Evaluating the Efficacy and Safety of Aspirin for Primary Cardiovascular Prevention in Asian Patients with Type 2 Diabetes: A Population-Based and Propensity Score-Matched Study
Abstract
1. Introduction
2. Materials and Methods
2.1. Data Source
2.2. Study Population
2.3. Long-Term Low-Dose Aspirin Exposure for Primary Prevention
2.4. Patient Characteristics and Selection of Study Control
2.5. Study Events
2.6. Subgroup Analysis
2.7. Statistical Analysis
3. Results
3.1. Baseline Characteristics
3.2. Risk of All-Cause Mortality and Clinical Cardiovascular Outcomes
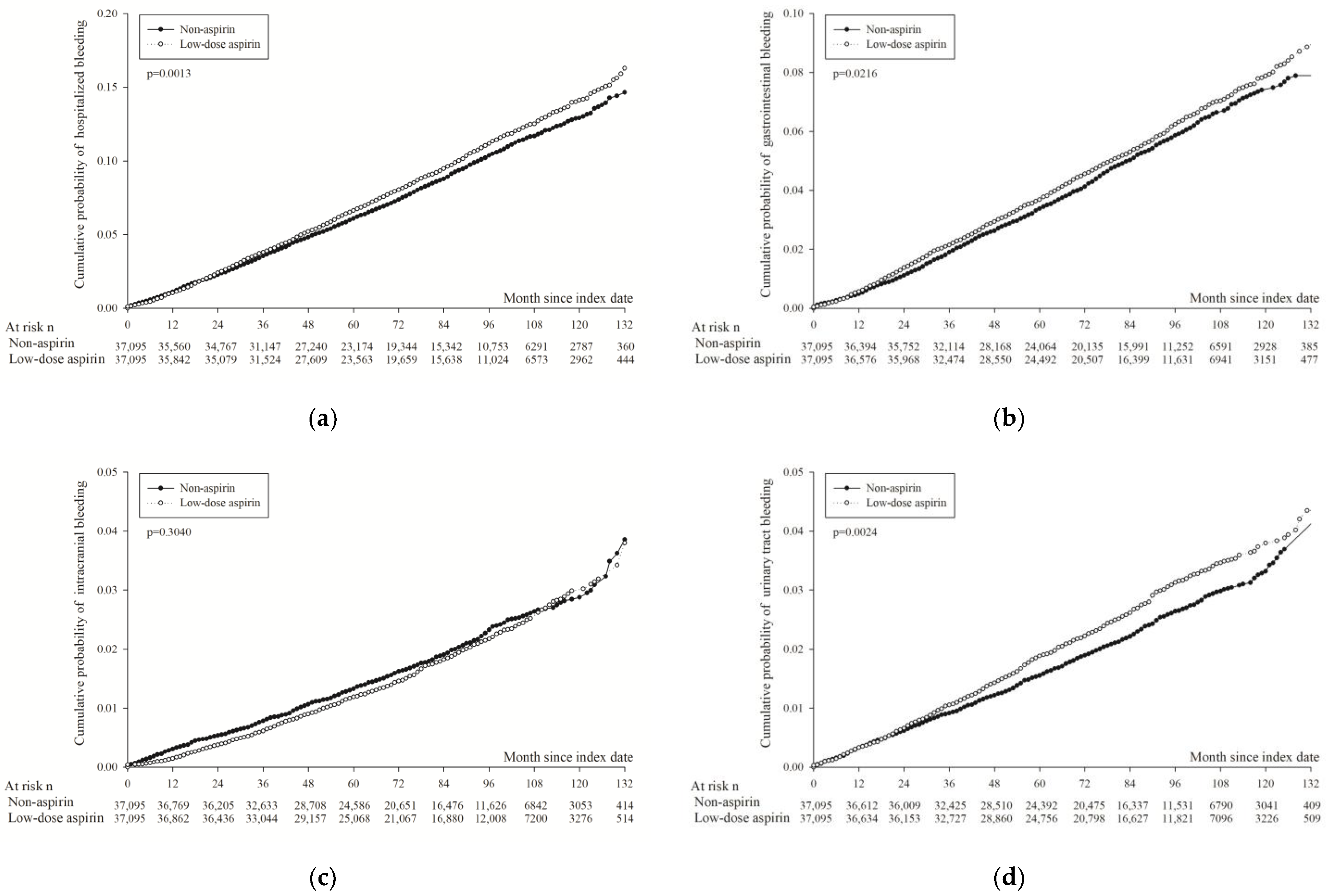
3.3. Safety Endpoint of Hospitalized Major Bleeding
3.4. Subgroup Analysis
4. Discussion
5. Conclusions
Author Contributions
Funding
Institutional Review Board Statement
Informed Consent Statement
Data Availability Statement
Conflicts of Interest
References
- American Diabetes Association (ADA). Cardiovascular disease and risk management: Standards of medical care in diabetes-2021. Diabetes Care 2021, 44, S125–S150. [Google Scholar] [CrossRef] [PubMed]
- Bowman, L.; Mafham, M.; Wallendszus, K.; Stevens, W.; Buck, G.; Barton, J.; Murphy, K.; Aung, T.; Haynes, R.; Cox, J.; et al. Effects of aspirin for primary prevention in persons with diabetes mellitus. N. Engl. J. Med. 2018, 379, 1529–1539. [Google Scholar] [PubMed]
- Ogawa, H.; Nakayama, M.; Morimoto, T.; Uemura, S.; Kanauchi, M. Low-dose aspirin for primary prevention of atherosclerotic events in patients with type 2 diabetes. JAMA 2008, 300, 2134–2141. [Google Scholar] [CrossRef] [PubMed]
- Sung, S.F.; Hsieh, C.Y.; Lin, H.J.; Chen, Y.W.; Yang, Y.H.; Li, C.Y. Validation of algorithms to identify stroke risk factors in patients with acute ischemic stroke, transient ischemic attack, or intracerebral hemorrhage in an administrative claims database. Int. J. Cardiol. 2016, 215, 277–282. [Google Scholar] [CrossRef]
- Antithrombotic Trialists’ (ATT) Collaboration; Baigent, C.; Blackwell, L.; Collins, R.; Emberson, J.; Godwin, J.; Peto, R.; Buring, J.; Hennekens, C.; Kearney, P.; et al. Aspirin in the primary and secondary prevention of vascular disease: Collaborative meta-analysis of individual participant data from randomised trials. Lancet 2009, 373, 1849–1860. [Google Scholar]
- Stavrakis, S.; Thadani, U.; Azar, M.; Wayangankar, S.; Stoner, J.A. Low-dose aspirin for primary prevention of cardiovascular events in patients with diabetes: A meta-analysis. Am. J. Med. Sci. 2011, 341, 1–9. [Google Scholar] [CrossRef] [PubMed]
- McNeil, J.J.; Wolfe, R.; Woods, R.L.; Tonkin, A.M.; Donnan, G.A.; Nelson, M.R.; Reid, C.M.; Lockery, J.E.; Kirpach, B.; Storey, E.; et al. Effect of aspirin on cardiovascular events and bleeding in the healthy elderly. N. Engl. J. Med. 2018, 379, 1509–1518. [Google Scholar] [CrossRef] [PubMed]
- Haffner, S.M.; Lehto, S.; Rönnemaa, T.; Pyörälä, K.; Laakso, M. Mortality from coronary heart disease in subjects with type 2 diabetes and in nondiabetic subjects with and without prior myocardial infarction. N. Engl. J. Med. 1998, 339, 229–234. [Google Scholar] [CrossRef] [PubMed]
- Kannel, W.B.; McGee, D.L. Diabetes and cardiovascular disease: The framingham study. JAMA 1979, 241, 2035–2038. [Google Scholar] [CrossRef] [PubMed]
- Collaboration, A.T. Collaborative meta-analysis of randomised trials of antiplatelet therapy for prevention of death, myocardial infarction, and stroke in high risk patients. BMJ 2002, 324, 71–86. [Google Scholar] [CrossRef] [PubMed]
- Belch, J.; MacCuish, A.; Campbell, I.; Cobbe, S.; Taylor, R.; Prescott, R.; Lee, R.; Bancroft, J.; MacEwan, S.; Shepherd, J.; et al. The prevention of progression of arterial disease and diabetes (popadad) trial: Factorial randomised placebo controlled trial of aspirin and antioxidants in patients with diabetes and asymptomatic peripheral arterial disease. BMJ 2008, 337, a1840. [Google Scholar] [CrossRef] [PubMed]
- De Berardis, G.; Sacco, M.; Strippoli, G.F.M.; Pellegrini, F.; Graziano, G.; Tognoni, G.; Nicolucci, A. Aspirin for primary prevention of cardiovascular events in people with diabetes: Meta-analysis of randomised controlled trials. BMJ 2009, 339, b4531. [Google Scholar] [CrossRef] [PubMed]
- Zhang, C.; Sun, A.; Zhang, P.; Wu, C.; Zhang, S.; Fu, M.; Wang, K.; Zou, Y.; Ge, J. Aspirin for primary prevention of cardiovascular events in patients with diabetes: A meta-analysis. Diabetes Res. Clin. Pract. 2010, 87, 211–218. [Google Scholar] [CrossRef] [PubMed]
- Saito, Y.; Okada, S.; Ogawa, H.; Soejima, H.; Sakuma, M.; Nakayama, M.; Doi, N.; Jinnouchi, H.; Waki, M.; Masuda, I.; et al. Low-dose aspirin for primary prevention of cardiovascular events in patients with type 2 diabetes mellitus. Circulation 2017, 135, 659–670. [Google Scholar] [CrossRef] [PubMed]
- Fox, C.S.; Coady, S.; Sorlie, P.D.; Levy, D.; James, B.M.; D’Agostino, R.B.; Wilson, P.W.F.; Savage, P.J. Trends in cardiovascular complications of diabetes. J. Am. Med. Assoc. 2004, 292, 2495–2499. [Google Scholar] [CrossRef] [PubMed]
- Pignone, M.; Alberts, M.J.; Colwell, J.A.; Cushman, M.; Inzucchi, S.E.; Mukherjee, D.; Rosenson, R.S.; Williams, C.D.; Wilson, P.W.; Kirkman, M.S. Aspirin for primary prevention of cardiovascular events in people with diabetes. Circulation 2010, 121, 2694–2701. [Google Scholar] [CrossRef] [PubMed]






| Before PSM | After PSM | |||||
|---|---|---|---|---|---|---|
| Non-Aspirin | Aspirin | ASD | Non-Aspirin | Aspirin | ASD | |
| N | 83,174 | 41,587 | 37,095 | 37,095 | ||
| Year of DM diagnosis | 0.000 | 0.006 | ||||
| 2006–2010 | 58,982 (70.91%) | 29,491 (70.91%) | 25,989 (70.05%) | 26,068 (70.26%) | ||
| 2011–2015 | 24,192 (29.08%) | 12,096 (29.08%) | 11,106 (29.94%) | 11,027 (29.74%) | ||
| Sex | 0.000 | 0.008 | ||||
| Male | 47,418 (57.01%) | 23,709 (57.01%) | 20,879 (56.29%) | 21,058 (56.77%) | ||
| Female | 35,756 (42.99%) | 17,878 (42.99%) | 16,216 (43.71%) | 16,037 (43.23%) | ||
| Age | 0.000 | 0.032 | ||||
| 20–50 | 18,132 (21.80%) | 9066 (21.80%) | 7374 (19.88%) | 7973 (21.49%) | ||
| 50–60 | 29,486 (35.45%) | 14,743 (35.45%) | 13,024 (35.11%) | 13,101 (35.32%) | ||
| 60–70 | 21,302 (25.61%) | 10,651 (25.61%) | 9787 (26.38%) | 9540 (25.72%) | ||
| ≥70 | 14,254 (17.14%) | 7127 (17.14%) | 6910 (18.63%) | 6481 (17.47%) | ||
| Comorbidity | ||||||
| Hypertension | 40,409 (48.58%) | 31,504 (75.75%) | 0.584 | 27,687 (74.64%) | 27,085 (73.02%) | 0.037 |
| Chronic liver diseases | 12176 (14.64%) | 5161 (12.41%) | 0.065 | 4750 (12.80%) | 4715 (12.71%) | 0.003 |
| Malignancy | 4225 (5.08%) | 1366 (3.28%) | 0.090 | 1300 (3.50%) | 1301 (3.51%) | 0.000 |
| Hyperlipidemia | 35,875 (43.13%) | 25,102 (60.36%) | 0.350 | 21,834 (58.86%) | 21,463 (57.86%) | 0.020 |
| Chronic kidney diseases | 3329 (4.00%) | 1974 (4.75%) | 0.036 | 1698 (4.58%) | 1706 (4.60%) | 0.001 |
| Peptic ulcer | 2842 (3.42%) | 1538 (3.70%) | 0.015 | 1340 (3.61%) | 1325 (3.57%) | 0.002 |
| Gout | 8064 (9.70%) | 3034 (7.30%) | 0.086 | 2796 (7.54%) | 2826 (7.62%) | 0.003 |
| Dementia | 6751 (8.12%) | 3616 (8.70%) | 0.021 | 3229 (8.70%) | 3224 (8.69%) | 0.000 |
| Medication | ||||||
| Biguanides | 40,785 (49.04%) | 26,750 (64.32%) | 0.312 | 23,135 (62.37%) | 23,008 (62.02%) | 0.007 |
| Sulfonylureas | 31,749 (38.17%) | 20,832 (50.09%) | 0.242 | 17,776 (47.92%) | 17,782 (47.94%) | 0.000 |
| Alpha glucosidase inhibitors | 5316 (6.39%) | 4396 (10.57%) | 0.150 | 3406 (9.18%) | 3467 (9.35%) | 0.006 |
| Thiazolidinediones | 3426 (4.12%) | 3013 (7.25%) | 0.135 | 2290 (6.17%) | 2339 (6.31%) | 0.005 |
| DPP-4 | 3383 (4.07%) | 2740 (6.59%) | 0.112 | 2183 (5.88%) | 2205 (5.94%) | 0.003 |
| Insulin | 2751 (3.31%) | 1523 (3.66%) | 0.019 | 1255 (3.38%) | 1285 (3.46%) | 0.004 |
| NSAIDs | 30,578 (36.76%) | 15,817 (38.03%) | 0.026 | 14,103 (38.02%) | 14,005 (37.75%) | 0.005 |
| Systemic corticosteroids | 6433 (7.73%) | 3217 (7.74%) | 0.000 | 2836 (7.65%) | 2861 (7.71%) | 0.003 |
| Statin | 22,711 (27.31%) | 20,445 (49.16%) | 0.462 | 16,747 (45.15%) | 16,808 (45.31%) | 0.003 |
| Fibrates | 8532 (10.26%) | 7743 (18.62%) | 0.240 | 6170 (16.63%) | 6126 (16.51%) | 0.003 |
| PPI | 4487 (5.39%) | 1480 (3.56%) | 0.089 | 1372 (3.70%) | 1399 (3.77%) | 0.004 |
| Alpha-blockers | 2345 (2.82%) | 1771 (4.26%) | 0.078 | 1403 (3.78%) | 1475 (3.98%) | 0.010 |
| Beta-blockers | 15,320 (18.42%) | 13,315 (32.02%) | 0.317 | 10,860 (29.28%) | 10,931 (29.47%) | 0.004 |
| CCBs | 23,856 (28.68%) | 19,924 (47.91%) | 0.404 | 17,012 (45.86%) | 16,793 (45.27%) | 0.012 |
| ACEI/ARBs | 25,317 (30.44%) | 24,408 (58.69%) | 0.404 | 19,783 (53.33%) | 20,243 (54.57%) | 0.012 |
| Diuretics | 7387 (8.88%) | 6775 (16.29%) | 0.240 | 5159 (13.91%) | 5386 (14.52%) | 0.018 |
| Non-Aspirin, n = 37,095 | Aspirin, n = 37,095 | Crude RR | Adjusted HR | |||||
|---|---|---|---|---|---|---|---|---|
| Person-Years | Event | Rate † | Person-Years | Event | Rate † | |||
| All-cause mortality | 237,501.5 | 3734 | 15.72 | 240,716.7 | 3487 | 14.49 | 0.915 (0.874–0.959) | 0.916 (0.874–0.959) |
| Primary composite endpoint | 228,049.3 | 3574 | 15.67 | 226,699.8 | 4636 | 20.45 | 1.306 (1.250–1.364) | 1.336 (1.279–1.396) |
| Non-fatal AMI | 236,442.5 | 459 | 1.94 | 239,094.3 | 616 | 2.58 | 1.322 (1.172–1.492) | 1.327 (1.175–1.497) |
| Non-fatal Ischemic stroke | 231,537.7 | 2162 | 9.34 | 231,742.1 | 2907 | 12.54 | 1.343 (1.271–1.420) | 1.375 (1.300–1.453) |
| Heart failure | 234,600.0 | 1325 | 5.65 | 237,085.8 | 1553 | 6.55 | 1.154 (1.072–1.241) | 1.175 (1.092–1.265) |
| Coronary revascularization | 236,174.4 | 448 | 1.90 | 237,802.9 | 870 | 3.66 | 1.928 (1.720–2.160) | 1.940 (1.731–2.174) |
| PCI | 236,316.2 | 402 | 1.70 | 238,113.0 | 770 | 3.23 | 1.900 (1.684–2.143) | 1.912 (1.695–2.157) |
| CABG | 237,329.6 | 58 | 0.24 | 240,296.9 | 134 | 0.56 | 2.278 (1.674–3.100) | 2.268 (1.666–3.087) |
| All hospitalized bleeding | 219,879.0 | 4130 | 18.78 | 223,967.5 | 4166 | 18.60 | 1.085 (1.032–1.140) | 1.083 (1.030–1.138) |
| Gastrointestinal bleeding | 228,824.9 | 2218 | 9.69 | 232,925.3 | 2173 | 9.33 | 1.080 (1.011–1.154) | 1.083 (1.014–1.157) |
| Intracranial bleeding | 234,135.3 | 891 | 3.81 | 237,847.8 | 828 | 3.48 | 0.945 (0.848–1.053) | 0.944 (0.847–1.052) |
| Hematuria | 232,022.4 | 1139 | 4.91 | 234,850.5 | 1248 | 5.31 | 1.160 (1.054–1.278) | 1.161 (1.054–1.279) |
| Rate (per 1000 Person Years) | |||
|---|---|---|---|
| Non-Aspirin | Aspirin | aHR | |
| For all-cause mortality | |||
| Number of risk factor ‡ | |||
| 0 | 16.08 | 16.03 | 0.937 (0.806–1.091) |
| 1 | 14.57 | 14.30 | 0.952 (0.889–1.018) |
| 2 | 16.79 | 15.97 | 0.971 (0.910–1.038) |
| 3 | 42.95 | 36.58 | 0.854 (0.747–0.978) |
| 4 | 59.22 | 55.51 | 0.749 (0.410–1.368) |
| p for interaction | 0.5645 | ||
| Composite cardiovascular events | |||
| Number of risk factors ‡ | |||
| 0 | 13.80 | 24.86 | 1.715 (1.479–1.988) |
| 1 | 15.73 | 23.03 | 1.471 (1.384–1.564) |
| 2 | 17.26 | 24.72 | 1.509 (1.420–1.604) |
| 3 | 37.44 | 51.80 | 1.459 (1.275–1.670) |
| 4 | 52.74 | 69.14 | 1.713 (0.866–3.386) |
| p for interaction | 0.3512 | ||
| For acute myocardial infarction | |||
| Number of risk factors ‡ | |||
| 0 | 2.09 | 2.41 | 1.117 (0.745–1.676) |
| 1 | 1.90 | 2.56 | 1.331 (1.118–1.585) |
| 2 | 2.11 | 2.56 | 1.200 (1.007–1.430) |
| 3 | 4.00 | 3.82 | 0.963 (0.628–1.475) |
| 4 | 5.34 | 9.84 | 2.228 (0.49–10.131) |
| p for interaction | 0.6049 | ||
| For ischemic stroke | |||
| Number of risk factors ‡ | |||
| 0 | 8.03 | 18.01 | 2.153 (1.791–2.587) |
| 1 | 10.19 | 16.00 | 1.583 (1.470–1.705) |
| 2 | 10.49 | 15.83 | 1.587 (1.471–1.713) |
| 3 | 19.58 | 32.63 | 1.698 (1.427–2.020) |
| 4 | 30.18 | 37.94 | 1.344 (0.651–2.774) |
| p for interaction | 0.0280 | ||
| For heart failure | |||
| Number of risk factors ‡ | |||
| 0 | 5.06 | 6.58 | 1.253 (0.973–1.613) |
| 1 | 5.18 | 5.66 | 1.089 (0.975–1.216) |
| 2 | 6.42 | 7.49 | 1.197 (1.081–1.325) |
| 3 | 17.72 | 18.92 | 1.062 (0.870–1.296) |
| 4 | 31.03 | 44.75 | 1.595 (0.793–3.210) |
| p for interaction | 0.5620 | ||
| For hospitalized bleeding | |||
| Number of risk factors ‡ | |||
| 0 | 18.91 | 18.17 | 1.072 (0.907–1.267) |
| 1 | 18.74 | 18.61 | 1.056 (0.984–1.134) |
| 2 | 19.37 | 20.16 | 1.144 (1.065–1.230) |
| 3 | 36.66 | 33.66 | 1.049 (0.886–1.244) |
| 4 | 54.44 | 68.47 | 1.384 (0.720–2.660) |
| p for interaction | 0.5407 | ||
Disclaimer/Publisher’s Note: The statements, opinions and data contained in all publications are solely those of the individual author(s) and contributor(s) and not of MDPI and/or the editor(s). MDPI and/or the editor(s) disclaim responsibility for any injury to people or property resulting from any ideas, methods, instructions or products referred to in the content. |
© 2024 by the authors. Licensee MDPI, Basel, Switzerland. This article is an open access article distributed under the terms and conditions of the Creative Commons Attribution (CC BY) license (https://creativecommons.org/licenses/by/4.0/).
Share and Cite
Chang, K.-W.; Huang, J.-Y.; Yang, S.-F.; Ueng, K.-C. Evaluating the Efficacy and Safety of Aspirin for Primary Cardiovascular Prevention in Asian Patients with Type 2 Diabetes: A Population-Based and Propensity Score-Matched Study. Diagnostics 2024, 14, 1211. https://doi.org/10.3390/diagnostics14121211
Chang K-W, Huang J-Y, Yang S-F, Ueng K-C. Evaluating the Efficacy and Safety of Aspirin for Primary Cardiovascular Prevention in Asian Patients with Type 2 Diabetes: A Population-Based and Propensity Score-Matched Study. Diagnostics. 2024; 14(12):1211. https://doi.org/10.3390/diagnostics14121211
Chicago/Turabian StyleChang, Kai-Wei, Jing-Yang Huang, Shun-Fa Yang, and Kwo-Chang Ueng. 2024. "Evaluating the Efficacy and Safety of Aspirin for Primary Cardiovascular Prevention in Asian Patients with Type 2 Diabetes: A Population-Based and Propensity Score-Matched Study" Diagnostics 14, no. 12: 1211. https://doi.org/10.3390/diagnostics14121211
APA StyleChang, K.-W., Huang, J.-Y., Yang, S.-F., & Ueng, K.-C. (2024). Evaluating the Efficacy and Safety of Aspirin for Primary Cardiovascular Prevention in Asian Patients with Type 2 Diabetes: A Population-Based and Propensity Score-Matched Study. Diagnostics, 14(12), 1211. https://doi.org/10.3390/diagnostics14121211

