Cardiovascular and Ocular Parameter Alterations in Response to Cold Pressor Test in Young Adults
Abstract
1. Introduction
2. Materials and Methods
2.1. Research Participants
2.2. Experimental Methodology
2.2.1. Cold Pressor Test
2.2.2. Assessment of Blood Pressure
2.2.3. Heart Rate Variability
2.2.4. Ocular Parameter Measurements
2.3. Analytical Statistics
3. Results
3.1. Characteristics of Participants
3.2. Cardiovascular Responses to CPT
3.3. HRV Responses to CPT
3.4. Ocular Responses to CPT
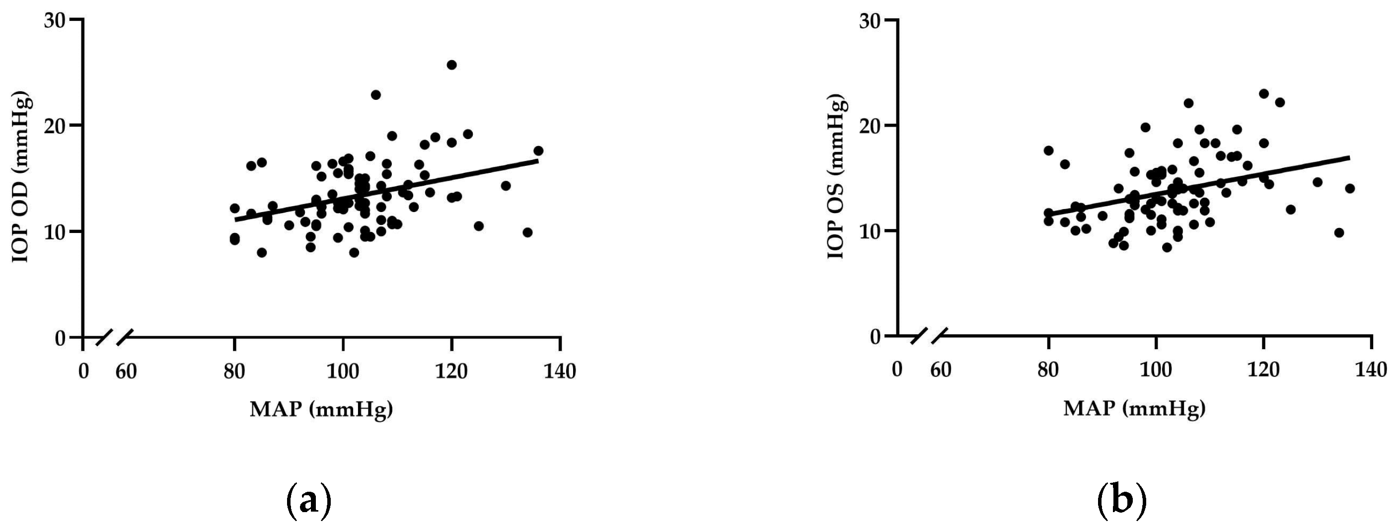
3.5. Correlation between MAP and IOP
4. Discussion
5. Conclusions
Author Contributions
Funding
Institutional Review Board Statement
Informed Consent Statement
Data Availability Statement
Acknowledgments
Conflicts of Interest
References
- Alshak, M.N. Neuroanatomy, Sympathetic Nervous System; StatPearls Publishing: Treasure Island, FL, USA, 2019. [Google Scholar]
- Gibbons, C.H. Basics of autonomic nervous system function. Handb. Clin. Neurol. 2019, 160, 407–418. [Google Scholar]
- Drew, R.C.; Sinoway, L.I. Autonomic Control of the Heart. In Primer on the Autonomic Nervous System; Academic Press: Cambridge, MA, USA, 2012; pp. 177–180. [Google Scholar]
- Wu, F.; Zhao, Y.; Zhang, H. Ocular Autonomic Nervous System: An Update from Anatomy to Physiological Functions. Vision 2022, 6, 6. [Google Scholar] [CrossRef] [PubMed]
- Gordan, R.; Gwathmey, J.K.; Xie, L.H. Autonomic and endocrine control of cardiovascular function. World J. Cardiol. 2015, 7, 204–214. [Google Scholar] [CrossRef] [PubMed]
- Szabadi, E. Functional organization of the sympathetic pathways controlling the pupil: Light-inhibited and light-stimulated pathways. Front. Neurol. 2018, 9, 1069. [Google Scholar] [CrossRef]
- Chen, W.; Chen, Z.; Xiang, Y.; Deng, C.; Zhang, H.; Wang, J. Simultaneous influence of sympathetic autonomic stress on Schlemm’s canal, intraocular pressure and ocular circulation. Sci. Rep. 2019, 9, 20060. [Google Scholar] [CrossRef] [PubMed]
- Streff, A.; Kuehl, L.K.; Michaux, G.; Anton, F. Differential physiological effects during tonic painful hand immersion tests using hot and ice water. Eur. J. Pain 2010, 14, 266–272. [Google Scholar] [CrossRef] [PubMed]
- Mourot, L.; Bouhaddi, M.; Regnard, J. Effects of the cold pressor test on cardiac autonomic control in normal subjects. Physiol. Res. 2009, 58, 83–91. [Google Scholar] [CrossRef]
- Elias, S.O.; Ajayi, R.E. Effect of sympathetic autonomic stress from the cold pressor test on left ventricular function in young healthy adults. Physiol. Rep. 2019, 7, e13985. [Google Scholar] [CrossRef]
- Ayada, C.; Toru, Ü.; Korkut, Y. The relationship of stress and blood pressure effectors. Hippokratia 2015, 19, 99–108. [Google Scholar]
- Trapp, M.; Trapp, E.M.; Egger, J.W.; Domej, W.; Schillaci, G.; Avian, A.; Rohrer, P.M.; Hörlesberger, N.; Magometschnigg, D.; Cervar-Zivkovic, M.; et al. Impact of mental and physical stress on blood pressure and pulse pressure under normobaric versus hypoxic conditions. PLoS ONE 2014, 9, e89005. [Google Scholar] [CrossRef]
- von Baeyer, C.L.; Piira, T.; Chambers, C.T.; Trapanotto, M.; Zeltzer, L.K. Guidelines for the cold pressor task as an experimental pain stimulus for use with children. J. Pain 2005, 6, 218–227. [Google Scholar] [CrossRef] [PubMed]
- Dumskyj, M.J.; Eriksen, J.E.; Doré, C.J.; Kohner, E.M. Autoregulation in the human retinal circulation: Assessment using isometric exercise, laser Doppler velocimetry, and computer-assisted image analysis. Microvasc. Res. 1996, 51, 378–392. [Google Scholar] [CrossRef]
- Kulthinee, S.; Nernpermpisooth, N.; Poomvanicha, M.; Satiphop, J.; Chuang-Ngu, T.; Kaleeluan, N.; Thawnashom, K.; Manin, A.; Kongchan, R.; Yinmaroeng, K.; et al. Cold Pressor Test Influences the Cardio-Ankle Vascular Index in Healthy Overweight Young Adults. Pulse 2021, 9, 30–37. [Google Scholar] [CrossRef] [PubMed]
- La Mancusa, A.; Horn, F.K.; Kremers, J.; Huchzermeyer, C.; Rudolph, M.; Jünemann, A. Pattern electroretinograms during the cold pressor test in normals and glaucoma patients. Investig. Ophthalmol. Vis. Sci. 2014, 55, 2173–2179. [Google Scholar] [CrossRef][Green Version]
- Park, D.Y.; Han, J.C.; Lee, E.J.; Kee, C. Relationship between peripheral vasospasm and visual field progression rates in patients with normal-tension glaucoma with low-teen intraocular pressure. PLoS ONE 2021, 16, e0250085. [Google Scholar] [CrossRef]
- Eren, O.E.; Ruscheweyh, R.; Schankin, C.; Schoberl, F.; Straube, A. The cold pressor test in interictal migraine patients—Different parasympathetic pupillary response indicates dysbalance of the cranial autonomic nervous system. BMC Neurol. 2018, 18, 41. [Google Scholar] [CrossRef] [PubMed]
- Takahashi, N.; Kiyota, N.; Kunikata, H.; Yamazaki, M.; Nishimura, T.; Shiga, Y.; Aoyagi, H.; Shidomi, M.; Tsuda, T.; Ohtsuka, T.; et al. Vasoreactivity of the optic nerve head, nailfold, and facial skin in response to cold provocation in normal-tension glaucoma patients. BMC Ophthalmol. 2023, 23, 316. [Google Scholar] [CrossRef]
- Ikemura, T.; Someya, N.; Hayashi, N. Autoregulation in the ocular and cerebral arteries during the cold pressor test and handgrip exercise. Eur. J. Appl. Physiol. 2012, 112, 641–646. [Google Scholar] [CrossRef]
- Zhao, Q.; Bazzano, L.A.; Cao, J.; Li, J.; Chen, J.; Huang, J.; Kelly, T.N.; Chen, C.-S.; Hu, D.; Ma, J.; et al. Reproducibility of blood pressure response to the cold pressor test: The GenSalt Study. Am. J. Epidemiol. 2012, 176, S91–S98. [Google Scholar] [CrossRef]
- Henry, J.B.; Miller, M.C.; Kelly, K.C.; Champney, D. Mean arterial pressure (MAP): An alternative and preferable measurement to systolic blood pressure (SBP) in patients for hypotension detection during hemapheresis. J. Clin. Apher. 2002, 17, 55–64. [Google Scholar] [CrossRef]
- Malik, M. Heart rate variability: Standards of measurement, physiological interpretation, and clinical use. Task Force of the European Society of Cardiology and the North American Society of Pacing and Electrophysiology. Circulation 1996, 93, 1043–1065. [Google Scholar] [CrossRef]
- Mathias, C.J. Autonomic Nervous System: Clinical Testing. In Encyclopedia of Neuroscience; Squire, L.R., Ed.; Oxford Academic Press: Oxford, UK, 2009; pp. 911–928. [Google Scholar]
- Lamotte, G.; Boes, C.J.; Low, P.A.; Coon, E.A. The expanding role of the cold pressor test: A brief history. Clin. Auton. Res. 2021, 31, 153–155. [Google Scholar] [CrossRef] [PubMed]
- Alba, B.K.; Castellani, J.W.; Charkoudian, N. Cold-induced cutaneous vasoconstriction in humans: Function, dysfunction and the distinctly counterproductive. Exp. Physiol. 2019, 104, 1202–1214. [Google Scholar] [CrossRef] [PubMed]
- Michael, S.; Graham, K.S.; Davis, G.M.O. Cardiac Autonomic Responses during Exercise and Post-exercise Recovery Using Heart Rate Variability and Systolic Time Intervals-A Review. Front. Physiol. 2017, 8, 301. [Google Scholar] [CrossRef] [PubMed]
- Cohen, E.; Kramer, M.; Shochat, T.; Goldberg, E.; Garty, M.; Krause, I. Relationship Between Body Mass Index and Intraocular Pressure in Men and Women: A Population-based Study. J. Glaucoma 2016, 25, e509–e513. [Google Scholar] [CrossRef] [PubMed]
- Jeelani, M.; Taklikar, R.H.; Taklikar, A.; Itagi, V.; Bennal, A. Variation of Intraocular Pressure with Age and Gender. Natl. J. Physiol. Pharm. Pharmacol. 2014, 4, 57–60. [Google Scholar] [CrossRef]
- Lee, J.S.; Lee, M.H.; Kim, J.H.; Jo, Y.J.; Shin, J.H.; Park, H.J. Cross Sectional Study among Intraocular Pressure, Mean Arterial Blood Pressure, and Serum Testosterone according to the Anthropometric Obesity Indices in Korean Men. World J. Mens. Health 2021, 39, 697–704. [Google Scholar] [CrossRef]
- Bhattacharyya, S.; Sarkar, K.C.; Gedam, A.S. A comparative study between systemic hypertension, intraocular tension and ocular perfusion pressure in primary open angle glaucoma, normal tension glaucoma and normal population in a tertiary care centre. Indian J. Clin. Exp. Ophthalmol. 2018, 4, 40–45. [Google Scholar]
- Yu, M.; Sun, X.; Zeng, F.; Gao, X.; Li, Z.; Yuan, G.; Wang, T. The short-term effects of blood donation on the ocular parameters including blood flow of the retina and choroid in healthy people using OCT-angiography. BMC Ophthalmol. 2023, 23, 259. [Google Scholar] [CrossRef]
- Yasukawa, T.; Hanyuda, A.; Yamagishi, K.; Yuki, K.; Uchino, M.; Ozawa, Y.; Sasaki, M.; Tsubota, K.; Sawada, N.; Negishi, K.; et al. Relationship between blood pressure and intraocular pressure in the JPHC-NEXT eye study. Sci. Rep. 2022, 12, 17493. [Google Scholar] [CrossRef]
- Kwon, Y.H.; Fingert, J.H.; Kuehn, M.H.; Alward, W.L. Primary open-angle glaucoma. N. Engl. J. Med. 2009, 360, 1113–1124. [Google Scholar] [CrossRef] [PubMed]
- Weinreb, R.N.; Aung, T.; Medeiros, F.A. The pathophysiology and treatment of glaucoma: A review. JAMA 2014, 311, 1901–1911. [Google Scholar] [CrossRef] [PubMed]
- Belliveau, A.P.; Somani, A.N.; Dossani, R.H. Pupillary Light Reflex; StatPearls Publishing: Treasure Island, FL, USA, 2019. [Google Scholar]
- Kiel, M.; Grabitz, S.D.; Hopf, S.; Koeck, T.; Wild, P.S.; Schmidtmann, I.; Lackner, K.J.; Münzel, T.; Beutel, M.E.; Pfeiffer, N.; et al. Distribution of Pupil Size and Associated Factors: Results from the Population-Based Gutenberg Health Study. J. Ophthalmol. 2022, 2022, 9520512. [Google Scholar] [CrossRef] [PubMed]
- Bullock, T.; MacLean, M.H.; Santander, T.; Boone, A.P.; Babenko, V.; Dundon, N.M.; Stuber, A.; Jimmons, L.; Raymer, J.; Okafor, G.N.; et al. Habituation of the stress response multiplex to repeated cold pressor exposure. Front. Physiol. 2022, 13, 752900. [Google Scholar] [CrossRef]
- Kamiya, K.; Kobashi, H.; Shimizu, K.; Kawamorita, T.; Uozato, H. Effect of pupil size on uncorrected visual acuity in astigmatic eyes. Br. J. Ophthalmol. 2012, 96, 267–270. [Google Scholar] [CrossRef]
- Manion, G.; Stokkermans, T. The Effect of Pupil Size on Visual Resolution; StatPearls Publishing: Treasure Island, FL, USA, 2024. [Google Scholar]
Disclaimer/Publisher’s Note: The statements, opinions, and data contained in all publications are solely those of the individual author(s) and contributor(s) and not of MDPI and/or the editor(s). MDPI and/or the editor(s) disclaim responsibility for any injury to people or property resulting from any ideas, methods, instructions, or products referred to in the content. |


| Characteristics | Total (n = 86) |
|---|---|
| Age, (year) | 22.84 ± 2.50 |
| BMI, (kg/m2) | 22.93 ± 3.69 |
| Sex | |
| Male | 33 (38.37%) |
| Female | 53 (61.63%) |
| History of illness | |
| No | 73 (84.88%) |
| Yes | 13 (15.12%) |
| Cardiovascular disease | 0 |
| Dyslipidemia | 0 |
| Allergy | 11 (12.79%) |
| Hypertension | 1 (1.16%) |
| Asthma | 1 (1.16%) |
| Ocular diseases | |
| No | 82 (95.35%) |
| Yes | 4 (4.65%) |
| Glaucoma | 0 |
| Eye infection | 0 |
| Allergy to eyes | 2 (2.32%) |
| Dry eye syndrome | 1 (1.16%) |
| Color blindness | 1 (1.16%) |
| Parameters | Baseline | CPT | Recovery | p-Value |
|---|---|---|---|---|
| SBP (mmHg) | 119.27 ± 12.66 | 133.14 ± 16.37 ab | 121.29 ± 11.55 a | <0.001 * |
| DBP (mmHg) | 71.05 ± 8.42 | 85.13 ± 10.00 ab | 73.42 ± 6.74 a | <0.001 * |
| MAP (mmHg) | 88.19 ± 9.73 | 102.98 ± 11.62 ab | 90.33 ± 7.81 a | <0.001 * |
| PP (mmHg) | 48.22 ± 9.83 | 48.01 ± 10.60 | 47.87 ± 8.33 | 0.932 |
| HR (bpm) | 76.45 ± 10.75 | 84.12 ± 12.35 ab | 76.36 ± 10.87 | <0.001 * |
| SDNN (ms) | 50.88 ± 21.26 | 48.17 ± 21.23 b | 43.65 ± 19.98 a | <0.001 * |
| RMSSD (ms) | 45.50 ± 24.89 | 43.94 ± 25.10 | 44.15 ± 23.03 | 0.700 |
| LF (norm) | 51.64 ± 30.98 | 46.51 ± 20.21 | 46.59 ± 19.75 | 0.236 |
| HF (norm) | 48.65 ± 31.93 | 53.49 ± 20.21 | 53.41 ± 19.75 | 0.272 |
| LF/HF | 1.65 ± 1.80 | 1.44 ± 2.29 | 1.22 ± 1.06 | 0.242 |
| Parameters | Baseline | CPT | Recovery | p-Value | |
|---|---|---|---|---|---|
| IOP (mmHg) | OD | 13.48 ± 2.77 | 13.39 ± 3.18 b | 12.08 ± 2.86 a | <0.001 * |
| OS | 13.01 ± 2.97 | 13.76 ± 3.20 ab | 11.74 ± 2.66 a | <0.001 * | |
| ACD (mm) | OD | 3.04 ± 0.28 | 3.08 ± 0.26 a | 3.08 ± 0.26 a | <0.001 * |
| OS | 3.02 ± 0.29 | 3.04 ± 0.29 | 3.08 ± 0.28 a | 0.006 * | |
| ACA (degree) | OD | 36.64 ± 5.80 | 35.61 ± 5.25 | 36.01 ± 4.29 | 0.097 |
| OS | 36.69 ± 5.23 | 35.94 ± 5.09 | 35.71 ± 5.03 | 0.161 | |
| Pupil size (mm) | OD | 3.02 ± 0.84 | 3.21 ± 0.77 ab | 3.00 ± 0.79 | 0.008 * |
| OS | 3.11 ± 0.89 | 3.27 ± 0.76 ab | 3.13 ± 0.71 | 0.038 * | |
| CCT (µm) | OD | 534.01 ± 29.38 | 535.94 ± 32.69 | 530.40 ± 35.31 | 0.078 |
| OS | 536.27 ± 30.09 | 536.34 ± 31.79 | 535.67 ± 29.57 | 0.800 | |
| Parameters | Univariate | Multivariate | ||||
|---|---|---|---|---|---|---|
| IOP (OD) | b | 95% CI | p-Value | b | 95% CI | p-Value |
| MAP at Baseline | 0.083 | 0.024 to 0.143 | 0.006 * | 0.083 | 0.015 to 0.150 | 0.017 * |
| MAP during CPT | 0.099 | 0.044 to 0.155 | 0.001 * | 0.078 | 0.002 to 0.153 | 0.044 * |
| MAP during Recovery | 0.108 | 0.032 to 0.184 | 0.006 * | 0.078 | −0.004 to 0.160 | 0.063 |
| IOP (OS) | b | 95% CI | p-Value | b | 95% CI | p-Value |
| MAP at Baseline | 0.082 | 0.018 to 0.146 | 0.012 * | 0.074 | 0.001 to 0.147 | 0.048 * |
| MAP during CPT | 0.096 | 0.040 to 0.152 | 0.001 * | 0.115 | 0.040 to 0.190 | 0.003 * |
| MAP during Recovery | 0.065 | −0.007 to 0.137 | 0.078 | 0.041 | −0.037 to 0.120 | 0.298 |
Disclaimer/Publisher’s Note: The statements, opinions and data contained in all publications are solely those of the individual author(s) and contributor(s) and not of MDPI and/or the editor(s). MDPI and/or the editor(s) disclaim responsibility for any injury to people or property resulting from any ideas, methods, instructions or products referred to in the content. |
© 2024 by the authors. Licensee MDPI, Basel, Switzerland. This article is an open access article distributed under the terms and conditions of the Creative Commons Attribution (CC BY) license (https://creativecommons.org/licenses/by/4.0/).
Share and Cite
Daradas, A.; Kulthinee, S.; Promsrisuk, T.; Kesornwanichwattana, P.; Thaingkrathok, P.; Pongampai, S.; Kongjaidee, P.; Seeja, N.; Poomvanicha, M.; Chotimol, P. Cardiovascular and Ocular Parameter Alterations in Response to Cold Pressor Test in Young Adults. Diagnostics 2024, 14, 2010. https://doi.org/10.3390/diagnostics14182010
Daradas A, Kulthinee S, Promsrisuk T, Kesornwanichwattana P, Thaingkrathok P, Pongampai S, Kongjaidee P, Seeja N, Poomvanicha M, Chotimol P. Cardiovascular and Ocular Parameter Alterations in Response to Cold Pressor Test in Young Adults. Diagnostics. 2024; 14(18):2010. https://doi.org/10.3390/diagnostics14182010
Chicago/Turabian StyleDaradas, Adithep, Supaporn Kulthinee, Tichanon Promsrisuk, Pemika Kesornwanichwattana, Phimchanok Thaingkrathok, Sureeporn Pongampai, Pongnugoon Kongjaidee, Nutthakan Seeja, Montatip Poomvanicha, and Phatiwat Chotimol. 2024. "Cardiovascular and Ocular Parameter Alterations in Response to Cold Pressor Test in Young Adults" Diagnostics 14, no. 18: 2010. https://doi.org/10.3390/diagnostics14182010
APA StyleDaradas, A., Kulthinee, S., Promsrisuk, T., Kesornwanichwattana, P., Thaingkrathok, P., Pongampai, S., Kongjaidee, P., Seeja, N., Poomvanicha, M., & Chotimol, P. (2024). Cardiovascular and Ocular Parameter Alterations in Response to Cold Pressor Test in Young Adults. Diagnostics, 14(18), 2010. https://doi.org/10.3390/diagnostics14182010

