Issues with Cefiderocol Testing: Comparing Commercial Methods to Broth Microdilution in Iron-Depleted Medium—Analyses of the Performances, ATU, and Trailing Effect According to EUCAST Initial and Revised Interpretation Criteria
Abstract
1. Introduction
2. Materials and Methods
2.1. Study Sample
2.2. In Vitro Testing
2.3. Interpretation
2.4. Molecular Analyses
3. Results
3.1. Cefiderocol Susceptibility
3.2. ComASP®, DD, and MTS Performance Evaluation
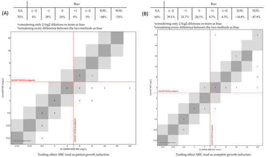
3.3. Trailing Effect
3.4. ATU Analyses and Comparison Between Old and New Breakpoints
3.5. Carbapenemase Genes
4. Discussion
Study Limitations and Strengths
Author Contributions
Funding
Institutional Review Board Statement
Informed Consent Statement
Data Availability Statement
Acknowledgments
Conflicts of Interest
List of Abbreviations
| AST | antimicrobic susceptibility testing |
| ATCC | American type culture collection |
| ATU | area of technical uncertainty |
| BAL | broncho-alveolar lavage |
| CA | categorical agreement |
| CRAB | carbapenem-resistant Acinetobacter baumannii |
| DD | disk diffusion |
| DDT-PA | difficult-to-treat Pseudomonas aeruginosa |
| EA | essential agreement |
| EUCAST | European committee on antimicrobial susceptibility testing |
| FDA | food and drug administration |
| FDC | cefiderocol |
| ID-BMD | broth microdilution in iron-depleted cation-adjusted Mueller Hinton broth |
| IMP | imipenemase |
| KPC | Klebsiella pneumoniae carbapenemase |
| MALDI-TOF | matrix-assisted laser desorption ionization-time of flight |
| MDR | multi-drug-resistant |
| ME | major error |
| MIC | minimum inhibitory concentration |
| MTS | MIC test strip |
| NDM | New-Delhi metallo-β-lactamase |
| PK/PD | pharmacokinetic/pharmacodynamic |
| VIM | Verona integron–encoded metallo-β-lactamase |
| VME | very major error |
References
- World Health Organization. Home. Antimicrobial Resistance. Available online: https://www.who.int/news-room/fact-sheets/detail/antimicrobial-resistance (accessed on 6 May 2024).
- Bonnin, R.A.; Emeraud, C.; Jousset, A.B.; Naas, T.; Dortet, L. Comparison of DD, MIC test strip and broth microdilution methods for cefiderocol susceptibility testing on carbapenem-resistant enterobacterales. Clin. Microbiol. Infect. 2022, 28, 1156.e1–1156.e5. [Google Scholar] [CrossRef] [PubMed]
- Stracquadanio, S.; Torti, E.; Longshaw, C.; Henriksen, A.S.; Stefani, S. In vitro activity of cefiderocol and comparators against isolates of Gram-negative pathogens from a range of infection sources: SIDERO-WT-2014-2018 studies in Italy. J. Glob. Antimicrob. Resist. 2021, 25, 390–398. [Google Scholar] [CrossRef] [PubMed]
- Marino, A.; Augello, E.; Stracquadanio, S.; Bellanca, C.M.; Cosentino, F.; Spampinato, S.; Cantarella, G.; Bernardini, R.; Stefani, S.; Cacopardo, B.; et al. Unveiling the Secrets of Acinetobacter baumannii: Resistance, Current Treatments, and Future Innovations. Int. J. Mol. Sci. 2024, 25, 6814. [Google Scholar] [CrossRef] [PubMed]
- Jeannot, K.; Gaillot, S.; Triponney, P.; Portets, S.; Pourchet, V.; Fournier, D.; Potron, A. Performance of the Disc Diffusion Method, MTS Gradient Tests and Two Commercially Available Microdilution Tests for the Determination of Cefiderocol Susceptibility in Acinetobacter spp. Microorganisms 2023, 11, 1971. [Google Scholar] [CrossRef] [PubMed]
- Simner, P.J.; Patel, R. Cefiderocol Antimicrobial Susceptibility Testing Considerations: The Achilles’ Heel of the Trojan Horse? J. Clin. Microbiol. 2020, 59, e00951-20. [Google Scholar] [CrossRef] [PubMed]
- Potter, R.F.; A Wallace, M.; Muenks, C.E.; Alvarado, K.; Yarbrough, M.L.; Burnham, C.-A.D. Evaluation of Variability in Interpretation of DD Testing for Cefiderocol Using Different Brands of Mueller-Hinton Agar. J. Appl. Lab. Med. 2023, 8, 523–534. [Google Scholar] [CrossRef] [PubMed]
- Bianco, G.; Boattini, M.; Comini, S.; Gaibani, P.; Cavallo, R.; Costa, C. Performance evaluation of Bruker UMIC® microdilution panel and disc diffusion to determine cefiderocol susceptibility in Enterobacterales, Acinetobacter baumannii, Pseudomonas aeruginosa, Stenotrophomonas maltophilia, Achromobacter xylosoxidans and Burkolderia species. Eur. J. Clin. Microbiol. Infect. Dis. 2024, 43, 559–566. [Google Scholar] [CrossRef] [PubMed]
- Bovo, F.; Lazzarotto, T.; Ambretti, S.; Gaibani, P. Comparison of Broth Microdilution, DD and Strip Test Methods for Cefiderocol Antimicrobial Susceptibility Testing on KPC-Producing Klebsiella pneumoniae. Antibiotics 2023, 12, 614. [Google Scholar] [CrossRef] [PubMed]
- Bianco, G.; Boattini, M.; Comini, S.; Banche, G.; Cavallo, R.; Costa, C. Disc Diffusion and ComASP® Cefiderocol Microdilution Panel to Overcome the Challenge of Cefiderocol Susceptibility Testing in Clinical Laboratory Routine. Antibiotics 2023, 12, 604. [Google Scholar] [CrossRef] [PubMed]
- Stracquadanio, S.; Nicolosi, A.; Privitera, G.F.; Massimino, M.; Marino, A.; Bongiorno, D.; Stefani, S. Role of transcriptomic and genomic analyses in improving the comprehension of cefiderocol activity in Acinetobacter baumannii. mSphere 2024, 9, e0061723. [Google Scholar] [CrossRef] [PubMed]
- Stracquadanio, S.; Bonomo, C.; Marino, A.; Bongiorno, D.; Privitera, G.F.; Bivona, D.A.; Mirabile, A.; Bonacci, P.G.; Stefani, S. Acinetobacter baumannii and Cefiderocol, between Cidality and Adaptability. Microbiol. Spectr. 2022, 10, e0234722. [Google Scholar] [CrossRef] [PubMed]
- Hackel, M.A.; Tsuji, M.; Yamano, Y.; Echols, R.; Karlowsky, J.A.; Sahm, D.F. Reproducibility of broth microdilution MICs for the novel siderophore cephalosporin, cefiderocol, determined using iron-depleted cation-adjusted Mueller-Hinton broth. Diagn. Microbiol. Infect. Dis. 2019, 94, 321–325. [Google Scholar] [CrossRef] [PubMed]
- The European Committee on Antimicrobial Susceptibility Testing. Breakpoint Tables for Interpretation of MICs and Zone Diameters; Version 14.0; EUCAST: Växjö, Sweden, 2024. [Google Scholar]
- EUCAST Guidance Document on Broth Microdilution Testing of Cefiderocol. Available online: https://www.eucast.org/fileadmin/src/media/PDFs/EUCAST_files/Guidance_documents/Cefiderocol_MIC_testing_EUCAST_guidance_document_January_2024.pdf (accessed on 28 August 2024).
- European Committee on Antimicrobial Susceptibility Testing. Break-Points for Cefiderocol from EUCAST: Addendum (May 2020) to EUCAST Break-Point Tables v. 10.0: Breakpoints to be Included in EUCAST Breakpoint Tables v. 11.0; EUCAST: Växjö, Sweden, 2021. [Google Scholar]
- Clinical Laboratory Testing and In Vitro Diagnostic Test Systems—Susceptibility Testing of Infectious Agents and Evaluation of Performance of Antimicrobial Susceptibility Test Devices—Part 2: Evaluation of Performance of Antimicrobial Susceptibility Test Devices Cefiderocol Susceptibility. Available online: https://www.iso.org/obp/ui/en/#iso:std:iso:20776:-2:ed-2:v1:en (accessed on 28 August 2024).
- PLISA Health Information Platform for the Americas. Antimicrobial Resistance. External Quality Assessment. Available online: https://www3.paho.org/data/index.php/en/mnu-topics/antimicrobial-resistance/578-amr-eva-en.html#:~:text=Major%20error%20(Ma)%3A%20classification,resistant%20strain%20(false%20susceptibility) (accessed on 28 August 2024).
- Matuschek, E.; Longshaw, C.; Takemura, M.; Yamano, Y.; Kahlmeter, G. Cefiderocol: EUCAST criteria for disc diffusion and broth microdilution for antimicrobial susceptibility testing. J. Antimicrob. Chemother. 2022, 77, 1662–1669. [Google Scholar] [CrossRef] [PubMed]
- Emeraud, C.; Gonzalez, C.; Dortet, L. Comparison of ComASP® and UMIC® methods with the reference method for cefiderocol susceptibility testing on carbapenem-resistant Enterobacterales. J. Antimicrob. Chemother. 2023, 78, 1800–1801. [Google Scholar] [CrossRef] [PubMed]
- Devoos, L.; Biguenet, A.; Rousselot, J.; Bour, M.; Plésiat, P.; Fournier, D.; Jeannot, K. Performance of discs, sensititre EUMDROXF microplates and MTS gradient strips for the determination of the susceptibility of multidrug-resistant Pseudomonas aeruginosa to cefiderocol. Clin. Microbiol. Infect. 2023, 29, e1–e652. [Google Scholar] [CrossRef] [PubMed]
- Morris, C.P.; Bergman, Y.; Tekle, T.; Fissel, J.A.; Tamma, P.D.; Simner, P.J. Cefiderocol Antimicrobial Susceptibility Testing against Multidrug-Resistant Gram-Negative Bacilli: A Comparison of DD to Broth Microdilution. J. Clin. Microbiol. 2020, 59, e01649-20. [Google Scholar] [CrossRef]
- Kolesnik-Goldmann, N.; Seth-Smith, H.M.B.; Haldimann, K.; Imkamp, F.; Roloff, T.; Zbinden, R.; Hobbie, S.N.; Egli, A.; Mancini, S. Comparison of DD, E-Test, and Broth Microdilution Methods for Testing In Vitro Activity of Cefiderocol in Acinetobacter baumannii. Antibiotics 2023, 12, 1212. [Google Scholar] [CrossRef]
- FDA 510(k) Substantial Equivalence Determination Decision Summary. Assay Only. Available online: https://www.accessdata.fda.gov/cdrh_docs/reviews/K230479.pdf (accessed on 28 August 2024).





| Number Tested | Species |
|---|---|
| 2 | Citrobacter freundii complex |
| 3 | Citrobacter koseri |
| 5 | Enterobacter cloacae |
| 10 | Escherichia coli |
| 4 | Klebsiella aerogenes |
| 11 | Klebsiella pneumoniae |
| 4 | Morganella morganii |
| 6 | Proteus mirabilis |
| 2 | Serratia marcescens |
| 25 | Acinetobacter baumannii |
| 50 | Pseudomonas aeruginosa |
| 9 | Stenotrophomonas maltophilia |
| 131 | TOT |
| ID-BMD | ComASP® | MTS | |||||||
|---|---|---|---|---|---|---|---|---|---|
| Species | MIC Range [mg/L] | MIC50 [mg/L] | MIC90 [mg/L] | MIC Range [mg/L] | MIC50 [mg/L] | MIC90 [mg/L] | MIC Range [mg/L] | MIC50 [mg/L] | MIC90 [mg/L] |
| Enterobacterales | 0.03–4 | 0.125 | 1 | 0.06–2 | 0.25 | 0.5 | |||
| C. freundii complex | 0.06 | 0.06–0.125 | |||||||
| C. koseri | 0.03–0.06 | 0.125–0.25 | |||||||
| E. cloacae | 0.06–0.25 | 0.125–0.25 | |||||||
| E. coli | 0.06–1 | 0.06–0.5 | |||||||
| K. aerogenes | 0.03–1 | 0.125–2 | |||||||
| K. pneumoniae | 0.25–4 | 0.25–1 | |||||||
| M. morganii | 0.03–0.06 | 0.125–0.5 | |||||||
| P. mirabilis | 0.03–0.125 | 0.06–0.25 | |||||||
| S. marcescens | 0.03–0.125 | 0.06–0.25 | |||||||
| A. baumannii (partial growth inhibition) | 0.5–>32 | 4 | 8 | 0.125–4 | 1 | 2 | |||
| A. baumannii (complete growth inhibition) | 0.5–>32 | 8 | 32 | 0.25–128 | 4 | 128 | |||
| P. aeruginosa | 0.03–1 | 0.125 | 0.5 | 0.03–1 | 0.125 | 0.25 | <0.016–0.5 | 0.064 | 0.38 |
Disclaimer/Publisher’s Note: The statements, opinions and data contained in all publications are solely those of the individual author(s) and contributor(s) and not of MDPI and/or the editor(s). MDPI and/or the editor(s) disclaim responsibility for any injury to people or property resulting from any ideas, methods, instructions or products referred to in the content. |
© 2024 by the authors. Licensee MDPI, Basel, Switzerland. This article is an open access article distributed under the terms and conditions of the Creative Commons Attribution (CC BY) license (https://creativecommons.org/licenses/by/4.0/).
Share and Cite
Stracquadanio, S.; Nicolosi, A.; Marino, A.; Calvo, M.; Stefani, S. Issues with Cefiderocol Testing: Comparing Commercial Methods to Broth Microdilution in Iron-Depleted Medium—Analyses of the Performances, ATU, and Trailing Effect According to EUCAST Initial and Revised Interpretation Criteria. Diagnostics 2024, 14, 2318. https://doi.org/10.3390/diagnostics14202318
Stracquadanio S, Nicolosi A, Marino A, Calvo M, Stefani S. Issues with Cefiderocol Testing: Comparing Commercial Methods to Broth Microdilution in Iron-Depleted Medium—Analyses of the Performances, ATU, and Trailing Effect According to EUCAST Initial and Revised Interpretation Criteria. Diagnostics. 2024; 14(20):2318. https://doi.org/10.3390/diagnostics14202318
Chicago/Turabian StyleStracquadanio, Stefano, Alice Nicolosi, Andrea Marino, Maddalena Calvo, and Stefania Stefani. 2024. "Issues with Cefiderocol Testing: Comparing Commercial Methods to Broth Microdilution in Iron-Depleted Medium—Analyses of the Performances, ATU, and Trailing Effect According to EUCAST Initial and Revised Interpretation Criteria" Diagnostics 14, no. 20: 2318. https://doi.org/10.3390/diagnostics14202318
APA StyleStracquadanio, S., Nicolosi, A., Marino, A., Calvo, M., & Stefani, S. (2024). Issues with Cefiderocol Testing: Comparing Commercial Methods to Broth Microdilution in Iron-Depleted Medium—Analyses of the Performances, ATU, and Trailing Effect According to EUCAST Initial and Revised Interpretation Criteria. Diagnostics, 14(20), 2318. https://doi.org/10.3390/diagnostics14202318

