Abstract
Background/Objectives: Non-invasive ventilation (NIV) has emerged as a possible first-step treatment to avoid invasive intubation in pediatric intensive care units (PICUs) due to its advantages in reducing intubation-associated risks. However, the timely identification of NIV failure is crucial to prevent adverse outcomes. This study aims to identify predictors of first-attempt NIV failure in PICU patients by testing various machine learning techniques and comparing their predictive abilities. Methods: Data were sourced from the TIPNet registry, which comprised patients admitted to 23 Italian Paediatric Intensive Care Units (PICUs). We selected patients between January 2010 and January 2024 who received non-invasive ventilation (NIV) as their initial approach to respiratory support. The study aimed to develop a predictive model for NIV failure, selecting the best Machine Learning technique, including Generalized Linear Models, Random Forest, Extreme Gradient Boosting, and Neural Networks. Additionally, an ensemble approach was implemented. Model performances were measured using sensitivity, specificity, AUROC, and predictive values. Moreover, the model calibration was evaluated. Results: Out of 43,794 records, 1861 admissions met the inclusion criteria, with 678 complete cases and 97 NIV failures. The RF model demonstrated the highest AUROC and sensitivity equal to 0.83 (0.64, 0.94). Base excess, weight, age, systolic blood pressure, and fraction of inspired oxygen were identified as the most predictive features. A check for model calibration ensured the model’s reliability in predicting NIV failure probabilities. Conclusions: This study identified highly sensitive models for predicting NIV failure in PICU patients, with RF as a robust option.
Keywords:
non-invasive ventilation; NIV; NIV failure; PICU; TIPNet; machine learning; predictive models; random forest 1. Introduction
Non-invasive ventilation (NIV) has garnered increasing attention in recent years as a possible first-step treatment to avoid invasive mechanical ventilation (IMV), particularly in pediatric intensive care units (PICUs) [,,]. NIV provides ventilatory support through external interfaces, such as masks or nasal prongs, in contrast to IMV, which requires endotracheal intubation or tracheostomy. Prolonged IMV, while often necessary, can lead to significant physical and psychological stress, extended recovery times, and increased healthcare costs []. In contrast, NIV offers several advantages by minimizing these risks. It preserves natural airway defenses and reduces the incidence of ventilator-induced lung injuries [,], such as ventilator-associated pneumonia (VAP) [], which is associated with high morbidity and mortality rates. NIV also minimizes upper respiratory airway trauma and reduces the need for sedative drugs, which were shown to negatively impact clinical outcomes []. These benefits make NIV an attractive option for managing both acute and chronic respiratory failure in critically ill patients.
However, despite its benefits, NIV can occasionally fail. Identifying patients at high risk of NIV failure could help ensure timely and appropriate interventions [,]. In fact, delaying the transition from NIV to IMV in patients who do not respond adequately may worsen their condition, prolong hypoxia, and increase the risk of mortality [,,,].
In the recent years, diverse studies were conducted to evaluate the risk factors associated to NIV failure [,,,,,,]. However, given the variety of etiologies underlying respiratory failure and the heterogeneity in clinical indications and responses to NIV [], a comprehensive risk assessment model could benefit to predict the likelihood of NIV failure: through combined (rather than single) consideration of the effects of risk factors, physicians could make more informed decisions about whether to initiate NIV or opt directly for IMV. With this purpose, few studies were conducted using a multivariable logistic predictive model. Some examples were given by Liengswangwong et al. in 2020, who conducted a retrospective cross-sectional, single-center study to develop a clinical scoring system to stratify patients with acute respiratory failure based on the likelihood of NIV failure []; Baker et al. in 2021, who performed a single-center retrospective cohort study of children admitted to a quaternary care PICU, who were treated with positive pressure delivered noninvasively, to predict NIV failure by adjusted logistic and Cox regressions []; and Stefan et al. in 2021, who developed and validated a clinical risk prediction score for NIV failure on a retrospective cohort from a multi-hospital electronic health record database, considering non-surgical patients [].
Nevertheless, statistical methods, such as machine learning techniques (MLTs), capable of handling a large number of data and interacting predictors may be appropriate. In the literature, there are some published papers such as those by Feng et al. in 2021, who proposed a dynamic prediction of late NIV failure in an intensive care unit, using a Time Updated Light Gradient Boosting Machine (TULightGBM) model []. Another example was given by Pappy et al. in 2022, who developed a predictive model for high-flow nasal cannula failure in an intensive care unit using a recurrent neural network with transfer learning []. Finally, Bose et al. in 2023, built a data-driven model for early prediction of the need for IMV on an observational cohort of 13,651 PICU patients using Extreme Gradient Boosting (XGBoost) and a convolutional neural network (CNN) [].
However, as most of the proposed predictive models are based on a single-center population, our study aimed to propose a systematic evaluation of standard MLTs on a large multi-center registry of patients, including several variables related to admission and the first hour in PICUs. Furthermore, since NIV failure is relatively rare during PICU stays [], comparing models in terms of sensitivity rather than accuracy should clarify the performance of MLTs in the context of low event rates [].
2. Materials and Methods
2.1. Data Source
PICU admission data were extracted from the Italian Network of Pediatric Intensive Care Units (TIPNet) registry. TIPNet is a research network involving more than 20 Italian PICUs. Study data were collected and managed using REDCap electronic data capture tools hosted at University of Padova []. REDCap (Research Electronic Data Capture) is a secure, web-based software platform designed to support data capture for research studies, providing (1) an intuitive interface for validated data capture; (2) audit trails for tracking data manipulation and export procedures; (3) automated export procedures for seamless data downloads to common statistical packages; and (4) procedures for data integration and interoperability with external sources. Data were anonymized at the moment of data extraction.
2.2. Study Population
We included patients admitted to 23 Italian PICUs in the period between 1 January 2010 and 1 January 2024. Inclusion criteria considered patients with respiratory failure as their principal diagnosis, aged 31 days to 16 years, who underwent NIV as their first ventilation technique at PICU admission. Patients who started NIV before PICU admission or in the days following admission were excluded as we only had predictive variables from the admission form and the first hour in PICU. Only the first admission of each patient was selected. In addition, we opted for listwise deletion technique to handle missing data, excluding cases with missing values in outcome or predictors—under the assumption of missing data completely at random (MCAR)—as the difference in the characteristics of the population with NIV failure between overall cases and complete cases only was not statistically significant.
2.3. Outcome and Predictors
The outcome of interest is the failure of the first NIV attempt during PICU stay defined as the initiation of IMV after the NIV attempt or the transition to a different NIV delivery device due to the presence of at least one of the following clinical conditions: (i) hypercapnia, (ii) hypoxia, (iii) excessive secretions, (iv) ineffective cough, (v) discomfort/agitation, and (vi) intolerance. Demographics (sex, age, ethnicity, weight), medical history (chronic disease, the presence of bronchiolitis/asthma), characteristics at presentation (Paediatric Overall Performance Category (POPC), priority of admission, state of consciousness, systolic blood pressure (SBP), the fraction of inspired oxygen (FiO2), the base excess), and methods of NIV administration (nasal mask, oronasal mask, nasal cannulas, helmet, full-face mask) were extracted and included as candidate predictors for the analysis. Prior to inclusion in the models, their correct structures were checked to have binary, categorical and continuous data as appropriate.
2.4. Ethic Committee Approval
All investigations were carried out following the Declaration of Helsinki. This study is part of a multiple research program based on TIPNet Registry, approved on 23 May 2014 by the Ethic Committee of Milano Area C—Niguarda Cà Granda Hospital (protocol number 269-052014).
2.5. Machine Learning Techniques
We constructed predictive models for NIV failure during the PICU stay using the most common standard ML approaches: (i) the generalized linear model (GLM) [], the random forest (RF) [], the XGBoost [], and neural network models (NNET) [].
Moreover, the ensemble (SuperLearner) algorithm was used, defined as the optimal weighted average of the previous models. Particularly, the algorithm applies the Nelder–Mead method via the optim function to minimize rank loss [].
The logistic regression, specified as Generalized Linear Model as follows, is known for its simplicity and interpretability [], where g(.) is the link function applied to the mean of the response variable (π), X is the matrix of predictors, and β the vector of coefficients:
The logistic regression is straightforward to understand and provides coefficients that can be easily interpreted to understand the relationship between predictors and the outcome. Additionally, logistic regression has a solid theoretical foundation and are widely used in medical research to predict the probability of clinical events. However, it assumes a linear relationship between predictors and the outcome, which may not capture complex patterns in the data unless explicitly modeled.
On the other hand, supervised learning methods such as RF and XGBoost can capture complex interactions and non-linear relationships between predictors and the outcome, even non explicitly modeled, but at the price of lower interpretability []. However, they provide measures of variable importance (VIMP) [], which can help understand the contribution of each predictor.
XGBoost (boosting algorithm) differs from RF (bagging algorithm) since it uses a gradient boosting framework that builds trees sequentially in such a way as to ensure that the errors of the previous tree are reduced; on the contrary, RF builds trees parallelly and combines results at the end of the process training of each classifier (Figure 1) []. Moreover, the XGBoots algorithm includes regularization as part of the learning objective [].

Figure 1.
Bagging vs. boosting algorithm.
The last MLT considered belongs to the family of deep learning models, namely the single hidden layer NNET. It is the simplest form of the NNET, in which there is only one layer of input nodes that send weighted inputs to a subsequent layer of receiving nodes [].
2.6. Model Optimization and Predicted Probability Threshold
The models were developed using 70% of the total sample (training set) and tested on the remaining 30% (test set). Subjects for the training and test sets were selected randomly while maintaining the proportion of events (NIV failures), with a seed set to ensure reproducibility.
Each model was optimized on the training set using 10-fold cross-validation. Specifically, the model was trained on 9 folds, with the remaining fold used as the validation set. This process was repeated 10 times, ensuring that each fold was used as the validation set once. The results of the models were averaged across all 10 iterations to provide a robust estimate.
The final model performances was then assessed on the test set. A threshold determined by Youden’s J statistic []—corresponding to the maximum sum of specificity and sensitivity—was used to assign each subject to the predicted class (NIV success or failure). Consequently, the confusion matrix of predicted versus observed probabilities was constructed for model evaluation.
2.7. Statistical Analysis
Descriptive statistics were reported as I-quartile/median/III-quartile for continuous variables and as percentages (absolute numbers) for categorical variables. In addition, Wilcoxon-type tests were performed for continuous variables and Pearson Chi-squared test or Fisher exact test, as appropriate, for categorical variables. The level of significance was set at 0.05.
The classification ability of the models was estimated by the sensitivity, specificity, negative (NPV), and positive (PPV) predictive values. The discrimination ability was estimated by the area under the receiver operating characteristics (AUROC), while the calibration was checked through calibration plot, the average (Eavg), the median (E50), and the 90th percentile(E90) of the absolute difference between predicted and observed probabilities. The performance measures were estimated together with the 95% confidence interval.
The VIMP measure, based on the Gini Impurity Index [], was reported. VIMP quantifies the contribution of each predictor in predicting the outcome, providing a ranking of the most important variables [].
The analyses were performed using R Statistical Software 4.3.0 (Vienna, Austria) [] with the SuperLearner [], randomForest [], and xgboost [], nnet [], caret [], pmcalibration [], and betacal [] packages.
3. Results
From 43,794 records, 1861 patients met the inclusion criteria, of whom 241 experienced NIV failure (13%) (Figure S1).
The most common NIV failure reason was hypoxia with 177 cases, followed by hypercapnia and excessive secretions with 122 and 42 cases, respectively (Table S1). Moreover, 233 (96.7%) patients with NIV failure at the first attempt required a subsequent intubation, and 31 (13%) died in the PICU, compared to seven children (0.4%) in the NIV success group.
Table 1 shows the demographic data, clinical history and characteristics at presentation of the sample according to outcome development.

Table 1.
Subjects’ baseline characteristics according to outcome development.
Table 2 reports the different devices used in the study population for NIV delivery. Oronasal masks, nasal cannulas and full-face (eyes included) devices appear more frequently in the NIV failure group compared to the NIV success group. On the other hand, nasal masks and helmets are similarly distributed among the groups.

Table 2.
Type of NIV devices.
Table 3 reports the NIV failure timing: 85 (35%) failures happened within the first 24 hours (h), 174 (72%) within 48 h, and 203 (84%) within 3 days after initiating NIV.

Table 3.
Days before the NIV failure (first attempt).
FiO2, priority of admission and the POPC, present the highest amount of missing values, 56.3%, 21.3%, and 9.8%, respectively. After listwise deletion of missing values, the original sample decreased to 678 observations with 97 NIV failure cases (14.3%). There was no statistical difference in NIV failure population characteristics between overall cases and complete cases only (Table S2). Table 4 shows the results of MLTs on the complete case dataset.

Table 4.
Comparison of the performance of the MLTs.
Figure 2 shows the VIMP (in percentage on the cumulative variable importance estimations) for the top 10 predictors in the RF model.

Figure 2.
VIMP (%) calculated by the RF model for the top 10 ranked predictors. Each bar is colored according to its importance: dark blue (higher importance), light blue (lower importance).
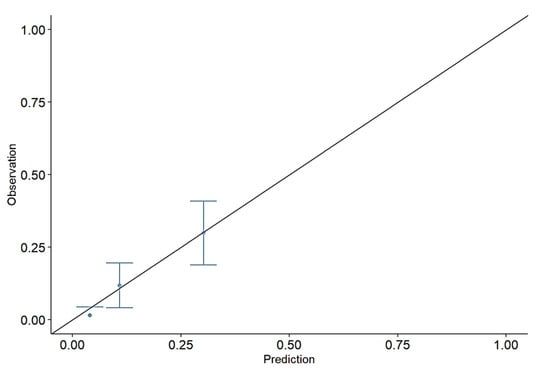
Finally, the calibration metrics were estimated by the RF model equal to Eavg = 0.2, E50 = 0.11, and E90 = 0.61. The corresponding calibration plot is reported in Figure 3.

Figure 3.
Calibration plot using predicted probabilities by RF model.
4. Discussion
4.1. Main Results
This study aimed to compare the performances of diverse MLTs in predicting first-attempt NIV failure during PICU stay in patients enrolled in the TIPNet registry, particularly in the context of low event rates. The models were evaluated based on their ability to accurately classify rare positive cases, with a priority given to higher sensitivity over AUROC. Among the various models tested, the RF model exhibited the highest sensitivity, recorded at 0.83 (95% CI: 0.64, 0.94), with a corresponding AUROC of 0.82 (95% CI: 0.74, 0.90). This sensitivity surpassed that reported by Bose et al. [] and matched the sensitivity reported by Feng et al. [], though it was achieved with a less complex model. Although the bagging algorithm may be considered less sophisticated than the boosting algorithm, RF outperformed XGBoost in this analysis. One possible explanation for this result could be the presence of a relatively low number of predictors (19); therefore, the regularization inherent in XGBoost could negatively rather than positively affect its ability to generalize when applied to data without overfitting problems (underfitting). A similar note can be made for the NNET model: the more complicated and sophisticated algorithm tends to generalize worse (overfitting) when applied to a relatively simple dataset.
From a clinical standpoint, the predictors were entered into the model, and all their additive and interaction effects were considered, thanks to the application of MLTs rather than the simple additive logistic regression model []. The VIMP highlights that base excess in the first hour, age at admission, weight at admission, SBP in the first hour, and FiO2 in the first hour are the predictors that contributed more to the NIV failure prediction. Interestingly, base excess, weight, age, and SBP showed no statistically significant differences in distributions between the failure and success groups, as shown in Table 1. However, they emerged as the most important variables in the VIMP analysis when included in the RF model. This underscores the importance of accounting for variable interactions and non-linear relationships in predicting outcomes for complex patients, such as children in the PICU setting. Nevertheless, base excess, SBP, and FiO2 stand out as both reasonable and literature-supported predictors of NIV failure [,,]. In fact, base excess is an indicator of metabolic status, with deviations often reflecting systemic acidosis and poor respiratory compensation []. Similarly, unstable SBP suggests a hemodynamic compromise [,], while elevated FiO2 requirements point to significant hypoxemia and respiratory strain [].
4.2. The Model Calibration
Although a classification model might seem more practical than a scoring model, it can be considered a “premature” choice because it overrides the decision maker’s role in determining the costs associated with incorrect decisions []. To achieve optimal decisions, it is essential to fully utilize available data, develop accurate predictions, and apply utility/cost functions to make final decisions (classification). Since end users have diverse utility functions, providing a classification model erroneously presumes that all users share the same utility function and that the one inferred by the classification system is universally applicable. Thus, the event probability estimator should always be provided to end users, such as PICU physicians. In light of this, along with the classification model, we have included the calibration assessment to ensure alignment between predicted and observed probabilities within the sample. Moreover, we suggest always checking for calibrated probabilities when making predictions on diverse target populations.
4.3. Study Limitation
The main limitation of this study is the absence of variables that report specific disease indicators such as respiratory rate, heart rate, presence of tachypnoea, and oxygen saturation from pulse oximetry []. This lack of detailed clinical data could affect the model’s ability to capture all relevant aspects of the patient’s condition. However, the good performance of the model achieved even when using only general predictors could provide a promising tool for risk stratification even in clinical settings with few resources and few technological advances []. Additionally, the fixed nature of the current risk score could be enhanced by incorporating time-dependent covariates, allowing for a dynamic assessment of the risk of events over time. This approach could provide a more nuanced and accurate prediction model, particularly for failures that occur after 24 h of initiating NIV [].
4.4. Final Remarks
The study successfully identified the most important predictors of NIV failure in TIPNET patients, with RF emerging as a particularly sensitive model. Moreover, the model calibration ensures that the predicted probabilities are reliable and clinically useful for stratifying the risk of NIV failure in the target population. However, future research should focus on incorporating more specific disease indicators and dynamic risk assessment methods to enhance model utility, improving the prevention of rare events in the PICU setting both at admission and during the follow-up.
Supplementary Materials
The following supporting information can be downloaded at: https://www.mdpi.com/article/10.3390/diagnostics14242857/s1, Table S1: Reasons of NIV failures (more than one reason per subject); Table S2: Comparison of NIV failure population characteristics between overall cases and complete cases only; Figure S1: Flowchart for patients’ selection.
Author Contributions
Conceptualization, M.V.C., G.L., M.D., A.W., A.A. and D.G.; Data curation, M.D., F.I., G.C. (Giovanna Chidini), E.P., C.N., E.Z., R.S., E.R., M.C.M., C.C., P.V., N.A., D.C., F.S., G.G., D.P., C.M., S.M., G.C. (Giosuè Chisari), I.R., A.W. and A.A.; Formal analysis, M.V.C.; Investigation, M.D., L.M., A.W. and A.A.; Methodology, M.V.C., G.L., L.M. and D.G.; Project administration, A.W., A.A. and D.G.; Resources, A.W., A.A. and D.G.; Software, M.V.C. and D.G.; Supervision, G.L.; Validation, G.L. and D.G.; Visualization, M.V.C.; Writing—original draft, M.V.C.; Writing—review and editing, M.V.C., G.L., M.D., L.M., A.W., A.A. and D.G. All authors have read and agreed to the published version of the manuscript.
Funding
This research received no external funding.
Institutional Review Board Statement
This study is part of a multiple research program based on TIPNet Registry, approved on 23 May 2014 by the Ethic Committee of Milano Area C—Niguarda Cà Granda Hospital (protocol number 269-052014).
Informed Consent Statement
Consent was waived since only anonymized data were collected.
Data Availability Statement
The data presented in this study are available upon request from the corresponding author.
Conflicts of Interest
The authors declare no conflicts of interest.
References
- Mortamet, G.; Emeriaud, G.; Jouvet, P.; Fauroux, B.; Essouri, S. Intérêt de la ventilation non invasive en réanimation pédiatrique: Doit-on espérer un autre niveau de preuve ? Arch. De Pédiatrie 2017, 24, 58–65. [Google Scholar] [CrossRef] [PubMed]
- Ganu, S.S.; Gautam, A.; Wilkins, B.; Egan, J. Increase in use of non-invasive ventilation for infants with severe bronchiolitis is associated with decline in intubation rates over a decade. Intensive Care Med. 2012, 38, 1177–1183. [Google Scholar] [CrossRef] [PubMed]
- Al-Mukhaini, K.S.; Al-Rahbi, N.M. Noninvasive Ventilation and High-Flow Nasal Cannulae Therapy for Children with Acute Respiratory Failure: An overview. Sultan Qaboos Univ. Med. J. 2018, 18, 278. [Google Scholar] [CrossRef] [PubMed]
- Al Sutari, M.M.; Abdalrahim, M.S.; Hamdan-Mansour, A.M.; Ayasrah, S.M. Pain among mechanically ventilated patients in critical care units. J. Res. Med. Sci. 2014, 19, 726–732. [Google Scholar]
- Ferreyro, B.L.; Angriman, F.; Munshi, L.; Del Sorbo, L.; Ferguson, N.D.; Rochwerg, B.; Ryu, M.J.; Saskin, R.; Wunsch, H.; da Costa, B.R.; et al. Association of Noninvasive Oxygenation Strategies With All-Cause Mortality in Adults With Acute Hypoxemic Respiratory Failure: A Systematic Review and Meta-analysis. JAMA 2020, 324, 57. [Google Scholar] [CrossRef]
- Van Wyk, L.; Applegate, J.T.; Salie, S. Ventilator-associated pneumonia in PICU—How are we doing? S. Afr. J. Crit. Care 2022, 38, 71–74. [Google Scholar] [CrossRef]
- Navarra, S.M.; Congedo, M.T.; Pennisi, M.A. Indications for Non-Invasive Ventilation in Respiratory Failure. Rev. Recent Clin. Trials 2021, 15, 251–257. [Google Scholar] [CrossRef]
- Baker, A.K.; Beardsley, A.L.; Leland, B.D.; Moser, E.A.; Lutfi, R.L.; Cristea, A.I.; Rowan, C.M. Predictors of Failure of Noninvasive Ventilation in Critically Ill Children. J. Pediatr. Intensive Care 2023, 12, 196–202. [Google Scholar] [CrossRef]
- Ongun, E.A.; Dursun, O.; Anıl, A.B.; Altuğ, Ü.; Temel Köksoy, Ö.; Akyıldız, B.N.; Özsoylu, S.; Kendirli, T.; Özcan, S.; Yıldızdaş, R.D.; et al. A multicentered study on efficiency of noninvasive ventilation procedures (SAFE-NIV). Turk. J. Med. Sci. 2021, 51, 1159–1171. Available online: https://journals.tubitak.gov.tr/medical/vol51/iss3/32 (accessed on 9 June 2024).
- Asif, H.; McNeer, J.L.; Ghanayem, N.S.; Cursio, J.F.; Kane, J.M. First-Line Respiratory Support for Children With Hematologic Malignancy and Acute Respiratory Failure. Crit. Care Explor. 2024, 6, e1076. [Google Scholar] [CrossRef]
- Rochwerg, B.; Brochard, L.; Elliott, M.W.; Hess, D.; Hill, N.S.; Nava, S.; Navalesi, P.; Antonelli, M.; Brozek, J.; Conti, G.; et al. Official ERS/ATS clinical practice guidelines: Noninvasive ventilation for acute respiratory failure. Eur. Respir. J. 2017, 50, 1602426. [Google Scholar] [CrossRef] [PubMed]
- Kang, B.J.; Koh, Y.; Lim, C.-M.; Huh, J.W.; Baek, S.; Han, M.; Seo, H.-S.; Suh, H.J.; Seo, G.J.; Kim, E.Y.; et al. Failure of high-flow nasal cannula therapy may delay intubation and increase mortality. Intensive Care Med. 2015, 41, 623–632. [Google Scholar] [CrossRef] [PubMed]
- Carroll, C.L.; Napolitano, N.; Pons-Òdena, M.; Iyer, N.P.; Korang, S.K.; Essouri, S.; on behalf of the Second Pediatric Acute Lung Injury Consensus Conference (PALICC-2) of the Pediatric Acute Lung Injury and Sepsis Investigators (PALISI) Network. Noninvasive Respiratory Support for Pediatric Acute Respiratory Distress Syndrome: From the Second Pediatric Acute Lung Injury Consensus Conference. Pediatr. Crit. Care Med. 2023, 24, S135–S147. [Google Scholar] [CrossRef]
- Varpaei, H.A.; Bayraktar, N.; Mohammadi, M. Predictors of Non-invasive Ventilation Failure and Associated Factors Among the COVID-19 Patients Admitted to Intensive Care Unit. Anesth. Pain Med. 2023, 13, e140847. Available online: https://brieflands.com/articles/aapm-140847 (accessed on 11 December 2024). [CrossRef] [PubMed]
- Aparecida Alves Grande, R.; Albuquerque Fernandes, G.; Pascoal Andrade, D.; Yumi Matsunaga, N.; De Oliveira, T.; Cruz Bresciani Almeida, C.; Cohen, M.A. Noninvasive ventilation in a pediatric ICU: Factors associated with failure. J. Bras. Pneumol. 2020, 46, e20180053. [Google Scholar] [CrossRef]
- Rowan, C.M.; Fitzgerald, J.C.; Agulnik, A.; Zinter, M.S.; Sharron, M.P.; Slaven, J.E.; Kreml, E.M.; Bajwa, R.P.; Mahadeo, K.M.; Moffet, J.; et al. Risk Factors for Noninvasive Ventilation Failure in Children Post-Hematopoietic Cell Transplant. Front. Oncol. 2021, 11, 653607. [Google Scholar] [CrossRef]
- Aydın, O.; Aydın, E.A.; Birbilen, A.Z.; Tekşam, Ö. Predictive factors of high-flow nasal cannula oxygen therapy failure in children with respiratory distress treated in a Pediatric Emergency Department. Turk. J. Pediatr. 2021, 63, 1012–1019. [Google Scholar] [CrossRef]
- Thomrongpairoj, P.; Tongyoo, S.; Tragulmongkol, W.; Permpikul, C. Factors predicting failure of noninvasive ventilation assist for preventing reintubation among medical critically ill patients. J. Crit. Care 2017, 38, 177–181. [Google Scholar] [CrossRef]
- Corrêa, T.D.; Sanches, P.R.; De Morais, L.C.; Scarin, F.C.; Silva, E.; Barbas, C.S.V. Performance of noninvasive ventilation in acute respiratory failure in critically ill patients: A prospective, observational, cohort study. BMC Pulm. Med. 2015, 15, 144. [Google Scholar] [CrossRef]
- Rodríguez, A.; Ferri, C.; Martin-Loeches, I.; Díaz, E.; Masclans, J.R.; Gordo, F.; Sole-Violán, J.; Bodí, M.; Avilés-Jurado, F.X.; Trefler, S.; et al. Risk Factors for Noninvasive Ventilation Failure in Critically Ill Subjects With Confirmed Influenza Infection. Respir. Care. 2017, 62, 1307–1315. [Google Scholar] [CrossRef]
- Liengswangwong, W.; Yuksen, C.; Thepkong, T.; Nakasint, P.; Jenpanitpong, C. Early detection of non-invasive ventilation failure among acute respiratory failure patients in the emergency department. BMC Emerg. Med. 2020, 20, 80. [Google Scholar] [CrossRef] [PubMed]
- Stefan, M.S.; Priya, A.; Pekow, P.S.; Steingrub, J.S.; Hill, N.S.; Lagu, T.; Raghunathan, K.; Bhat, A.G.; Lindenauer, P.K. A scoring system derived from electronic health records to identify patients at high risk for noninvasive ventilation failure. BMC Pulm. Med. 2021, 21, 52. [Google Scholar] [CrossRef] [PubMed]
- Feng, X.; Pan, S.; Yan, M.; Shen, Y.; Liu, X.; Cai, G.; Ning, G. Dynamic prediction of late noninvasive ventilation failure in intensive care unit using a time adaptive machine model. Comput. Methods Programs Biomed. 2021, 208, 106290. [Google Scholar] [CrossRef] [PubMed]
- Pappy, G.; Aczon, M.; Wetzel, R.; Ledbetter, D. Predicting High Flow Nasal Cannula Failure in an Intensive Care Unit Using a Recurrent Neural Network With Transfer Learning and Input Data Perseveration: Retrospective Analysis. JMIR Med. Inform. 2022, 10, e31760. [Google Scholar] [CrossRef]
- Bose, S.N.; Defante, A.; Greenstein, J.L.; Haddad, G.G.; Ryu, J.; Winslow, R.L. A data-driven model for early prediction of need for invasive mechanical ventilation in pediatric intensive care unit patients. Ajagbe SA, curatore. PLoS ONE 2023, 18, e0289763. [Google Scholar] [CrossRef]
- Lins, A.R.B.D.S.; Duarte, M.D.C.M.B.; Andrade, L.B.D. Noninvasive ventilation as the first choice of ventilatory support in children. Rev. Bras. Ter. Intensiv. 2019, 31, 333–339. Available online: https://criticalcarescience.org/article/noninvasive-ventilation-as-the-first-choice-of-ventilatory-support-in-children/ (accessed on 9 June 2024). [CrossRef]
- Chen, W.; Yang, K.; Yu, Z.; Shi, Y.; Chen, C.L.P. A survey on imbalanced learning: Latest research, applications and future directions. Artif. Intell. Rev. 2024, 57, 137. [Google Scholar] [CrossRef]
- Harris, P.A.; Taylor, R.; Thielke, R.; Payne, J.; Gonzalez, N.; Conde, J.G. Research electronic data capture (REDCap)—A metadata-driven methodology and workflow process for providing translational research informatics support. J. Biomed. Inform. 2009, 42, 377–381. [Google Scholar] [CrossRef]
- Gregori, D.; Petrinco, M.; Bo, S.; Rosato, R.; Pagano, E.; Berchialla, P.; Merletti, F. Using Data Mining Techniques in Monitoring Diabetes Care. The Simpler the Better? J. Med. Syst. 2011, 35, 277–281. [Google Scholar] [CrossRef]
- Chen, T.; Guestrin, C. XGBoost: A Scalable Tree Boosting System. In Proceedings of the 22nd ACM SIGKDD International Conference on Knowledge Discovery and Data Mining, San Francisco, CA, USA, 13–17 August 2016; ACM: San Francisco, CA, USA, 2016; pp. 785–794. Available online: https://dl.acm.org/doi/10.1145/2939672.2939785 (accessed on 9 June 2024).
- Zhou, Z.-H. Ensemble Methods: Foundations and Algorithms; Taylor & Francis: Boca Raton, FL, USA, 2012. [Google Scholar]
- Bishop, C.M. Neural Networks for Pattern Recognition; Clarendon Pr: Oxford, UK, 1996. [Google Scholar]
- Polley, E. SuperLearner: Super Learner Prediction. 2024. Available online: https://CRAN.R-project.org/package=SuperLearner (accessed on 9 June 2024).
- Wei, P.; Lu, Z.; Song, J. Variable importance analysis: A comprehensive review. Reliab. Eng. Syst. Saf. 2015, 142, 399–432. [Google Scholar] [CrossRef]
- Kuhn, M.; Johnson, K. Applied predictive modeling. In Corrected at 5th Printing; Springer: New York, NY, USA, 2016. [Google Scholar]
- Youden, W.J. Index for rating diagnostic tests. Cancer 1950, 3, 32–35. [Google Scholar] [CrossRef] [PubMed]
- Nembrini, S.; König, I.R.; Wright, M.N. The revival of the Gini importance? Bioinformatics 2018, 34, 3711–3718. [Google Scholar] [CrossRef] [PubMed]
- Williamson, B.D. vimp: Perform Inference on Algorithm-Agnostic Variable Importance. 2023. Available online: https://CRAN.R-project.org/package=vimp (accessed on 9 June 2024).
- R Core Team. R: A Language and Environment for Statistical Computing; Foundation for Statistical Computing: Vienna, Austria, 2013. [Google Scholar]
- Breiman, L.; Liaw, A. randomForest: Breiman and Cutler’s Random Forests for Classification and Regression. 2024. Available online: https://CRAN.R-project.org/package=randomForest (accessed on 9 June 2024).
- Chen, T. xgboost: Extreme Gradient Boosting. 2024. Available online: https://CRAN.R-project.org/package=xgboost (accessed on 9 June 2024).
- Ripley, B. nnet: Feed-Forward Neural Networks and Multinomial Log-Linear Models. 2023. Available online: https://CRAN.R-project.org/package=nnet (accessed on 9 June 2024).
- Kuhn, M. Building Predictive Models in R Using the caret Package. J. Stat. Soft 2008, 28, 1–26. Available online: http://www.jstatsoft.org/v28/i05/ (accessed on 9 June 2024). [CrossRef]
- Rhodes, S. Pmcalibration. 2023. Available online: https://CRAN.R-project.org/package=pmcalibration (accessed on 9 June 2024).
- Silva Filho, T.M.; Kull, M. Betacal: Beta Calibration. 2017. Available online: https://CRAN.R-project.org/package=DMwR2 (accessed on 9 June 2024).
- Cotter, J.; Schmiege, S.; Moss, A.; Ambroggio, L. How to Interact With Interactions: What Clinicians Should Know About Statistical Interactions. Hosp. Pediatr. 2023, 13, e319–e323. [Google Scholar] [CrossRef]
- Manera, U.; Torrieri, M.C.; Bellocchia, M.; Ribolla, F.; Canosa, A.; Vasta, R.; Mora, G.; Mattei, A.; Moglia, C.; Calvo, A.; et al. The Use of Blood Carbonate (HCO3−) and Base-Excess (SBE) in Predicting Non-Invasive Ventilation (NIV) Adaptation (P1-1.Virtual). Neurology 2022, 98, 2938. [Google Scholar] [CrossRef]
- Pons-Odena, M.; Palanca, D.; Modesto, V.; Esteban, E.; González-Lamuño, D.; Carreras, R.; Palomeque, A. SpO2/FiO2 as a predictor of non-invasive ventilation failure in children with hypoxemic respiratory insufficiency. J. Pediatr. Intensive Care 2015, 02, 111–119. [Google Scholar] [CrossRef]
- Langer, T.; Brusatori, S.; Gattinoni, L. Understanding base excess (BE): Merits and pitfalls. Intensive Care Med. 2022, 48, 1080–1083. [Google Scholar] [CrossRef]
- Otero, R.; Trujillo-Santos, J.; Cayuela, A.; Rodriguez, C.; Barron, M.; Martin, J.J.; Monrea, M. Haemodynamically unstable pulmonary embolism in the RIETE Registry: Systolic blood pressure or shock index? Eur. Respir. J. 2007, 30, 1111–1116. [Google Scholar] [CrossRef]
- Harrell, F. Classification vs. Prediction. Statistical Thinking. 2017. Available online: https://www.fharrell.com/post/classification/index.html (accessed on 9 June 2024).
- Housseine, N.; Rijken, M.J.; Weller, K.; Nassor, N.H.; Gbenga, K.; Dodd, C.; Debray, T.; Meguid, T.; Franx, A.; Grobbee, D.E.; et al. Development of a clinical prediction model for perinatal deaths in low resource settings. eClinicalMedicine 2022, 44, 101288. [Google Scholar] [CrossRef]
Disclaimer/Publisher’s Note: The statements, opinions and data contained in all publications are solely those of the individual author(s) and contributor(s) and not of MDPI and/or the editor(s). MDPI and/or the editor(s) disclaim responsibility for any injury to people or property resulting from any ideas, methods, instructions or products referred to in the content. |
© 2024 by the authors. Licensee MDPI, Basel, Switzerland. This article is an open access article distributed under the terms and conditions of the Creative Commons Attribution (CC BY) license (https://creativecommons.org/licenses/by/4.0/).