The Usefulness of 55° Wide-Field Spectral-Domain Optical Coherence Tomography in Monitoring the Features of Peripheral Subretinal Fluid Remnants after Rhegmatogenous Retinal Detachment Surgery
Abstract
1. Introduction
2. Materials and Methods
2.1. Patients’ Selection
2.2. Data Collection
2.3. Surgical Technique
2.4. Optical Coherence Tomography Assessment
2.5. Statistical Analysis
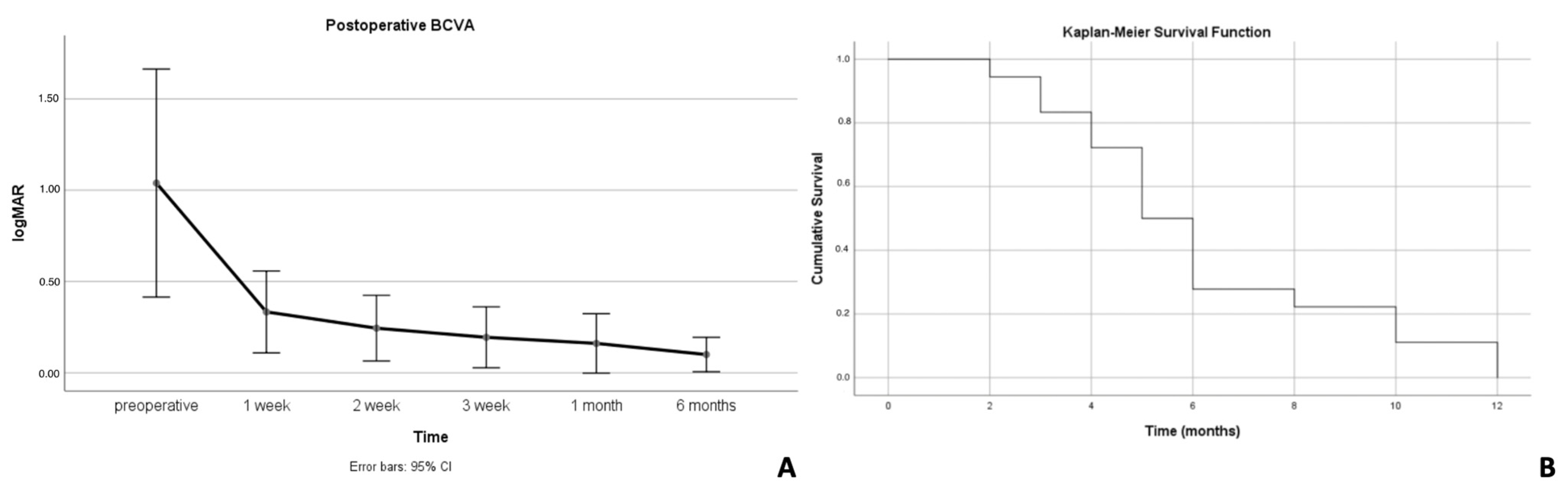
3. Results
4. Discussion
5. Conclusions
Author Contributions
Funding
Institutional Review Board Statement
Informed Consent Statement
Data Availability Statement
Conflicts of Interest
References
- Kim, J.M.; Lee, E.J.; Cho, G.E.; Bae, K.; Lee, J.Y.; Han, G.; Kang, S.W. Delayed Absorption of Subretinal Fluid after Retinal Reattachment Surgery and Associated Choroidal Features. Korean J. Ophthalmol. 2017, 31, 402–411. [Google Scholar] [CrossRef] [PubMed]
- Machemer, R. Experimental retinal detachment in the owl monkey. IV. The reattached retina. Am. J. Ophthalmol. 1968, 66, 1075–1091. [Google Scholar] [CrossRef] [PubMed]
- Wolfensberger, T.J. Foveal reattachment after macula-off retinal detachment occurs faster after vitrectomy than after buckle surgery. Ophthalmology 2004, 111, 1340–1343. [Google Scholar] [CrossRef] [PubMed]
- Benson, S.E.; Schlottmann, P.G.; Bunce, C.; Xing, W.; Charteris, D.G. Optical coherence tomography analysis of the macula after scleral buckle surgery for retinal detachment. Ophthalmology 2007, 114, 108–112. [Google Scholar] [CrossRef] [PubMed]
- Kim, Y.-K.; Woo, S.J.; Park, K.H.; Yu, Y.S.; Chung, H. Comparison of persistent submacular fluid in vitrectomy and scleral buckle surgery for macula-involving retinal detachment. Am. J. Ophthalmol. 2010, 149, 623–629.e1. [Google Scholar] [CrossRef] [PubMed]
- Mimouni, M.; Jaouni, T.; Ben-Yair, M.; Almus, S.; Derman, L.; Ehrenberg, S.; Almeida, D.; Barak, Y.; Zayit-Soudry, S.; Averbukh, E. Persistent Loculated Subretinal Fluid after Rhegmatogenous Retinal Detachment Surgery. Retina 2020, 40, 1153–1159. [Google Scholar] [CrossRef]
- Cereda, M.G.; Corvi, F.; Cozzi, M.; Pellegrini, M.; Staurenghi, G. Optical Coherence Tomography 2: Diagnostic Tool to Study Peripheral Vitreoretinal Pathologies. Retina 2019, 39, 415–421. [Google Scholar] [CrossRef] [PubMed]
- Ripa, M.; Motta, L.; Florit, T.; Sahyoun, J.-Y.; Matello, V.; Parolini, B. The Role of Widefield and Ultra Widefield Optical Coherence Tomography in the Diagnosis and Management of Vitreoretinal Diseases. Diagnostics 2022, 12, 2247. [Google Scholar] [CrossRef]
- Hilton, G.; Machemer, R.; Michels, R.; Okun, E.; Schepens, C.; Schwartz, A. The classification of retinal detachment with proliferative vitreoretinopathy. Ophthalmology 1983, 90, 121–125. [Google Scholar] [CrossRef]
- Marmor, M.F.; Yao, X.-Y. The metabolic dependency of retinal adhesion in rabbit and primate. Arch. Ophthalmol. 1995, 113, 232–238. [Google Scholar] [CrossRef]
- Kim, Y.-K.; Ahn, J.; Woo, S.J.; Hwang, D.J.; Park, K.H. Multiple subretinal fluid blebs after successful retinal detachment surgery: Incidence, risk factors, and presumed pathophysiology. Am. J. Ophthalmol. 2014, 157, 834–841. [Google Scholar] [CrossRef]
- Kim, Y.-K.; Woo, S.J.; Kim, K.E.; Park, K.H. Subretinal fluid resorption. Ophthalmology 2010, 117, 1655.e1–1655.e4. [Google Scholar] [CrossRef]
- Kang, S.W.; Kim, J.H.; Shin, W.J.; Kim, J.I. Subretinal fluid bleb after successful scleral buckling and cryotherapy for retinal detachment. Am. J. Ophthalmol. 2008, 146, 205–210.e1. [Google Scholar] [CrossRef]
- Veckeneer, M.; Derycke, L.; Lindstedt, E.W.; van Meurs, J.; Cornelissen, M.; Bracke, M.; Van Aken, E. Persistent subretinal fluid after surgery for rhegmatogenous retinal detachment: Hypothesis and review. Graefe’s Arch. Clin. Exp. Ophthalmol.=Albr. Graefes Arch. Klin. Exp. Ophthalmol. 2012, 250, 795–802. [Google Scholar] [CrossRef]
- Park, S.W.; Lee, J.J.; Lee, J.E. Scleral buckling in the management of rhegmatogenous retinal detachment: Patient selection and perspectives. Clin. Ophthalmol. 2018, 12, 1605–1615. [Google Scholar] [CrossRef] [PubMed]
- Schwartz, S. Pars plana vitrectomy for primary rhegmatogenous retinal detachment. Clin. Ophthalmol. 2008, 2, 57–63. [Google Scholar] [CrossRef]
- Shu, I.; Ishikawa, H.; Nishikawa, H.; Morikawa, S.; Okamoto, F.; Sakamoto, T.; Sugimoto, M.; Kondo, M.; Iwasaki, M.; Kinoshita, T.; et al. Scleral buckling versus vitrectomy for young japanese patients with rhegmatogenous retinal detachment in the era of microincision surgery: Real-world evidence from a multicentre study in Japan. Acta Ophthalmol. 2019, 97, e736–e741. [Google Scholar] [CrossRef]
- Kong, K.; Xu, S.; Wang, Y.; Ding, X.; Li, G.; Wang, L.; Ni, Y. Structural and functional analysis of multiple subretinal fluid blebs after successful surgery for rhegmatogenous retinal detachment. Ophthalmic Res. 2022, 66, 197–205. [Google Scholar] [CrossRef] [PubMed]
- Chen, S.-N.; Lian, I.-B.; Wei, Y.-J. Epidemiology and clinical characteristics of rhegmatogenous retinal detachment in Taiwan. Br. J. Ophthalmol. 2016, 100, 1216–1220. [Google Scholar] [CrossRef] [PubMed]
- Jonas, J.B.; Xu, L. Histological changes of high axial myopia. Eye 2014, 28, 113–117. [Google Scholar] [CrossRef]
- Takahashi, H.; Tanaka, N.; Shinohara, K.; Yokoi, T.; Yoshida, T.; Uramoto, K.; Ohno-Matsui, K. Ultra-Widefield Optical Coherence Tomographic Imaging of Posterior Vitreous in Eyes With High Myopia. Am. J. Ophthalmol. 2019, 206, 102–112. [Google Scholar] [CrossRef] [PubMed]
- Choudhry, N.; Golding, J.; Manry, M.W.; Rao, R.C. Ultra-Widefield Steering-Based Spectral-Domain Optical Coherence Tomography Imaging of the Retinal Periphery. Ophthalmology 2016, 123, 1368–1374. [Google Scholar] [CrossRef] [PubMed]
- Ong, J.; Zarnegar, A.; Corradetti, G.; Singh, S.R.; Chhablani, J. Advances in Optical Coherence Tomography Imaging Technology and Techniques for Choroidal and Retinal Disorders. J. Clin. Med. 2022, 11, 5139. [Google Scholar] [CrossRef] [PubMed]
- Coppola, M.; Marchese, A.; Cicinelli, M.V.; Rabiolo, A.; Giuffrè, C.; Gomarasca, S.; Querques, G.; Bandello, F. Macular optical coherence tomography findings after vitreoretinal surgery for rhegmatogenous retinal detachment. Eur. J. Ophthalmol. 2020, 30, 805–816. [Google Scholar] [CrossRef]
- Gharbiya, M.; Malagola, R.; Mariotti, C.; Parisi, F.; De Vico, U.; Ganino, C.; Grandinetti, F. Spectral-domain optical coherence tomography analysis of persistent subretinal fluid after scleral buckling surgery for macula-off retinal detachment. Eye 2015, 29, 1186–1193. [Google Scholar] [CrossRef]



| Characteristics | Subretinal Fluid | No Subretinal Fluid | p Value |
|---|---|---|---|
| Number of eyes, n (%) | 18 (22.5) | 62 (77.5) | |
| Sex, n (%) | |||
| Male | 11 (61.1) | 43 (69.4) | 0.572 * |
| Female | 7 (38.9) | 19 (30.6) | |
| Mean age, years | 52 ± 15.3 | 60.9 ± 11.7 | 0.009 † |
| Mean duration between symptom’s onset and surgery days | 3.17 ± 1.4 | 9.5 ± 11.1 | 0.019 ‡ |
| High myopia, n (%) | 4 (22.2) | 4 (6.45) | 0.129 * |
| Macular status | |||
| On, n (%) | 6 (33.3) | 20 (32.3) | 1.000 * |
| Off, n (%) | 12 (66.7) | 42 (67.7) | |
| Lens status | |||
| Phakic, n (%) | 2 (11.1) | 41 (66.1) | 0 * |
| Pseudophakic, n (%) | 16 (88.9) | 21 (33.9) | |
| Type of surgery | |||
| Pars plana vitrectomy, n (%) | 16 (88.9) | 51 (82.3) | 0.721 * |
| Scleral buckling, n (%) | 2 (11.1) | 11 (17.7) | 0.721 * |
| Number of ruptures, n (%) | 1.83 ± 0.9 | 2.18 ± 1.2 | 0.363 ‡ |
| Preoperative best-corrected visual acuity (BCVA) (logMAR), mean ± standard deviation (SD) | 0.89 ± 0.83 | 1.2 ± 0.94 | 0.232 ‡ |
| Subretinal fluid high 1 week postoperatively, µm | 226.9 ± 260.9 | ||
| Systemic associated diseases | |||
| Systemic hypertension, n (%) | 5 (27) | 11 (17.7) | 0.338 * |
| Hypercholesterolemia, n (%) | 3 (16) | 9 (14.5) | 1.000 * |
| Hypothyroidism, n (%) | 1 (5) | 2 (3.2) | 0.539 * |
| Diabetes mellitus, n (%) | 0 | 2 (3.2) | N/A |
| Risk Factor | Hazard Ratio | 95.0% Confidence Interval | p Value |
|---|---|---|---|
| Age | −0.007 | 0.962–1.024 | 0.654 |
| Sex | 0.314 | 0.529–3.545 | 0.517 |
| Laterality | 0.036 | 0.410–2.620 | 0.939 |
| Days between diagnosis and surgery | 0.121 | 0.733–1.738 | 0.582 |
| Number of ruptures | 0.070 | 0.641–1.796 | 0.790 |
| Localization of ruptures | −0.346 | 0.192–2.604 | 0.602 |
| Preoperative best-corrected visual acuity (BCVA) | −0.731 | 0.228–1.014 | 0.054 |
| BCVA at 6 months postoperatively | −0.409 | 0.003–173.822 | 0.885 |
| SRF high at 1 week after surgery | −0.002 | 0.996–1.000 | 0.081 |
| Lens status | 0.209 | 0.272–5.572 | 0.787 |
| Macula status | 0.781 | 0.728–6.546 | 0.164 |
| Type of surgery | 1.087 | 0.647–13.591 | 0.162 |
| Risk Factor | Hazard Ratio | 95.0% Confidence Interval | p Value |
|---|---|---|---|
| Preoperative best-corrected visual acuity (BCVA) | −1.110 | 0.094–1.153 | 0.082 |
| SRF high at 1 week after surgery | −0.002 | 0.995–1.002 | 0.371 |
| Macula status | −0.902 | 0.068–2.436 | 0.324 |
| Type of surgery | 0.299 | 0.105–17.280 | 0.818 |
Disclaimer/Publisher’s Note: The statements, opinions and data contained in all publications are solely those of the individual author(s) and contributor(s) and not of MDPI and/or the editor(s). MDPI and/or the editor(s) disclaim responsibility for any injury to people or property resulting from any ideas, methods, instructions or products referred to in the content. |
© 2024 by the authors. Licensee MDPI, Basel, Switzerland. This article is an open access article distributed under the terms and conditions of the Creative Commons Attribution (CC BY) license (https://creativecommons.org/licenses/by/4.0/).
Share and Cite
Carta, V.; Lixi, F.; Loiudice, P.; Frongia, F.; Tatti, F.; Delpiano, C.; Cremonesi, P.; Peiretti, E. The Usefulness of 55° Wide-Field Spectral-Domain Optical Coherence Tomography in Monitoring the Features of Peripheral Subretinal Fluid Remnants after Rhegmatogenous Retinal Detachment Surgery. Diagnostics 2024, 14, 1385. https://doi.org/10.3390/diagnostics14131385
Carta V, Lixi F, Loiudice P, Frongia F, Tatti F, Delpiano C, Cremonesi P, Peiretti E. The Usefulness of 55° Wide-Field Spectral-Domain Optical Coherence Tomography in Monitoring the Features of Peripheral Subretinal Fluid Remnants after Rhegmatogenous Retinal Detachment Surgery. Diagnostics. 2024; 14(13):1385. https://doi.org/10.3390/diagnostics14131385
Chicago/Turabian StyleCarta, Valentina, Filippo Lixi, Pasquale Loiudice, Francesca Frongia, Filippo Tatti, Chiara Delpiano, Pierluca Cremonesi, and Enrico Peiretti. 2024. "The Usefulness of 55° Wide-Field Spectral-Domain Optical Coherence Tomography in Monitoring the Features of Peripheral Subretinal Fluid Remnants after Rhegmatogenous Retinal Detachment Surgery" Diagnostics 14, no. 13: 1385. https://doi.org/10.3390/diagnostics14131385
APA StyleCarta, V., Lixi, F., Loiudice, P., Frongia, F., Tatti, F., Delpiano, C., Cremonesi, P., & Peiretti, E. (2024). The Usefulness of 55° Wide-Field Spectral-Domain Optical Coherence Tomography in Monitoring the Features of Peripheral Subretinal Fluid Remnants after Rhegmatogenous Retinal Detachment Surgery. Diagnostics, 14(13), 1385. https://doi.org/10.3390/diagnostics14131385

