Clinical Remission Criteria and Serum Levels of Type 2 Inflammation Mediators during 24 Weeks of Treatment with the Anti-IL-5 Drug Mepolizumab in Patients with T2-High Severe Asthma
Abstract
1. Introduction
2. Materials and Methods
2.1. Study Design
2.2. Pulmonary Function Tests
2.2.1. Spirometry
2.2.2. Fractional Exhaled Nitric Oxide (FeNO) Test
2.3. Blood Tests
2.3.1. Complete Blood Count and IgE
2.3.2. Measurement of Blood Levels of Selected Analytes
Enzyme-Linked Immunosorbent Assay (ELISA)
2.4. Skin Prick Testing
2.5. Confirmation of Participation in the Study
2.6. Statistical Analysis
3. Results
3.1. Study Subject Characteristics
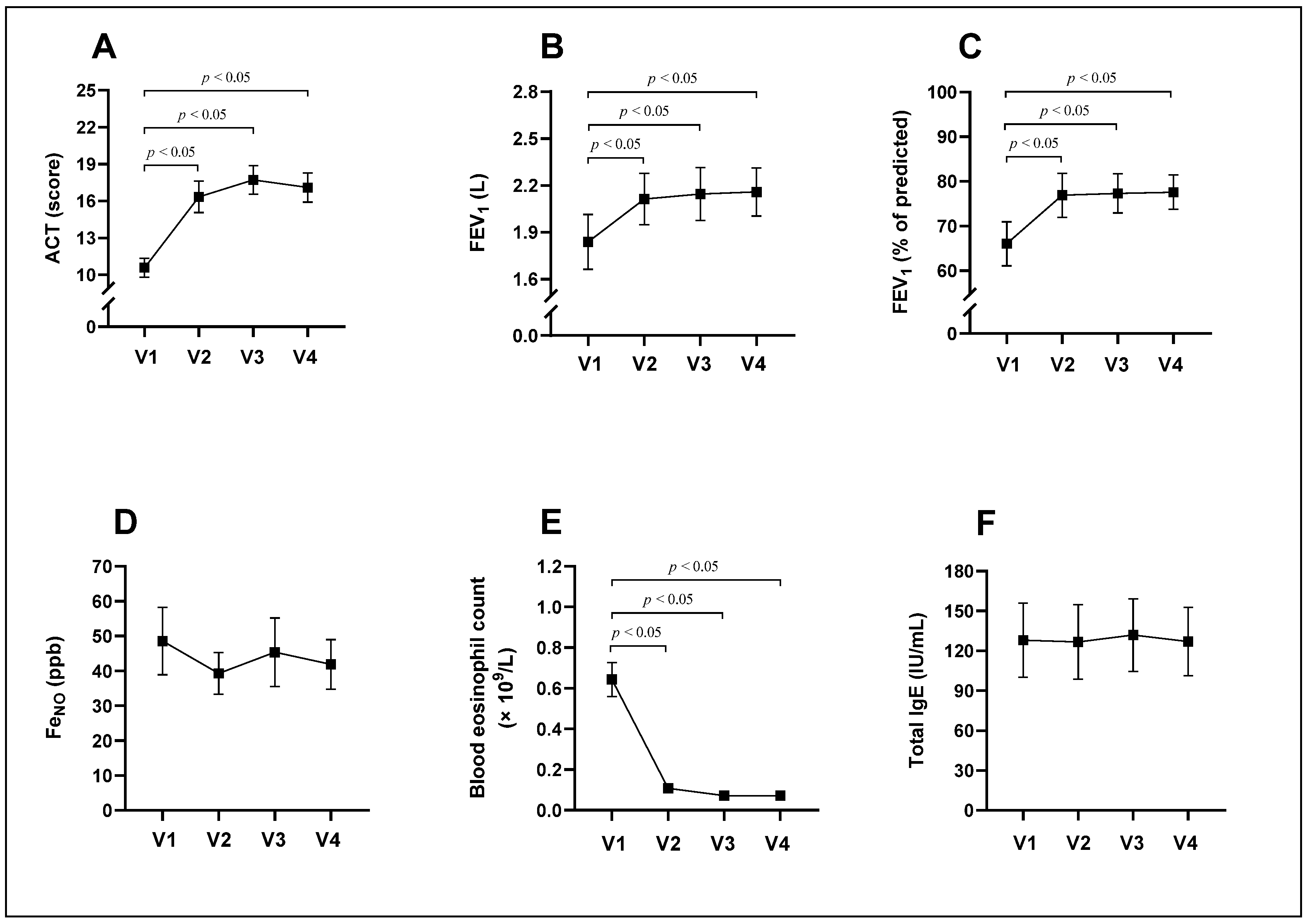
3.2. Severe Asthma Clinical Remissions Criteria at 24 Weeks of Mepolizumab Treatment
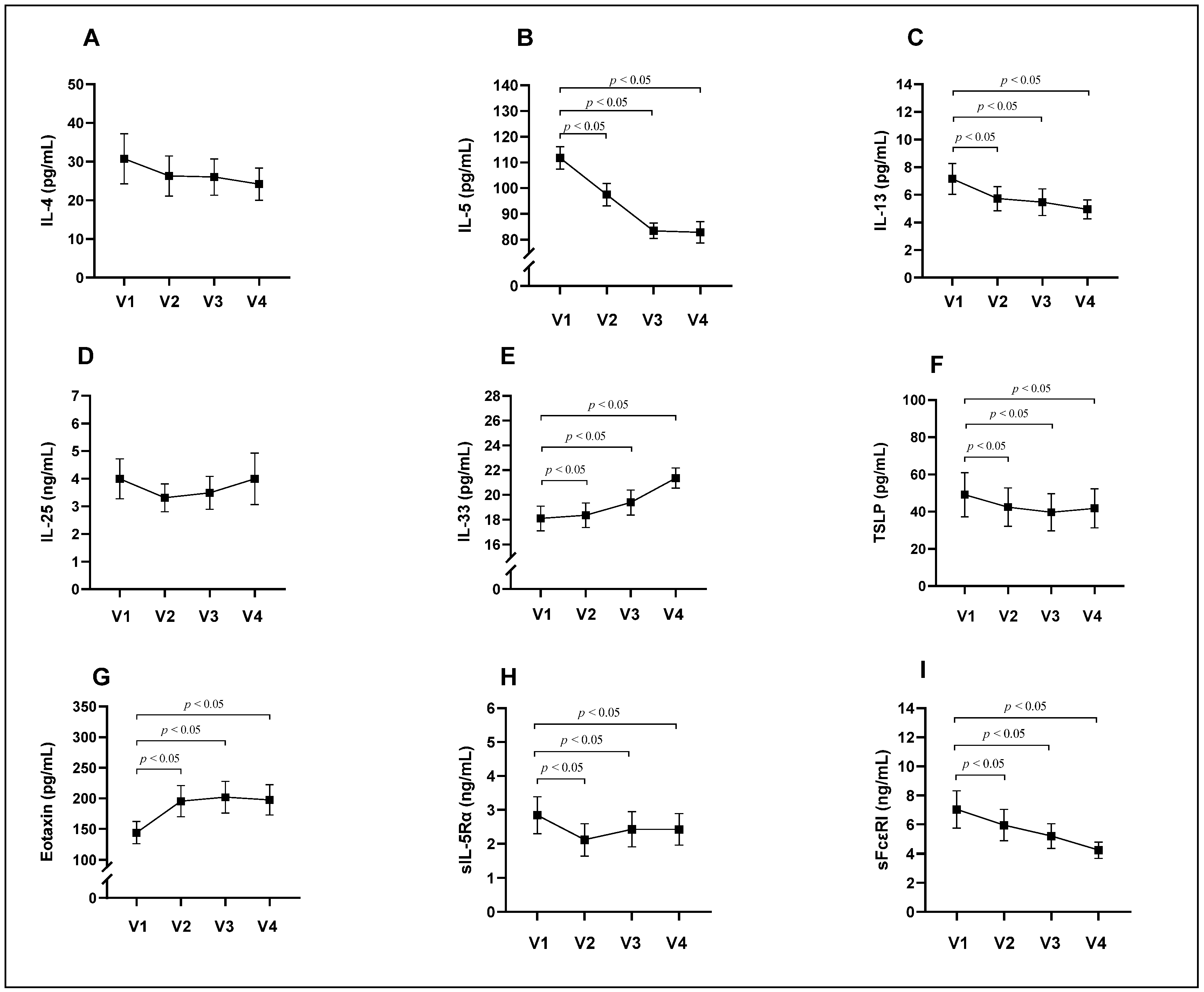
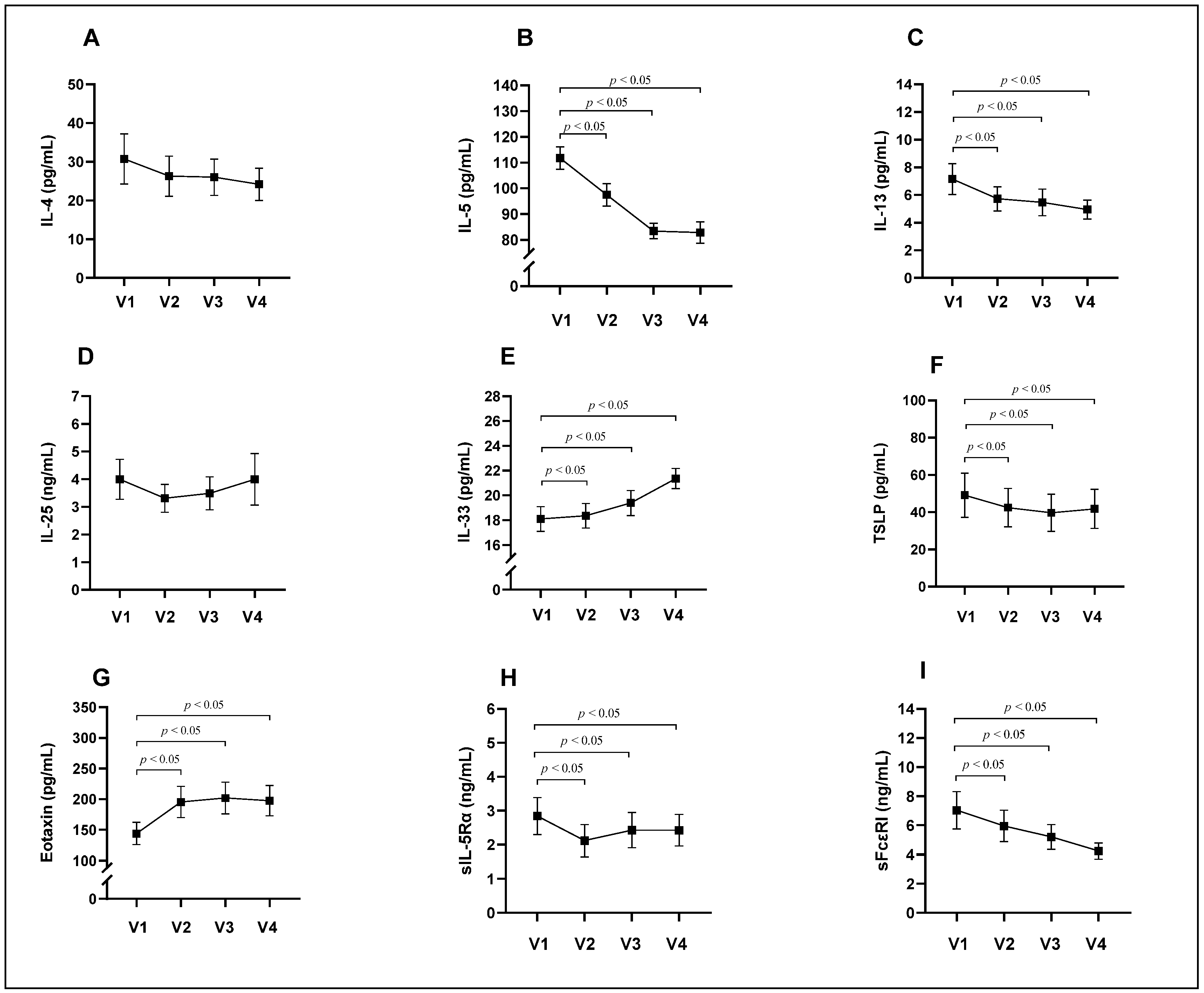
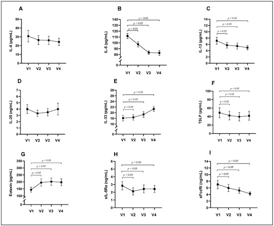
3.3. Serum Levels of Type 2 Inflammation Mediators during 24 Weeks of Treatment with the Anti-IL-5 Drug Mepolizumab
4. Discussion
5. Conclusions
Author Contributions
Funding
Institutional Review Board Statement
Informed Consent Statement
Data Availability Statement
Conflicts of Interest
Abbreviations
| ACT | asthma control test |
| CD8+ | cluster of differentiation 8 |
| ELISA | enzyme-linked immunosorbent assay |
| FeNO | fractional exhaled nitric oxide |
| FEV1 | forced expiratory volume in 1 s |
| GINA | Global Initiative for Asthma |
| Ig | immunoglobulin |
| IL | interleukin |
| ILC2 | type 2 innate lymphoid |
| sFcεRI | soluble high-affinity immunoglobulin E receptor |
| sIL-5Rα | soluble IL-5 receptor subunit alpha |
| Tfh | T follicular helper |
| Th | T-helper |
| TSLP | thymic stromal lymphopoietin |
| V1 | visit before starting mepolizumab treatment |
| V2 | visit 4 weeks after starting mepolizumab treatment (after 1 mepolizumab dose) |
| V3 | visit 12 weeks after starting mepolizumab treatment (after 3 mepolizumab doses) |
| V4 | visit 24 weeks after starting mepolizumab treatment (after 6 mepolizumab doses) |
References
- Hussain, M.; Liu, G. Eosinophilic Asthma: Pathophysiology and Therapeutic Horizons. Cells 2024, 13, 384. [Google Scholar] [CrossRef] [PubMed]
- Ilmarinen, P.; Kankaanranta, H. Eosinophil apoptosis as a therapeutic target in allergic asthma. Basic. Clin. Pharmacol. Toxicol. 2014, 114, 109–117. [Google Scholar] [CrossRef]
- Hong, H.; Liao, S.; Chen, F.; Yang, Q.; Wang, D.Y. Role of IL-25, IL-33, and TSLP in triggering united airway diseases toward type 2 inflammation. Allergy 2020, 75, 2794–2804. [Google Scholar] [CrossRef] [PubMed]
- Pelaia, C.; Paoletti, G.; Puggioni, F.; Racca, F.; Pelaia, G.; Canonica, G.W.; Heffler, E. Interleukin-5 in the Pathophysiology of Severe Asthma. Front. Physiol. 2019, 10, 1514. [Google Scholar] [CrossRef] [PubMed]
- Fahy, J.V. Type 2 inflammation in asthma—present in most, absent in many. Nat. Rev. Immunol. 2015, 15, 57–65. [Google Scholar] [CrossRef] [PubMed]
- Ueki, S.; Tokunaga, T.; Fujieda, S.; Honda, K.; Hirokawa, M.; Spencer, L.A.; Weller, P.F. Eosinophil ETosis and DNA Traps: A New Look at Eosinophilic Inflammation. Curr. Allergy Asthma Rep. 2016, 16, 54. [Google Scholar] [CrossRef] [PubMed]
- Farne, H.A.; Wilson, A.; Powell, C.; Bax, L.; Milan, S.J. Anti-IL5 therapies for asthma. Cochrane Database Syst. Rev. 2017, 9, CD010834. [Google Scholar] [CrossRef]
- Busse, W.W.; Chupp, G.; Corbridge, T.; Stach-Klysh, A.; Oppenheimer, J. Targeting Asthma Remission as the Next Therapeutic Step Toward Improving Disease Control. J. Allergy Clin. Immunol. Pract. 2024, 12, 894–903. [Google Scholar] [CrossRef] [PubMed]
- Thomas, D.; McDonald, V.M.; Pavord, I.D.; Gibson, P.G. Asthma remission: What is it and how can it be achieved? Eur. Respir. J. 2022, 60, 2102583. [Google Scholar] [CrossRef] [PubMed]
- Lin, S.C.; Shi, L.S.; Ye, Y.L. Advanced Molecular Knowledge of Therapeutic Drugs and Natural Products Focusing on Inflammatory Cytokines in Asthma. Cells 2019, 8, 685. [Google Scholar] [CrossRef] [PubMed]
- Krings, J.G.; McGregor, M.C.; Bacharier, L.B.; Castro, M. Biologics for Severe Asthma: Treatment-Specific Effects Are Important in Choosing a Specific Agent. J. Allergy Clin. Immunol. Pract. 2019, 7, 1379–1392. [Google Scholar] [CrossRef] [PubMed]
- Cusack, R.P.; Whetstone, C.E.; Xie, Y.; Ranjbar, M.; Gauvreau, G.M. Regulation of Eosinophilia in Asthma-New Therapeutic Approaches for Asthma Treatment. Cells 2021, 10, 817. [Google Scholar] [CrossRef] [PubMed]
- Pavord, I.; Gardiner, F.; Heaney, L.G.; Domingo, C.; Price, R.G.; Pullan, A.; Oppenheimer, J.; Brusselle, G.; Nagase, H.; Chupp, G.; et al. Remission outcomes in severe eosinophilic asthma with mepolizumab therapy: Analysis of the REDES study. Front. Immunol. 2023, 14, 1150162. [Google Scholar] [CrossRef] [PubMed]
- Januskevicius, A.; Jurkeviciute, E.; Janulaityte, I.; Kalinauskaite-Zukauske, V.; Miliauskas, S.; Malakauskas, K. Blood Eosinophils Subtypes and Their Survivability in Asthma Patients. Cells 2020, 9, 1248. [Google Scholar] [CrossRef] [PubMed]
- Palacionyte, J.; Januskevicius, A.; Vasyle, E.; Rimkunas, A.; Bajoriuniene, I.; Vitkauskiene, A.; Miliauskas, S.; Malakauskas, K. Novel Serum Biomarkers for Patients with Allergic Asthma Phenotype. Biomedicines 2024, 12, 232. [Google Scholar] [CrossRef] [PubMed]
- Rodriguez-Garcia, C.; Blanco-Aparicio, M.; Nieto-Fontarigo, J.J.; Blanco-Cid, N.; Gonzalez-Fernandez, C.; Mosteiro-Anon, M.; Calvo-Alvarez, U.; Perez-De-Llano, L.; Corbacho-Abelaira, M.D.; Lourido-Cebreiro, T.; et al. Efficacy of mepolizumab in usual clinical practice and characteristics of responders. Respir. Med. 2021, 187, 106595. [Google Scholar] [CrossRef] [PubMed]
- Maglio, A.; Vitale, C.; Pellegrino, S.; Calabrese, C.; D’Amato, M.; Molino, A.; Pelaia, C.; Triggiani, M.; Pelaia, G.; Stellato, C.; et al. Real-Life Effectiveness of Mepolizumab on Forced Expiratory Flow between 25% and 75% of Forced Vital Capacity in Patients with Severe Eosinophilic Asthma. Biomedicines 2021, 9, 1550. [Google Scholar] [CrossRef] [PubMed]
- Bolke, G.; Tong, X.; Zuberbier, T.; Bousquet, J.; Bergmann, K.C. Extension of mepolizumab injection intervals as potential of saving costs in well controlled patients with severe eosinophilic asthma. World Allergy Organ. J. 2022, 15, 100703. [Google Scholar] [CrossRef]
- Hassani, M.; Tak, T.; van Aalst, C.; van Nederveen, S.; Tesselaar, K.; Vrisekoop, N.; Koenderman, L. Differential effects of short- and long-term treatment with mepolizumab on eosinophil kinetics in blood and sputum in eosinophilic asthma. iScience 2021, 24, 102913. [Google Scholar] [CrossRef]
- Kalinauskaite-Zukauske, V.; Janulaityte, I.; Januskevicius, A.; Malakauskas, K. Serum levels of epithelial-derived mediators and interleukin-4/interleukin-13 signaling after bronchial challenge with Dermatophagoides pteronyssinus in patients with allergic asthma. Scand. J. Immunol. 2019, 90, e12820. [Google Scholar] [CrossRef] [PubMed]
- Contoli, M.; Santus, P.; Menzella, F.; Rocchi, C.; Radovanovic, D.; Baraldi, F.; Martelli, C.; Casanova, S.; Barbetta, C.; Micheletto, C.; et al. Effects of anti-IL5 biological treatments on blood IgE levels in severe asthmatic patients: A real-life multicentre study (BIONIGE). Clin. Transl. Allergy 2022, 12, e12143. [Google Scholar] [CrossRef] [PubMed]
- Magnan, A.; Bourdin, A.; Prazma, C.M.; Albers, F.C.; Price, R.G.; Yancey, S.W.; Ortega, H. Treatment response with mepolizumab in severe eosinophilic asthma patients with previous omalizumab treatment. Allergy 2016, 71, 1335–1344. [Google Scholar] [CrossRef] [PubMed]
- Pelaia, C.; Crimi, C.; Pelaia, G.; Nolasco, S.; Campisi, R.; Heffler, E.; Valenti, G.; Crimi, N. Real-life evaluation of mepolizumab efficacy in patients with severe eosinophilic asthma, according to atopic trait and allergic phenotype. Clin. Exp. Allergy 2020, 50, 780–788. [Google Scholar] [CrossRef] [PubMed]
- Pelletier, G.; Godbout, K.; Boulay, M.E.; Boulet, L.P.; Morissette, M.C.; Cote, A. Increase in FeNO Levels Following IL5/IL5R-Targeting Therapies in Severe Asthma: A Case Series. J. Asthma Allergy 2022, 15, 691–701. [Google Scholar] [CrossRef] [PubMed]
- Matsuyama, T.; Tomioka, Y.; Matsuyama, H.; Kamenohara, Y.; Tanigawa, K.; Dotake, Y.; Hagihara, Y.; Takagi, K.; Machida, K.; Inoue, H. Severe asthma remaining well-controlled after mepolizumab discontinuation: A case report and literature review. Respirol. Case Rep. 2023, 11, e01158. [Google Scholar] [CrossRef] [PubMed]
- Ortega, H.G.; Liu, M.C.; Pavord, I.D.; Brusselle, G.G.; FitzGerald, J.M.; Chetta, A.; Humbert, M.; Katz, L.E.; Keene, O.N.; Yancey, S.W.; et al. Mepolizumab treatment in patients with severe eosinophilic asthma. N. Engl. J. Med. 2014, 371, 1198–1207. [Google Scholar] [CrossRef] [PubMed]
- Pavord, I.D.; Korn, S.; Howarth, P.; Bleecker, E.R.; Buhl, R.; Keene, O.N.; Ortega, H.; Chanez, P. Mepolizumab for severe eosinophilic asthma (DREAM): A multicentre, double-blind, placebo-controlled trial. Lancet 2012, 380, 651–659. [Google Scholar] [CrossRef] [PubMed]
- Bel, E.H.; Wenzel, S.E.; Thompson, P.J.; Prazma, C.M.; Keene, O.N.; Yancey, S.W.; Ortega, H.G.; Pavord, I.D.; Investigators, S. Oral glucocorticoid-sparing effect of mepolizumab in eosinophilic asthma. N. Engl. J. Med. 2014, 371, 1189–1197. [Google Scholar] [CrossRef] [PubMed]
- Maglio, A.; Vitale, C.; Pelaia, C.; D’Amato, M.; Ciampo, L.; Sferra, E.; Molino, A.; Pelaia, G.; Vatrella, A. Severe Asthma Remissions Induced by Biologics Targeting IL5/IL5r: Results from a Multicenter Real-Life Study. Int. J. Mol. Sci. 2023, 24, 2455. [Google Scholar] [CrossRef] [PubMed]
- Calderon, A.A.; Dimond, C.; Choy, D.F.; Pappu, R.; Grimbaldeston, M.A.; Mohan, D.; Chung, K.F. Targeting interleukin-33 and thymic stromal lymphopoietin pathways for novel pulmonary therapeutics in asthma and COPD. Eur. Respir. Rev. 2023, 32, 2455. [Google Scholar] [CrossRef] [PubMed]
- Kalinauskaite-Zukauske, V.; Januskevicius, A.; Janulaityte, I.; Miliauskas, S.; Malakauskas, K. Serum Levels of Epithelial-Derived Cytokines as Interleukin-25 and Thymic Stromal Lymphopoietin after a Single Dose of Mepolizumab in Patients with Severe Non-Allergic Eosinophilic Asthma: A Short Report. Can. Respir. J. 2019, 2019, 8607657. [Google Scholar] [CrossRef] [PubMed]
- Yuan, Q.; Peng, N.; Xiao, F.; Shi, X.; Zhu, B.; Rui, K.; Tian, J.; Lu, L. New insights into the function of Interleukin-25 in disease pathogenesis. Biomark. Res. 2023, 11, 36. [Google Scholar] [CrossRef] [PubMed]
- Peng, B.; Sun, L.; Zhang, M.; Yan, H.; Shi, G.; Xia, Z.; Dai, R.; Tang, W. Role of IL-25 on Eosinophils in the Initiation of Th2 Responses in Allergic Asthma. Front. Immunol. 2022, 13, 842500. [Google Scholar] [CrossRef] [PubMed]
- Angulo, E.L.; McKernan, E.M.; Fichtinger, P.S.; Mathur, S.K. Comparison of IL-33 and IL-5 family mediated activation of human eosinophils. PLoS ONE 2019, 14, e0217807. [Google Scholar] [CrossRef] [PubMed]
- Al-Shami, A.; Spolski, R.; Kelly, J.; Keane-Myers, A.; Leonard, W.J. A role for TSLP in the development of inflammation in an asthma model. J. Exp. Med. 2005, 202, 829–839. [Google Scholar] [CrossRef] [PubMed]
- Tang, W.; Smith, S.G.; Beaudin, S.; Dua, B.; Howie, K.; Gauvreau, G.; O’Byrne, P.M. IL-25 and IL-25 receptor expression on eosinophils from subjects with allergic asthma. Int. Arch. Allergy Immunol. 2014, 163, 5–10. [Google Scholar] [CrossRef]
- Iwaszko, M.; Bialy, S.; Bogunia-Kubik, K. Significance of Interleukin (IL)-4 and IL-13 in Inflammatory Arthritis. Cells 2021, 10, 3000. [Google Scholar] [CrossRef] [PubMed]
- Pelaia, C.; Heffler, E.; Crimi, C.; Maglio, A.; Vatrella, A.; Pelaia, G.; Canonica, G.W. Interleukins 4 and 13 in Asthma: Key Pathophysiologic Cytokines and Druggable Molecular Targets. Front. Pharmacol. 2022, 13, 851940. [Google Scholar] [CrossRef] [PubMed]
- Zhu, J. T helper 2 (Th2) cell differentiation, type 2 innate lymphoid cell (ILC2) development and regulation of interleukin-4 (IL-4) and IL-13 production. Cytokine 2015, 75, 14–24. [Google Scholar] [CrossRef] [PubMed]
- Noval Rivas, M.; Burton, O.T.; Oettgen, H.C.; Chatila, T. IL-4 production by group 2 innate lymphoid cells promotes food allergy by blocking regulatory T-cell function. J. Allergy Clin. Immunol. 2016, 138, 801–811. [Google Scholar] [CrossRef] [PubMed]
- Brusselle, G.G.; Maes, T.; Bracke, K.R. Eosinophils in the spotlight: Eosinophilic airway inflammation in nonallergic asthma. Nat. Med. 2013, 19, 977–979. [Google Scholar] [CrossRef] [PubMed]
- Neilsen, C.V.; Bryce, P.J. Interleukin-13 directly promotes oesophagus production of CCL11 and CCL24 and the migration of eosinophils. Clin. Exp. Allergy 2010, 40, 427–434. [Google Scholar] [CrossRef] [PubMed]
- Conroy, D.M.; Williams, T.J. Eotaxin and the attraction of eosinophils to the asthmatic lung. Respir. Res. 2001, 2, 150–156. [Google Scholar] [CrossRef] [PubMed]
- Kelly, E.A.; Esnault, S.; Liu, L.Y.; Evans, M.D.; Johansson, M.W.; Mathur, S.; Mosher, D.F.; Denlinger, L.C.; Jarjour, N.N. Mepolizumab Attenuates Airway Eosinophil Numbers, but Not Their Functional Phenotype, in Asthma. Am. J. Respir. Crit. Care Med. 2017, 196, 1385–1395. [Google Scholar] [CrossRef] [PubMed]
- Wilson, T.M.; Maric, I.; Shukla, J.; Brown, M.; Santos, C.; Simakova, O.; Khoury, P.; Fay, M.P.; Kozhich, A.; Kolbeck, R.; et al. IL-5 receptor alpha levels in patients with marked eosinophilia or mastocytosis. J. Allergy Clin. Immunol. 2011, 128, 1086–1092.e3. [Google Scholar] [CrossRef] [PubMed]
- Liu, L.Y.; Sedgwick, J.B.; Bates, M.E.; Vrtis, R.F.; Gern, J.E.; Kita, H.; Jarjour, N.N.; Busse, W.W.; Kelly, E.A. Decreased expression of membrane IL-5 receptor alpha on human eosinophils: I. Loss of membrane IL-5 receptor alpha on airway eosinophils and increased soluble IL-5 receptor alpha in the airway after allergen challenge. J. Immunol. 2002, 169, 6452–6458. [Google Scholar] [CrossRef] [PubMed]
- Messingham, K.N.; Holahan, H.M.; Frydman, A.S.; Fullenkamp, C.; Srikantha, R.; Fairley, J.A. Human eosinophils express the high affinity IgE receptor, FcepsilonRI, in bullous pemphigoid. PLoS ONE 2014, 9, e107725. [Google Scholar] [CrossRef] [PubMed]
- Gounni, A.S.; Lamkhioued, B.; Ochiai, K.; Tanaka, Y.; Delaporte, E.; Capron, A.; Kinet, J.P.; Capron, M. High-affinity IgE receptor on eosinophils is involved in defence against parasites. Nature 1994, 367, 183–186. [Google Scholar] [CrossRef] [PubMed]
- Monino-Romero, S.; Lexmond, W.S.; Singer, J.; Bannert, C.; Amoah, A.S.; Yazdanbakhsh, M.; Boakye, D.A.; Jensen-Jarolim, E.; Fiebiger, E.; Szepfalusi, Z. Soluble FcvarepsilonRI: A biomarker for IgE-mediated diseases. Allergy 2019, 74, 1381–1384. [Google Scholar] [CrossRef] [PubMed]
- Pelaia, G.; Canonica, G.W.; Matucci, A.; Paolini, R.; Triggiani, M.; Paggiaro, P. Targeted therapy in severe asthma today: Focus on immunoglobulin E. Drug Des. Dev. Ther. 2017, 11, 1979–1987. [Google Scholar] [CrossRef] [PubMed][Green Version]




| Inclusion Criteria | Exclusion Criteria |
|---|---|
| Severe asthma history ≥ 12 months High doses of inhaled steroids + long-acting beta agonist + episodic use of oral steroids ≥ 12 months Uncontrolled asthma ≥ 12 months Two or more asthma exacerbations per year, which require short-term systemic corticosteroids (≤14 days). Peripheral blood eosinophil ≥ 0.15 × 109/L | Age < 18 years Asthma exacerbation ≤ 1 months prior to study Supported asthma therapy of oral corticosteroid (>30 days) Active airway infection ≤ 1 months prior to study Active smoking (at least one cigarette a day), former smoker (at least 100 cigarettes in lifetime) Clinically significant non-controlled other organs disease |
| Characteristic | T2-High Severe Asthma | |||
|---|---|---|---|---|
| Number, n | 18 | |||
| Sex, M/F | 4/14 | |||
| Age, years | 57.6 ± 2.2 | |||
| BMI, kg/m2 | 30.3 ± 1.7 | |||
| Number of patients with positive skin prick test/negative skin prick test | 8/10 | |||
| V1 | V2 | V3 | V4 | |
| Number of patients who had asthma exacerbations | 18 | 0 | 1 | 0 |
| ACT, score | 10.6 ± 0.8 *#£ | 16.3 ± 1.3 | 17.7 ± 1.2 | 17.1 ± 1.2 |
| FEV1, L | 1.84 ± 0.18 *#£ | 2.11 ± 0.16 | 2.15 ± 0.17 | 2.16 ± 0.15 |
| FEV1, % of predicted | 66.0 ± 4.9 *#£ | 76.9 ± 4.9 | 77.3 ± 4.4 | 77.6 ± 3.8 |
| FeNO, ppb | 48.6 ± 9.7 | 39.3 ± 6.0 | 45.3 ± 9.8 | 41.9 ± 7.1 |
| Blood eosinophil level, ×109/L | 0.64 ± 0.08 *#£ | 0.11 ± 0.02 | 0.07 ± 0.01 | 0.07 ± 0.01 |
| Total IgE, IU/mL | 128.1 ± 27.9 | 126.7 ± 28.0 | 131.9 ± 27.3 | 127.0 ± 25.7 |
| T2-High Severe Asthma | ||||
|---|---|---|---|---|
| V1 | V2 | V3 | V4 | |
| IL-4 (pg/mL) | 30.7 ± 6.5 | 26.3 ± 2.2 | 26.0 ± 4.7 | 24.2 ± 4.2 |
| IL-5 (pg/mL) | 111.7 ± 4.4 *#£ | 97.5 ± 4.3 | 83.5 ± 3.0 | 82.8 ± 4.1 |
| IL-13 (pg/mL) | 7.2 ± 1.1 *#£ | 5.7 ± 0.9 | 5.5 ± 1.0 | 4.9 ± 0.8 |
| IL-25 (ng/mL) | 4.0 ± 0.7 | 3.3 ± 0.5 | 3.5 ± 0.6 | 4.0 ± 0.9 |
| IL-33 (pg/mL) | 18. 1 ± 1.0 *#£ | 18.4 ± 1.0 | 19.4 ± 1.0 | 21.3 ± 0.8 |
| TSLP (pg/mL) | 49.1 ± 11.9 *#£ | 42.4 ± 10.3 | 39.7 ± 10.0 | 41.8 ± 10.5 |
| sIL-5Rα (ng/mL) | 2.84 ± 0.55 *#£ | 2.11 ± 0.47 | 2.43 ± 0.52 | 2.42 ± 0.47 |
| Eotaxin (pg/mL) | 143.9 ± 18.2 *#£ | 195.3 ± 25.5 | 201.7 ± 25.9 | 197.5 ± 24.8 |
| sFcεRI (ng/mL) | 7.0 ± 1.3 *#£ | 5.9 ± 1.1 | 5.2 ± 0.9 | 4.2 ± 0.6 |
Disclaimer/Publisher’s Note: The statements, opinions and data contained in all publications are solely those of the individual author(s) and contributor(s) and not of MDPI and/or the editor(s). MDPI and/or the editor(s) disclaim responsibility for any injury to people or property resulting from any ideas, methods, instructions or products referred to in the content. |
© 2024 by the authors. Licensee MDPI, Basel, Switzerland. This article is an open access article distributed under the terms and conditions of the Creative Commons Attribution (CC BY) license (https://creativecommons.org/licenses/by/4.0/).
Share and Cite
Palacionyte, J.; Januskevicius, A.; Vasyle, E.; Rimkunas, A.; Miliauskas, S.; Malakauskas, K. Clinical Remission Criteria and Serum Levels of Type 2 Inflammation Mediators during 24 Weeks of Treatment with the Anti-IL-5 Drug Mepolizumab in Patients with T2-High Severe Asthma. Diagnostics 2024, 14, 1345. https://doi.org/10.3390/diagnostics14131345
Palacionyte J, Januskevicius A, Vasyle E, Rimkunas A, Miliauskas S, Malakauskas K. Clinical Remission Criteria and Serum Levels of Type 2 Inflammation Mediators during 24 Weeks of Treatment with the Anti-IL-5 Drug Mepolizumab in Patients with T2-High Severe Asthma. Diagnostics. 2024; 14(13):1345. https://doi.org/10.3390/diagnostics14131345
Chicago/Turabian StylePalacionyte, Jolita, Andrius Januskevicius, Egle Vasyle, Airidas Rimkunas, Skaidrius Miliauskas, and Kestutis Malakauskas. 2024. "Clinical Remission Criteria and Serum Levels of Type 2 Inflammation Mediators during 24 Weeks of Treatment with the Anti-IL-5 Drug Mepolizumab in Patients with T2-High Severe Asthma" Diagnostics 14, no. 13: 1345. https://doi.org/10.3390/diagnostics14131345
APA StylePalacionyte, J., Januskevicius, A., Vasyle, E., Rimkunas, A., Miliauskas, S., & Malakauskas, K. (2024). Clinical Remission Criteria and Serum Levels of Type 2 Inflammation Mediators during 24 Weeks of Treatment with the Anti-IL-5 Drug Mepolizumab in Patients with T2-High Severe Asthma. Diagnostics, 14(13), 1345. https://doi.org/10.3390/diagnostics14131345

