An ERA-CRISPR/Cas12a Method for Highly Sensitive Detection of Human Adenovirus Type 55
Abstract
1. Introduction
2. Materials and Methods
2.1. Biological Materials
2.2. Reagents and Instruments
2.3. Preparation of Positive Control
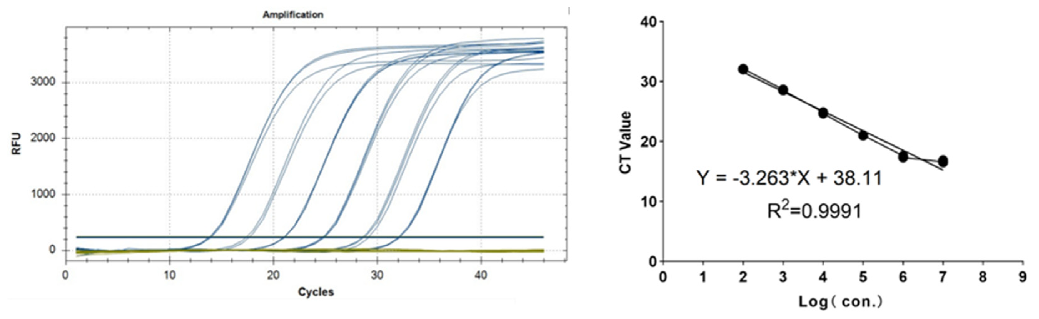
2.4. Standard Curve
2.5. Design of Primers, Probes and CrRNAs
2.6. Optimization of CrRNA and ERA Primer–Probe Sets
2.7. Nucleic Acid Extraction
2.8. Sensitivity Assays
2.9. Specificity Assays
3. Results
3.1. Development of the ERA-CRISPR/Cas12a Method for HAdV55 Detection
3.2. Selection of the Optimal ERA Primer–Probe Set
3.3. Sensitivity of the ERA-CRISPR/Cas12a Assay
3.4. Specificity Assay
4. Discussion
5. Conclusions
Author Contributions
Funding
Institutional Review Board Statement
Informed Consent Statement
Data Availability Statement
Conflicts of Interest
References
- Rowe, W.P.; Huebner, R.J.; Gilmore, L.K.; Parrott, R.H.; Ward, T.G. Isolation of a cytopathogenic agent from human adenoids undergoing spontaneous degeneration in tissue culture. Proc. Soc. Exp. Biol. Med. 1953, 84, 570–573. [Google Scholar] [CrossRef]
- Jing, S.; Zhang, J.; Cao, M.; Liu, M.; Yan, Y.; Zhao, S.; Cao, N.; Ou, J.; Ma, K.; Cai, X.; et al. Household Transmission of Human Adenovirus Type 55 in Case of Fatal Acute Respiratory Disease. Emerg. Infect. Dis. 2019, 25, 1756–1758. [Google Scholar] [CrossRef] [PubMed]
- Shen, K.; Wang, Y.; Li, P.; Su, X. Clinical features, treatment and outcomes of an outbreak of type 7 adenovirus pneumonia in centralized residence young adults. J. Clin. Virol. 2022, 154, 105244. [Google Scholar] [CrossRef]
- Sandkovsky, U.; Vargas, L.; Florescu, D.F. Adenovirus: Current epidemiology and emerging approaches to prevention and treatment. Curr. Infect. Dis. Rep. 2014, 16, 416. [Google Scholar] [CrossRef]
- Seto, D.; Jones, M.S.; Dyer, D.W.; Chodosh, J. Characterizing, typing, and naming human adenovirus type 55 in the era of whole genome data. J. Clin. Virol. 2013, 58, 741–742. [Google Scholar] [CrossRef]
- Kajon, A.E.; de Jong, J.C.; Dickson, L.M.; Arron, G.; Murtagh, P.; Viale, D.; Carballal, G.; Echavarria, M. Molecular and serological characterization of species B2 adenovirus strains isolated from children hospitalized with acute respiratory disease in Buenos Aires, Argentina. J. Clin. Virol. 2013, 58, 4–10. [Google Scholar] [CrossRef]
- Hang, J.; Kajon, A.E.; Graf, P.C.F.; Berry, I.M.; Yang, Y.; Sanborn, M.A.; Fung, C.K.; Adhikari, A.; Balansay-Ames, M.S.; Myers, C.A.; et al. Human Adenovirus Type 55 Distribution, Regional Persistence, and Genetic Variability. Emerg. Infect. Dis. 2020, 26, 1497–1505. [Google Scholar] [CrossRef]
- Huang, G.; Yu, D.; Zhu, Z.; Zhao, H.; Wang, P.; Gray, G.C.; Meng, L.; Xu, W. Outbreak of febrile respiratory illness associated with human adenovirus type 14p1 in Gansu Province, China. Influenza Other Respir. Viruses 2013, 7, 1048–1054. [Google Scholar] [CrossRef] [PubMed]
- Lynch, J.P., 3rd; Kajon, A.E. Adenovirus: Epidemiology, Global Spread of Novel Serotypes, and Advances in Treatment and Prevention. Semin. Respir. Crit. Care Med. 2016, 37, 586–602. [Google Scholar] [CrossRef]
- Liu, M.C.; Xu, Q.; Li, T.T.; Wang, T.; Jiang, B.G.; Lv, C.L.; Zhang, X.A.; Liu, W.; Fang, L.Q. Prevalence of human infection with respiratory adenovirus in China: A systematic review and meta-analysis. PLoS Negl. Trop. Dis. 2023, 17, e0011151. [Google Scholar] [CrossRef] [PubMed]
- Chen, S.; Tian, X. Vaccine development for human mastadenovirus. J. Thorac. Dis. 2018, 10 (Suppl. 19), S2280–S2294. [Google Scholar] [CrossRef]
- Gao, H.W.; Wei, M.T.; Fan, H.J.; Ding, H.; Wei, W.; Liu, Z.Q.; Zhang, Y.Z.; Lv, Q.; Dong, W.L.; Hou, S.K. Dynamic Changes in Clinical Characteristics During an Outbreak of Human Adenovirus Serotype 55 in China. Disaster Med. Public Health Prep. 2018, 12, 464–469. [Google Scholar] [CrossRef]
- Yi, L.; Zou, L.; Lu, J.; Kang, M.; Song, Y.; Su, J.; Zhang, X.; Liang, L.; Ni, H.; Ke, C.; et al. A cluster of adenovirus type B55 infection in a neurosurgical inpatient department of a general hospital in Guangdong, China. Influenza Other Respir. Viruses 2017, 11, 328–336. [Google Scholar] [CrossRef] [PubMed]
- Bodulev, O.L.; Sakharov, I.Y. Isothermal Nucleic Acid Amplification Techniques and Their Use in Bioanalysis. Biochemistry 2020, 85, 147–166. [Google Scholar] [CrossRef] [PubMed]
- Chen, B.; Zhang, H.; Wang, H.; Li, S.; Zhou, P. Development and application of a dual ERA method for the detection of Feline Calicivirus and Feline Herpesvirus Type I. Virol. J. 2023, 20, 62. [Google Scholar] [CrossRef] [PubMed]
- Wang, S.; Yang, Y.; Wu, Z.; Li, H.; Li, T.; Sun, D.; Yuan, F. A review of the application of recombinase polymerase amplification, recombinase-aided amplification and enzymatic recombinase amplification in rapid detection of foodborne pathogens. Food Sci. 2023, 44, 297–305. [Google Scholar]
- Chen, M.; Zhou, Y.; Wang, S.; Luo, J.; Guo, W.; Deng, H.; Zheng, P.; Zhong, Z.; Su, B.; Zhang, D.; et al. Development of a Real-Time Enzymatic Recombinase Amplification Assay (RT-ERA) and an ERA Combined with a Lateral Flow Dipstick (LFD) Assay (ERA-LFD) for Enteric Microsporidian (Enterospora epinepheli) in Grouper Fishes. Biology 2025, 14, 330. [Google Scholar] [CrossRef]
- Li, J.; Wang, Y.; Hu, J.; Bao, Z.; Wang, M. An isothermal enzymatic recombinase amplification (ERA) assay for rapid and accurate detection of Enterocytozoon hepatopenaei infection in shrimp. J. Invertebr. Pathol. 2023, 197, 107895. [Google Scholar] [CrossRef]
- Zhang, L.; Liu, K.; Liu, M.; Hu, J.; Bao, Z.; Wang, M. Development of a real-time enzymatic recombinase amplification assay for rapid detection of infectious hypodermal and hematopoietic necrosis virus (IHHNV) in shrimp Penaeus vannamei. J. Invertebr. Pathol. 2023, 201, 108024. [Google Scholar] [CrossRef]
- Wiedenheft, B.; Sternberg, S.H.; Doudna, J.A. RNA-guided genetic silencing systems in bacteria and archaea. Nature 2012, 482, 331–338. [Google Scholar] [CrossRef]
- Chen, J.S.; Ma, E.; Harrington, L.B.; Da Costa, M.; Tian, X.; Palefsky, J.M.; Doudna, J.A. CRISPR-Cas12a target binding unleashes indiscriminate single-stranded DNase activity. Science 2018, 360, 436–439. [Google Scholar] [CrossRef]
- Li, S.Y.; Cheng, Q.X.; Liu, J.K.; Nie, X.Q.; Zhao, G.P.; Wang, J. CRISPR-Cas12a has both cis- and trans-cleavage activities on single-stranded DNA. Cell Res. 2018, 28, 491–493. [Google Scholar] [CrossRef] [PubMed]
- He, Y.; Yan, W.; Long, L.; Dong, L.; Ma, Y.; Li, C.; Xie, Y.; Liu, N.; Xing, Z.; Xia, W.; et al. The CRISPR/Cas System: A Customizable Toolbox for Molecular Detection. Genes 2023, 14, 850. [Google Scholar] [CrossRef] [PubMed]
- Kham-Kjing, N.; Ngo-Giang-Huong, N.; Tragoolpua, K.; Khamduang, W.; Hongjaisee, S. Highly Specific and Rapid Detection of Hepatitis C Virus Using RT-LAMP-Coupled CRISPR-Cas12 Assay. Diagnostics 2022, 12, 1524. [Google Scholar] [CrossRef]
- Pinchon, E.; Henry, S.; Leon, F.; Fournier-Wirth, C.; Foulongne, V.; Cantaloube, J.F. Rapid Detection of Measles Virus Using Reverse Transcriptase/Recombinase Polymerase Amplification Coupled with CRISPR/Cas12a and a Lateral Flow Detection: A Proof-of-Concept Study. Diagnostics 2024, 14, 517. [Google Scholar] [CrossRef] [PubMed]
- Li, Y.; Shi, Z.; Hu, A.; Cui, J.; Yang, K.; Liu, Y.; Deng, G.; Zhu, C.; Zhu, L. Rapid One-Tube RPA-CRISPR/Cas12 Detection Platform for Methicillin-Resistant Staphylococcus aureus. Diagnostics 2022, 12, 829. [Google Scholar] [CrossRef]
- Bai, J.; Lin, H.; Li, H.; Zhou, Y.; Liu, J.; Zhong, G.; Wu, L.; Jiang, W.; Du, H.; Yang, J.; et al. Cas12a-Based On-Site and Rapid Nucleic Acid Detection of African Swine Fever. Front. Microbiol. 2019, 10, 2830. [Google Scholar] [CrossRef]
- Cao, S.; Ma, D.; Xie, J.; Wu, Z.; Yan, H.; Ji, S.; Zhou, M.; Zhu, S. Point-of-care testing diagnosis of African swine fever virus by targeting multiple genes with enzymatic recombinase amplification and CRISPR/Cas12a System. Front. Cell Infect. Microbiol. 2024, 14, 1474825. [Google Scholar] [CrossRef]
- Lu, X.; Erdman, D.D. Quantitative real-time PCR assays for detection and type-specific identification of the endemic species C human adenoviruses. J. Virol. Methods 2016, 237, 174–178. [Google Scholar] [CrossRef]
- Hong, L.; Li, J.; Lv, J.; Chao, S.; Xu, Y.; Zou, D.; Du, J.; Lu, B.; Pang, Z.; Li, W.; et al. Development and evaluation of a loop-mediated isothermal amplification assay for clinical diagnosis of respiratory human adenoviruses emergent in China. Diagn. Microbiol. Infect. Dis. 2021, 101, 115401. [Google Scholar] [CrossRef]
- Ziros, P.G.; Kokkinos, P.A.; Allard, A.; Vantarakis, A. Development and Evaluation of a Loop-Mediated Isothermal Amplification Assay for the Detection of Adenovirus 40 and 41. Food Environ. Virol. 2015, 7, 276–285. [Google Scholar] [CrossRef]
- Qiu, F.Z.; Shen, X.X.; Zhao, M.C.; Zhao, L.; Duan, S.X.; Chen, C.; Qi, J.J.; Li, G.X.; Wang, L.; Feng, Z.S.; et al. A triplex quantitative real-time PCR assay for differential detection of human adenovirus serotypes 2, 3 and 7. Virol. J. 2018, 15, 81. [Google Scholar] [CrossRef]
- Wang, R.H.; Zhang, H.; Zhang, Y.; Li, X.N.; Shen, X.X.; Qi, J.J.; Fan, G.H.; Xiang, X.Y.; Zhan, Z.F.; Chen, Z.W.; et al. Development and evaluation of recombinase-aided amplification assays incorporating competitive internal controls for detection of human adenovirus serotypes 3 and 7. Virol. J. 2019, 16, 86. [Google Scholar] [CrossRef]
- Walsh, M.P.; Seto, J.; Jones, M.S.; Chodosh, J.; Xu, W.; Seto, D. Computational analysis identifies human adenovirus type 55 as a re-emergent acute respiratory disease pathogen. J. Clin. Microbiol. 2010, 48, 991–993. [Google Scholar] [CrossRef]
- Shahni, S.N.; Albogami, S.; Azmi, I.; Pattnaik, B.; Chaudhuri, R.; Dev, K.; Iqbal, J.; Sharma, A.; Ahmad, T. Dual Detection of Hepatitis B and C Viruses Using CRISPR-Cas Systems and Lateral Flow Assay. J. Nucleic Acids 2024, 2024, 8819834. [Google Scholar] [CrossRef]
- Zhou, Y.; Chen, Y.; Song, X.; Zhong, Z.; Guo, Q.; Jing, S.; Ayanniyi, O.O.; Lu, Z.; Zhang, Q.; Yang, C. Rapid and sensitive detection of Trichomonas gallinae using RAA-CRISPR-Cas12a. Vet. Parasitol. 2025, 334, 110412. [Google Scholar] [CrossRef] [PubMed]
- Samacoits, A.; Nimsamer, P.; Mayuramart, O.; Chantaravisoot, N.; Sitthi-Amorn, P.; Nakhakes, C.; Luangkamchorn, L.; Tongcham, P.; Zahm, U.; Suphanpayak, S.; et al. Machine Learning-Driven and Smartphone-Based Fluorescence Detection for CRISPR Diagnostic of SARS-CoV-2. ACS Omega 2021, 6, 2727–2733. [Google Scholar] [CrossRef]
- Yahyavi, I.; Edalat, F.; Pirbonyeh, N.; Letafati, A.; Sattarahmady, N.; Heli, H.; Moattari, A. Nucleic acid-based electrochemical biosensor for detection of influenza B by gold nanoparticles. J. Mol. Recognit. 2024, 37, e3073. [Google Scholar] [CrossRef]
- Zhu, X.; Kim, T.Y.; Kim, S.M.; Luo, K.; Lim, M.C. Recent Advances in Biosensor Development for the Detection of Viral Particles in Foods: A Comprehensive Review. J. Agric. Food Chem. 2023, 71, 15942–15953. [Google Scholar] [CrossRef] [PubMed]
- Bae, M.; Park, J.; Seong, H.; Lee, H.; Choi, W.; Noh, J.; Kim, W.; Shin, S. Rapid Extraction of Viral Nucleic Acids Using Rotating Blade Lysis and Magnetic Beads. Diagnostics 2022, 12, 1995. [Google Scholar] [CrossRef] [PubMed]







| Name | Sequence 5′-3′ |
|---|---|
| HAdV55BP | GAAGTTTCTGAAAAATGAATACATGCGA(FAM-dT)(THF)(BHQ-dT) TTGTATCCTTCTG(C3-SPACER) |
| F1 | GCCAACTACAACATCGGCTATCAGGGCTTC |
| F2 | CCAACTACAACATCGGCTATCAGGGCTTCT |
| F3 | TACAACATCGGCTATCAGGGCTTCTACATT |
| F4 | ACAACATCGGCTATCAGGGCTTCTACATTC |
| F5 | CAACATCGGCTATCAGGGCTTCTACATTCC |
| F6 | AACATCGGCTATCAGGGCTTCTACATTCCA |
| R1 | TAATTGACCTCATCAACCACCTGCCTGCTC |
| R2 | AAGTCTTTGTAATTGACCTCATCAACCACC |
| R3 | GAAGTCTTTGTAATTGACCTCATCAACCAC |
| R4 | TGAAGTCTTTGTAATTGACCTCATCAACCA |
| R5 | TTGAAGTCTTTGTAATTGACCTCATCAACC |
| R6 | GGCCTTGAAGTCTTTGTAATTGACCTCATC |
| CrRNA1 | UAAUUUCUACUAAGUGUAGAUAUUUUUCAGAAACUUCCAGC |
| CrRNA2 | UAAUUUCUACUAAGUGUAGAUUGAAAAAUGAAUACAUGCGA |
| Technique | Detection Time | Reaction Temperature | Sensitivity (Copies/Reaction) | Pathogen | Transducing Method |
|---|---|---|---|---|---|
| RT-qPCR | >1 h | Temperature-controlled cycle | 5 | HAdVs (serotypes 1, 2, 5 and 6) | Fluorescence |
| ERA-CRISPR/Cas12a | 30 min | 37~42 °C | 2.5 | HAdV55 (in this study) | Fluorescence |
| RPA | 25 min | 37 °C | 14 | HAdVs (serotypes 3, 7, 21, and 55) | Lateral flow |
| RAA | 1 h | 37~42 °C | 18 | HAdVs (serotypes 3 and 7) | Fluo-rescence |
| LAMP | 1 h | 69 °C | 10 | HAdVs (serotypes 7, 14, and 55) | Colorimetric |
Disclaimer/Publisher’s Note: The statements, opinions and data contained in all publications are solely those of the individual author(s) and contributor(s) and not of MDPI and/or the editor(s). MDPI and/or the editor(s) disclaim responsibility for any injury to people or property resulting from any ideas, methods, instructions or products referred to in the content. |
© 2025 by the authors. Licensee MDPI, Basel, Switzerland. This article is an open access article distributed under the terms and conditions of the Creative Commons Attribution (CC BY) license (https://creativecommons.org/licenses/by/4.0/).
Share and Cite
Zhang, L.; Luo, Z.; Wang, T.; Han, Y.; Ye, F.; Wang, C.; Chen, Y.; Zhang, J. An ERA-CRISPR/Cas12a Method for Highly Sensitive Detection of Human Adenovirus Type 55. Diagnostics 2025, 15, 2725. https://doi.org/10.3390/diagnostics15212725
Zhang L, Luo Z, Wang T, Han Y, Ye F, Wang C, Chen Y, Zhang J. An ERA-CRISPR/Cas12a Method for Highly Sensitive Detection of Human Adenovirus Type 55. Diagnostics. 2025; 15(21):2725. https://doi.org/10.3390/diagnostics15212725
Chicago/Turabian StyleZhang, Letian, Zhenghan Luo, Taiwu Wang, Yifang Han, Fuqiang Ye, Chunhui Wang, Yue Chen, and Jinhai Zhang. 2025. "An ERA-CRISPR/Cas12a Method for Highly Sensitive Detection of Human Adenovirus Type 55" Diagnostics 15, no. 21: 2725. https://doi.org/10.3390/diagnostics15212725
APA StyleZhang, L., Luo, Z., Wang, T., Han, Y., Ye, F., Wang, C., Chen, Y., & Zhang, J. (2025). An ERA-CRISPR/Cas12a Method for Highly Sensitive Detection of Human Adenovirus Type 55. Diagnostics, 15(21), 2725. https://doi.org/10.3390/diagnostics15212725

