The Diagnostic Accuracy of Colon Capsule Endoscopy in Inflammatory Bowel Disease—A Systematic Review and Meta-Analysis
Abstract
1. Introduction
2. Methods
2.1. Eligibility Criteria
2.2. Information Sources
2.3. Study Selection
- Comparison between CCE (including both CCE1 or CCE2 or Crohn’s capsule only for terminal ileal and colonic findings) and IC as the comparator arm.
- The interval between CCE and subsequent IC must be within two weeks.
- Any colonic inflammation in non-polypoidal pathologies.
- A prospective study with >10 participants.
- Use detection or diagnosis of these pathologies as the predominant study endpoint.
2.4. Data Compilation
2.5. Risk of Bias
2.6. Data Synthesis and Statistical Analysis
2.7. Subgroup Analysis and Sensitivity Analysis
2.8. Publication Bias
3. Results
3.1. Literature Search
3.2. Study Characteristics
3.3. Bowel Cleansing and Capsule Completion Rates
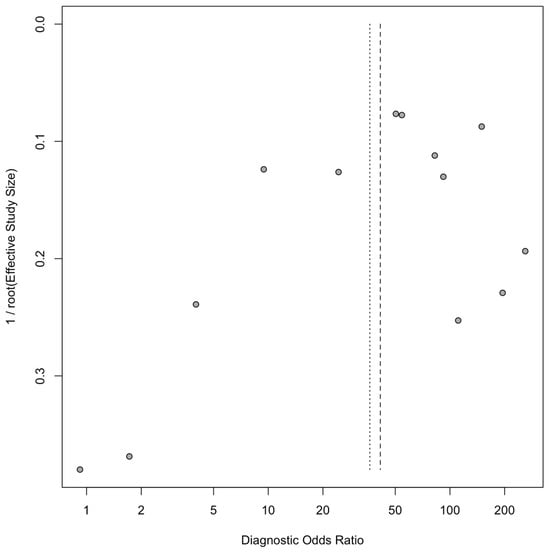
3.4. Risk-of-Bias and Publication Bias Assessment
3.5. Diagnostic Accuracy
4. Discussion
5. Conclusions
Author Contributions
Funding
Institutional Review Board Statement
Informed Consent Statement
Data Availability Statement
Conflicts of Interest
Appendix A
| Domain | Search Terms |
|---|---|
| Population | Patients including both paediatric and adult participants; patients referred after positive FIT/faecal calprotectin or imaging testing; patients referred with lower gastrointestinal symptoms or assessment of their IBD. |
| Intervention | Colon capsule endoscopy (CCE)—Pillcam Colon Capsule 1 and 2 |
| Comparison | Optical endoscopy: Ileocolonoscopy (IC) and transanal enteroscopy |
| Outcome | Inflammatory bowel disease |
| Ulcerative colitis | |
| Crohn’s colitis | |
| Diverticulitis | |
| Infective colitis | |
| Microscopic colitis | |
| Autoimmune/checkpoint inhibitor colitis | |
| Lower GI haemorrhage/bleeding | |
| Haemorrhoids | |
| Telangiectasia | |
| Radiation colitis |
| Ulcerative Colitis Publications | ||||||||
|---|---|---|---|---|---|---|---|---|
| Author and Location | Year | Study | UC and Comparator | Sample Size Included/Enrolled (Paediatric/Adult) | Accuracy | UC/CD Score | Correlation Coefficients for Disease Activity Detection | Disease Extent Agreement: |
| Ye C. A. et al., China [28] | 2013 | Prospective single-centre | UC Ileocolonoscopy | 25/25 (adult) | 100% sensitivity | Mayo score | Cohen κ = 0.751 | - |
| Juan-Acosta et al., Spain [29] | 2014 | Prospective single-centre | UC Ileocolonoscopy | 42/42 (adult) | Sensitivity 77.8% Specificity 95.8% PPV 93.3% NPV 85.19% | Mayo score | Cohen κ = 0.79 (CI: 0.62–0.96) | κ = 0.71 (CI: 0.52–0.90) |
| Shi et al., Hong Kong [30] | 2017 | Prospective single-centre | UC Ileocolonoscopy | 108/150 (adult) | Sensitivity 94% Specificity 71% PPV 58% NPV 96% | Mayo and UCEIS scores | Intraclass correlation coefficient ICC > 0.8 Bleeding > 0.9 Ulcers > 0.8 Vascular pattern 0.77–0.95 | - |
| Adler et al., Isreal [31] | 2019 | Prospective multicentre | UC Ileocolonoscopy | 23/30 (adult) | Data available to calculate accuracy | Mayo score | Kappa coefficient κ = 0.86 Percent agreement = 95.7% | κ = 0.42 |
| Oliva et al., Italy [32] | 2014 | Prospective single-centre | UC Ileocolonoscopy | 29/30 (paediatric) | Sensitivity 96% (CI 79–99) Specificity 100% (CI 61–100) PPV 100% (CI 85–100) NPV 85% (CI 49–97) Accuracy 97% | Matts score | Cohen κ > 0.86 | Paris classification E1 sensitivity 67% and specificity 100% E2 sensitivity 100% and specificity 95% E3 sensitivity 86% and specificity 100% E4 sensitivity 100% and specificity 100% |
| Sung et al., Hong Kong [33] | 2012 | Prospective multicentre | UC Ileocolonoscopy | 96/100 (adult) | Sensitivity 89% Specificity 75% PPV 93% NPV 65% | - | - | - |
| Meister et al., Italy [34] | 2013 | Prospective single-centre | UC Ileocolonoscopy | 13/13 (adult) | Data available to calculate accuracy | Rachmilewitz score | Kruskal–Wallis test comparing OC and CCE | - |
| Hosoe et al., Japan [35] | 2013 | Prospective single-centre | UC Ileocolonoscopy | 29/30 (adult) | - | Matts endoscopic scores | Spearman’s rank coefficient ρ = 0.797 | Caecum ρ = 0.862 Ascending ρ = 0.906 Transverse ρ = 0.778 Left side ρ = 0.765 Distal left side ρ = 0.673 |
| Hosoe et al., Japan [36] | 2018 | Prospective single-centre | UC Ileocolonoscopy | 22/38 (adult) | - | CSUC UCEIS | Spearman rank correlation 0.55 (CI 0.38–0.72) | - |
| Crohn’s Disease Publications | ||||||||
|---|---|---|---|---|---|---|---|---|
| Author and Location | Year | Study | CD and Comparator | Sample Size Included/Enrolled (Paediatric/Adult) | Accuracy | UC/CD Score | Severity | Segmental Disease/Characteristics Correlation |
| Oliva et al., Italy [37] | 2016 | Prospective single-centre | CD Ileocolonoscopy | 40/40 (paediatric) | Colon: Sensitivity 89%, specificity 100%, PPV 100%, and NPV 91% TI: Sensitivity 94%, specificity 100%, PPV 100%, and NPV 96% | SES-CD Lewis score | Interobserver agreement in disease activity within CCE only Cohen κ = 0.91 | - |
| Brodersen et al., Denmark [38] | 2022 | Prospective multicentre | CD Ileocolonoscopy | 130/153 (43 CCE2 and 90 Crohn’s capsule) (adult) | Colon: Sensitivity 75%, specificity 93%, PPV 71%, and NPV 93% TI: Sensitivity 96.6%, specificity 71.8%, PPV 98.7%, and NPV 96% | SES-CD Lewis score | Spearman r = 0.82 between CCE and IC | - |
| Hausmann et al., Germany [39] | 2017 | Prospective multicentre | CD Ileocolonoscopy | 12/22 (adult) | Ileocolon post-surgical recurrence: Sensitivity 83% Specificity 100% PPV 100% NPV 90% | Rutgeerts score | - | - |
| Leighton et al., USA [46] | 2017 | Prospective multicentre | CD Ileocolonoscopy | 66/114 (adult) | Diagnostic yield per subject 83.3%. Diagnostic yield per bowel segment 40.6% Detection rate: colon—34.4%, TI—54% | - | Kappa coefficient for agreement Per-subject yield κ = 0.384 Per-segment yield κ = 0.578 | - |
| Bruining et al., USA [40] | 2020 | Prospective multicentre | CD Ileocolonoscopy | 99/158 (adult) | Colon: Sensitivity 83%, specificity 88%, PPV 70%, and NPB 93% TI: Sensitivity 94%, specificity 81%, PPV 86%, and NPV 91% | SES-CD Lewis score | spearman’s coefficient and kappa coefficient for agreement TI κ = 0.579 (p < 0.001) COLON κ = 0.440 (p < 0.001) | - |
| Yamada et al., Japan [41] | 2021 | Prospective single-centre | CD Transanal double-balloon enteroscopy | 20/22 (adult) | Per lesion: Colon: Sensitivity 85.7%, specificity 78.3%, PPV 32%, and NPV 97.8% TI: Sensitivity 90.2%, specificity 76.6%. | SES-CD CECDAI | - | - |
| Papalia et al., Australia [42] | 2021 | Prospective single-centre | CD Ileocolonoscopy | 47/47 (adult) | - | SES-CD | overall agreement between CCE and IC κ = 0.49 | Disease activity between CCE and IC: TI r = 0.77 (p = 0.001) Ascending r = 0.38 (p = 0.01) Transverse r = 0.43 (p = 0.01) Descending r = 0.46 (p = 0.001) Rectum r = 0.16 (p = 0.38) |
| Brodersen et al., Denmark (within the diagnostic study 2022) [43] | 2023 | Prospective multicentre | CD Ileocolonoscopy | 99/99 (adult) | - | SES-CD | SES-CD score: Overall agreement ICC = 0.83 Spearman correlation coefficient, r = 0.78, p < 0.001) | Cohen κ for - ulcer size (κ = 0.46, p < 0.001); - ulcerated surface κ = 0.34, p < 0.001); - affected surface κ = 43, p < 0.001) |
| Hall et al., Ireland [47] | 2015 | Prospective single-centre | CD Ileocolonoscopy | 10/10 (adult) | - | SES-CD | Interobserver agreement overall detection r = 0.6667, p < 0.035) | - |
| D’Haens et al. [44] | 2015 | Prospective multicentre | CD Ileocolonoscopy | 40/40 | Colon: Sensitivity 86%, specificity 40% TI: Data available to calculate the accuracy | SES-CD CDEIS CDAI GELS | Interobserver ICC: Overall = 0.65 Ileum = 0.73 Colon = 0.53 (average) | Interobserver ICC: Caecum = 0.6 Right colon = 0.61 Left colon = 0.43 Rectum = 0.49 |
| Additional Information from All Studies | ||||||||
|---|---|---|---|---|---|---|---|---|
| Author | Capsule Type | Bowel Preperation | Volume | Prokinetic | Booster | Volume | Bowel Cleansing Assessment | Completion Rate |
| Ismail M. et al., 2021 [53] | Pillcam Colon 2 | PEG | 2 L | - | Phospho-soda and gastrograffin | - | 38% Good 55% Adequate 8% Inadequate | 76% (50/66) |
| Ye C. A. et al., 2013 [28] | Pillcam Colon 1 | PEG | 2 L | - | Phospho-soda | - | 80% Adequate | 100% |
| Akyuz U et al., 2016 [54] | Pillcam Colon 2 | PEG | 4 L | Metoclopramide 10 mg TDS | Phospho-soda and bisacodyl suppository | 45 mL and 5 mg | 3 different bowel prep regimens | 100% |
| Hosoe et al., 2014 [35] | Pillcam Colon 2 | PEG | 2 L | Metoclopramide once only | PEG and mosapride citrate | 250 mL and 20 mg | 42.5% Good <65% Fair | 69% |
| Juan-Acosta et al., 2014 [29] | Pillcam Colon 1 and 2 | Sennosides PEG | 48 mg 4 L | Domperidone once only | Sodium phosphate | 60 mL | 32.5% Excellent 47.5% Good 15% Fair 5% Poor | 85.7% |
| Meister et al., 2013 [34] | Pillcam Colon 1 | PEG | 1.75 L | Domperidone once only | PEG and bisacodyl suppository | 750 mL and 10 mg | 90% Adequate | 77% |
| Shi et al., 2017 [30] | Pillcam Colon 2 | PEG | 4 L | Metoclopramide once only | Phosphate soda and bisacodyl suppository | 45 mL and 10 mg | 66% Adequate | 68% |
| Sung et al., 2012 [33] | Pillcam Colon | PEG | 4 L | Metoclopramide once only | Sodium phosphate and bisacodyl suppository | 45 mL and 10 mg | 7% Excellent 57% Good 31% Fair 4% Poor | 83% |
| Hosoe et al., 2018 [36] | Pillcam Colon 2 | PEG | 0.7 L | Metoclopramide once only | Mosapride citrate and magnesium citrate | 20 mg and 2.1 L | 92% Adequate | 69% |
| Oliva et al., 2014 [32] | Pillcam Colon 2 | PEG | 50 mL/kg (2 L max) | Domperidone once only | Sodium phosphate and bisacodyl suppository | 45 mL and 10 mg | 17% Excellent 45% Good 24% Fair 14% Poor | 86% |
| Papalia et al., 2021 [42] | Pillcam Colon 2 | PEG | 2 L | Metoclopramide once only | PEG and bisacodyl suppository | 500 mL and 10 mg | 17% Excellent 30% Good 26% Fair 8% Poor | 68% |
| Oliva et al., 2016 [37] | Pillcam Colon 2 | PEG | Up to 2 L | Domperidone once only | Sodium phosphate and bisacodyl suppository | 45 mL and 10 mg | 21% Excellent 42% Good 26% Fair 11% Poor | 95% |
| Brodersen et al., 2022 [38] | Pillcam Colon 2 and Crohn’s | PEG | 4 L | Nil | Sodium phosphate and bisacodyl suppository | - | 75% Excellent 1.5% Poor | 82% |
| Hausmann et al., 2017 [39] | Pillcam Colon 2 | PEG | 4 L | Domperidone once only | Nil | - | 91.6% Adequate | 80% |
| Yamada et al., 2021 [41] | Pillcam Colon 2 | Senna Magnesium Citrate PEG | 4 tablets, 50 g 1 L | Mosapride citrate | PEG Castor oil Sodium picosulphate Magnesium citrate | 1 L 60 mL 48 mg 50 g | 80% Adequate | 75% |
| Brodersen et al., 2023 [43] | Pillcam Colon 2 (33/99) and Crohn’s (66/99) | Bisacodyl PEG | 10 mg 4 L | Nil | Sodium phosphate and bisacodyl suppository | 55 mL and 10 mg | 48% Excellent or Good | See diagnostic study 2022 |
| Hall et al., 2015 [47] | Pillcam Colon 2 | Senna PEG | 4 L | Nil | Sodium picosulphate | 2 sachets | - | - |
| Bruining et al., 2020 [40] | Crohn’s capsule | PEG | 4 L | Metoclopramide or erythromycin | Sodium sulphate, potassium sulphate, and magnesium sulphate. Bisacodyl suppository or erythromycin | 1 L and 10 mg or 250 mg | 64% Adequate in the colon 90% Adequate in the TI | 85.6% |
| Leighton et al., 2017 [46] | Crohn’s capsule | PEG | 4 L | Metoclopramide once only | Suprep and bisacodyl suppository | 176 mL and 10 mg | Good/Excellent: TI 97.9%; Colon 48.7% | 92% |
| Adler et al., [31] | Crohn’s capsule | PEG | 3 L | Metoclopramide once only | Sodium sulphate, potassium sulphate, and magnesium sulphate | 264 mL | - | - |
| Eliakim R et al., 2006 [55] | Pillcam Colon 1 | PEG | 3 L | - | Sodium phosphate and bisacodyl suppository | 15 mL and 10 mg | Good or Excellent 84% | 78% |
| Herrerias-Gutierrez et al. [56] | Pillcam Colon 1 | PEG | 3 L | Domperidone once only | Sodium phosphate and bisacodyl suppository | 75 mL and 10 mg | Good or Excellent 65.6% Fair 19.4% Poor 15% | 93% |
| D’Haens et al., 2015 [44] | Pillcam Colon 2 | Sennocol PEG | 4 L | - | Phospho-soda | 60 mL | Excellent 40% Good 44% Fair 16% Poor 0% | 85% |
| Other Colonic Pathology Publications | ||||||
|---|---|---|---|---|---|---|
| Author and Location | Year | Study | Comparator | Other Pathology | Sample Size Included/Enrolled (Paediatric/Adult) | Accuracy |
| Ismail M. et al., Ireland [53] | 2021 | Prospective single-centre | Ileocolonoscopy | Diverticulosis Haemorrhoids | 66/77 (adult) | Diverticulosis (n = 11): Sensitivity: 100% Specificity: 94.5% PPV: 79% NPV: 100% Haemorrhoid (n = 3): 0/3 detected by CCE |
| Akyuz U et al., Turkey [54] | 2016 | Prospective single centre | Ileocolonoscopy | Diverticulosis Haemorrhoids Angiodysplasia | 28/62 (adult) | Diverticulosis (n = 1) 1/1 detected by CCE Haemorrhoid (n = 1) 1/1 detected by CCE Telangeictasia (n = 1) 1/1 detected by CCE |
| Eliakim R et al., Israel [55] | 2006 | Prospective multicentre | Ileocolonoscopy | Diverticulosis | 30/91 (adult) | Diverticulosis (n = 30): Sensitivity: 78% Specificity: 76% PPV: 47% NPV: 93% |
| Herrerias-Gutierrez J et al., Spain [56] | 2011 | Prospective multicentre | Ileocolonoscopy | Diverticulosis | 134/144 | Diverticulosis (n = 63): 2 cases were missed by colonoscopy Telangeictasia (n = 15): 2 cases were missed by colonoscopy |
| Author | Year | Study | Reason for Exclusion |
|---|---|---|---|
| Okabayashi et al. [57] | 2018 | Prospective study—CCE compared with previous CS findings in UC | The duration between CCE and CS was unclear and there were inadequate data for analysis. |
| Takano et al. [58] | 2018 | Prospective study—CCE compared with series colonoscopy findings in UC | Unable to derive the TPs, TNs, FPs, and FNs from the available inadequate data in the paper. |
| Adler et al. [59] | 2011 | Prospective study—CCE evaluation compared with conventional CS in UC | Unable to derive the TPs, TNs, FPs, and FNs from the available inadequate data on disease severity and extent. |
| Carvalho et al. [60] | 2015 | Prospective study—Panenteric mucosal healing assessment | The follow-up colonoscopy was delayed, and the data was inadequate for data extraction for diagnostic yield. |
| Hasan-Keslat H. [61] | 2015 | Prospective study—CCE vs. colonoscopy in Crohn’s patients | This was presented as a percentage of agreement instead of in terms of correlation or diagnostic yield. |

Appendix A.1. The Search Strings Used in Each Database:
Appendix A.1.1. Medline Ovid
Appendix A.1.2. Embase Ovid
Appendix A.1.3. Cochrane
Appendix A.1.4. Pubmed


References
- MacLeod, C.; Hudson, J.; Brogan, M.; Cotton, S.; Treweek, S.; MacLennan, G.; Watson, A.J. ScotCap—A large observational cohort study. Colorectal Dis. 2022, 24, 411–421. [Google Scholar] [CrossRef] [PubMed]
- Deding, U.; Bjørsum-Meyer, T.; Kaalby, L.; Kobaek-Larsen, M.; Thygesen, M.K.; Madsen, J.B.; Kroijer, R.; Baatrup, G. Colon capsule endoscopy in colorectal cancer screening: Interim analyses of randomized controlled trial CareForColon2015. Endosc. Int. Open 2021, 9, E1712–E1719. [Google Scholar] [CrossRef] [PubMed]
- Sulbaran, M.; Bustamante-Lopez, L.; Bernardo, W.; Sakai, C.M.; Sakai, P.; Nahas, S.; Moura, E.G.H. Systematic review and meta-analysis of colon capsule endoscopy accuracy for colorectal cancer screening. An alternative during the Covid-19 pandemic? J. Med. Screen 2022, 29, 148–155. [Google Scholar] [CrossRef]
- Vuik, F.E.R.; Nieuwenburg, S.A.V.; Moen, S.; Spada, C.; Senore, C.; Hassan, C.; Pennazio, M.; Rondonotti, E.; Pecere, S.; Kuipers, E.J.; et al. Colon capsule endoscopy in colorectal cancer screening: A systematic review. Endoscopy 2021, 53, 815–824. [Google Scholar] [CrossRef]
- Mollers, T.; Schwab, M.; Gildein, L.; Hoffmeister, M.; Albert, J.; Brenner, H.; Jager, S. Second-generation colon capsule endoscopy for detection of colorectal polyps: Systematic review and meta-analysis of clinical trials. Endosc. Int. Open 2021, 9, E562–E571. [Google Scholar] [CrossRef] [PubMed]
- Moen, S.; Vuik, F.E.R.; Kuipers, E.J.; Spaander, M.C.W. Artificial Intelligence in Colon Capsule Endoscopy-A Systematic Review. Diagnostics 2022, 12, 1994. [Google Scholar] [CrossRef]
- Triester, S.L.; Leighton, J.A.; Leontiadis, G.I.; Gurudu, S.R.; Fleischer, D.E.; Hara, A.K.; Heigh, R.I.; Shiff, A.D.; Sharma, V.K. A meta-analysis of the yield of capsule endoscopy compared to other diagnostic modalities in patients with non-stricturing small bowel Crohn’s disease. Am. J. Gastroenterol. 2006, 101, 954–964. [Google Scholar] [CrossRef]
- England, N. Clinical Guide for Using Colon Capsule Endoscopy in Post-Polypectomy Surveillance Patients. Version 6. 2021. Available online: https://www.nice.org.uk/Media/Default/About/COVID-19/Specialty-guides/triaging-patients-with-lower-gi-symptoms.pdf (accessed on 1 November 2023).
- Tamilarasan, A.G.; Tran, Y.; Paramsothy, S.; Leong, R. The diagnostic yield of pan-enteric capsule endoscopy in inflammatory bowel disease: A systematic review and meta-analysis. J. Gastroenterol. Hepatol. 2022, 37, 2207–2216. [Google Scholar] [CrossRef]
- Page, M.J.; McKenzie, J.E.; Bossuyt, P.M.; Boutron, I.; Hoffmann, T.C.; Mulrow, C.D.; Shamseer, L.; Tetzlaff, J.M.; Akl, E.A.; Brennan, S.E.; et al. The PRISMA 2020 statement: An updated guideline for reporting systematic reviews. J. Clin. Epidemiol. 2021, 134, 178–189. [Google Scholar] [CrossRef]
- Salameh, J.P.; Bossuyt, P.M.; McGrath, T.A.; Thombs, B.D.; Hyde, C.J.; Macaskill, P.; Deeks, J.J.; Leeflang, M.; Korevaar, D.A.; Whiting, P.; et al. Preferred reporting items for systematic review and meta-analysis of diagnostic test accuracy studies (PRISMA-DTA): Explanation, elaboration, and checklist. BMJ 2020, 370, m2632. [Google Scholar] [CrossRef]
- Hackenbroich, S.; Kranke, P.; Meybohm, P.; Weibel, S. Include or not to include conference abstracts in systematic reviews? Lessons learned from a large Cochrane network meta-analysis including 585 trials. Syst. Rev. 2022, 11, 178. [Google Scholar] [CrossRef] [PubMed]
- Huang, Q.X.; Huang, X.W. QUADAS-2 tool for quality assessment in diagnostic meta-analysis. Ann. Palliat. Med. 2022, 11, 1844–1845. [Google Scholar] [CrossRef] [PubMed]
- Yang, B.; Mallett, S.; Takwoingi, Y.; Davenport, C.F.; Hyde, C.J.; Whiting, P.F.; Deeks, J.J.; Leeflang, M.M.G.; Groupdagger, Q.-C.; Bossuyt, P.M.M.; et al. QUADAS-C: A Tool for Assessing Risk of Bias in Comparative Diagnostic Accuracy Studies. Ann. Intern. Med. 2021, 174, 1592–1599. [Google Scholar] [CrossRef] [PubMed]
- Simundic, A.M. Measures of Diagnostic Accuracy: Basic Definitions. EJIFCC 2009, 19, 203–211. [Google Scholar]
- Schlattmann, P. Tutorial: Statistical methods for the meta-analysis of diagnostic test accuracy studies. Clin. Chem. Lab. Med. 2023, 61, 777–794. [Google Scholar] [CrossRef]
- Bates, D.; Mächler, M.; Bolker, B.; Walker, S. Fitting Linear Mixed-Effects Models Using lme4. J. Stat. Softw. 2015, 67, 1–48. [Google Scholar] [CrossRef]
- Okeh, U.M.; Okoro, C.N. Evaluating measures of indicators of diagnostic test performance: Fundamental meanings and formulars. J. Biom. Biostat. 2012, 3, 2. [Google Scholar]
- Jackson, C.H. Multi-State Models for Panel Data: The msm Package for R. J. Stat. Softw. 2011, 38, 1–28. [Google Scholar] [CrossRef]
- Doebler, P. Mada: Meta-Analysis of Diagnostic Accuracy. R package version 0.5.11. 2022. Available online: https://cran.r-project.org/web/packages/mada/index.html (accessed on 1 December 2023).
- Zeileis, A.; Hothorn, T. Diagnostic Checking in Regression Relationships. R News 2002, 2, 7–10. [Google Scholar]
- Viechtbauer, W. Conducting meta-analyses in R with the metafor package. J. Stat. Softw. 2010, 36, 1–48. [Google Scholar] [CrossRef]
- Macaskill, P.G.C.; Deeks, J.J.; Harbord, R.M.; Takwoingi, Y. Chapter 10: Analysing and presenting results. In Cochrane Handbook for Systematic Reviews of Diagnostic Test Accuracy; The Cochrane Collaboration: London, UK, 2013. [Google Scholar]
- Deeks, J.J.; Macaskill, P.; Irwig, L. The performance of tests of publication bias and other sample size effects in systematic reviews of diagnostic test accuracy was assessed. J. Clin. Epidemiol. 2005, 58, 882–893. [Google Scholar] [CrossRef] [PubMed]
- Liberati, A.; Altman, D.G.; Tetzlaff, J.; Mulrow, C.; Gotzsche, P.C.; Ioannidis, J.P.; Clarke, M.; Devereaux, P.J.; Kleijnen, J.; Moher, D. The PRISMA statement for reporting systematic reviews and meta-analyses of studies that evaluate health care interventions: Explanation and elaboration. J. Clin. Epidemiol. 2009, 62, e1–e34. [Google Scholar] [CrossRef] [PubMed]
- Koulaouzidis, A.; Dabos, K.; Philipper, M.; Toth, E.; Keuchel, M. How should we do colon capsule endoscopy reading: A practical guide. Ther. Adv. Gastrointest. Endosc. 2021, 14, 26317745211001983. [Google Scholar] [CrossRef]
- Lei, I.I.; Nia, G.J.; White, E.; Wenzek, H.; Segui, S.; Watson, A.J.M.; Koulaouzidis, A.; Arasaradnam, R.P. Clinicians’ Guide to Artificial Intelligence in Colon Capsule Endoscopy-Technology Made Simple. Diagnostics 2023, 13, 1038. [Google Scholar] [CrossRef] [PubMed]
- Ye, C.A.; Gao, Y.J.; Ge, Z.Z.; Dai, J.; Li, X.B.; Xue, H.B.; Ran, Z.H.; Zhao, Y.J. PillCam colon capsule endoscopy versus conventional colonoscopy for the detection of severity and extent of ulcerative colitis. J. Dig. Dis. 2013, 14, 117–124. [Google Scholar] [CrossRef]
- San Juan-Acosta, M.; Caunedo-Alvarez, A.; Arguelles-Arias, F.; Castro-Laria, L.; Gomez-Rodriguez, B.; Romero-Vazquez, J.; Belda-Cuesta, A.; Pellicer-Bautista, F.; Herrerias-Gutierrez, J.M. Colon capsule endoscopy is a safe and useful tool to assess disease parameters in patients with ulcerative colitis. Eur. J. Gastroenterol. Hepatol. 2014, 26, 894–901. [Google Scholar] [CrossRef]
- Shi, H.Y.; Chan, F.K.L.; Higashimori, A.; Kyaw, M.; Ching, J.Y.L.; Chan, H.C.H.; Chan, J.C.H.; Chan, A.W.H.; Lam, K.L.Y.; Tang, R.S.Y.; et al. A prospective study on second-generation colon capsule endoscopy to detect mucosal lesions and disease activity in ulcerative colitis (with video). Gastrointest. Endosc. 2017, 86, 1139–1146.e6. [Google Scholar] [CrossRef]
- Adler, S.N.; Gonzalez Lama, Y.; Matallana Royo, V.; Suarez Ferrer, C.; Schwartz, A.; Bar-Gil Shitrit, A. Comparison of small-bowel colon capsule endoscopy system to conventional colonoscopy for the evaluation of ulcerative colitis activity. Endosc. Int. Open 2019, 7, E1253–E1261. [Google Scholar] [CrossRef] [PubMed]
- Oliva, S.; Di Nardo, G.; Hassan, C.; Spada, C.; Aloi, M.; Ferrari, F.; Redler, A.; Costamagna, G.; Cucchiara, S. Second-generation colon capsule endoscopy vs. colonoscopy in pediatric ulcerative colitis: A pilot study. Endoscopy 2014, 46, 485–492. [Google Scholar] [CrossRef]
- Sung, J.; Ho, K.Y.; Chiu, H.M.; Ching, J.; Travis, S.; Peled, R. The use of Pillcam Colon in assessing mucosal inflammation in ulcerative colitis: A multicenter study. Endoscopy 2012, 44, 754–758. [Google Scholar] [CrossRef]
- Meister, T.; Heinzow, H.S.; Domagk, D.; Dortgolz, A.; Lenze, F.; Ross, M.; Domschke, W.; Lügering, A. Colon capsule endoscopy versus standard colonoscopy in assessing disease activity of ulcerative colitis: A prospective trial. Coloproctology 2014, 36, 86–91. [Google Scholar] [CrossRef]
- Hosoe, N.; Matsuoka, K.; Naganuma, M.; Ida, Y.; Ishibashi, Y.; Kimura, K.; Yoneno, K.; Usui, S.; Kashiwagi, K.; Hisamatsu, T.; et al. Applicability of second-generation colon capsule endoscope to ulcerative colitis: A clinical feasibility study. J. Gastroenterol. Hepatol. 2013, 28, 1174–1179. [Google Scholar] [CrossRef]
- Hosoe, N.; Nakano, M.; Takeuchi, K.; Endo, Y.; Matsuoka, K.; Abe, T.; Omori, T.; Hayashida, M.; Kobayashi, T.; Yoshida, A.; et al. Establishment of a Novel Scoring System for Colon Capsule Endoscopy to Assess the Severity of Ulcerative Colitis-Capsule Scoring of Ulcerative Colitis. Inflamm. Bowel Dis. 2018, 24, 2641–2647. [Google Scholar] [CrossRef]
- Oliva, S.; Cucchiara, S.; Civitelli, F.; Casciani, E.; Di Nardo, G.; Hassan, C.; Papoff, P.; Cohen, S.A. Colon capsule endoscopy compared with other modalities in the evaluation of pediatric Crohn’s disease of the small bowel and colon. Gastrointest. Endosc. 2016, 83, 975–983. [Google Scholar] [CrossRef]
- Brodersen, J.B.; Knudsen, T.; Kjeldsen, J.; Juel, M.A.; Rafaelsen, S.R.; Jensen, M.D. Diagnostic accuracy of pan-enteric capsule endoscopy and magnetic resonance enterocolonography in suspected Crohn’s disease. United Eur. Gastroenterol. J. 2022, 10, 973–982. [Google Scholar] [CrossRef] [PubMed]
- Hausmann, J.; Schmelz, R.; Walldorf, J.; Filmann, N.; Zeuzem, S.; Albert, J.G. Pan-intestinal capsule endoscopy in patients with postoperative Crohn’s disease: A pilot study. Scand. J. Gastroenterol. 2017, 52, 840–845. [Google Scholar] [CrossRef] [PubMed]
- Bruining, D.H.; Oliva, S.; Fleisher, M.R.; Fischer, M.; Fletcher, J.G.; BLINK study group. Panenteric capsule endoscopy versus ileocolonoscopy plus magnetic resonance enterography in Crohn’s disease: A multicentre, prospective study. BMJ Open Gastroenterol. 2020, 7, e000365. [Google Scholar] [CrossRef]
- Yamada, K.; Nakamura, M.; Yamamura, T.; Maeda, K.; Sawada, T.; Mizutani, Y.; Ishikawa, E.; Ishikawa, T.; Kakushima, N.; Furukawa, K.; et al. Diagnostic yield of colon capsule endoscopy for Crohn’s disease lesions in the whole gastrointestinal tract. BMC Gastroenterol. 2021, 21, 75. [Google Scholar] [CrossRef]
- Papalia, I.; Tjandra, D.; Quah, S.; Tan, C.; Gorelik, A.; Sivanesan, S.; Macrae, F. Colon Capsule Endoscopy in the Assessment of Mucosal Healing in Crohn’s Disease. Inflamm. Bowel Dis. 2021, 27 (Suppl. S2), S25–S32. [Google Scholar] [CrossRef]
- Brodersen, J.B.; Kjeldsen, J.; Knudsen, T.; Jensen, M.D. Endoscopic severity and classification of lesions with pan-enteric capsule endoscopy and ileocolonoscopy in ileocolonic Crohn’s disease. Endosc. Int. Open 2023, 11, E32–E38. [Google Scholar] [CrossRef]
- D’Haens, G.; Lowenberg, M.; Samaan, M.A.; Franchimont, D.; Ponsioen, C.; van den Brink, G.R.; Fockens, P.; Bossuyt, P.; Amininejad, L.; Rajamannar, G.; et al. Safety and Feasibility of Using the Second-Generation Pillcam Colon Capsule to Assess Active Colonic Crohn’s Disease. Clin. Gastroenterol. Hepatol. 2015, 13, 1480–1486.e3. [Google Scholar] [CrossRef] [PubMed]
- Hassan, C.; East, J.; Radaelli, F.; Spada, C.; Benamouzig, R.; Bisschops, R.; Bretthauer, M.; Dekker, E.; Dinis-Ribeiro, M.; Ferlitsch, M.; et al. Bowel preparation for colonoscopy: European Society of Gastrointestinal Endoscopy (ESGE) Guideline—Update 2019. Endoscopy 2019, 51, 775–794. [Google Scholar] [CrossRef]
- Leighton, J.A.; Helper, D.J.; Gralnek, I.M.; Dotan, I.; Fernandez-Urien, I.; Lahat, A.; Malik, P.; Mullin, G.E.; Rosa, B. Comparing diagnostic yield of a novel pan-enteric video capsule endoscope with ileocolonoscopy in patients with active Crohn’s disease: A feasibility study. Gastrointest. Endosc. 2017, 85, 196–205.e1. [Google Scholar] [CrossRef]
- Hall, B.; Holleran, G.; McNamara, D. PillCam COLON 2((c)) as a pan-enteroscopic test in Crohn’s disease. World J. Gastrointest. Endosc. 2015, 7, 1230–1232. [Google Scholar] [CrossRef]
- Schelde-Olesen, B.; Bjorsum-Meyer, T.; Koulaouzidis, A.; Buijs, M.M.; Herp, J.; Kaalby, L.; Baatrup, G.; Deding, U. Interobserver agreement on landmark and flexure identification in colon capsule endoscopy. Tech. Coloproctol. 2023, 27, 1219–1225. [Google Scholar] [CrossRef] [PubMed]
- Jalayeri Nia, G.; Arasaradnam, R.P.; Koulaouzidis, A. Clinical utility of colon capsule endoscopy: A moving target? Ther. Adv. Gastroenterol. 2023, 16, 17562848231195680. [Google Scholar] [CrossRef]
- Dionisio, P.M.; Gurudu, S.R.; Leighton, J.A.; Leontiadis, G.I.; Fleischer, D.E.; Hara, A.K.; Heigh, R.I.; Shiff, A.D.; Sharma, V.K. Capsule endoscopy has a significantly higher diagnostic yield in patients with suspected and established small-bowel Crohn’s disease: A meta-analysis. Am. J. Gastroenterol. 2010, 105, 1240–1248, quiz 1249. [Google Scholar] [CrossRef] [PubMed]
- Ismail, F.Q.; Oberg, S.; Wozniak, A.B.; Oggesen, B.T.; Rosenberg, J. Variation in the length of terminal ileum specimen in right hemicolectomy: A descriptive study. ANZ J. Surg. 2023, 93, 951–955. [Google Scholar] [CrossRef]
- Velidedeoglu, M.; Enes Arikan, A.; Kagan Zengin, A. Diagnostic value of terminal ileum biopsies in patients with abnormal terminal ileum mucosal appearance. Ulus. Cerrahi Derg. 2015, 31, 152–156. [Google Scholar] [CrossRef]
- Ismail, M.S.; Semenov, S.; Sihag, S.; Manoharan, T.; Douglas, A.R.; Reill, P.; Kelly, M.; Boran, G.; O’Connor, A. Colon capsule endoscopy is a viable alternative to colonoscopy for the investigation of intermediate- and low-risk patients with gastrointestinal symptoms: Results of a pilot study. Endosc. Int. Open 2021, 9, E965–E970. [Google Scholar] [CrossRef]
- Akyuz, U.; Yilmaz, Y.; Ince, A.T.; Kaya, B.; Pata, C. Diagnostic Role of Colon Capsule Endoscopy in Patients with Optimal Colon Cleaning. Gastroenterol. Res. Pract. 2016, 2016, 2738208. [Google Scholar] [CrossRef] [PubMed]
- Eliakim, R.; Fireman, Z.; Gralnek, I.M.; Yassin, K.; Waterman, M.; Kopelman, Y.; Lachter, J.; Koslowsky, B.; Adler, S.N. Evaluation of the PillCam Colon capsule in the detection of colonic pathology: Results of the first multicenter, prospective, comparative study. Endoscopy 2006, 38, 963–970. [Google Scholar] [CrossRef] [PubMed]
- Herrerias-Gutierrez, J.M.; Arguelles-Arias, F.; Caunedo-Alvarez, A.; San-Juan-Acosta, M.; Romero-Vazquez, J.; Garcia-Montes, J.M.; Pellicer-Bautista, F. PillCamColon Capsule for the study of colonic pathology in clinical practice. Study of agreement with colonoscopy. Rev. Esp. Enferm. Dig. 2011, 103, 69–75. [Google Scholar] [CrossRef] [PubMed]
- Okabayashi, S.; Kobayashi, T.; Nakano, M.; Toyonaga, T.; Ozaki, R.; Tablante, M.C.; Kuronuma, S.; Takeuchi, O.; Hibi, T. A Simple 1-Day Colon Capsule Endoscopy Procedure Demonstrated to be a Highly Acceptable Monitoring Tool for Ulcerative Colitis. Inflamm. Bowel Dis. 2018, 24, 2404–2412. [Google Scholar] [CrossRef] [PubMed]
- Takano, R.; Osawa, S.; Uotani, T.; Tani, S.; Ishida, N.; Tamura, S.; Yamade, M.; Iwaizumi, M.; Hamaya, Y.; Furuta, T.; et al. Evaluating mucosal healing using colon capsule endoscopy predicts outcome in patients with ulcerative colitis in clinical remission. World J. Clin. Cases 2018, 6, 952–960. [Google Scholar] [CrossRef]
- Adler, S.N.; Metzger, Y.C. PillCam COLON capsule endoscopy: Recent advances and new insights. Therap. Adv. Gastroenterol. 2011, 4, 265–268. [Google Scholar] [CrossRef]
- Boal Carvalho, P.; Rosa, B.; Dias de Castro, F.; Moreira, M.J.; Cotter, J. PillCam COLON 2 in Crohn’s disease: A new concept of pan-enteric mucosal healing assessment. World J. Gastroenterol. 2015, 1, 7233–7241. [Google Scholar] [CrossRef]
- Hasan-Kheslat, H.; Amico, F.; Macrae, F. Capsule colon endoscopy vs. conventional colonoscopy in assessment of mucosal healing in Crohn’s disease: A prospective comparative study. J. Gastroenterol. Hepatol. 2015, 30, 42–43. [Google Scholar]



| Overall and Subgroup Analysis | Pooled Sensitivity (95% CI) | Pooled Specificity (95% CI) | Pooled PLR (95% CI) | Pooled NLR (95% CI) | Pooled DOR (95% CI) | SROC-AUC (95% CI) |
|---|---|---|---|---|---|---|
| IBD overall (n = 13) | 0.90 (0.85–0.93) | 0.76 (0.56–0.90) | 5.43 (5.39–5.46) | 0.107 (0.106–0.108) | 50.79 (50.27–51.30) | 0.92 (0.87–0.97) |
| No prokinetics (n = 3) | 0.87 (0.77–0.93) | 0.71 (0.27–0.94) | 3.04 (−1.07–7.13) | 0.18 (0.058–0.31) | 16.64 (−14.10–47.37) | NA (n < 5) |
| Metoclopramide (n = 4) | 0.93 (0.89–0.96) | 0.76 (0.58–0.88) | 3.86 (1.50–6.22) | 0.09 (0.051–0.13) | 42.92 (10.88–74.95) | NA (n < 5) |
| Domperidone (n = 4) | 0.91 (0.84–0.95) | 0.93 (0.71–0.99) | 13.33 (−7.89–34.56) | 0.099 (0.044–0.15) | 134.67 (−108.65–377.99) | NA (n < 5) |
| UC pooled (n = 7) | 0.92 (0.88–0.95) | 0.71 (0.35–0.92) | 3.19 (−0.24–6.62) | 0.11 (0.049–0.16) | 30.16 (−14.11–74.43) | 0.93 (0.89–0.97) |
| CCE1 capsule (n = 4) | 0.89 (0.82–0.93) | 0.46 (0.44–0.94) | 1.64 (−0.54–3.83) | 0.24 (−0.16–0.64) | 6.89 (−13.61–27.38) | NA (n < 5) |
| CCE2 capsule (n = 4) | 0.95 (0.86–0.98) | 0.93 (0.17–0.99) | 14.54 (−42.6–7.17) | 0.052 (0.0078–0.096) | 279.62 (−859.73–1419) | NA (n < 5) |
| CD pooled (n = 6) | 0.90 (0.85–0.93) | 0.88 (0.83–0.91) | 7.30 (4.90–9.69) | 0.11 (0.061–0.16) | 65.75 (30.96–100.55) | 0.87 (0.76–0.98) |
| CCE2 capsule (n = 4) | 0.88 (0.79–0.93) | 0.90 (0.84–0.93) | 8.74 (5.16–12.31) | 0.13 (0.056–0.21) | 66.45 (18.34–114.56) | NA (n < 5) |
| Crohn’s capsule (n = 2) | 0.93 (0.88–0.96) | 0.85 (0.76–0.91) | 6.07 (3.21–8.92) | 0.08 (0.032–0.13) | 75.5 (11.45–139.47) | NA (n < 5) |
| CD colitis (n = 6) | 0.85 (0.77–0.90) | 0.90 (0.86–0.94) | 8.93 (5.19–12.68) | 0.17(0.093–0.24) | 54.85 (17.93–89.76) | 0.86 (n = too small) |
| CD terminal ileitis (n = 5) | 0.95 (0.90–0.97) | 0.84 (0.76–0.89) | 5.89 (3.49–8.29) | 0.059 (0.018–0.10) | 99.18 (12.95–185.40) | 0.95 (n = too small) |
| Overall and Subgroup | Parameter | Logit Scale | Back-Transformed | Heterogeneity Variance τ2 | Relative Sensitivity and Specificity | Estimate | 95% CI | ||
|---|---|---|---|---|---|---|---|---|---|
| Mean | Standard Error | Estimate | 95% CI | ||||||
| IBD overall (n = 13) | Sensitivity | 2.33 | 0.0037 | 0.90 | 0.85–0.93 | 0.13 | NA (only applicable for subroup analysis) | NA | NA |
| Specificity | 1.60 | 0.0037 | 0.76 | 0.56–0.90 | 1.21 | ||||
| No prokinetics (n = 3) | Sensitivity | 1.90 | 0.35 | 0.87 | 0.77–0.93 | 0.33 | NA (non-dichotomous comparators) | NA | NA |
| Specificity | 0.91 | 0.98 | 0.71 | 0.27–0.94 | 0.16 | ||||
| Metoclopramide (n = 4) | Sensitivity | 2.613 | 0.27 | 0.93 | 0.89–0.96 | 0.37 | NA (non-dichotomous comparators) | NA | NA |
| Specificity | 1.146 | 0.42 | 0.76 | 0.58–0.88 | 0.97 | ||||
| Domperidone (n = 4) | Sensitivity | 2.29 | 0.30 | 0.91 | 0.84–0.95 | 0.00 | NA (non-dichotomous comparators) | NA | NA |
| Specificity | 2.62 | 0.87 | 0.93 | 0.71–0.99 | 1.39 | ||||
| UC pooled (n = 7) | Sensitivity | 2.51 | 0.25 | 0.92 | 0.88–0.95 | 0.04 | UC/CD Relative Sens | 1.02 | 0.96–1.09 |
| Specificity | 0.90 | 0.78 | 0.71 | 0.35–0.92 | 3.56 | ||||
| CD pooled (n = 6) | Sensitivity | 2.23 | 0.26 | 0.90 | 0.85–0.93 | 0.24 | UC/CD Relative Spec | 0.81 | 0.52–1.26 |
| Specificity | 1.96 | 0.20 | 0.88 | 0.83–0.91 | 0.13 | ||||
| CCE1 capsule (n = 4) | Sensitivity | 2.10 | 0.30 | 0.89 | 0.82–0.94 | <0.01 | CCE1/CCE2 Relative Sens | 0.94 | 0.87–1.01 |
| Specificity | –0.17 | 1.48 | 0.46 | 0.44–0.94 | 3.28 | ||||
| CCE2 capsule (n = 4) | Sensitivity | 2.97 | 0.47 | 0.95 | 0.86–0.98 | 0.16 | CCE1/CCE2 Relative Spec | 0.49 | 0.10–2.4 |
| Specificity | 2.66 | 2.15 | 0.93 | 0.17–0.99 | 8.26 | ||||
| Crohn’s capsule (n = 2) | Sensitivity | 2.62 | 0.33 | 0.93 | 0.88–0.96 | <0.01 | CCE2/Crohn’s Cap Relative Sens | 0.95 | 0.86–1.04 |
| Specificity | 1.71 | 0.28 | 0.85 | 0.76–0.91 | 0.11 | ||||
| CCE2 capsule (n = 4) | Sensitivity | 2.01 | 0.33 | 0.88 | 0.79–0.93 | 0.21 | CCE2/Crohn’s Cap Relative Spec | 1.07 | 0.96–1.18 |
| Specificity | 2.19 | 0.24 | 0.90 | 0.84–0.93 | 0.05 | ||||
| CD colitis (n = 6) | Sensitivity | 1.73 | 0.26 | 0.85 | 0.77–0.90 | 0.05 | Colitis/TI Relative Sens | 0.89 | 0.82–0.97 * |
| Specificity | 2.25 | 0.24 | 0.90 | 0.86–0.94 | 0.02 | ||||
| CD terminal ileitis (n = 5) | Sensitivity | 2.95 | 0.37 | 0.95 | 0.90–0.97 | <0.01 | Colitis/TI Relative Spec | 1.08 | 0.98–1.18 |
| Specificity | 1.65 | 0.25 | 0.84 | 0.76–0.89 | 0.03 | ||||
Disclaimer/Publisher’s Note: The statements, opinions and data contained in all publications are solely those of the individual author(s) and contributor(s) and not of MDPI and/or the editor(s). MDPI and/or the editor(s) disclaim responsibility for any injury to people or property resulting from any ideas, methods, instructions or products referred to in the content. |
© 2024 by the authors. Licensee MDPI, Basel, Switzerland. This article is an open access article distributed under the terms and conditions of the Creative Commons Attribution (CC BY) license (https://creativecommons.org/licenses/by/4.0/).
Share and Cite
Lei, I.I.; Thorndal, C.; Manzoor, M.S.; Parsons, N.; Noble, C.; Huhulea, C.; Koulaouzidis, A.; Arasaradnam, R.P. The Diagnostic Accuracy of Colon Capsule Endoscopy in Inflammatory Bowel Disease—A Systematic Review and Meta-Analysis. Diagnostics 2024, 14, 2056. https://doi.org/10.3390/diagnostics14182056
Lei II, Thorndal C, Manzoor MS, Parsons N, Noble C, Huhulea C, Koulaouzidis A, Arasaradnam RP. The Diagnostic Accuracy of Colon Capsule Endoscopy in Inflammatory Bowel Disease—A Systematic Review and Meta-Analysis. Diagnostics. 2024; 14(18):2056. https://doi.org/10.3390/diagnostics14182056
Chicago/Turabian StyleLei, Ian Io, Camilla Thorndal, Muhammad Shoaib Manzoor, Nicholas Parsons, Charlie Noble, Cristiana Huhulea, Anastasios Koulaouzidis, and Ramesh P. Arasaradnam. 2024. "The Diagnostic Accuracy of Colon Capsule Endoscopy in Inflammatory Bowel Disease—A Systematic Review and Meta-Analysis" Diagnostics 14, no. 18: 2056. https://doi.org/10.3390/diagnostics14182056
APA StyleLei, I. I., Thorndal, C., Manzoor, M. S., Parsons, N., Noble, C., Huhulea, C., Koulaouzidis, A., & Arasaradnam, R. P. (2024). The Diagnostic Accuracy of Colon Capsule Endoscopy in Inflammatory Bowel Disease—A Systematic Review and Meta-Analysis. Diagnostics, 14(18), 2056. https://doi.org/10.3390/diagnostics14182056

