---|---|
| Outcome: Cardiovascular incident | |||
| Model 1: univariate logistic regression | LPA rs3798220-C | 1.79 (1.00–3.21) | 0.049 |
| Model 1: univariate logistic regression, age-adjusted | LPA rs3798220-C | 1.92 (1.04–3.55) | 0.037 |
| Model 1: univariate logistic regression | LPA rs10455872-G | 0.81 (0.48–1.39) | 0.449 |
| Model 1: univariate logistic regression, age-adjusted | LPA rs10455872-G | 0.78 (0.44–1.36) | 0.376 |
| Model 2: multivariate logistic regression | LPA rs3798220-C | 1.28 (0.67–2.44) | 0.461 |
| LPA rs10455872-G | 0.86 (0.49–1.50) | 0.585 | |
| Lp(a), by every 10 nmol/L ** | 1.03 (1.01–1.06) | 0.006 | |
| Model 2: multivariate logistic regression, age-adjusted | LPA rs3798220-C | 1.35 (0.68–2.67) | 0.391 |
| LPA rs10455872-G | 0.82 (0.46–1.49) | 0.521 | |
| Lp(a), by every 10 nmol/L ** | 1.03 (1.01–1.06) | 0.009 | |
| Model 3: stepwise multivariate logistic regression * | Male gender | 3.87 (2.11–7.10) | <0.001 |
| Age | 1.08 (1.05–1.11) | <0.001 | |
| Lp(a), by every 10 nmol/L ** | 1.04 (1.02–1.07) | 0.001 | |
| Outcome: Myocardial infarction | |||
| Model 1: univariate logistic regression | LPA rs3798220-C | 2.05 (1.16–3.64) | 0.014 |
| Model 1: univariate logistic regression, age-adjusted | LPA rs3798220-C | 2.20 (1.2–4.01) | 0.010 |
| Model 1: univariate logistic regression | LPA rs10455872-G | 0.72 (0.42–1.25) | 0.248 |
| Model 1: univariate logistic regression, age-adjusted | LPA rs10455872-G | 0.69 (0.39–1.22) | 0.199 |
| Model 2: multivariate logistic regression | LPA rs3798220-C | 1.62 (0.86–3.05) | 0.132 |
| LPA rs10455872-G | 0.80 (0.45–1.42) | 0.451 | |
| Lp(a), by every 10 nmol/L ** | 1.02 (1.00–1.04) | 0.082 | |
| Model 2: multivariate logistic regression, age-adjusted | LPA rs3798220-C | 1.73 (0.9–3.34) | 0.102 |
| LPA rs10455872-G | 0.78 (0.43–1.41) | 0.405 | |
| Lp(a), by every 10 nmol/L ** | 1.02 (1.00–1.04) | 0.103 | |
| Model 3: stepwise multivariate logistic regression * | Male gender | 5.10 (2.72–9.53) | <0.001 |
| Age | 1.08 (1.05–1.11) | <0.001 | |
| Lp(a), by every 10 nmol/L ** | 1.03 (1.00–1.05) | 0.031 | |
| LPA rs3798220-C | 1.69 (0.86–3.36) | 0.131 | |
| Outcome: Peripheral arterial disease | |||
| Model 1: univariate logistic regression | LPA rs3798220-C | 0.28 (0.06–1.23) | 0.091 |
| Model 1: univariate logistic regression, age-adjusted | LPA rs3798220-C | 0.27 (0.06–1.19) | 0.083 |
| Model 1: univariate logistic regression | LPA rs10455872-G | 0.73 (0.28–1.94) | 0.533 |
| Model 1: univariate logistic regression, age-adjusted | LPA rs10455872-G | 0.72 (0.27–1.91) | 0.505 |
| Model 2: multivariate logistic regression | LPA rs3798220-C | 0.17 (0.04–0.78) | 0.023 |
| LPA rs10455872-G | 0.55 (0.20–1.50) | 0.244 | |
| Lp(a), by every 10 nmol/L ** | 1.04 (1.01–1.07) | 0.019 | |
| Model 2: multivariate logistic regression, age-adjusted | LPA rs3798220-C | 0.16 (0.03–0.75) | 0.021 |
| LPA rs10455872-G | 0.52 (0.19–1.44) | 0.209 | |
| Lp(a), by every 10 nmol/L ** | 1.04 (1.01–1.07) | 0.022 | |
| Model 3: stepwise multivariate logistic regression * | Age | 1.04 (0.99–1.09) | 0.117 |
| Lp(a), by every 10 nmol/L ** | 1.04 (1.01–1.07) | 0.020 | |
| T2DM | 2.43 (0.85–6.93) | 0.098 | |
| LPA rs3798220-C | 0.19 (0.04–0.89) | 0.035 | |
| Stratification | Lp(a) Optimal Cutpoint | Sensitivity | Specificity | AUC |
|---|---|---|---|---|
| Outcome: Cardiovascular incident | ||||
| / | 152 | 0.844 | 0.366 | 0.628 |
| LPA rs3798220—TT | 152 | 0.813 | 0.390 | 0.605 |
| LPA rs3798220—TC | 149 | 0.944 | 0.261 | 0.612 |
| No family history of CVIs | 217 | 0.556 | 0.769 | 0.620 |
| Family history of CVIs | 151 | 0.881 | 0.361 | 0.634 |
| Outcome: Myocardial infarction | ||||
| / | 243 | 0.475 | 0.713 | 0.599 |
| LPA rs3798220—TT | 152 | 0.797 | 0.344 | 0.544 |
| LPA rs3798220—TC | 249 | 0.774 | 0.536 | 0.651 |
| No family history of CVIs | 217 | 0.522 | 0.700 | 0.564 |
| Family history of CVIs | 151 | 0.897 | 0.325 | 0.606 |
| Outcome: Peripheral arterial disease | ||||
| / | 165 | 0.957 | 0.355 | 0.612 |
| LPA rs3798220—TT | 165 | 0.952 | 0.424 | 0.668 |
| LPA rs3798220—TC | 537 | 0.500 | 0.930 | 0.675 |
| No family history of CVIs | 182 | 1.000 | 0.531 | 0.712 |
| Family history of CVIs | 157 | 1.000 | 0.285 | 0.590 |
Disclaimer/Publisher’s Note: The statements, opinions and data contained in all publications are solely those of the individual author(s) and contributor(s) and not of MDPI and/or the editor(s). MDPI and/or the editor(s) disclaim responsibility for any injury to people or property resulting from any ideas, methods, instructions or products referred to in the content. |
© 2025 by the authors. Licensee MDPI, Basel, Switzerland. This article is an open access article distributed under the terms and conditions of the Creative Commons Attribution (CC BY) license (https://creativecommons.org/licenses/by/4.0/).
Share and Cite
Lemešić, D.L.; Šimičević, L.; Ganoci, L.; Gelemanović, A.; Šućur, N.; Pećin, I. Association of rs3798220 Polymorphism with Cardiovascular Incidents in Individuals with Elevated Lp(a). Diagnostics 2025, 15, 404. https://doi.org/10.3390/diagnostics15040404
Lemešić DL, Šimičević L, Ganoci L, Gelemanović A, Šućur N, Pećin I. Association of rs3798220 Polymorphism with Cardiovascular Incidents in Individuals with Elevated Lp(a). Diagnostics. 2025; 15(4):404. https://doi.org/10.3390/diagnostics15040404
Chicago/Turabian StyleLemešić, Dunja Leskovar, Livija Šimičević, Lana Ganoci, Andrea Gelemanović, Nediljko Šućur, and Ivan Pećin. 2025. "Association of rs3798220 Polymorphism with Cardiovascular Incidents in Individuals with Elevated Lp(a)" Diagnostics 15, no. 4: 404. https://doi.org/10.3390/diagnostics15040404
APA StyleLemešić, D. L., Šimičević, L., Ganoci, L., Gelemanović, A., Šućur, N., & Pećin, I. (2025). Association of rs3798220 Polymorphism with Cardiovascular Incidents in Individuals with Elevated Lp(a). Diagnostics, 15(4), 404. https://doi.org/10.3390/diagnostics15040404

