Personalized Predictions of Therapeutic Hypothermia Outcomes in Cardiac Arrest Patients with Shockable Rhythms Using Explainable Machine Learning
Abstract
1. Introduction
2. Materials and Methods
2.1. Ethics Approval and Consent to Participate
2.2. Participants
2.3. Outcomes
2.4. Statistical Analyses
2.5. Development of Prediction Models
2.6. Input Features of the Models
2.7. Algorithm Configuration and Hyperparameter Optimization
2.8. Model Evaluation
2.9. SHapley Additive exPlanations (SHAP)
3. Results
3.1. Cohort Characteristics
3.2. Hypothermia Treatment and Complications
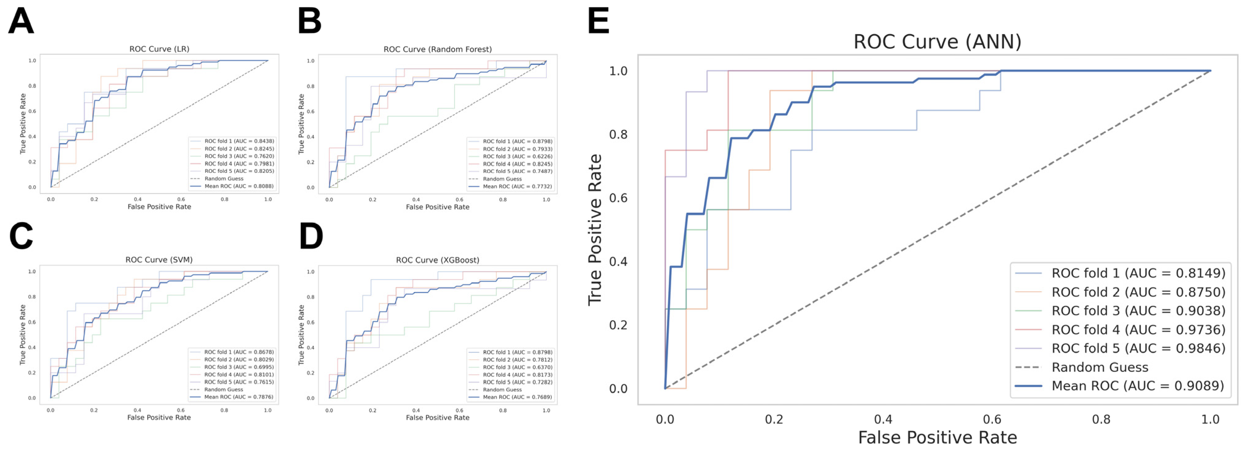
3.3. Predictive Model Development and Performance
3.4. Real-World Model Application
4. Discussion
5. Conclusions
Supplementary Materials
Author Contributions
Funding
Institutional Review Board Statement
Informed Consent Statement
Data Availability Statement
Acknowledgments
Conflicts of Interest
Abbreviations
| ANN | Artificial neural network |
| AUC | Area under the curve |
| BT | Body temperature |
| CPC | Cerebral performance category |
| CPR | Cardiopulmonary resuscitation |
| DBP | Diastolic blood pressure |
| DM | Diabetes mellitus |
| IHCA | In-hospital cardiac arrest |
| LR | Logistic regression |
| OHCA | Out-of-hospital cardiac arrest |
| RF | Random forest |
| ROC | Receiver operating characteristic |
| ROSC | Return of spontaneous circulation |
| SBP | Systolic blood pressure |
| SHAP | SHapley Additive exPlanations |
| SVM | Support vector machine |
| TH | Therapeutic hypothermia |
| VF | Ventricular fibrillation |
| VT | Ventricular tachycardia |
| XGBoost | eXtreme gradient boosting |
References
- Taccone, F.S.; Picetti, E.; Vincent, J.-L. High Quality Targeted Temperature Management (TTM) After Cardiac Arrest. Crit. Care 2020, 24, 6. [Google Scholar] [CrossRef]
- Arrich, J.; Holzer, M.; Havel, C.; Müllner, M.; Herkner, H. Hypothermia for neuroprotection in adults after cardiopulmonary resuscitation. Cochrane Database Syst. Rev. 2016, 2, Cd004128. [Google Scholar] [CrossRef] [PubMed]
- Dankiewicz, J.; Cronberg, T.; Lilja, G.; Jakobsen, J.C.; Levin, H.; Ullen, S.; Rylander, C.; Wise, M.P.; Oddo, M.; Cariou, A.; et al. Hypothermia versus Normothermia after Out-of-Hospital Cardiac Arrest. N. Engl. J. Med. 2021, 384, 2283–2294. [Google Scholar] [CrossRef] [PubMed]
- Lascarrou, J.B.; Merdji, H.; Le Gouge, A.; Colin, G.; Grillet, G.; Girardie, P.; Coupez, E.; Dequin, P.F.; Cariou, A.; Boulain, T.; et al. Targeted Temperature Management for Cardiac Arrest with Nonshockable Rhythm. N. Engl. J. Med. 2019, 381, 2327–2337. [Google Scholar] [CrossRef] [PubMed]
- Nielsen, N.; Wetterslev, J.; Friberg, H.; Group, T.T.M.T.S. Targeted temperature management after cardiac arrest. N. Engl. J. Med. 2014, 370, 1360. [Google Scholar] [CrossRef]
- Granfeldt, A.; Holmberg, M.J.; Nolan, J.P.; Soar, J.; Andersen, L.W. Targeted temperature management in adult cardiac arrest: Systematic review and meta-analysis. Resuscitation 2021, 167, 160–172. [Google Scholar] [CrossRef]
- Rout, A.; Singh, S.; Sarkar, S.; Munawar, I.; Garg, A.; D’Adamo, C.R.; Tantry, U.S.; Dharmadhikari, A.; Gurbel, P.A. Meta-Analysis of the Usefulness of Therapeutic Hypothermia After Cardiac Arrest. Am. J. Cardiol. 2020, 133, 48–53. [Google Scholar] [CrossRef]
- Nasir, U.; Nagalli, S.; Waheed, T.A.; Zahid, S.; Qasim, M.; Sundhu, M.; Ahuja, S.K.; Ahuja, K.R. Therapeutic Hypothermia Is Associated With a Decrease in All-cause Mortality in Cardiac Arrest Due to Shockable Rhythm. Crit. Pathw. Cardiol. 2022, 21, 47–56. [Google Scholar] [CrossRef]
- Chiu, P.Y.; Chung, C.C.; Tu, Y.K.; Tseng, C.H.; Kuan, Y.C. Therapeutic hypothermia in patients after cardiac arrest: A systematic review and meta-analysis of randomized controlled trials. Am. J. Emerg. Med. 2023, 71, 182–189. [Google Scholar] [CrossRef]
- Damluji, A.A.; Al-Damluji, M.S.; Pomenti, S.; Zhang, T.J.; Cohen, M.G.; Mitrani, R.D.; Moscucci, M.; Myerburg, R.J. Health Care Costs After Cardiac Arrest in the United States. Circ. Arrhythmia Electrophysiol. 2018, 11, e005689. [Google Scholar] [CrossRef]
- Chung, C.C.; Chiu, W.T.; Huang, Y.H.; Chan, L.; Hong, C.T.; Chiu, H.W. Identifying prognostic factors and developing accurate outcome predictions for in-hospital cardiac arrest by using artificial neural networks. J. Neurol. Sci. 2021, 425, 117445. [Google Scholar] [CrossRef]
- Salam, I.; Thomsen, J.H.; Kjaergaard, J.; Bro-Jeppesen, J.; Frydland, M.; Winther-Jensen, M.; Køber, L.; Wanscher, M.; Hassager, C.; Søholm, H. Importance of comorbidities in comatose survivors of shockable and non-shockable out-of-hospital cardiac arrest treated with target temperature management. Scand. Cardiovasc. J. 2018, 52, 133–140. [Google Scholar] [CrossRef] [PubMed]
- Chang, H.C.; Tsai, M.S.; Kuo, L.K.; Hsu, H.H.; Huang, W.C.; Lai, C.H.; Shih, M.C.; Huang, C.H. Factors affecting outcomes in patients with cardiac arrest who receive target temperature management: The multi-center TIMECARD registry. J. Formos. Med. Assoc. 2022, 121, 294–303. [Google Scholar] [CrossRef] [PubMed]
- Chiu, W.-T.; Chan, L.; Masud, J.H.B.; Hong, C.-T.; Chien, Y.-S.; Hsu, C.-H.; Wu, C.-H.; Wang, C.-H.; Tan, S.; Chung, C.-C. Identifying Risk Factors for Prolonged Length of Stay in Hospital and Developing Prediction Models for Patients with Cardiac Arrest Receiving Targeted Temperature Management. Rev. Cardiovasc. Med. 2023, 24, 55. [Google Scholar] [CrossRef] [PubMed]
- Kim, J.H.; Kim, M.J.; You, J.S.; Lee, H.S.; Park, Y.S.; Park, I.; Chung, S.P. Multimodal approach for neurologic prognostication of out-of-hospital cardiac arrest patients undergoing targeted temperature management. Resuscitation 2019, 134, 33–40. [Google Scholar] [CrossRef]
- Kołtowski, Ł.; Średniawa, B.; Tycińska, A.; Czajkowska, M.; Niedziela, M.; Puchalski, W.; Szczerba, E.; Kowalik, R.; Ryczek, R.; Zawiślak, B.; et al. Predicting survival in out-of-hospital cardiac arrest patients undergoing targeted temperature management: The Polish Hypothermia Registry Risk Score. Cardiol. J. 2021, 28, 95–100. [Google Scholar] [CrossRef]
- Lin, J.-J.; Huang, C.-H.; Chien, Y.-S.; Hsu, C.-H.; Chiu, W.-T.; Wu, C.-H.; Wang, C.-H.; Tsai, M.-S. TIMECARD score: An easily operated prediction model of unfavorable neurological outcomes in out-of-hospital cardiac arrest patients with targeted temperature management. J. Formos. Med. Assoc. 2023, 122, 317–327. [Google Scholar] [CrossRef]
- Chou, S.Y.; Bamodu, O.A.; Chiu, W.T.; Hong, C.T.; Chan, L.; Chung, C.C. Artificial neural network-boosted Cardiac Arrest Survival Post-Resuscitation In-hospital (CASPRI) score accurately predicts outcome in cardiac arrest patients treated with targeted temperature management. Sci. Rep. 2022, 12, 7254. [Google Scholar] [CrossRef]
- Chiu, W.T.; Chung, C.C.; Huang, C.H.; Chien, Y.S.; Hsu, C.H.; Wu, C.H.; Wang, C.H.; Chiu, H.W.; Chan, L. Predicting the survivals and favorable neurologic outcomes after targeted temperature management by artificial neural networks. J. Formos. Med. Assoc. Taiwan Yi Zhi 2022, 121, 490–499. [Google Scholar] [CrossRef]
- Chung, C.-C.; Su, E.C.-Y.; Chen, J.-H.; Chen, Y.-T.; Kuo, C.-Y. XGBoost-Based Simple Three-Item Model Accurately Predicts Outcomes of Acute Ischemic Stroke. Diagnostics 2023, 13, 842. [Google Scholar] [CrossRef]
- Chiu, W.T.; Lin, K.C.; Tsai, M.S.; Hsu, C.H.; Wang, C.H.; Kuo, L.K.; Chien, Y.S.; Wu, C.H.; Lai, C.H.; Huang, W.C.; et al. Post-cardiac arrest care and targeted temperature management: A consensus of scientific statement from the Taiwan Society of Emergency & Critical Care Medicine, Taiwan Society of Critical Care Medicine and Taiwan Society of Emergency Medicine. J. Formos. Med. Assoc. 2021, 120, 569–587. [Google Scholar] [CrossRef] [PubMed]
- Mild therapeutic hypothermia to improve the neurologic outcome after cardiac arrest. N. Engl. J. Med. 2002, 346, 549–556. [CrossRef] [PubMed]
- Stoltzfus, J.C. Logistic regression: A brief primer. Acad. Emerg. Med. 2011, 18, 1099–1104. [Google Scholar] [CrossRef]
- Kuan, Y.C.; Hong, C.T.; Chen, P.C.; Liu, W.T.; Chung, C.C. Logistic regression and artificial neural network-based simple predicting models for obstructive sleep apnea by age, sex, and body mass index. Math. Biosci. Eng. 2022, 19, 11409–11421. [Google Scholar] [CrossRef]
- Belgiu, M.; Drăguţ, L. Random forest in remote sensing: A review of applications and future directions. ISPRS J. Photogramm. Remote Sens. 2016, 114, 24–31. [Google Scholar] [CrossRef]
- Kuo, C.-Y.; Su, E.C.-Y.; Yeh, H.-L.; Yeh, J.-H.; Chiu, H.-C.; Chung, C.-C. Predictive modeling and interpretative analysis of risks of instability in patients with Myasthenia Gravis requiring intensive care unit admission. Heliyon 2024, 10, e41084. [Google Scholar] [CrossRef]
- Cheng, C.Y.; Chiu, I.M.; Zeng, W.H.; Tsai, C.M.; Lin, C.R. Machine Learning Models for Survival and Neurological Outcome Prediction of Out-of-Hospital Cardiac Arrest Patients. BioMed Res. Int. 2021, 2021, 9590131. [Google Scholar] [CrossRef]
- Bentéjac, C.; Csörgő, A.; Martínez-Muñoz, G. A comparative analysis of gradient boosting algorithms. Artif. Intell. Rev. 2021, 54, 1937–1967. [Google Scholar] [CrossRef]
- Andersson, P.; Johnsson, J.; Björnsson, O.; Cronberg, T.; Hassager, C.; Zetterberg, H.; Stammet, P.; Undén, J.; Kjaergaard, J.; Friberg, H.; et al. Predicting neurological outcome after out-of-hospital cardiac arrest with cumulative information; development and internal validation of an artificial neural network algorithm. Crit. Care 2021, 25, 83. [Google Scholar] [CrossRef]
- Bergstra, J.; Bengio, Y. Random search for hyper-parameter optimization. J. Mach. Learn. Res. 2012, 13, 281–305. [Google Scholar]
- Bengio, Y.; Grandvalet, Y. No Unbiased Estimator of the Variance of K-Fold Cross-Validation. J. Mach. Learn. Res. 2004, 5, 1089–1105. [Google Scholar]
- Lundberg, S.M.; Lee, S.I. A Unified Approach to Interpreting Model Predictions. In Proceedings of the 31st Conference on Neural Information Processing Systems, Long Beach, CA, USA, 4–9 December 2017. [Google Scholar] [CrossRef]
- Shapley, L. A Value for n-Person Games. In Contributions to the Theory of Games II; Princeton University Press: Princeton, NJ, USA, 1953. [Google Scholar]
- Rodríguez-Pérez, R.; Bajorath, J. Interpretation of machine learning models using shapley values: Application to compound potency and multi-target activity predictions. J. Comput. Aided Mol. Des. 2020, 34, 1013–1026. [Google Scholar] [CrossRef] [PubMed]
- Lundberg, S.M.; Erion, G.; Chen, H.; DeGrave, A.; Prutkin, J.M.; Nair, B.; Katz, R.; Himmelfarb, J.; Bansal, N.; Lee, S.-I. From local explanations to global understanding with explainable AI for trees. Nat. Mach. Intell. 2020, 2, 56–67. [Google Scholar] [CrossRef] [PubMed]
- Bosson, N.E.; Kaji, A.H.; Koenig, W.J.; Niemann, J.T. Effect of Therapeutic Hypothermia on Survival and Neurologic Outcome in the Elderly. Ther. Hypothermia Temp. Manag. 2016, 6, 71–75. [Google Scholar] [CrossRef]
- Oh, S.J.; Kim, J.J.; Jang, J.H.; Hwang, I.C.; Woo, J.H.; Lim, Y.S.; Yang, H.J. Age is related to neurological outcome in patients with out-of-hospital cardiac arrest (OHCA) receiving therapeutic hypothermia (TH). Am. J. Emerg. Med. 2018, 36, 243–247. [Google Scholar] [CrossRef]
- Borgquist, O.; Wise, M.P.; Nielsen, N.; Al-Subaie, N.; Cranshaw, J.; Cronberg, T.; Glover, G.; Hassager, C.; Kjaergaard, J.; Kuiper, M.; et al. Dysglycemia, Glycemic Variability, and Outcome After Cardiac Arrest and Temperature Management at 33 °C and 36 °C. Crit. Care Med. 2017, 45, 1337–1343. [Google Scholar] [CrossRef]
- Oh, T.K.; Heo, E.; Song, I.A.; Jeong, W.J.; Han, M.; Bang, J.S. Increased Glucose Variability During Long-Term Therapeutic Hypothermia as a Predictor of Poor Neurological Outcomes and Mortality: A Retrospective Study. Ther. Hypothermia Temp. Manag. 2020, 10, 106–113. [Google Scholar] [CrossRef]
- Bamodu, O.A.; Chan, L.; Wu, C.H.; Yu, S.F.; Chung, C.C. Beyond diagnosis: Leveraging routine blood and urine biomarkers to predict severity and functional outcome in acute ischemic stroke. Heliyon 2024, 10, e26199. [Google Scholar] [CrossRef]
- Lee, H.-Y.; Tien, Y.-T.; Huang, C.-H.; Chen, W.-J.; Chen, W.-T.; Chang, W.-T.; Ong, H.-N.; Tsai, M.-S. The compliance with TTM protocol may benefit outcomes in cardiac arrest survivors: A retrospective cohort study. Am. J. Emerg. Med. 2024, 84, 87–92. [Google Scholar] [CrossRef]
- Johnsson, J.; Björnsson, O.; Andersson, P.; Jakobsson, A.; Cronberg, T.; Lilja, G.; Friberg, H.; Hassager, C.; Kjaergard, J.; Wise, M.; et al. Artificial neural networks improve early outcome prediction and risk classification in out-of-hospital cardiac arrest patients admitted to intensive care. Crit. Care 2020, 24, 474. [Google Scholar] [CrossRef]





| Variables | Whole Cohort | Neurological Outcomes | p-Value | |
|---|---|---|---|---|
| Favorable | Unfavorable | |||
| Number of patients | 209 | 79 | 130 | |
| Age (years) | 59.77 ± 14.68 | 54.95 ± 15.30 | 62.70 ± 13.55 | 0.0003 *** |
| Female, n (%) | 50 (23.92) | 16 (20.25) | 34 (26.15) | 0.3323 |
| Pre-arrest CPC score | 1.07 ± 0.29 | 1.01 ± 0.11 | 1.11 ± 0.36 | 0.0055 ** |
| Arrest location, n (%) | 0.1334 | |||
| OHCA | 181 (86.60) | 72 (91.14) | 109 (83.85) | |
| IHCA | 28 (13.40) | 7 (8.86) | 21 (16.15) | |
| Witnessed collapse, n (%) | 175 (83.73) | 74 (93.67) | 101 (77.69) | 0.0024 ** |
| Bystander CPR, n (%) | 141 (67.46) | 59 (74.68) | 82 (63.08) | 0.0825 |
| Defibrillation, n (%) | 203 (97.13) | 76 (96.20) | 127 (97.69) | 0.5317 |
| Shock(s) delivered | 2.46 ± 2.30 | 2.24 ± 1.63 | 2.59 ± 2.63 | 0.2340 |
| Epinephrine dose (mg) | 3.97 ± 4.70 | 1.76 ± 2.64 | 5.32 ± 5.16 | <0.0001 *** |
| Amiodarone dose (mg) | 135.42 ± 212.78 | 89.24 ± 160.26 | 163.48 ± 235.32 | 0.0073 ** |
| CPR duration (min) | 26.26 ± 19.74 | 23.25 ± 21.04 | 28.08 ± 18.75 | 0.0958 |
| Pre-hospital ROSC, n (%) | 0.0052 ** | |||
| Yes | 63 (30.14) | 34 (43.04) | 29 (22.31) | |
| No | 118 (56.46) | 38 (48.10) | 80 (61.54) | |
| IHCA | 28 (13.40) | 7 (8.86) | 21 (16.15) | |
| SBP at ROSC (mmHg) | 128.3 ± 37.1 | 135.20 ± 35.87 | 124.16 ± 37.36 | 0.0351 * |
| DBP at ROSC (mmHg) | 79.38 ± 25.53 | 86.14 ± 25.94 | 75.27 ± 24.47 | 0.0031 ** |
| HR at ROSC (bpm) | 101.56 ± 29.39 | 104.00 ± 31.23 | 100.08 ± 28.24 | 0.3629 |
| BT at ROSC (℃) | 36.07 ± 1.19 | 36.49 ± 1.01 | 35.82 ± 1.23 | <0.0001 *** |
| Glasgow Coma Scale | 3.67 ± 1.40 | 4.05 ± 1.66 | 3.45 ± 1.18 | 0.0053 ** |
| Co-morbidities, n (%) | ||||
| Diabetes mellitus | 73 (34.93) | 14 (17.72) | 59 (45.38) | <0.0001 *** |
| Hypertension | 114 (54.55) | 41 (51.90) | 73 (56.15) | 0.5491 |
| Coronary artery disease | 75 (35.89) | 21 (26.58) | 54 (41.54) | 0.0288 * |
| Heart failure | 37 (17.70) | 11 (13.92) | 26 (20.00) | 0.2645 |
| Arrhythmia | 28 (13.40) | 12 (15.19) | 16 (12.31) | 0.5531 |
| COPD or asthma | 16 (7.66) | 2 (2.53) | 14 (10.77) | 0.0299 * |
| Chronic kidney disease | 20 (9.57) | 5 (6.33) | 15 (11.54) | 0.2145 |
| ESRD on hemodialysis | 19 (9.09) | 4 (5.06) | 15 (11.54) | 0.1144 |
| Liver cirrhosis | 2 (0.96) | 0 (0) | 2 (1.54) | 0.2680 |
| Previous cerebral vascular disease | 14 (6.70) | 3 (3.80) | 11 (8.46) | 0.1909 |
| Malignancy | 21 (10.05) | 3 (3.80) | 18 (13.85) | 0.0191 * |
| Variables | Whole Cohort | Neurological Outcomes | p-Value | |
|---|---|---|---|---|
| Favorable | Unfavorable | |||
| Number of patients | 209 | 79 | 130 | |
| Maintenance mode, n (%) | 0.2990 | |||
| Arctic Sun cold blanket | 94 (44.98) | 40 (50.63) | 54 (41.54) | |
| Traditional cold blanket | 73 (34.93) | 27 (34.18) | 46 (35.38) | |
| ECMO | 33 (15.79) | 8 (10.13) | 25 (19.23) | |
| Icy catheter | 9 (4.31) | 4 (5.06) | 5 (3.85) | |
| Induction duration (h) | 6.93 ± 6.97 | 6.81 ± 6.10 | 7.01 ± 7.48 | 0.8298 |
| Maintenance duration (h)’ | 21.88 ± 10.15 | 22.22 ± 9.93 | 21.66 ± 10.33 | 0.7070 |
| Rewarming_duration (hr) | 18.55 ± 18.29 | 16.55 ± 10.90 | 19.98 ± 22.07 | 0.1605 |
| Complications, n (%) | ||||
| Bleeding | 65 (31.10) | 17 (21.52) | 48 (36.92) | 0.0197 * |
| Arrhythmia | 97 (46.41) | 29 (36.71) | 68 (52.31) | 0.0283 * |
| Serious infection | 69 (33.01) | 20 (25.32) | 49 (37.69) | 0.0651 |
| Seizure | 52 (24.88) | 10 (12.66) | 42 (32.31) | 0.0014 ** |
| Hypokalemia | 144 (68.90) | 62 (78.48) | 82 (63.08) | 0.0197 * |
| Hypoglycemia | 16 (7.66) | 6 (7.59) | 10 (7.69) | 0.9795 |
| Survival duration (days) | 23.61 ± 22.39 | 23.71 ± 21.02 | 23.54 ± 23.26 | 0.9576 |
| CPC score at discharge | 3.33 ± 1.76 | 1.20 ± 0.40 | 4.62 ± 0.66 | <0.0001 *** |
| Survival to discharge, n (%) | 116 (55.50) | 79 (100) | 37 (28.46) | <0.0001 *** |
| Model | AUC | Accuracy | Precision | Recall | Specificity |
|---|---|---|---|---|---|
| LR | 0.8088 (0.77, 0.85) | 0.723 (0.68, 0.78) | 0.6769 (0.57, 0.78) | 0.5833 (0.49, 0.68) | 0.8231 (0.74, 0.91) |
| Random forest | 0.7732 (0.65, 0.89) | 0.7081 (0.66, 0.75) | 0.6654 (0.58, 0.75) | 0.4683 (0.34, 0.60) | 0.8538 (0.79, 0.92) |
| SVM | 0.7876 (0.71, 0.87) | 0.7417 (0.69, 0.79) | 0.7301 (0.61, 0.85) | 0.5325 (0.37, 0.70) | 0.8692 (0.78, 0.96) |
| XGBoost | 0.7689 (0.65, 0.88) | 0.7033 (0.67, 0.74) | 0.6822 (0.57, 0.79) | 0.4175 (0.38, 0.45) | 0.8769 (0.81, 0.94) |
| ANN | 0.9089 (0.82, 1.00) | 0.8330 (0.75, 0.92) | 0.7984 (0.72, 0.88) | 0.7492 (0.55, 0.95) | 0.8846 (0.83, 0.94) |
Disclaimer/Publisher’s Note: The statements, opinions and data contained in all publications are solely those of the individual author(s) and contributor(s) and not of MDPI and/or the editor(s). MDPI and/or the editor(s) disclaim responsibility for any injury to people or property resulting from any ideas, methods, instructions or products referred to in the content. |
© 2025 by the authors. Licensee MDPI, Basel, Switzerland. This article is an open access article distributed under the terms and conditions of the Creative Commons Attribution (CC BY) license (https://creativecommons.org/licenses/by/4.0/).
Share and Cite
Hong, C.-T.; Bamodu, O.A.; Chiu, H.-W.; Chiu, W.-T.; Chan, L.; Chung, C.-C. Personalized Predictions of Therapeutic Hypothermia Outcomes in Cardiac Arrest Patients with Shockable Rhythms Using Explainable Machine Learning. Diagnostics 2025, 15, 267. https://doi.org/10.3390/diagnostics15030267
Hong C-T, Bamodu OA, Chiu H-W, Chiu W-T, Chan L, Chung C-C. Personalized Predictions of Therapeutic Hypothermia Outcomes in Cardiac Arrest Patients with Shockable Rhythms Using Explainable Machine Learning. Diagnostics. 2025; 15(3):267. https://doi.org/10.3390/diagnostics15030267
Chicago/Turabian StyleHong, Chien-Tai, Oluwaseun Adebayo Bamodu, Hung-Wen Chiu, Wei-Ting Chiu, Lung Chan, and Chen-Chih Chung. 2025. "Personalized Predictions of Therapeutic Hypothermia Outcomes in Cardiac Arrest Patients with Shockable Rhythms Using Explainable Machine Learning" Diagnostics 15, no. 3: 267. https://doi.org/10.3390/diagnostics15030267
APA StyleHong, C.-T., Bamodu, O. A., Chiu, H.-W., Chiu, W.-T., Chan, L., & Chung, C.-C. (2025). Personalized Predictions of Therapeutic Hypothermia Outcomes in Cardiac Arrest Patients with Shockable Rhythms Using Explainable Machine Learning. Diagnostics, 15(3), 267. https://doi.org/10.3390/diagnostics15030267

